Growth Recovery After Fetal Growth Restriction: A 10-Year Follow-Up of Term-Born Children
Abstract
1. Introduction
2. Materials and Methods
2.1. Study Design
2.2. Participants
2.3. Statistical Analysis
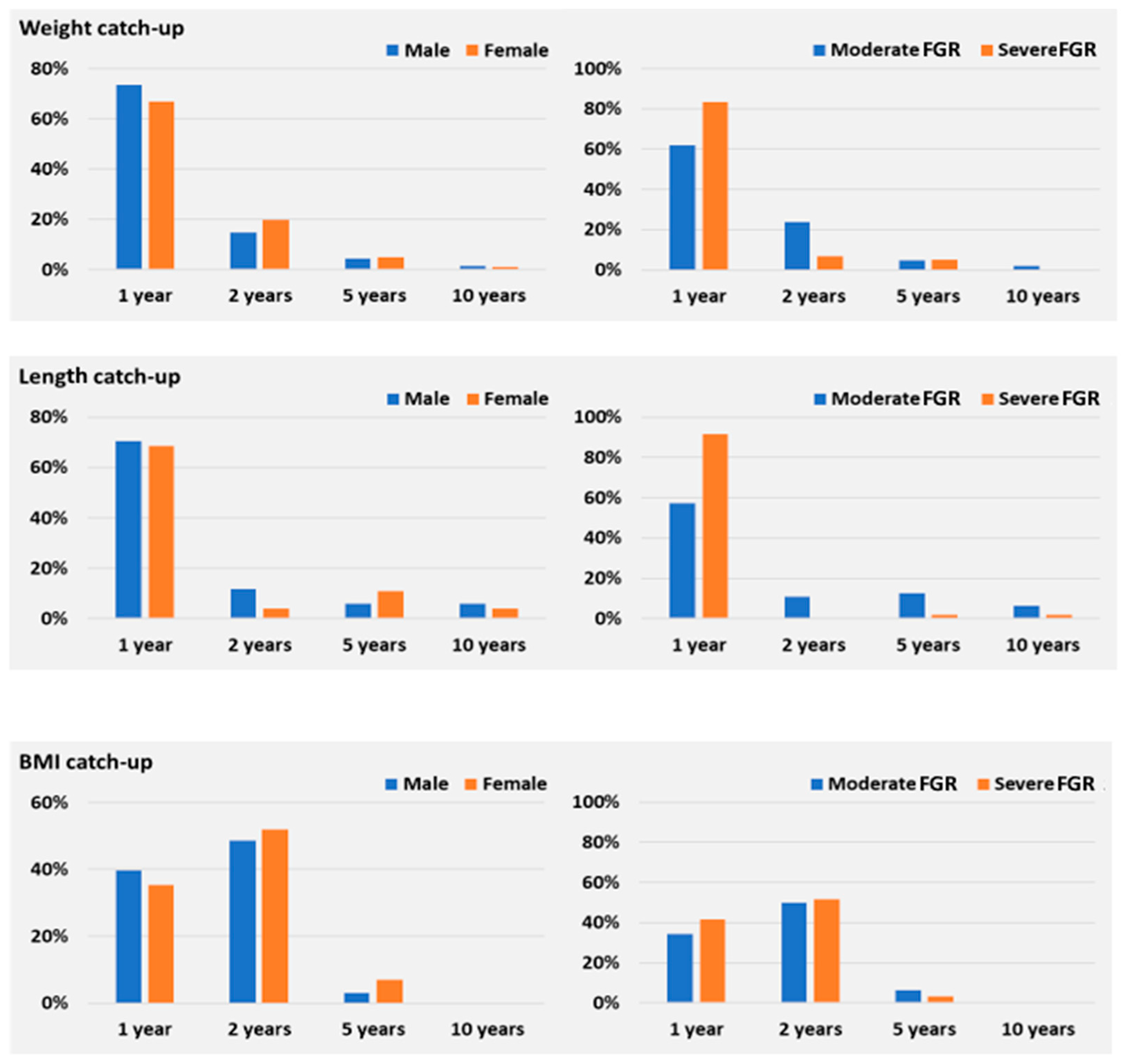
3. Results
3.1. Sample Characteristics
3.2. Sex-Based Comparison Results (Male vs. Female)
3.3. Severity-Based Comparison (Moderate vs. Severe FGR)
4. Discussion
4.1. Sex Differences in Growth Trajectories
4.2. Impact of FGR Severity on Growth Trajectories
4.3. Catch-Up Growth and Long-Term Health Implications
4.4. Linear Growth: Recovery and Determinants
4.5. Strengths and Limitations
5. Conclusions
Author Contributions
Funding
Institutional Review Board Statement
Informed Consent Statement
Data Availability Statement
Conflicts of Interest
Abbreviations
| FGR | Fetal growth restriction |
| IUGR | Intrauterine growth restriction |
| WHO | World Health Organization |
| NAFLD | Non-alcoholic fatty liver disease |
| DOHaD | Developmental Origins of Health and Disease |
| SGA | Small for gestational age |
| BMI | Body mass index |
| GA | Gestational age |
References
- Salomon, L.J.; Alfirevic, Z.; Da Silva Costa, F.; Deter, R.; Figueras, F.; Ghi, T.; Glanc, P.; Khalil, A.; Lee, W.; Napolitano, R.; et al. ISUOG Practice Guidelines: Ultrasound Assessment of Fetal Biometry and Growth. Ultrasound Obstet. Gynecol. 2019, 53, 715–723. [Google Scholar] [CrossRef]
- Gordijn, S.J.; Beune, I.M.; Thilaganathan, B.; Papageorghiou, A.; Baschat, A.A.; Baker, P.N.; Silver, R.M.; Wynia, K.; Ganzevoort, W. Consensus Definition of Fetal Growth Restriction: A Delphi Procedure. Ultrasound Obstet. Gynecol. 2016, 48, 333–339. [Google Scholar] [CrossRef] [PubMed]
- Robinson, J.S.; Moore, V.M.; Owens, J.A.; McMillen, I.C. Origins of Fetal Growth Restriction. Eur. J. Obstet. Gynecol. Reprod. Biol. 2000, 92, 13–19. [Google Scholar] [CrossRef] [PubMed]
- Unterscheider, J.; Daly, S.; Geary, M.P.; Kennelly, M.M.; McAuliffe, F.M.; O’Donoghue, K.; Hunter, A.; Morrison, J.J.; Burke, G.; Dicker, P.; et al. Optimizing the Definition of Intrauterine Growth Restriction: The Multicenter Prospective PORTO Study. Am. J. Obstet. Gynecol. 2013, 208, 290.e1–290.e6. [Google Scholar] [CrossRef] [PubMed]
- Jayalakshmi, R.; Gaidhane, S.; Ballal, S.; Kumar, S.; Bhat, M.; Sharma, S.; Kumar, M.R.; Rustagi, S.; Khatib, M.N.; Rai, N.; et al. The Effect of Maternal Haemoglobinopathies and Iron Deficiency Anaemia on Foetal Growth Restriction: A Systematic Review and Meta-Analysis. Matern. Child Nutr. 2025, 21, e13787. [Google Scholar] [CrossRef]
- Adam-Raileanu, A.; Miron, I.; Lupu, A.; Bozomitu, L.; Sasaran, M.O.; Russu, R.; Rosu, S.T.; Nedelcu, A.H.; Salaru, D.L.; Baciu, G.; et al. Fetal Growth Restriction and Its Metabolism-Related Long-Term Outcomes. Nutrients 2025, 17, 555. [Google Scholar] [CrossRef]
- Giouleka, S.; Tsakiridis, I.; Mamopoulos, A.; Kalogiannidis, I.; Athanasiadis, A.; Dagklis, T. Fetal Growth Restriction: A Comprehensive Review of Major Guidelines. Obstet. Gynecol. Surv. 2023, 78, 690–708. [Google Scholar] [CrossRef]
- Gicquel, C.; Le Bouc, Y. Hormonal Regulation of Fetal Growth. Horm. Res. 2006, 65, 28–33. [Google Scholar] [CrossRef]
- Rich, D.Q.; Demissie, K.; Lu, S.E.; Kamat, L.; Wartenberg, D.; Rhoads, G.G. Ambient Air Pollutant Concentrations during Pregnancy and the Risk of Fetal Growth Restriction. J. Epidemiol. Community Health 2009, 63, 488–496. [Google Scholar] [CrossRef]
- Vorherr, H. Factors Influencing Fetal Growth. Am. J. Obstet. Gynecol. 1982, 142, 577–588. [Google Scholar] [CrossRef]
- Kramer, A.C.; Jansson, T.; Bale, T.L.; Powell, T.L. Maternal–Fetal Cross-Talk via the Placenta: Influence on Offspring Development and Metabolism. Development 2023, 150, dev202088. [Google Scholar] [CrossRef]
- Li, J.; Gao, H.; Xu, Z.; Gao, B.; Zhang, L.; Su, B.; Yang, S.; Liu, J.; Liu, Y.; Wang, X.; et al. Gestational Exposure to Carbon Black Nanoparticles Triggered Fetal Growth Restriction in Mice. Sci. Total Environ. 2025, 959, 178167. [Google Scholar] [CrossRef]
- Gumina, D.L.; Su, E.J. Endothelial Progenitor Cells of the Human Placenta and Fetoplacental Circulation. Front. Pediatr. 2017, 5, 41. [Google Scholar] [CrossRef]
- Guerby, P.; Bujold, E. Early Detection and Prevention of Intrauterine Growth Restriction. JAMA Pediatr. 2020, 174, 749–750. [Google Scholar] [CrossRef]
- Nüsken, E.; Appel, S.; Saschin, L.; Kuiper-Makris, C.; Oberholz, L.; Schömig, C.; Tauscher, A.; Dötsch, J.; Kribs, A.; Alcazar, M.A.A.; et al. Intrauterine Growth Restriction: Need to Improve Diagnostic Accuracy. Cells 2024, 13, 501. [Google Scholar] [CrossRef]
- Sharma, D.; Shastri, S.; Sharma, P. Intrauterine Growth Restriction: Antenatal and Postnatal Aspects. Clin. Med. Insights Pediatr. 2016, 10, 67–83. [Google Scholar] [CrossRef] [PubMed]
- Barker, D.J.; Osmond, C. Infant Mortality, Childhood Nutrition and Ischaemic Heart Disease. Lancet 1986, 1, 1077–1081. [Google Scholar] [CrossRef] [PubMed]
- Barker, D.J.; Osmond, C.; Forsén, T.J.; Kajantie, E.; Eriksson, J.G. Trajectories of Growth and Adult Coronary Events. N. Engl. J. Med. 2005, 353, 1802–1809. [Google Scholar] [CrossRef] [PubMed]
- Barker, D.J.P. Adult Consequences of Fetal Growth Restriction. Clin. Obstet. Gynecol. 2006, 49, 270–283. [Google Scholar] [CrossRef]
- Sharma, D.; Farahbakhsh, N.; Shastri, S.; Sharma, P. Intrauterine Growth Restriction—Part 2. J. Matern. Fetal Neonatal Med. 2017, 29, 4037–4048. [Google Scholar] [CrossRef]
- Wedd, L.; Kucharski, R.; Maleszka, R. The Placental Epigenome: Correlations with Fetal Growth. Epigenetics 2015, 10, 1003–1012. [Google Scholar] [CrossRef]
- Diderholm, B. Perinatal Energy Metabolism with Reference to Intrauterine Growth Retardation and Catch-Up Growth. Acta Paediatr. 1998, 87, 2–7. [Google Scholar] [CrossRef]
- Bernstein, I.M.; Horbar, J.D.; Badger, G.J.; Ohlsson, A.; Golan, A. Morbidity and Mortality among Very-Low-Birth-Weight Neonates with Intrauterine Growth Restriction. Am. J. Obstet. Gynecol. 2000, 182, 198–206. [Google Scholar] [CrossRef] [PubMed]
- Crispi, F.; Bijnens, B.; Figueras, F.; Bartrons, J.; Eixarch, E.; Le Noble, F.; Ahmed, A.; Gratacós, E. Fetal growth restriction results in remodeled and less efficient hearts in children. Circulation 2010, 121, 2427–2436. [Google Scholar] [CrossRef] [PubMed]
- Figueras, F.; Gardosi, J. Intrauterine Growth Restriction: New Concepts in Antenatal Surveillance, Diagnosis, and Management. Am. J. Obstet. Gynecol. 2011, 204, 288–300. [Google Scholar] [CrossRef]
- Chassen, S.; Poli, G.; Yang, S. Effect of Chronic Hypoxia on Placental Amino Acid Transport. Placenta 2024, 148, 108–115. [Google Scholar] [CrossRef]
- Morrison, J.L.; Duffield, J.A.; Muhlhausler, B.S.; Gentili, S.; McMillen, I.C. Fetal growth restriction, catch-up growth and the early origins of insulin resistance and visceral obesity. Pediatr. Nephrol. 2010, 25, 669–677. [Google Scholar] [CrossRef]
- Baschat, A.A. Fetal Growth Restriction—From Observation to Intervention. J. Perinat. Med. 2010, 38, 239–246. [Google Scholar] [CrossRef]
- Miller, J.; Turan, S.; Baschat, A.A. Fetal Growth Restriction. Semin. Perinatol. 2008, 32, 274–280. [Google Scholar] [CrossRef]
- Warland, J.; Dorrian, J.; Barrett, J.; O’Brien, L.M. Maternal Sleep before and during Pregnancy and Birth Outcomes: A Systematic Review and Meta-analysis. Sleep Med. Rev. 2018, 41, 197–219. [Google Scholar] [CrossRef]
- Cooke, R.J. Catch-Up Growth: Implications for the Preterm and Term Infant. Eur. J. Clin. Nutr. 2010, 64, S8–S10. [Google Scholar] [CrossRef]
- Strauss, R.S. Adult Functional Outcome of Those Born Small for Gestational Age. JAMA 2000, 283, 625–632. [Google Scholar] [CrossRef]
- Dulloo, A.G.; Seydoux, J.; Girardier, L. Catch-Up Growth in Humans: A Risk Factor for Obesity? Horm. Res. 2002, 57, 67–71. [Google Scholar] [CrossRef]
- Flores-Guillén, E.; Ochoa-Díaz-López, H.; Castro-Quezada, I.; Irecta-Nájera, C.A.; Cruz, M.; Meneses, M.E.; Gurri, F.D.; Solís-Hernández, R.; García-Miranda, R. Intrauterine growth restriction and overweight, obesity, and stunting in adolescents of indigenous communities of Chiapas, Mexico. Eur. J. Clin. Nutr. 2020, 74, 149–157. [Google Scholar] [CrossRef] [PubMed]
- Ong, K.K.; Loos, R.J.F. Rapid Infancy Weight Gain and Subsequent Obesity: Systematic Reviews and Meta-Analyses. Obes. Rev. 2006, 7, 143–154. [Google Scholar] [CrossRef]
- Dulloo, A.G.; Jacquet, J.; Solinas, G.; Montani, J.P.; Schutz, Y. Body Composition Phenotypes in Pathways to Obesity. Int. J. Obes. 2010, 34, S4–S17. [Google Scholar] [CrossRef]
- Eriksson, J.G.; Forsén, T.J.; Osmond, C.; Barker, D.J. Pathways of Infant and Childhood Growth That Lead to Type 2 Diabetes. Diabetes Care 2003, 26, 3006–3010. [Google Scholar] [CrossRef]
- Hofman, P.L.; Regan, F.; Jackson, W.E.; Jefferies, C.; Knight, D.B.; Robinson, E.M.; Cutfield, W.S. Premature Birth and Later Insulin Resistance in Childhood. N. Engl. J. Med. 2004, 351, 2179–2186. [Google Scholar] [CrossRef] [PubMed]
- Ibáñez, L.; Ong, K.; Dunger, D.B.; de Zegher, F. Early Development of Adiposity and Insulin Resistance after Catch-Up Weight Gain in Small-for-Gestational-Age Children. J. Clin. Endocrinol. Metab. 2006, 91, 2153–2158. [Google Scholar] [CrossRef]
- Newsome, C.A.; Shiell, A.W.; Fall, C.H.; Phillips, D.I.W.; Shier, R.; Law, C.M. Is Birth Weight Related to Later Obesity? Int. J. Obes. 2003, 27, 1267–1276. [Google Scholar] [CrossRef]
- Wilson, P.M.; Greiner, M.V.; Duma, E.M. Prediction of Childhood Obesity by Infant and Childhood Growth Patterns. Pediatrics 2012, 130, e1146–e1152. [Google Scholar] [CrossRef]
- Singhal, A.; Wells, J.; Cole, T.J.; Fewtrell, M.; Lucas, A. Programming of Lean Body Mass: A Link between Birth Weight, Obesity, and Cardiovascular Disease? Am. J. Clin. Nutr. 2003, 77, 726–730. [Google Scholar] [CrossRef]
- Ong, K.K.; Ahmed, M.L.; Emmett, P.M.; Preece, M.A.; Dunger, D.B. Association between Postnatal Catch-Up Growth and Obesity in Childhood. BMJ 2000, 320, 967–971. [Google Scholar] [CrossRef] [PubMed]
- Cianfarani, S.; Germani, D.; Branca, F. Low Birthweight and Adult Insulin Resistance: The Role of Postnatal Catch-Up Growth. Acta Paediatr. 1999, 88, 94–95. [Google Scholar] [CrossRef]
- Ibáñez, L.; Lopez-Bermejo, A.; Diaz, M.; de Zegher, F. Catch-up growth in girls born small for gestational age precedes childhood progression to high adiposity. Fertil. Steril. 2011, 96, 220–223. [Google Scholar] [CrossRef]
- Markopoulou, P.; Papanikolaou, E.; Analytis, A.; Zoumakis, E.; Siahanidou, T. Preterm Birth as a Risk Factor for Metabolic Syndrome and Cardiovascular Disease in Adult Life: A Systematic Review and Meta-Analysis. J Pediatr. 2019, 210, 69–80.e5. [Google Scholar] [CrossRef]
- Hendrix, M.L.E.; van Kuijk, S.M.J.; El Bahaey, S.E.; Gerver, W.J.M.; Feron, F.J.M.; Kuin, M.E.; Spaanderman, M.E.A.; Bons, J.A.P.; Al-Nasiry, S. Postnatal growth during the first five years of life in SGA and AGA neonates with reduced fetal growth. Early Hum. Dev. 2020, 151, 105199. [Google Scholar] [CrossRef]
- Feldman, R.; Eidelman, A.I. Neonatal Neurobehavior and Parenting Stress in IUGR and Preterm Infants. Dev. Psychobiol. 2007, 49, 397–405. [Google Scholar] [CrossRef]
- Levy-Marchal, C.; Jaquet, D.; Czernichow, P. Small for Gestational Age and Later Health. Horm. Res. 2004, 62, 91–95. [Google Scholar] [CrossRef]
- Lodygensky, G.A.; Seghier, M.L.; Warfield, S.K.; Tolsa, C.B.; Sizonenko, S.; Lazeyras, F.; Hüppi, P.S. Intrauterine growth restriction affects the preterm infant’s hippocampus. Pediatr Res. 2008, 63, 438–443. [Google Scholar] [CrossRef]
- Baschat, A.A. Neurodevelopment following Fetal Growth Restriction. Fetal Diagn. Ther. 2014, 36, 136–142. [Google Scholar] [CrossRef] [PubMed]
- Albright, C.M.; Ali, T.N.; Lopes, V.; Rouse, D.J.; Anderson, B.L. Fetal Heart Function and Perinatal Outcome after FGR. Am. J. Obstet. Gynecol. 2014, 211, 141.e1–141.e8. [Google Scholar] [CrossRef]
- Deb, S.; Jayaprakasan, K.; Campbell, B.K.; Clewes, J.S.; Johnson, I.R.; Raine-Fenning, N.J. Doppler and Perinatal Outcome in Early-Onset FGR. Ultrasound Obstet. Gynecol. 2009, 33, 256–260. [Google Scholar] [CrossRef]
- Barker, D.J.; Hales, C.N.; Fall, C.H.; Osmond, C.; Phipps, K.; Clark, P.M. Type 2 (non-insulin-dependent) diabetes mellitus, hypertension and hyperlipidaemia (syndrome X): Relation to reduced fetal growth. Diabetologia 1993, 36, 62–67. [Google Scholar] [CrossRef] [PubMed]
- Robinson, R. The fetal origins of adult disease. BMJ 2001, 322, 375–376. [Google Scholar] [CrossRef]
- Lane, R.H. Fetal Programming, Epigenetics, and Metabolic Disease. J. Pediatr. 2014, 165, 7–9. [Google Scholar] [CrossRef]
- Crispi, F.; Miranda, J.; Gratacós, E. Long-Term Cardiovascular Consequences of FGR. Semin. Fetal Neonatal Med. 2009, 14, 318–322. [Google Scholar] [CrossRef]
- Badon, S.E.; Quesenberry, C.P.; Xu, F.; Avalos, L.A.; Hedderson, M.M. Gestational weight gain, birthweight and early-childhood obesity: Between- and within-family comparisons. Int. J. Epidemiol. 2020, 49, 1682–1690. [Google Scholar] [CrossRef] [PubMed]
- Karlberg, J.; Albertsson-Wikland, K. Growth in Full-Term Small-for-Gestational-Age Infants: From Birth to Final Height. Pediatr. Res. 1995, 38, 733–739. [Google Scholar] [CrossRef]
- Karlberg, J.; Albertsson-Wikland, K.; Kwan, C.W.; Chan, F.Y. Early Spontaneous Catch-Up Growth. J. Pediatr. Endocrinol. Metab. 2002, 15, 1243–1255. [Google Scholar]
- Shoji, H.; Watanabe, A.; Awaji, A.; Ikeda, N.; Hosozawa, M.; Ohkawa, N.; Nishizaki, N.; Hisata, K.; Kantake, M.; Obinata, K. Intrauterine Growth Restriction Affects Z-Scores of Anthropometric Parameters during the First 6 Years in Very-Low-Birth-Weight Children Born at <30 Weeks. J. Dev. Orig. Health Dis. 2020, 11, 44–48. [Google Scholar] [CrossRef]
- Wang, X.; Zhu, J.; Guo, C.; Shi, H.; Wu, D.; Sun, F.; Shen, L.; Ge, P.; Wang, J.; Hu, X.; et al. Growth of Infants and Young Children Born Small for Gestational Age: Growth Restriction Accompanied by Overweight. J. Int. Med. Res. 2018, 46, 3765–3777. [Google Scholar] [CrossRef]
- Rambhojan, C.; Bouaziz-Amar, E.; Larifla, L.; Deloumeaux, J.; Clepier, J.; Plumasseau, J.; Lacorte, J.-M.; Foucan, L. Ghrelin, Adipokines, and Metabolic Factors Related to Weight Status in Schoolchildren. Nutr. Metab. 2015, 12, 43. [Google Scholar] [CrossRef]
- Ibáñez, L.; Suárez, L.; Lopez-Bermejo, A.; DíaZ, M.; Valls, C.; de Zegher, F. Early Development of Visceral Fat Excess after Spontaneous Catch-Up Growth in Children with Low Birth Weight. J. Clin. Endocrinol. Metab. 2008, 93, 925–928. [Google Scholar] [CrossRef] [PubMed]
- Zur, R.L.; Kingdom, J.C.; Parks, W.T.; Hobson, S.R. The Placental Basis of Fetal Growth Restriction. Obstet. Gynecol. Clin. N. Am. 2020, 47, 81–98. [Google Scholar] [CrossRef]
- Fewtrell, M.S.; Lucas, A.; Cole, T.J.; Wells, J. Catch-Up Growth in Small-for-Gestational-Age Term Infants: A Randomized Trial. Am. J. Clin. Nutr. 2001, 74, 516–523. [Google Scholar] [CrossRef]
- McLaughlin, E.J.; Hiscock, R.J.; Robinson, A.J.; Hui, L.; Tong, S.; Dane, K.M.; Middleton, A.L.; Walker, S.P.; MacDonald, T.M. Appropriate-for-gestational-age infants who exhibit reduced antenatal growth velocity display postnatal catch-up growth. PLoS ONE 2020, 15, e0238700. [Google Scholar] [CrossRef]
- Jou, M.-Y.; Lönnerdal, B.; Griffin, I.J. Effects of Early Postnatal Growth Restriction and Subsequent Catch-Up Growth on Body Composition and Insulin Sensitivity in Rats. Pediatr. Res. 2013, 73, 596–601. [Google Scholar] [CrossRef]
- Beermann, C.; Neumann, S.; Fußbroich, D.; Zielen, S.; Schubert, R. Catch-Up Growth Following Food Restriction Exacerbates Adult Glucose Intolerance in Pigs Exposed to Intrauterine Undernutrition. Nutrition 2016, 32, 1275–1284. [Google Scholar] [CrossRef]
- Cauzzo, C.; Chiavaroli, V.; Di Valerio, S.; Chiarelli, F. Birth Size, Growth Trajectory and Later Cardiometabolic Risk. Front. Endocrinol. 2023, 14, 1187261. [Google Scholar] [CrossRef] [PubMed]
- Berends, L.M.; Fernandez-Twinn, D.S.; Martin-Gronert, M.S.; Cripps, R.L.; Ozanne, S.E. Catch-Up Growth Following IUGR Programmes Insulin-Resistant Phenotype in Adipose Tissue. Int. J. Obes. 2013, 37, 1051–1057. [Google Scholar] [CrossRef] [PubMed]
- Martín-Calvo, N.; Goni, L.; Tur, J.A.; Martínez, J.A. Low Birth Weight and SGA Are Associated with Childhood and Adolescence Obesity: Systematic Review and Meta-Analysis. Obes. Rev. 2022, 23, e13380. [Google Scholar] [CrossRef] [PubMed]
- Sutharsan, R.; O’Callaghan, M.J.; Williams, G.; Najman, J.M.; Mamun, A.A. Rapid growth in early childhood associated with young adult overweight and obesity--evidence from a community based cohort study. J. Health Popul. Nutr. 2015, 33, 13. [Google Scholar] [CrossRef]
- Zheng, M.; Hesketh, K.D.; Vuillermin, P.; Dodd, J.; Wen, L.M.; Baur, L.A.; Taylor, R.; Byrne, R.; Mihrshahi, S.; Sly, P.D.; et al. Determinants of Rapid Infant Weight Gain: A Pooled Analysis of Seven Cohorts. Pediatr. Obes. 2022, 17, e12928. [Google Scholar] [CrossRef]
- Tian, A.; Meng, F.; Li, S.; Wu, Y.; Zhang, C.; Luo, X. Inadequate linear catch-up growth in children born small for gestational age: Influencing factors and underlying mechanisms. Rev. Endocr. Metab. Disord. 2024, 25, 805–816. [Google Scholar] [CrossRef]
- Batista, R.F.L.; Hesketh, K.D.; Vuillermin, P.; Dodd, J.; Wen, L.M.; Baur, L.A.; Taylor, R.; Byrne, R.; Mihrshahi, S.; Sly, P.D.; et al. Factors Associated with Height Catch-Up and Catch-Down Growth among Schoolchildren. PLoS ONE 2012, 7, e32903. [Google Scholar] [CrossRef] [PubMed]






| Variable | Total | Male | Female | p Value | Moderate FGR | Severe FGR | p Value |
|---|---|---|---|---|---|---|---|
| Cases | 170 | 68 (40%) | 102 (60%) | 110 (64.61%) | 60 (35.29%) | ||
| Birth weight (g) | 2.51 ± 0.19 | 2.52 ± 0.17 | 2.51 ± 0.19 | 0.67 | 2.61 ± 0.10 | 2.32 ± 0.16 | <0.001 |
| GA at birth (weeks) | 38 ± 0.51 | 38 ± 0.54 | 38 ± 1.78 | 1.000 | 38 ± 0.96 | 38 ± 0 | 1.0 |
| Natural vaginal delivery | 2 (1.2%) | 0 | 2 (1.96%) | 0 | 2 (3.33%) | ||
| Cesarean delivery | 168 (98.8%) | 68 (100%) | 100 (98.94%) | 110 (100%) | 58 (96.67%) | ||
| Maternal age at delivery (years) | 28.44 ± 6.79 | 27.98 ± 5.57 | 28.75 ± 7.50 | 0.381631 | 28.52 ± 6.80 | 28.3 ± 6.81 | 0.818353197 |
| Maternal education < 4 classes | 29 (17.05%) | 18 (26.47%) | 11 (10.78%) | 23 (20.9%) | 6 (10%) | ||
| Maternal education > 12 classes | 14 (8.23%) | 5 (7.35%) | 9 (8.82%) | 8 (7.27%) | 6 (10%) | ||
| Birth length (cm) | 45.26 ± 1.69 | 45.43 ± 1.65 | 45.15 ± 1.71 | 0.29 | 46.18 ± 1.14 | 43.57 ± 1.13 | <0.001 |
| Male sex | 68 (40%) | 68 (100%) | / | 45 (40.9%) | 23 (38.33%) | ||
| Breastfeed within first 6 months of life | 54 (31.77%) | 21 (30.88%) | 33 (32.35%) | 32 (29.1%) | 22 (36.66%) | ||
| Formula fed within first 6 months of life | 80 (47.05%) | 34 (50%) | 46 (45.1%) | 53 (48.18%) | 27 (45%) | ||
| Mixed alimentation within first 6 months of life | 36 (21.18%) | 13 (19.12%) | 23 (22.55%) | 25 (22.72%) | 11 (18.34%) | ||
| Rural area | 126 (74.11%) | 53 (77.94%) | 73 (71.56%) | 79 (71.81%) | 47 (78.33%) | ||
| Urban area | 44 (25.89%) | 15 (22.06%) | 29 (28.44%) | 31 (28.19%) | 13 (21.67%) | ||
| Variable | Total | Male | Female | p a | Moderate FGR | Severe FGR | p b |
|---|---|---|---|---|---|---|---|
| Cases | 170 | 68 | 102 | 110 | 60 | ||
| Weight (kg) | |||||||
| Initial | 2.51 ± 0.19 | 2.52 ± 0.17 | 2.51 ± 0.19 | 0.67 | 2.61 ± 0.10 | 2.32 ± 0.16 | <0.001 |
| 1 year | 8.83 ± 0.99 | 9.22 ± 1.09 | 8.57 ± 0.83 | <0.001 | 8.79 ± 1.01 | 8.90 ± 0.98 | 0.49 |
| 2 years | 12.69 ± 1.62 | 13.04 ± 1.55 | 12.45 ± 1.63 | 0.02 | 12.63 ± 1.56 | 12.79 ± 1.74 | 0.52 |
| 5 years | 20.11 ± 4.36 | 19.63 ± 4.23 | 20.42 ± 4.44 | 0.25 | 20.09 ± 4.32 | 20.13 ± 4.47 | 0.96 |
| 10 years | 36.42 ± 11.19 | 34.33 ± 8.34 | 37.81 ± 12.59 | 0.03 | 36.93 ± 11.46 | 35.47 ± 10.69 | 0.42 |
| Length (cm) | |||||||
| Initial | 45.26 ± 1.69 | 45.43 ± 1.65 | 45.15 ± 1.71 | 0.29 | 46.18 ± 1.14 | 43.57 ± 1.13 | <0.001 |
| 1 year | 73.22 ± 2.53 | 73.88 ± 2.06 | 72.77 ± 2.71 | 0.003 | 73.32 ± 2.53 | 73.02 ± 2.53 | 0.45 |
| 2 years | 84.30 ± 3.27 | 84.59 ± 2.51 | 84.11 ± 3.69 | 0.31 | 84.44 ± 3.11 | 84.05 ± 3.56 | 0.46 |
| 5 years | 109.22 ± 7.24 | 108.12 ± 5.59 | 109.96 ± 8.10 | 0.08 | 109.31 ± 7.18 | 109.07 ± 7.42 | 0.84 |
| 10 years | 142.79 ± 10.37 | 143.79 ± 7.89 | 142.12 ± 11.73 | 0.27 | 143.34 ± 9.24 | 141.78 ± 12.20 | 0.39 |
| BMI (kg/m2) | |||||||
| Initial | 12.24 ± 0.41 | 12.19 ± 0.33 | 12.27 ± 0.45 | 0.21 | 12.25 ± 0.37 | 12.23 ± 0.47 | 0.83 |
| 1 year | 16.44 ± 1.33 | 16.86 ± 1.54 | 16.16 ± 1.08 | <0.001 | 16.32 ± 1.37 | 16.66 ± 1.23 | 0.11 |
| 2 years | 17.81 ± 1.68 | 18.20 ± 1.87 | 17.55 ± 1.49 | 0.01 | 17.67 ± 1.67 | 18.06 ± 1.67 | 0.15 |
| 5 years | 16.76 ± 2.68 | 16.78 ± 3.33 | 16.75 ± 2.16 | 0.948 | 16.74 ± 2.76 | 16.81 ± 2.56 | 0.86 |
| 10 years | 17.63 ± 3.84 | 16.55 ± 3.56 | 18.35 ± 3.87 | 0.002 | 17.73 ± 3.95 | 17.45 ± 3.67 | 0.65 |
| Variable | Total | Male | Female | p a | Moderate FGR | Severe FGR | p b |
|---|---|---|---|---|---|---|---|
| Cases | 170 | 68 | 102 | 110 | 60 | ||
| Weight (kg) | |||||||
| 1 year | 118 (69.41%) | 50 (73.53%) | 68 (66.67%) | 0.34 | 68 (61.82%) | 50 (83.33%) | 0.005 |
| 2 years | 148 (87.06%) | 60 (88.24%) | 88 (86.27%) | 0.71 | 94 (85.45%) | 54 (90.00%) | 0.40 |
| 5 years | 156 (91.76%) | 63 (92.65%) | 93 (91.18%) | 0.73 | 99 (90.00%) | 57 (95.00%) | 0.27 |
| 10 years | 158 (92.94%) | 64 (94.12%) | 94 (92.16%) | 0.63 | 101 (91.82%) | 57 (95.00%) | 0.44 |
| Length (cm) | |||||||
| 1 year | 118 (69.41%) | 48 (70.59%) | 70 (68.63%) | 0.79 | 63 (57.27%) | 55 (91.67%) | <0.001 |
| 2 years | 130 (76.47%) | 56 (82.35%) | 74 (72.55%) | 0.14 | 75 (68.18%) | 55 (91.67%) | <0.001 |
| 5 years | 145 (85.29%) | 60 (88.24%) | 85 (83.33%) | 0.38 | 89 (80.91%) | 56 (93.33%) | 0.037 |
| 10 years | 153 (90.00%) | 64 (94.12%) | 89 (87.25%) | 0.15 | 96 (87.27%) | 57 (95.00%) | 0.12 |
| BMI (kg/m2) | |||||||
| 1 year | 63 (37.06%) | 27 (39.71%) | 36 (35.29%) | 0.56 | 38 (34.55%) | 25 (41.67%) | 0.36 |
| 2 years | 149 (87.65%) | 60 (88.24%) | 89 (87.25%) | 0.85 | 93 (84.55%) | 56 (93.33%) | 0.11 |
| 5 years | 158 (92.94%) | 62 (91.18%) | 96 (94.12%) | 0.47 | 100 (90.91%) | 58 (96.67%) | 0.18 |
| 10 years | 158 (92.94%) | 62 (91.18%) | 96 (94.12%) | 0.47 | 100 (90.91%) | 58 (96.67%) | 0.18 |
| Male | Female | /Fisher * | p Value | |
|---|---|---|---|---|
| Weight | ||||
| Z 120 months | 16.2% | 23.5% | 1.349 | 0.245 |
| Z 60 months | 13.2% | 33.3% | 8.722 | 0.003 |
| Z 24 months | 13.2% | 18.6% | 0.862 | 0.353 |
| Height | ||||
| Z 120 months | 14.7% | 18.6% | 0.443 | 0.505 |
| Z 60 months | 2.9% | 7.8% | - | 0.319 |
| Z 24 months | - | - | - | - |
| BMI | ||||
| Z 120 months | 13.2% | 19.6% | 1.171 | 0.279 |
| Z 60 months | 13.2% | 25.5% | 3.748 | 0.053 |
| Z 24 months | 33.8% | 22.5% | 2.628 | 0.105 |
| Severe FGR | Moderate FGR | /Fisher * | p Value | |
|---|---|---|---|---|
| Weight | ||||
| Z 120 months | 18.3% | 21.8% | 0.288 | 0.591 |
| Z 60 months | 28.3% | 23.6% | 0.453 | 0.501 |
| Z 24 months | 18.3% | 15.5% | 0.234 | 0.629 |
| Height | ||||
| Z 120 months | 16.7% | 17.3% | 0.010 | 0.920 |
| Z 60 months | 8.3% | 4.5% | - | 0.326 |
| Z 24 months | - | - | - | - |
| BMI | ||||
| Z 120 months | 11.7% | 20.0% | 1.906 | 0.167 |
| Z 60 months | 18.3% | 21.8% | 0.288 | 0.591 |
| Z 24 months | 35.0% | 22.7% | 2.963 | 0.085 |
Disclaimer/Publisher’s Note: The statements, opinions and data contained in all publications are solely those of the individual author(s) and contributor(s) and not of MDPI and/or the editor(s). MDPI and/or the editor(s) disclaim responsibility for any injury to people or property resulting from any ideas, methods, instructions or products referred to in the content. |
© 2026 by the authors. Licensee MDPI, Basel, Switzerland. This article is an open access article distributed under the terms and conditions of the Creative Commons Attribution (CC BY) license.
Share and Cite
Adam-Raileanu, A.; Nedelcu, A.H.; Lupu, A.; Țarcă, V.; Bozomitu, L.; Forna, L.; Ioniuc, I.; Mihai, C.M.; Chisnoiu, T.; Țarcă, E.; et al. Growth Recovery After Fetal Growth Restriction: A 10-Year Follow-Up of Term-Born Children. Nutrients 2026, 18, 243. https://doi.org/10.3390/nu18020243
Adam-Raileanu A, Nedelcu AH, Lupu A, Țarcă V, Bozomitu L, Forna L, Ioniuc I, Mihai CM, Chisnoiu T, Țarcă E, et al. Growth Recovery After Fetal Growth Restriction: A 10-Year Follow-Up of Term-Born Children. Nutrients. 2026; 18(2):243. https://doi.org/10.3390/nu18020243
Chicago/Turabian StyleAdam-Raileanu, Anca, Alin Horatiu Nedelcu, Ancuta Lupu, Viorel Țarcă, Laura Bozomitu, Lorenza Forna, Ileana Ioniuc, Cristina Maria Mihai, Tatiana Chisnoiu, Elena Țarcă, and et al. 2026. "Growth Recovery After Fetal Growth Restriction: A 10-Year Follow-Up of Term-Born Children" Nutrients 18, no. 2: 243. https://doi.org/10.3390/nu18020243
APA StyleAdam-Raileanu, A., Nedelcu, A. H., Lupu, A., Țarcă, V., Bozomitu, L., Forna, L., Ioniuc, I., Mihai, C. M., Chisnoiu, T., Țarcă, E., Morariu, I. D., Anton, E., Puha, B., & Lupu, V. V. (2026). Growth Recovery After Fetal Growth Restriction: A 10-Year Follow-Up of Term-Born Children. Nutrients, 18(2), 243. https://doi.org/10.3390/nu18020243

