Hormonal Relationships to Bone Mass in Elderly Spanish Men as Influenced by Dietary Calcium and Vitamin D
Abstract
:1. Introduction
2. Experimental Section
2.1. Nutrient Intake
2.2. Ultrasound Studies
2.3. Peripheral Bone Mineral Density Study
2.4. Analytical Studies
2.5. Statistical Studies
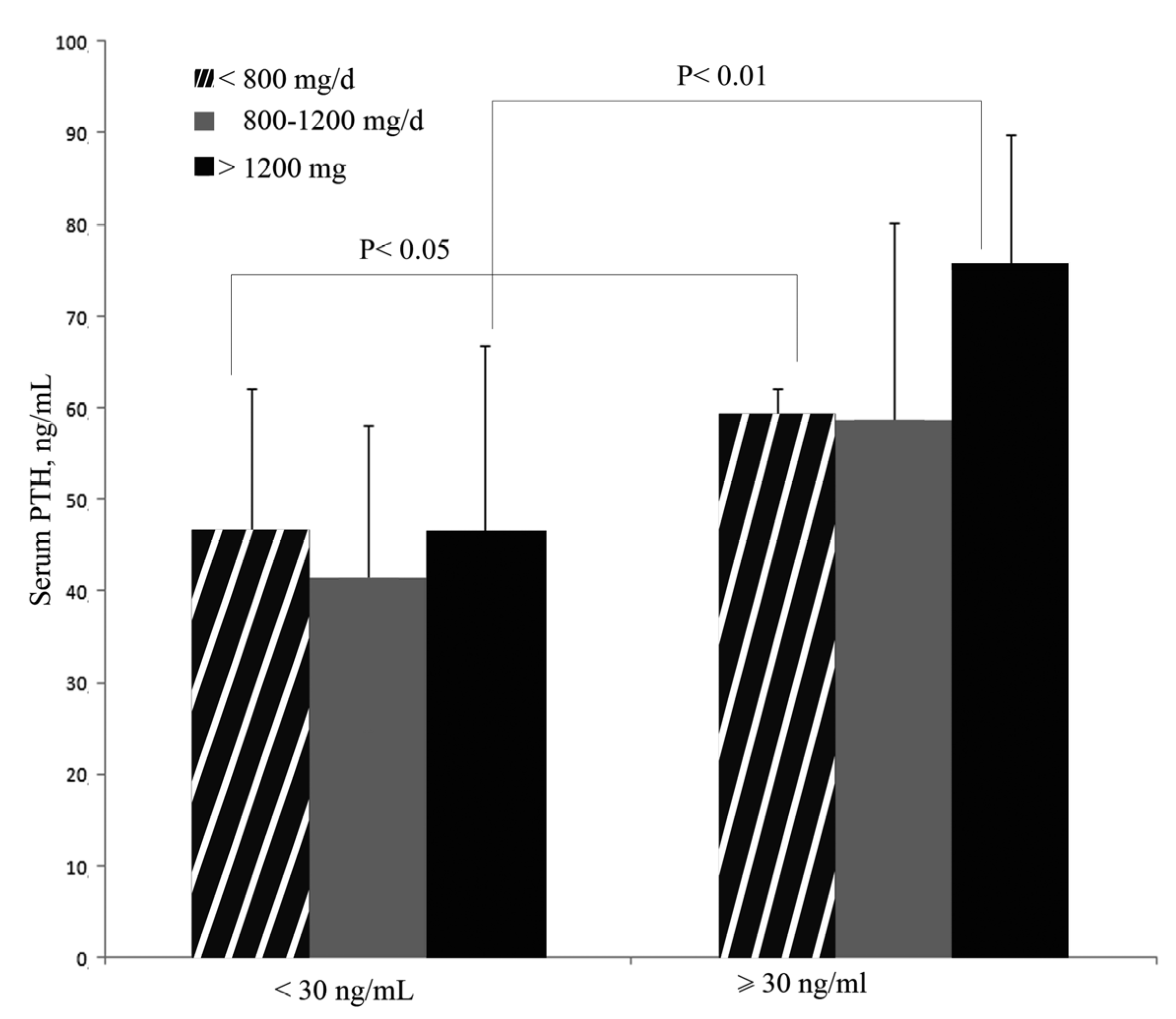
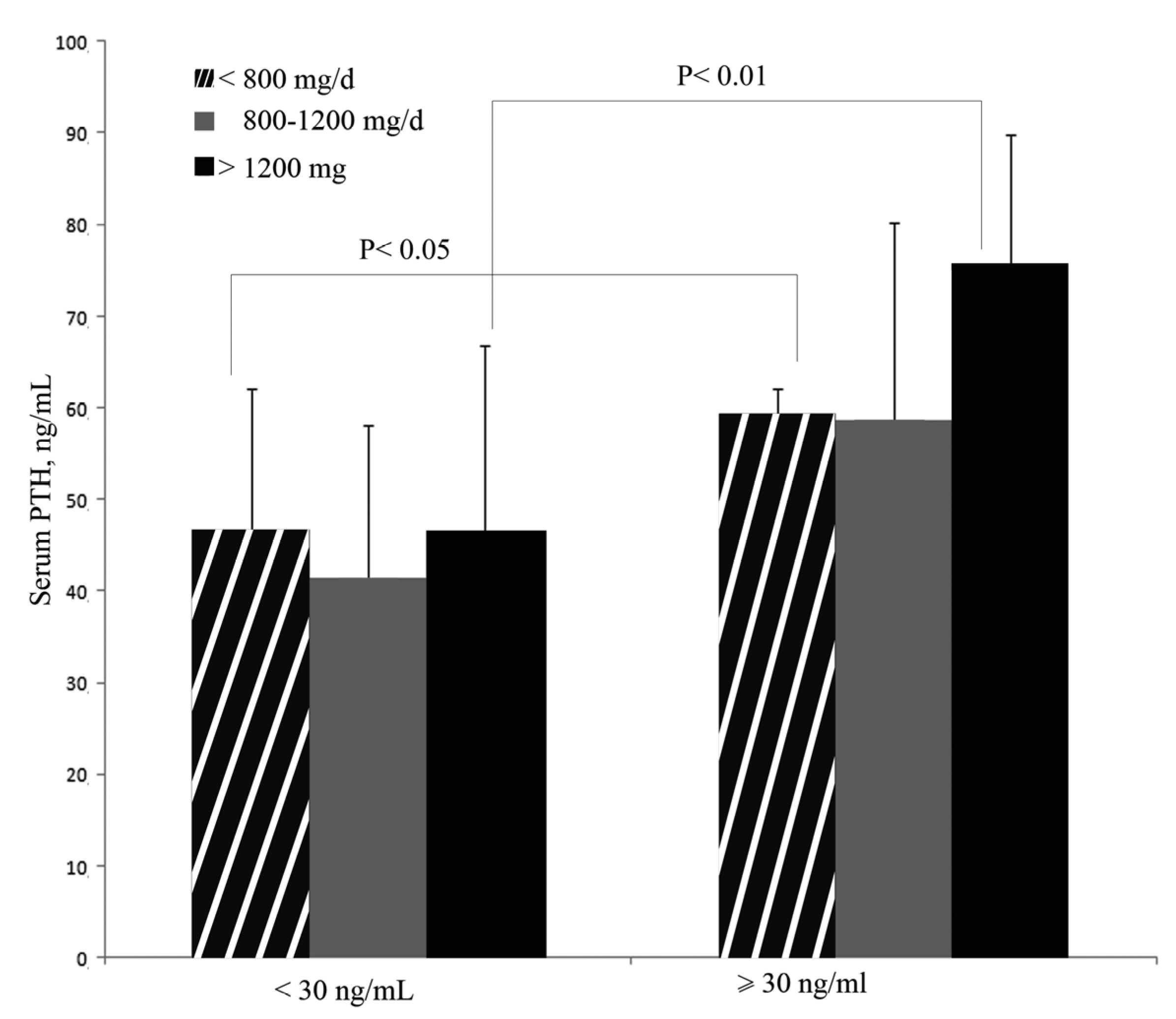
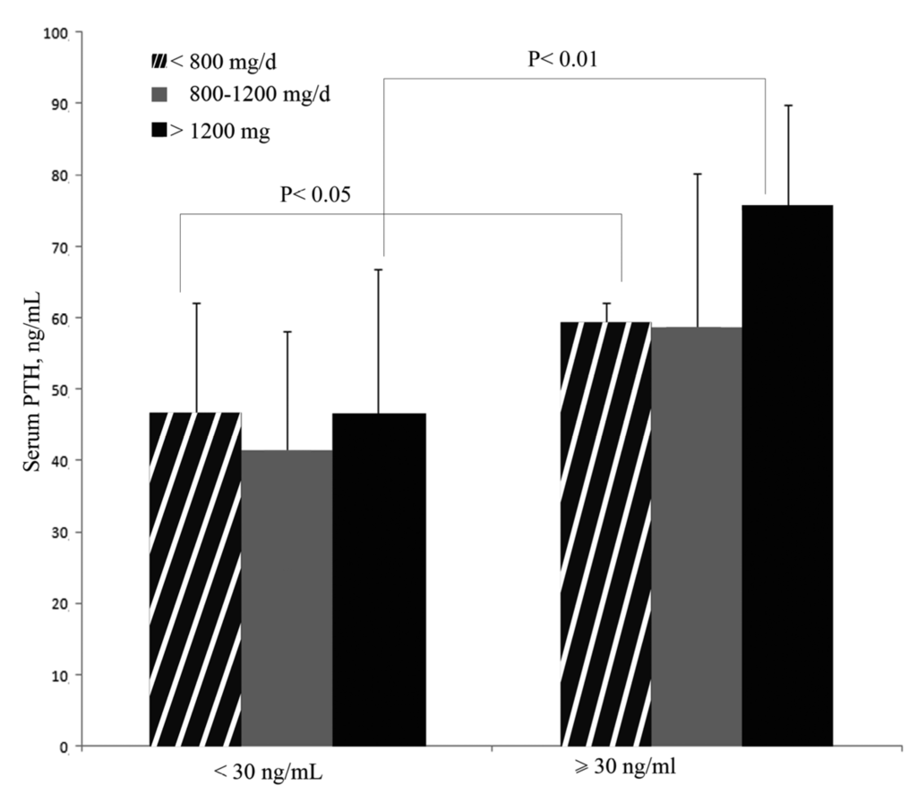
3. Results
| Mean (SD) | Range | |
|---|---|---|
| Age (y) | 73.31 (5.10) | 65.00–88.00 |
| Weigth (kg) | 80.69 (11.67) | 52.00–124.00 |
| Heigth (m) | 1,65 (0.06) | 1.45–1.79 |
| BMI (kg/m2) | 29,73 (4.03) | 20.76–46.10 |
| PTH (ng/mL) | 49.69 (25.18) | 2.50–189.10 |
| Serum Vitamin D (ng/mL) | 43.03 (17.98) | 5.00–119.00 |
| Vitamin D intake (µg/day) | 3.90 (4.78) | 0.00–437 |
| Calcium intake (mg/day) | 535.81 (358.11) | 112.00–2457.00 |
| Age group | ||||||||
|---|---|---|---|---|---|---|---|---|
| 65–69 (n = 45) | 70–74 (n = 81) | 75–80 (n = 52) | >80 (n = 21) | |||||
| Mean (SD) | Range | Mean (SD) | Range | Mean (SD) | Range | Mean | Min | |
| Calcium intake (mg/day) | 663.58 (466.13) | 112.00–2457.00 | 488.30 (305.53) | 125.00–1367.00 | 501.22 (318.55) | 120.00–1452.00 | 527.00 (327.84) | 146.00–1283.00 |
| Vitamin D intake (µg/day) | 5.47 (7.73) | 0.02–43.7 | 3.54 (3.50) | 0.16–16.5 | 3.45 (3.16) | 0.11–30.4 | 3.04 (3.37) | 0.00–10.4 |
| Serum 25-OH-Vitamin D3 (ng/mL) | 43.13 (16.63) | 11.00–82.00 | 44.21 (17.69) | 8.00–119.00 | 42.98 (21.07) | 5.00–105.00 | 38.61 (13.45) | 20.00–65.00 |
| Serum PTH (ng/mL) | 50.73 (26.64) | 17.70–164.70 | 46.61(22.73) | 14.20–52.11 | 52.11 (28.34) | 2.50–189.10 | 52.70 (22.70) | 20.00–97.90 |




4. Discussion
5. Conclusions
Conflicts of Interest
References
- Tang, B.M.; Eslick, G.D.; Nowson, C.; Smith, C.; Bensoussan, A. Use of calcium or calcium in combination with vitamin D supplementation to prevent fractures and bone loss in people aged 50 years and older: A meta-analysis. Lancet 2007, 370, 657–666. [Google Scholar] [CrossRef]
- Moreiras-Varela, O. Tablas de Composición de Alimentos; Editorial Piramide: Madrid, Spain, 2011. [Google Scholar]
- Tur, J.A.; Colomer, M.; Monino, M.; Bonnin, T.; Llompart, I.; Pons, A. Dietary intake and nutritional risk among free-living elderly people in Palma de Mallorca. J. Nutr. Health Aging 2005, 9, 390–396. [Google Scholar]
- Serra-Majem, L.; Ribas-Barba, L.; Salvador, G.; Jover, L.; Raido, B.; Ngo, J.; Plasencia, A. Trends in energy and nutrient intake and risk of inadequate intakes in Catalonia, Spain (1992–2003). Public Health Nutr. 2007, 10, 1354–1367. [Google Scholar]
- Perez-Llamas, F.; Lopez-Contreras, M.J.; Blanco, M.J.; Lopez-Azorin, F.; Zamora, S.; Moreiras, O. Seemingly paradoxical seasonal influences on vitamin D status in nursing-home elderly people from a Mediterranean area. Nutrition 2008, 24, 414–420. [Google Scholar] [CrossRef]
- Gallagher, J.C.; Riggs, B.L.; Eisman, J.; Hamstra, A.; Arnaud, S.B.; DeLuca, H.F. Intestinal calcium absorption and serum vitamin D metabolites in normal subjects and osteoporotic patients: Effect of age and dietary calcium. J. Clin. Investig. 1979, 64, 729–736. [Google Scholar] [CrossRef]
- Lips, P.; Wiersinga, A.; van Ginkel, F.C.; Jongen, M.J.; Netelenbos, J.C.; Hackeng, W.H.; Delmas, P.D.; van der Vijgh, W.J. The effect of vitamin D supplementation on vitamin D status and parathyroid function in elderly subjects. J. Clin. Endocrinol. Metab. 1988, 67, 644–650. [Google Scholar] [CrossRef]
- Pedrera-Zamorano, J.D.; Calderon-Garcia, J.F.; Roncero-Martín, R.; Costa-Fernandez, M.C.; Moran, J.M.; Lavado-Garcia, J.M. Bone Loss: Risk Factors, Detection and Prevention; Lu, K.C., Ed.; Nova Science Publishers: Hauppauge, NY, USA, 2013; Volume 1, pp. 185–192. [Google Scholar]
- Chaitou, A.; Boutroy, S.; Vilayphiou, N.; Varennes, A.; Richard, M.; Blaizot, S.; Munoz, F.; Delmas, P.D.; Goudable, J.; Chapurlat, R.; et al. Association of bone microarchitecture with parathyroid hormone concentration and calcium intake in men: The STRAMBO study. Eur. J. Endocrinol. 2011, 165, 151–159. [Google Scholar] [CrossRef]
- Heaney, R.P. The vitamin D requirement in health and disease. J. Steroid Biochem. Mol. Biol. 2005, 97, 13–19. [Google Scholar] [CrossRef]
- Chapuy, M.C.; Preziosi, P.; Maamer, M.; Arnaud, S.; Galan, P.; Hercberg, S.; Meunier, P.J. Prevalence of vitamin D insufficiency in an adult normal population. Osteoporos. Int. 1997, 7, 439–443. [Google Scholar] [CrossRef]
- Dawson-Hughes, B.; Heaney, R.P.; Holick, M.F.; Lips, P.; Meunier, P.J.; Vieth, R. Estimates of optimal vitamin D status. Osteoporos. Int. 2005, 16, 713–716. [Google Scholar] [CrossRef]
- Steingrimsdottir, L.; Gunnarsson, O.; Indridason, O.S.; Franzson, L.; Sigurdsson, G. Relationship between serum parathyroid hormone levels, vitamin D sufficiency, and calcium intake. JAMA 2005, 294, 2336–2341. [Google Scholar] [CrossRef]
- Lips, P.; Duong, T.; Oleksik, A.; Black, D.; Cummings, S.; Cox, D.; Nickelsen, T. A global study of vitamin D status and parathyroid function in postmenopausal women with osteoporosis: Baseline data from the multiple outcomes of raloxifene evaluation clinical trial. J. Clin. Endocrinol. Metab. 2001, 86, 1212–1221. [Google Scholar] [CrossRef]
- Harris, S.S.; Soteriades, E.; Coolidge, J.A.; Mudgal, S.; Dawson-Hughes, B. Vitamin D insufficiency and hyperparathyroidism in a low income, multiracial, elderly population. J. Clin. Endocrinol. Metab. 2000, 85, 4125–4130. [Google Scholar] [CrossRef]
- Holick, M.F. Optimal vitamin D status for the prevention and treatment of osteoporosis. Drugs Aging 2007, 24, 1017–1029. [Google Scholar] [CrossRef]
- Sai, A.J.; Walters, R.W.; Fang, X.; Gallagher, J.C. Relationship between vitamin D, parathyroid hormone, and bone health. J. Clin. Endocrinol. Metab. 2011, 96, 436–446. [Google Scholar] [CrossRef]
- Maggio, D.; Cherubini, A.; Lauretani, F.; Russo, R.C.; Bartali, B.; Pierandrei, M.; Ruggiero, C.; Macchiarulo, M.C.; Giorgino, R.; Minisola, S.; et al. 25(OH)D Serum levels decline with age earlier in women than in men and less efficiently prevent compensatory hyperparathyroidism in older adults. J. Gerontol. A 2005, 60, 1414–1419. [Google Scholar] [CrossRef]
- Vieth, R.; Ladak, Y.; Walfish, P.G. Age-related changes in the 25-hydroxyvitamin D vs. parathyroid hormone relationship suggest a different reason why older adults require more vitamin D. J. Clin. Endocrinol. Metab. 2003, 88, 185–191. [Google Scholar] [CrossRef]
- Rey-Sanchez, P.; Lavado-Garcia, J.M.; Canal-Macias, M.L.; Gomez-Zubeldia, M.A.; Roncero-Martin, R.; Pedrera-Zamorano, J.D. Ultrasound bone mass in schizophrenic patients on antipsychotic therapy. Hum. Psychopharmacol. 2009, 24, 49–54. [Google Scholar] [CrossRef]
- Bischoff-Ferrari, H.A.; Kiel, D.P.; Dawson-Hughes, B.; Orav, J.E.; Li, R.; Spiegelman, D.; Dietrich, T.; Willett, W.C. Dietary calcium and serum 25-hydroxyvitamin D status in relation to BMD among U.S. adults. J. Bone Miner. Res. 2009, 24, 935–942. [Google Scholar] [CrossRef]
- Pedrera-Zamorano, J.D.; Lavado-Garcia, J.M.; Roncero-Martin, R.; Calderon-Garcia, J.F.; Rodriguez-Dominguez, T.; Canal-Macias, M.L. Effect of beer drinking on ultrasound bone mass in women. Nutrition 2009, 25, 1057–1063. [Google Scholar] [CrossRef]
- Descos, L.; Andre, C.; Beorghia, S.; Vincent, C.; Revillard, J.P. Serum levels of beta-2-microglobulin—A new marker of activity in Crohn’s disease. N. Engl. J. Med. 1979, 301, 440–441. [Google Scholar]
- Cruz, J.A.; Moreiras-Varela, O.; van Staveren, W.A.; Trichopoulou, A.; Roszkowski, W. Intake of vitamins and minerals. Euronut SENECA investigators. Eur. J. Clin. Nutr. 1991, 45, 121–138. [Google Scholar]
- Vaquero, M.P.; Sanchez-Muniz, F.J.; Carbajal, A.; Garcia-Linares, M.C.; Garcia-Fernandez, M.C.; Garcia-Arias, M.T. Mineral and vitamin status in elderly persons from Northwest Spain consuming an Atlantic variant of the Mediterranean diet. Ann. Nutr. Metab. 2004, 48, 125–133. [Google Scholar]
- Martinez Tome, M.J.; Rodriguez, A.; Jimenez, A.M.; Mariscal, M.; Murcia, M.A.; Garcia-Diz, L. Food habits and nutritional status of elderly people living in a Spanish Mediterranean city. Nutr. Hosp. 2011, 26, 1175–1182. [Google Scholar]
- Holick, M.F.; Binkley, N.C.; Bischoff-Ferrari, H.A.; Gordon, C.M.; Hanley, D.A.; Heaney, R.P.; Murad, M.H.; Weaver, C.M. Evaluation, treatment, and prevention of vitamin D deficiency: An Endocrine Society clinical practice guideline. J. Clin. Endocrinol. Metab. 2011, 96, 1911–1930. [Google Scholar] [CrossRef]
- Boonen, S.; Vanderschueren, D.; Cheng, X.G.; Verbeke, G.; Dequeker, J.; Geusens, P.; Broos, P.; Bouillon, R. Age-related (type II) femoral neck osteoporosis in men: Biochemical evidence for both hypovitaminosis D- and androgen deficiency-induced bone resorption. J. Bone Miner. Res. 1997, 12, 2119–2126. [Google Scholar] [CrossRef]
- Van Schoor, N.M.; Lips, P. Worldwide vitamin D status. Best Pract. Res. Clin. Endocrinol. Metab. 2011, 25, 671–680. [Google Scholar] [CrossRef]
- Kuwabara, A.; Tsugawa, N.; Tanaka, K.; Fujii, M.; Kawai, N.; Mukae, S.; Kato, Y.; Kojima, Y.; Takahashi, K.; Omura, K.; et al. Improvement of vitamin D status in Japanese institutionalized elderly by supplementation with 800 IU of vitamin D(3). J. Nutr. Sci. Vitaminol. (Tokyo) 2009, 55, 453–458. [Google Scholar] [CrossRef]
- Dawson-Hughes, B.; Harris, S.S.; Dallal, G.E. Plasma calcidiol, season, and serum parathyroid hormone concentrations in healthy elderly men and women. Am. J. Clin. Nutr. 1997, 65, 67–71. [Google Scholar]
- Cutillas-Marco, E.; Fuertes-Prosper, A.; Grant, W.B.; Morales-Suarez-Varela, M. Vitamin D deficiency in South Europe: Effect of smoking and aging. Photodermatol. Photoimmunol. Photomed. 2012, 28, 159–161. [Google Scholar] [CrossRef]
- De Temino, A.R.; Gil, J.; Perez, T.; Gonzalez, M.; Pineda, M.; Duenas-Laita, A.; Perez-Castrillon, J.L. Association between vitamin D deficiency and heart failure in the elderly. Int. J. Cardiol. 2011, 152, 407–408. [Google Scholar] [CrossRef]
- Sahota, O.; Gaynor, K.; Harwood, R.H.; Hosking, D.J. Hypovitaminosis D and ‘functional hypoparathyroidism’-the NoNoF (Nottingham Neck of Femur) study. Age Ageing 2001, 30, 467–472. [Google Scholar] [CrossRef]
- Sahota, O.; Mundey, M.K.; San, P.; Godber, I.M.; Hosking, D.J. Vitamin D insufficiency and the blunted PTH response in established osteoporosis: The role of magnesium deficiency. Osteoporos. Int. 2006, 17, 1013–1021. [Google Scholar] [CrossRef]
- Trivedi, D.P.; Doll, R.; Khaw, K.T. Effect of four monthly oral vitamin D3 (cholecalciferol) supplementation on fractures and mortality in men and women living in the community: Randomised double blind controlled trial. BMJ 2003, 326, 469–474. [Google Scholar] [CrossRef]
- Adami, S.; Viapiana, O.; Gatti, D.; Idolazzi, L.; Rossini, M. Relationship between serum parathyroid hormone, vitamin D sufficiency, age, and calcium intake. Bone 2008, 42, 267–270. [Google Scholar] [CrossRef]
- Chailurkit, L.O.; Saetung, S.; Thakkinstian, A.; Ongphiphadhanakul, B.; Rajatanavin, R. Discrepant influence of vitamin D status on parathyroid hormone and bone mass after two years of calcium supplementation. Clin. Endocrinol. (Oxf.) 2010, 73, 167–172. [Google Scholar]
- Joo, N.S.; Dawson-Hughes, B.; Kim, Y.S.; Oh, K.; Yeum, K.J. Impact of calcium and vitamin D insufficiencies on serum parathyroid hormone and bone mineral density: Analysis of the fourth and fifth Korea National Health and Nutrition Examination Survey (KNHAENS IV-3, 2009 and V-1, 2010). J. Bone Miner. Res. 2012, 28, 764–770. [Google Scholar]
- Kudlacek, S.; Schneider, B.; Peterlik, M.; Leb, G.; Klaushofer, K.; Weber, K.; Woloszczuk, W.; Willvonseder, R. Assessment of vitamin D and calcium status in healthy adult Austrians. Eur. J. Clin. Investig. 2003, 33, 323–331. [Google Scholar] [CrossRef]
- Marwaha, R.K.; Tandon, N.; Garg, M.K.; Kanwar, R.; Narang, A.; Sastry, A.; Saberwal, A.; Bhadra, K.; Mithal, A. Bone health in healthy Indian population aged 50 years and above. Osteoporos. Int. 2011, 22, 2829–2836. [Google Scholar] [CrossRef]
- Collins, D.; Jasani, C.; Fogelman, I.; Swaminathan, R. Vitamin D and bone mineral density. Osteoporos. Int. 1998, 8, 110–114. [Google Scholar] [CrossRef]
- Scharla, S.H.; Scheidt-Nave, C.; Leidig, G.; Woitge, H.; Wuster, C.; Seibel, M.J.; Ziegler, R. Lower serum 25-hydroxyvitamin D is associated with increased bone resorption markers and lower bone density at the proximal femur in normal females: A population-based study. Exp. Clin. Endocrinol. Diabetes 1996, 104, 289–292. [Google Scholar] [CrossRef]
- Grieger, J.A.; Nowson, C.A. Use of calcium, folate, and vitamin D(3)-fortified milk for 6 months improves nutritional status but not bone mass or turnover, in a group of Australian aged care residents. J. Nutr. Elder. 2009, 28, 236–254. [Google Scholar] [CrossRef]
© 2013 by the authors; licensee MDPI, Basel, Switzerland. This article is an open access article distributed under the terms and conditions of the Creative Commons Attribution license (http://creativecommons.org/licenses/by/3.0/).
Share and Cite
Moran, J.M.; Lopez-Arza, L.G.; Lavado-Garcia, J.M.; Pedrera-Canal, M.; Rey-Sanchez, P.; Rodriguez-Velasco, F.J.; Fernandez, P.; Pedrera-Zamorano, J.D. Hormonal Relationships to Bone Mass in Elderly Spanish Men as Influenced by Dietary Calcium and Vitamin D. Nutrients 2013, 5, 4924-4937. https://doi.org/10.3390/nu5124924
Moran JM, Lopez-Arza LG, Lavado-Garcia JM, Pedrera-Canal M, Rey-Sanchez P, Rodriguez-Velasco FJ, Fernandez P, Pedrera-Zamorano JD. Hormonal Relationships to Bone Mass in Elderly Spanish Men as Influenced by Dietary Calcium and Vitamin D. Nutrients. 2013; 5(12):4924-4937. https://doi.org/10.3390/nu5124924
Chicago/Turabian StyleMoran, Jose M., Luis Gonzalez Lopez-Arza, Jesus M. Lavado-Garcia, Maria Pedrera-Canal, Purificacion Rey-Sanchez, Francisco J. Rodriguez-Velasco, Pilar Fernandez, and Juan D. Pedrera-Zamorano. 2013. "Hormonal Relationships to Bone Mass in Elderly Spanish Men as Influenced by Dietary Calcium and Vitamin D" Nutrients 5, no. 12: 4924-4937. https://doi.org/10.3390/nu5124924
APA StyleMoran, J. M., Lopez-Arza, L. G., Lavado-Garcia, J. M., Pedrera-Canal, M., Rey-Sanchez, P., Rodriguez-Velasco, F. J., Fernandez, P., & Pedrera-Zamorano, J. D. (2013). Hormonal Relationships to Bone Mass in Elderly Spanish Men as Influenced by Dietary Calcium and Vitamin D. Nutrients, 5(12), 4924-4937. https://doi.org/10.3390/nu5124924

