FFQ-NutriForHer: Reproducibility and Validity of a Semi-Quantitative Food Frequency Questionnaire for Young and Older Women
Abstract
1. Introduction
2. Materials and Methods
2.1. Study Design
2.2. General Data
2.3. FFQ Development
2.4. Dietary Assessment
2.4.1. Food Frequency Questionnaire (FFQ)
2.4.2. 3-Day Food Record (3DR)
2.5. Statistical Analysis
2.5.1. Reproducibility of the FFQ-NutriForHer
2.5.2. Validity of the FFQ-NutriForHer
2.6. Quality of Validation
3. Results
3.1. Study Population
3.2. Reproducibility
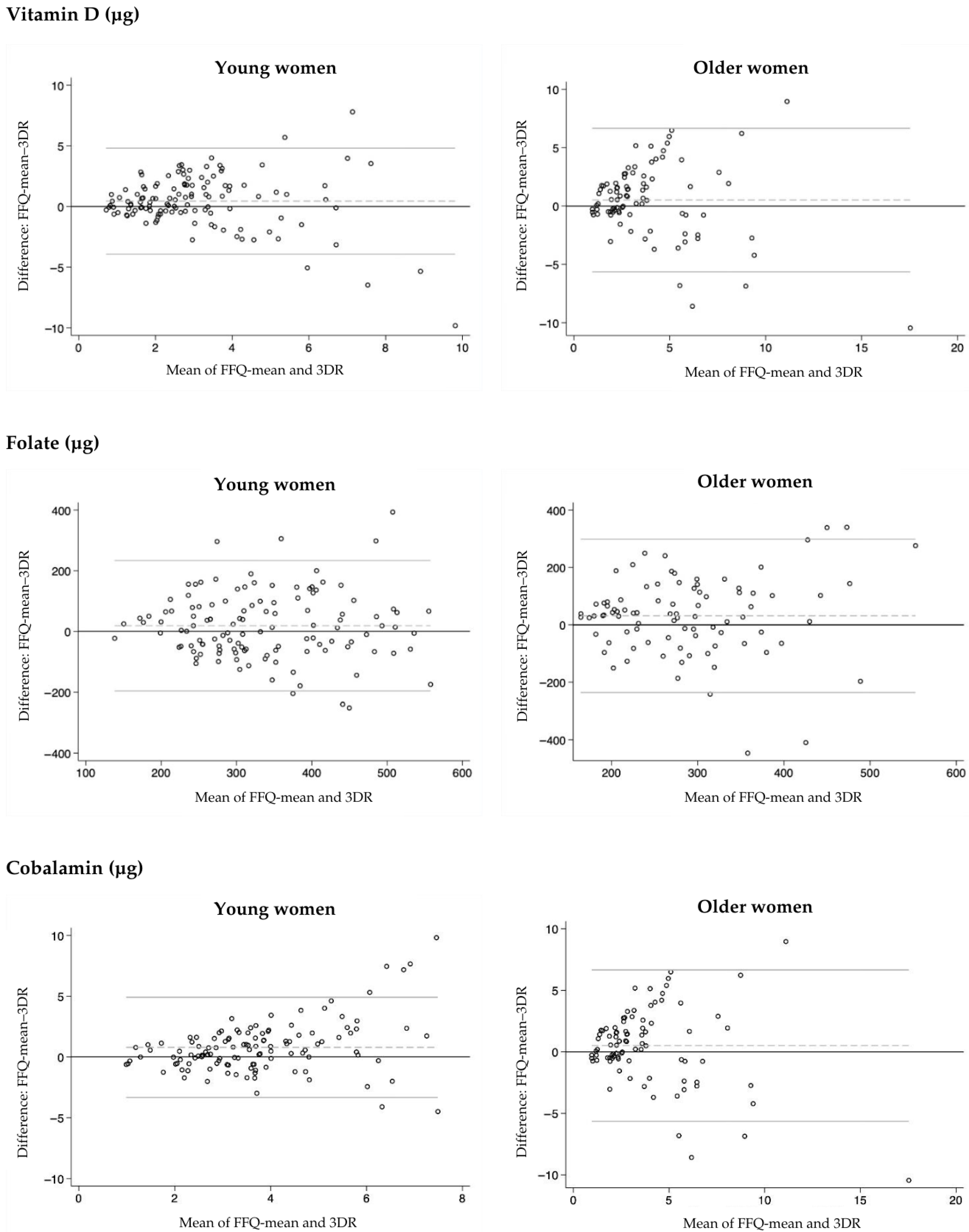
3.3. Validity
4. Discussion
5. Conclusions
Supplementary Materials
Author Contributions
Funding
Institutional Review Board Statement
Informed Consent Statement
Data Availability Statement
Acknowledgments
Conflicts of Interest
Abbreviations
| 3DR | 3-day diet record |
| FFQ | Food Frequency Questionnaire |
| FFQ1 | Food Frequency Questionnaire 1 |
| FFQ2 | Food Frequency Questionnaire 2 |
| FFQ-mean | mean value of two food frequency questionnaires |
| ICC | intra-class correlation coefficient |
| PPC | Pearson Correlation Coefficient |
| Q1, Q2, Q3, Q4 | quartile 1, quartile 2, quartile 3, quartile 4 |
References
- Feskens, E.J.M.; Bailey, R.; Bhutta, Z.; Biesalski, H.-K.; Eicher-Miller, H.; Krämer, K.; Pan, W.-H.; Griffiths, J.C. Women’s health: Optimal nutrition throughout the lifecycle. Eur. J. Nutr. 2022, 61 (Suppl. 1), 1–23. [Google Scholar] [CrossRef]
- Arab, A.; Karimi, E.; Vingrys, K.; Kelishadi, M.R.; Mehrabani, S.; Askari, G. Food groups and nutrients consumption and risk of endometriosis: A systematic review and meta-analysis of observational studies. Nutr. J. 2022, 21, 58. [Google Scholar] [CrossRef]
- Jurczewska, J.; Szostak-Węgierek, D. The Influence of Diet on Ovulation Disorders in Women-A Narrative Review. Nutrients 2022, 14, 1556. [Google Scholar] [CrossRef]
- Kazemi, M.; Kim, J.Y.; Wan, C.; Xiong, J.D.; Michalak, J.; Xavier, I.B.; Ganga, K.; Tay, C.T.; A Grieger, J.; A Parry, S.; et al. Comparison of dietary and physical activity behaviors in women with and without polycystic ovary syndrome: A systematic review and meta-analysis of 39471 women. Hum. Reprod. Update 2022, 28, 910–955. [Google Scholar] [CrossRef]
- Yang, J.; Song, Y.; Gaskins, A.J.; Li, L.-J.; Huang, Z.; Eriksson, J.G.; Hu, F.B.; Chong, Y.S.; Zhang, C. Mediterranean diet and female reproductive health over lifespan: A systematic review and meta-analysis. Am. J. Obstet. Gynecol. 2023, 229, 617–631. [Google Scholar] [CrossRef]
- Reynolds, L.M.; Houston, D.K.; Skiba, M.B.; Whitsel, E.A.; Stewart, J.D.; Li, Y.; Zannas, A.S.; Assimes, T.L.; Horvath, S.; Bhatti, P.; et al. Diet Quality and Epigenetic Aging in the Women’s Health Initiative. J. Acad. Nutr. Diet. 2024, 124, 1419–1430.e3. [Google Scholar] [CrossRef]
- Çiftçi, S.; Yalçın, T.; Ozturk, E.E. Body mass index having a mediating role between diet quality & mental and physical health among women. BMC Psychol. 2025, 13, 335. [Google Scholar] [CrossRef]
- Lee, M.F.; Orr, R.; Marx, W.; Jacka, F.N.; O’NEil, A.; Lane, M.M.; Ashtree, D.N. The association between dietary exposures and anxiety symptoms: A prospective analysis of the Australian Longitudinal Study on Women’s Health cohort. J. Affect. Disord. 2025, 389, 119651. [Google Scholar] [CrossRef] [PubMed]
- Herman, D.R.; Baer, M.T.; Adams, E.; Cunningham-Sabo, L.; Duran, N.; Johnson, D.B.; Yakes, E. Life Course Perspective: Evidence for the Role of Nutrition. Matern. Child Health J. 2014, 18, 450–461. [Google Scholar] [CrossRef] [PubMed]
- Jones, N.L.; Gilman, S.E.; Cheng, T.L.; Drury, S.S.; Hill, C.V.; Geronimus, A.T. Life Course Approaches to the Causes of Health Disparities. Am. J. Public Health 2019, 109 (Suppl. S1), S48–S55. [Google Scholar] [CrossRef] [PubMed]
- Chong, M.F.F. Dietary trajectories through the life course: Opportunities and challenges. Br. J. Nutr. 2022, 128, 154–159. [Google Scholar] [CrossRef] [PubMed]
- Rodríguez-Mañas, L.; Murray, R.; Glencorse, C.; Sulo, S. Good nutrition across the lifespan is foundational for healthy aging and sustainable development. Front. Nutr. 2023, 9, 1113060. [Google Scholar] [CrossRef] [PubMed]
- The Life-Course Approach: From Theory to Practice: Case Stories from Two Small Countries in Europe. Available online: https://www.who.int/europe/publications/i/item/9789289053266 (accessed on 23 June 2025).
- Lee, H.; Kang, M.; Song, W.O.; Shim, J.E.; Paik, H.Y. Gender analysis in the development and validation of FFQ: A systematic review. Br. J. Nutr. 2016, 115, 666–671. [Google Scholar] [CrossRef]
- European Commision. Gendered Innovations 2: How Inclusive Analysis Contributes to Research and Innovation; European Commision: Brussel, Belgium, 2020; 244p.
- McKenzie, B.L.; Coyle, D.H.; Burrows, T.; Rosewarne, E.; A E Peters, S.; Carcel, C.; E Collins, C.; Norton, R.; Woodward, M.; Jaacks, L.M.; et al. Gender differences in the accuracy of dietary assessment methods to measure energy intake in adults: Protocol for a systematic review and meta-analysis. BMJ Open. 2020, 10, e035611. [Google Scholar] [CrossRef]
- Dietary Assessment Method | Gendered Innovations. Available online: https://genderedinnovations.stanford.edu/case-studies/dietary.html#tabs-2 (accessed on 23 June 2025).
- Esquivel, M.K.; Lozano, C.P. An Overview of Traditional and Novel Tools to Assess Diet. Am. J. Lifestyle Med. 2024, 18, 475–478. [Google Scholar] [CrossRef]
- Bailey, R.L. Overview of Dietary Assessment Methods for Measuring Intakes of Foods, Beverages, and Dietary Supplements in Research Studies. Curr. Opin. Biotechnol. 2021, 70, 91–96. [Google Scholar] [CrossRef]
- Sierra-Ruelas, É.; Bernal-Orozco, M.F.; Macedo-Ojeda, G.; Márquez-Sandoval, Y.F.; Altamirano-Martínez, M.B.; Vizmanos, B. Validation of semiquantitative FFQ administered to adults: A systematic review. Public Health Nutr. 2020, 24, 3399–3418. [Google Scholar] [CrossRef]
- Lee, M.M.; Lee, F.; Ladenla, S.W.; Miike, R. A semiquantitative dietary history questionnaire for Chinese Americans. Ann. Epidemiol. 1994, 4, 188–197. [Google Scholar] [CrossRef]
- Willett, W.C.; Sampson, L.; Stampfer, M.J.; Rosner, B.; Bain, C.; Witschi, J.; Hennekens, C.H.; Speizer, F.E. Reproducibility and validity of a semiquantitative food frequency questionnaire. Am. J. Epidemiol. 1985, 122, 51–65. [Google Scholar] [CrossRef]
- Patterson, R.E.; Kristal, A.R.; Tinker, L.F.; Carter, R.A.; Bolton, M.P.; Agurs-Collins, T. Measurement characteristics of the Women’s Health Initiative food frequency questionnaire. Ann. Epidemiol. 1999, 9, 178–187. [Google Scholar] [CrossRef] [PubMed]
- Gu, X.; Wang, D.D.; Sampson, L.; Barnett, J.B.; Rimm, E.B.; Stampfer, M.J.; Djousse, L.; Rosner, B.; Willett, W.C. Validity and Reproducibility of a Semiquantitative Food Frequency Questionnaire for Measuring Intakes of Foods and Food Groups. Am. J. Epidemiol. 2023, 193, 170–179. [Google Scholar] [CrossRef]
- Tokudome, S.; Imaeda, N.; Tokudome, Y.; Fujiwara, N.; Nagaya, T.; Sato, J.; Kuriki, K.; Ikeda, M.; Maki, S. Relative validity of a semi-quantitative food frequency questionnaire versus 28 day weighed diet records in Japanese female dietitians. Eur. J. Clin. Nutr. 2001, 55, 735–742. [Google Scholar] [CrossRef] [PubMed]
- Beck, K.L.; Houston, Z.L.; McNaughton, S.A.; Kruger, R. Development and evaluation of a food frequency questionnaire to assess nutrient intakes of adult women in New Zealand. Nutr. Diet. 2020, 77, 253–259. [Google Scholar] [CrossRef] [PubMed]
- Hernández-Avila, M.; Romieu, I.; Parra, S.; Hernández-Avila, J.; Madrigal, H.; Willett, W. Validity and reproducibility of a food frequency questionnaire to assess dietary intake of women living in Mexico City. Salud Publica Mex. 1998, 40, 133–140. [Google Scholar] [CrossRef]
- Roddam, A.W.; Spencer, E.; Banks, E.; Beral, V.; Reeves, G.; Appleby, P.; Barnes, I.; Whiteman, D.C.; Keyal, T.J. Reproducibility of a short semi-quantitative food group questionnaire and its performance in estimating nutrient intake compared with a 7-day diet diary in the Million Women Study. Public Health Nutr. 2005, 8, 201–213. [Google Scholar] [CrossRef]
- Martin-Moreno, J.M.; Boyle, P.; Gorgojo, L.; Maisonneuve, P.; Fernandez-Rodriguez, J.C.; Salvini, S.; Willett, W.C. Development and validation of a food frequency questionnaire in Spain. Int. J. Epidemiol. 1993, 22, 512–519. [Google Scholar] [CrossRef]
- Dumartheray, E.W.; Krieg, M.; Cornuz, J.; Whittamore, D.R.; Lovell, D.P.; Burckhardt, P.; Lanham-New, S.A. Validation and reproducibility of a semi-quantitative Food Frequency Questionnaire for use in elderly Swiss women. J. Hum. Nutr. Diet. Off. J. Br. Diet. Assoc. 2006, 19, 321–330. [Google Scholar] [CrossRef]
- Cui, Q.; Xia, Y.; Wu, Q.; Chang, Q.; Niu, K.; Zhao, Y. A meta-analysis of the reproducibility of frequency questionnaires in nutritional epidemiological studies. J. Behav. Nutr. Phys. Act. 2021, 18, 12. [Google Scholar] [CrossRef] [PubMed]
- Rhee, J.J.; Sampson, L.; Cho, E.; Hughes, M.D.; Hu, F.B.; Willett, W.C. Comparison of methods to account for implausible reporting of energy intake in epidemiologic studies. Am. J. Epidemiol. 2015, 181, 225–233. [Google Scholar] [CrossRef]
- World Health Organization. Obesity: Preventing and Managing the Global Epidemic, Report of a WHO Consultation; World Health Organization Technical Report Serires; World Health Organization: Geneva, Switzerland, 2000; Volume 894, pp. 1–253. [Google Scholar]
- Grzymisławska, M.; Puch, E.A.; Zawada, A.; Grzymisławski, M. Do nutritional behaviors depend on biological sex and cultural gender? Adv. Clin. Exp. Med. 2020, 29, 165–172. [Google Scholar] [CrossRef]
- Bailey, R.L.; Dog, T.L.; E Smith-Ryan, A.; Das, S.K.; Baker, F.C.; Madak-Erdogan, Z.; Hammond, B.R.; Sesso, H.D.; Eapen, A.; Mitmesser, S.H.; et al. Sex Differences Across the Life Course: A Focus on Unique Nutritional and Health Considerations among Women. J. Nutr. 2022, 152, 1597–1610. [Google Scholar] [CrossRef]
- Egele, V.S.; Stark, R. Specific health beliefs mediate sex differences in food choice. Front. Nutr. 2023, 5, 10. Available online: https://www.frontiersin.org/journals/nutrition/articles/10.3389/fnut.2023.1159809/full (accessed on 15 March 2025). [CrossRef]
- Feraco, A.; Armani, A.; Amoah, I.; Guseva, E.; Camajani, E.; Gorini, S.; Strollo, R.; Padua, E.; Caprio, M.; Lombardo, M. Assessing gender differences in food preferences and physical activity: A population-based survey. Front. Nutr. 2024, 11, 1348456. [Google Scholar] [CrossRef] [PubMed]
- Balder, H.F.; Virtanen, M.; Brants, H.A.M.; Krogh, V.; Dixon, L.B.; Tan, F.; Mannisto, S.; Bellocco, R.; Pietinen, P.; Wolk, A.; et al. Common and Country-Specific Dietary Patterns in Four European Cohort Studies. J. Nutr. 2003, 133, 4246–4251. [Google Scholar] [CrossRef]
- Woolhead, C.; Walsh, M.; Gibney, M.; Daniel, H.; Drevon, C.; Lovegrove, J.; Manios, Y.; Martinez, J.; Mathers, J.; Traczyk, I.; et al. Dietary patterns in Europe: The Food4Me proof of principle study. Proc. Nutr. Soc. 2015, 74, E233. [Google Scholar] [CrossRef]
- Gajda, R.; Jeżewska-Zychowicz, M.; Kamińska, K.; Jarossová, M.A.; Prokeinova, R.B. Differences in dietary patterns of older women in upper silesia due to their financial and social situation. Zywnosc Nauka Technol. Jakosc Food Sci. Technol. Qual. 2025, 32, 131–153. [Google Scholar] [CrossRef]
- Kunachowicz, H.; Przygoda, B.; Nadolna, I.; Iwanow, K. Tabela Wartości Odżywczej Produktów Spożywczych i Potraw—Wydanie IV Rozszerzone i Uaktualnione; Narodowy Instytut Zdrowia Publicznego PZH—Państwowy Instytut Badawczy: Warsaw, Poland, 2017.
- Willett, W.; Stampfer, M.J. Total energy intake: Implications for epidemiologic analyses. Am. J. Epidemiol. 1986, 124, 17–27. [Google Scholar] [CrossRef]
- Liu, K.; Stamler, J.; Dyer, A.; McKeever, J.; McKeever, P. Statistical methods to assess and minimize the role of intra-individual variability in obscuring the relationship between dietary lipids and serum cholesterol. J. Chronic Dis. 1978, 31, 399–418. [Google Scholar] [CrossRef]
- Mukaka, M. A guide to appropriate use of Correlation coefficient in medical research. Malawi Med. J. J. Med. Assoc. Malawi 2012, 24, 69–71. [Google Scholar]
- Koo, T.K.; Li, M.Y. A Guideline of Selecting and Reporting Intraclass Correlation Coefficients for Reliability Research. J. Chiropr. Med. 2016, 15, 155–163. [Google Scholar] [CrossRef]
- Beaton, G.H.; Milner, J.; Corey, P.; McGuire, V.; Cousins, M.; Stewart, E.; de Ramos, M.; Hewitt, D.; Grambsch, P.V.; Kassim, N.; et al. Sources of variance in 24-hour dietary recall data: Implications for nutrition study design and interpretation. Am. J. Clin. Nutr. 1979, 32, 2546–2559. [Google Scholar] [CrossRef] [PubMed]
- Willett, W.; Lenart, E. Reproducibility and Validity of Food Frequency Questionnaires. In Nutritional Epidemiology; Willett, W., Ed.; Oxford University Press: Oxford, UK, 2012. [Google Scholar] [CrossRef]
- Bland, J.M.; Altman, D.G. Statistical methods for assessing agreement between two methods of clinical measurement. Lancet Lond. Engl. 1986, 1, 307–310. [Google Scholar] [CrossRef]
- Serra-Majem, L.; Andersen, L.F.; Henríque-Sánchez, P.; Doreste-Alonso, J.; Sánchez-Villegas, A.; Ortiz-Andrelluchi, A.; Negri, E.; La Vecchia, C. Evaluating the quality of dietary intake validation studies. Br. J. Nutr. 2009, 102 (Suppl. S1), S3–S9. [Google Scholar] [CrossRef]
- Willett, W. Nutritional Epidemiology; Oxford University Press: Cary, NC, USA, 2013; 547p. [Google Scholar]
- Shahar, D.R.; Yu, B.; Houston, D.K.; Kritchevsky, S.B.; Newman, A.B.; E Sellmeyer, D.; A Tylavsky, F.; Lee, J.S.; Harris, T.B.; Health, Aging, and Body Composition Study. Misreporting of energy intake in the elderly using doubly labeled water to measure total energy expenditure and weight change. J. Am. Coll. Nutr. 2010, 29, 14–24. [Google Scholar] [CrossRef]
- Banna, J.C.; Fialkowski, M.K.; Townsend, M.S. Misreporting of Dietary Intake Affects Estimated Nutrient Intakes in Low-Income Spanish-Speaking Women. J. Acad. Nutr. Diet. 2015, 115, 1124–1133. [Google Scholar] [CrossRef]
- Baugreet, S.; Hamill, R.M.; Kerry, J.P.; McCarthy, S.N. Mitigating Nutrition and Health Deficiencies in Older Adults: A Role for Food Innovation? J Food Sci. 2017, 82, 848–855. [Google Scholar] [CrossRef]
- Novotny, J.A.; Rumpler, W.V.; Riddick, H.; Hebert, J.R.; Rhodes, D.; Judd, J.T.; Baer, D.J.; McDowell, M.; Briefel, R. Personality characteristics as predictors of underreporting of energy intake on 24-hour dietary recall interviews. J. Am. Diet. Assoc. 2003, 103, 1146–1151. [Google Scholar] [CrossRef]
- Boulanger, B.; Bédard, A.; Carbonneau, É.; Pelletier, L.; Robitaille, J.; Lamarche, B.; Lemieux, S. Social desirability, dietary intakes, and variables related to attitudes and behaviours towards eating among French-speaking adults from Quebec, Canada: The PREDISE study. Appl. Physiol. Nutr. Metab. Physiol. Appl. Nutr. Metab. 2024, 49, 167–178. [Google Scholar] [CrossRef]
- Fernandes, S.; Costa, C.; Nakamura, I.S.; Poínhos, R.; Oliveira, B.M.P.M. Risk of Eating Disorders and Social Desirability among Higher Education Students: Comparison of Nutrition Students with Other Courses. Healthcare 2024, 12, 744. [Google Scholar] [CrossRef]
- Sergi, G.; Bano, G.; Pizzato, S.; Veronese, N.; Manzato, E. Taste loss in the elderly: Possible implications for dietary habits. Crit. Rev. Food. Sci. Nutr. 2017, 57, 3684–3689. [Google Scholar] [CrossRef] [PubMed]
- Koehler, J.; Leonhaeuser, I.U. Changes in food preferences during aging. Ann. Nutr. Metab. 2008, 52 (Suppl. 1), 15–19. [Google Scholar] [CrossRef]
- Deschamps, V.; de Lauzon-Guillain, B.; Lafay, L.; Borys, J.M.; Charles, M.A.; Romon, M. Reproducibility and relative validity of a food-frequency questionnaire among French adults and adolescents. Eur. J. Clin. Nutr. 2009, 63, 282–291. [Google Scholar] [CrossRef]
- Henn, R.; Fuchs, S.; Moreira, L.; Fuchs, F. Development and validation of a food frequency questionnaire (FFQ-Porto Alegre) for adolescent, adult and elderly populations from Southern Brazil. Cad. Saúde Pública Minist. Saúde Fundação Oswaldo Cruz Esc. Nac. Saúde Pública 2010, 26, 2068–2079. [Google Scholar] [CrossRef]
- Na, Y.J.; Lee, S.H. Development and validation of a quantitative food frequency questionnaire to assess nutritional status in Korean adults. Nutr. Res. Pract. 2012, 6, 444–450. [Google Scholar] [CrossRef] [PubMed]
- Liu, L.; Wang, P.P.; Roebothan, B.; Ryan, A.; Tucker, C.S.; Colbourne, J.; Baker, N.; Cotterchio, M.; Yi, Y.; Sun, G. Assessing the validity of a self-administered food-frequency questionnaire (FFQ) in the adult population of Newfoundland and Labrador, Canada. Nutr. J. 2013, 12, 49. [Google Scholar] [CrossRef]
- van Dongen, M.C.; Wijckmans-Duysens, N.E.; Biggelaar, L.J.D.; Ocké, M.C.; Meijboom, S.; Brants, H.A.; de Vries, J.H.; Feskens, E.J.; Bueno-De-Mesquita, H.B.; Geelen, A.; et al. The Maastricht FFQ: Development and validation of a comprehensive food frequency questionnaire for the Maastricht study. Nutrition 2019, 62, 39–46. [Google Scholar] [CrossRef]
- Fernández-Ballart, J.D.; Piñol, J.L.; Zazpe, I.; Corella, D.; Carrasco, P.; Toledo, E.; Perez-Bauer, M.; Martínez-González, M.Á.; Salas-Salvadó, J.; Martín-Moreno, J.M. Relative validity of a semi-quantitative food-frequency questionnaire in an elderly Mediterranean population of Spain. Br. J. Nutr. 2010, 103, 1808–1816. [Google Scholar] [CrossRef]
- Visser, M.; Elstgeest, L.E.M.; Winkens, L.H.H.; Brouwer, I.A.; Nicolaou, M. Relative Validity of the HELIUS Food Frequency Questionnaire for Measuring Dietary Intake in Older Adult Participants of the Longitudinal Aging Study Amsterdam. Nutrients. 2020, 12, 1998. [Google Scholar] [CrossRef]
- Dehghan, M.; Akhtar-Danesh, N.; Merchant, A.T. Factors associated with fruit and vegetable consumption among adults. J. Hum. Nutr. Diet. Off. J. Br. Diet. Assoc. 2011, 24, 128–134. [Google Scholar] [CrossRef] [PubMed]
- Nielsen, D.E.; Boucher, B.A.; Da Costa, L.A.; Jenkins, D.J.A.; El-Sohemy, A. Reproducibility and validity of the Toronto-modified Harvard food frequency questionnaire in a multi-ethnic sample of young adults. Eur. J. Clin. Nutr. 2023, 77, 246–254. [Google Scholar] [CrossRef] [PubMed]
- Xiao, Z.; Sun, X.; Zhaxi, D.; Zhang, F.; Ji, Y.; Cheng, T.; Li, X.; Xu, X. Distinct nutrient intake style in inhabitants of ultra-high-altitude areas of north of Tober, China: A cross-sectional study based on newly developed Tibetan food frequency questionnaires. Front. Nutr. 2021, 8, 743896. [Google Scholar] [CrossRef] [PubMed]
- Santos-Báez, L.S.; Ravelli, M.N.; Díaz-Rizzolo, D.A.; Popp, C.J.; Gallagher, D.; Cheng, B.; Schoeller, D.; Laferrere, B. Dietary misreporting: A comparative study of recalls vs energy expenditure and energy intake by doubly-labeled water in older adults with overweight or obesity. BMC Med. Res. Methodol. 2025, 25, 115. [Google Scholar] [CrossRef] [PubMed]
- Jia, X.; Craig, L.C.A.; Aucott, L.S.; Milne, A.C.; McNeill, G. Repeatability and validity of a food frequency questionnaire in free-living older people in relation to cognitive function. J. Nutr. Health Aging. 2008, 12, 735–741. [Google Scholar] [CrossRef]
- Fox, N.; Mathers, N. Empowering research: Statistical power in general practice research. Fam. Pract. 1997, 14, 324–329. [Google Scholar] [CrossRef] [PubMed]




| Characteristics | Young Women n = 121 | Older Women n = 88 | p-Value Chi2 Test | ||
|---|---|---|---|---|---|
| n | % | n | % | ||
| Age, years | 22.6 ± 1.6 | 74.7 ± 5.1 | |||
| Body mass index, kg/m2 | |||||
| <18.5 | 9 | 7.4 | 3 | 3.4 | |
| 18.5–24.9 | 105 | 86.8 | 39 | 44.3 | <0.001 |
| ≥25.0 | 7 | 5.8 | 46 | 52.3 | |
| Place of living | |||||
| Village | 33 | 27.3 | 15 | 17.0 | |
| Town (<100,000 residents) | 19 | 15.7 | 14 | 15.9 | 0.21 |
| City (>100,000 residents) | 69 | 57.0 | 59 | 67.1 | |
| Economic status (self-assessment) | |||||
| Poor | 2 | 1.7 | 6 | 6.8 | |
| Average | 37 | 30.6 | 39 | 44.3 | 0.01 |
| Good/very good | 82 | 67.7 | 43 | 48.9 | |
| Smoking status | |||||
| Never | 94 | 77.7 | 43 | 48.9 | |
| Former smokers | 20 | 16.5 | 35 | 39.8 | <0.001 |
| Current smokers | 7 | 5.8 | 10 | 11.3 | |
| Health status (self-assessment) | |||||
| Poor | 2 | 1.7 | 4 | 4.6 | |
| Average | 24 | 19.8 | 39 | 44.3 | <0.001 |
| Good | 47 | 38.8 | 39 | 44.3 | |
| Very good | 48 | 39.7 | 6 | 6.8 | |
| Physical activity (self-assessment) | |||||
| Very low/low | 35 | 28.9 | 55 | 62.5 | |
| Moderate | 67 | 55.4 | 27 | 30.7 | <0.001 |
| High/very high | 19 | 15.7 | 6 | 6.8 | |
| Parameter | FFQ1 | FFQ2 | PCC | ICC | ||||
|---|---|---|---|---|---|---|---|---|
| Median | P25–P75 | Median | P25–P75 | Crude | Energy- Adjusted * | Crude | Energy- Adjusted * | |
| YOUNG WOMEN (n = 121) | ||||||||
| Energy, kcal | 1650 | 1364–1927 | 1567 | 1237–1809 | 0.71 | - | 0.68 | - |
| Protein, g | 66.9 | 52.8–81.9 | 64.2 | 49.4–76.8 | 0.81 | 0.77 | 0.78 | 0.75 |
| Carbohydrate, g | 202 | 173–241 | 194 | 153–228 | 0.64 | 0.55 | 0.61 | 0.59 |
| Dietary fiber, g | 23.4 | 17.5–32.3 | 21.0 | 14.9–28.3 | 0.73 | 0.71 | 0.70 | 0.72 |
| Fat, g | 60.0 | 46.5–73.3 | 54.0 | 42.6–69.3 | 0.66 | 0.59 | 0.65 | 0.57 |
| Cholesterol, mg | 230 | 149–320 | 229 | 146–325 | 0.84 | 0.84 | 0.82 | 0.84 |
| MEAN ± SD # | - | - | - | - | 0.74 ± 0.09 | 0.69 ± 0.12 | 0.71 ± 0.09 | 0.69 ± 0.11 |
| OLDER WOMEN (n = 88) | ||||||||
| Energy, kcal | 1627 | 1223–2059 | 1497 | 1278–1901 | 0.67 | - | 0.66 | - |
| Protein, g | 67.6 | 48.8–86.3 | 64.1 | 47.5–76.1 | 0.69 | 0.70 | 0.68 | 0.74 |
| Carbohydrate, g | 201 | 157–258 | 198 | 154–238 | 0.70 | 0.69 | 0.69 | 0.64 |
| Dietary fiber, g | 20.6 | 13.9–27.6 | 19.6 | 12.6–26.0 | 0.75 | 0.74 | 0.75 | 0.78 |
| Fat, g | 63.6 | 42.1–82.7 | 61.8 | 44.4–79.1 | 0.60 | 0.59 | 0.60 | 0.51 |
| Cholesterol, mg | 240 | 176–296 | 229 | 182–283 | 0.61 | 0.62 | 0.61 | 0.59 |
| MEAN ± SD # | - | - | - | - | 0.67 ± 0.06 | 0.67 ± 0.06 | 0.67 ± 0.06 | 0.65 ± 0.11 |
| Parameter | FFQ1 | FFQ2 | PCC | ICC | ||||
|---|---|---|---|---|---|---|---|---|
| Median | P25–P75 | Median | P25–P75 | Crude | Energy- Adjusted * | Crude | Energy- Adjusted * | |
| YOUNG WOMEN (n = 121) | ||||||||
| Vitamin A, µg RE | 1102 | 844–1636 | 1063 | 722–1496 | 0.65 | 0.66 | 0.64 | 0.69 |
| Vitamin E, mg TE | 12.7 | 9.5–17.8 | 12.2 | 7.7–16.0 | 0.71 | 0.68 | 0.68 | 0.68 |
| Vitamin D, µg | 2.86 | 1.83–4.32 | 3.02 | 1.75–4.48 | 0.77 | 0.76 | 0.76 | 0.72 |
| Thiamine, mg | 1.10 | 0.90–1.36 | 1.07 | 0.73–1.29 | 0.73 | 0.70 | 0.70 | 0.66 |
| Riboflavin, mg | 1.52 | 1.20–1.90 | 1.42 | 1.10–1.78 | 0.74 | 0.71 | 0.71 | 0.72 |
| Folate, µg DFE | 339 | 258–438 | 307 | 237–411 | 0.70 | 0.69 | 0.67 | 0.75 |
| Pyridoxine, mg | 2.00 | 1.54–2.51 | 1.81 | 1.38–2.31 | 0.75 | 0.71 | 0.72 | 0.70 |
| Cobalamin, µg | 3.66 | 2.72–5.29 | 3.64 | 2.47–5.09 | 0.79 | 0.78 | 0.78 | 0.78 |
| Vitamin C, mg | 132 | 99–190 | 132 | 84–180 | 0.61 | 0.62 | 0.58 | 0.63 |
| Calcium, mg | 655 | 531–852 | 642 | 483–796 | 0.69 | 0.68 | 0.67 | 0.67 |
| Phosphorus, mg | 1222 | 983–1532 | 1152 | 887–1433 | 0.80 | 0.77 | 0.78 | 0.71 |
| Magnesium, mg | 363 | 272–461 | 328 | 242–419 | 0.80 | 0.78 | 0.78 | 0.81 |
| Iron, mg | 13.0 | 10.1–15.6 | 12.0 | 8.9–15.2 | 0.75 | 0.72 | 0.72 | 0.70 |
| Zinc, mg | 9.5 | 7.7–11.6 | 9.0 | 6.8–11.1 | 0.78 | 0.75 | 0.76 | 0.72 |
| MEAN ± SD | - | - | - | - | 0.73 ± 0.06 | 0.72 ± 0.05 | 0.71 ± 0.06 | 0.71 ± 0.05 |
| OLDER WOMEN (n = 88) | ||||||||
| Vitamin A, µg RE | 1179 | 670–1740 | 1054 | 782–1567 | 0.59 | 0.59 | 0.58 | 0.48 |
| Vitamin E, mg TE | 11.1 | 7.0–17.5 | 11.0 | 8.4–16.2 | 0.71 | 0.71 | 0.70 | 0.65 |
| Vitamin D, µg | 3.3 | 1.9–5.9 | 3.2 | 2.16–5.46 | 0.59 | 0.59 | 0.58 | 0.58 |
| Thiamine, mg | 1.0 | 0.8–1.4 | 0.94 | 0.68–1.13 | 0.70 | 0.71 | 0.69 | 0.75 |
| Riboflavin, mg | 1.5 | 1.1–1.9 | 1.46 | 1.08–1.68 | 0.69 | 0.69 | 0.67 | 0.72 |
| Folate, µg DFE | 281 | 231–377 | 280 | 211–356 | 0.72 | 0.72 | 0.71 | 0.68 |
| Pyridoxine, mg | 1.6 | 1.2–2.0 | 1.59 | 1.11–2.07 | 0.69 | 0.70 | 0.69 | 0.70 |
| Cobalamin, µg | 4.3 | 2.5–6.5 | 3.90 | 2.55–5.78 | 0.69 | 0.69 | 0.68 | 0.69 |
| Vitamin C, mg | 106 | 67–172 | 111 | 72–169 | 0.67 | 0.67 | 0.67 | 0.66 |
| Calcium, mg | 638 | 448–800 | 598 | 405–787 | 0.75 | 0.75 | 0.74 | 0.78 |
| Phosphorus, mg | 1179 | 860–1475 | 1089 | 770–1299 | 0.73 | 0.73 | 0.71 | 0.77 |
| Magnesium, mg | 299 | 219–388 | 285 | 206–359 | 0.79 | 0.78 | 0.78 | 0.84 |
| Iron, mg | 10.6 | 8.2–14.1 | 9.8 | 7.7–13.0 | 0.69 | 0.69 | 0.68 | 0.72 |
| Zinc, mg | 8.9 | 6.6–11.2 | 8.1 | 6.1–10.1 | 0.70 | 0.70 | 0.68 | 0.70 |
| MEAN ± SD | - | - | - | - | 0.69 ± 0.05 | 0.69 ± 0.05 | 0.68 ± 0.05 | 0.69 ± 0.09 |
| Parameter | FFQ-Mean | 3-Day Food Record | PCC | Identical or Adjacent Quartile (%) ^ | Opposite Quartile (%) ^ | Bland–Altman ^ | ||||||
|---|---|---|---|---|---|---|---|---|---|---|---|---|
| Median | P25–P75 | Median | P25–P75 | Crude | Energy- Adjusted * | De- Attenuated | Energy- Adjusted * & De- Attenuated | Mean Difference | LOA | |||
| YOUNG WOMEN (n = 121) | ||||||||||||
| Energy, kcal | 1604 | 1356–1855 | 1635 | 1445–1831 | 0.55 | - | 0.73 | - | 78.5 | 2.5 | −41.5 | −679 to 596 |
| Protein, g | 63.8 | 51.9–78.2 | 69.4 | 60.2–81.3 | 0.59 | 0.47 | 0.76 | 0.59 | 79.3 | 2.5 | −3.4 | −39 to 32 |
| Carbohydrates, g | 200 | 167–231 | 209 | 181–232 | 0.46 | 0.16 | 0.57 | 0.19 | 76.9 | 7.4 | −7.7 | −105 to 91 |
| Dietary fiber, g | 22.6 | 16.4–29.5 | 20.0 | 14.8–24.7 | 0.58 | 0.54 | 0.67 | 0.62 | 84.3 | 3.3 | 3.0 | −11 to 17 |
| Fat, g | 57.7 | 45.0–71.3 | 58.3 | 50.8–69.3 | 0.48 | 0.23 | 0.66 | 0.31 | 82.7 | 4.1 | −0.9 | −36 to 34 |
| Cholesterol, mg | 228 | 155–316 | 271 | 189–361 | 0.56 | 0.55 | 0.79 | 0.82 | 83.5 | 0 | −37.2 | −258 to 184 |
| MEAN ± SD # | - | - | - | - | 0.53 ± 0.06 | 0.39 ± 0.18 | 0.69 ± 0.09 | 0.51 ± 0.25 | 81.3 ± 3.1 | 3.46 ± 2.7 | - | - |
| OLDER WOMEN (n = 88) | ||||||||||||
| Energy, kcal | 1531 | 1292–1965 | 1568 | 1272–1898 | 0.21 | - | 0.24 | - | 73.9 | 6.8 | 39.6 | −1126 to 1205 |
| Protein, g | 63.2 | 52.3–77.9 | 68.3 | 54.3–80.1 | 0.23 | 0.29 | 0.28 | 0.34 | 75.0 | 5.7 | −0.9 | −49 to 48 |
| Carbohydrates, g | 200.3 | 157–247 | 209.6 | 163–241 | 0.31 | 0.32 | 0.35 | 0.40 | 75.0 | 8.0 | −0.6 | −156 to 155 |
| Dietary fiber, g | 19.5 | 14.6–26.8 | 18.2 | 13.8–23.9 | 0.43 | 0.42 | 0.48 | 0.50 | 80.7 | 2.3 | 2.4 | −17 to 22 |
| Fat, g | 62.4 | 44.4–82.0 | 59.7 | 42.0–74.2 | 0.37 | 0.32 | 0.43 | 0.40 | 80.7 | 5.7 | 5.2 | −49 to 59 |
| Cholesterol, mg | 238.2 | 184–282 | 261.7 | 181–327 | 0.24 | 0.26 | 0.47 | 0.67 | 70.5 | 5.7 | −18.3 | −279 to 242 |
| MEAN ± SD # | - | - | - | - | 0.32 ± 0.09 | 0.32 ± 0.06 | 0.40 ± 0.09 | 0.46 ± 0.13 | 76.4 ± 4.4 | 5.48 ± 2.0 | - | - |
| Parameter | FFQ-Mean | 3-Day Food Record | PCC | Identical or Adjacent Quartile (%) ^ | Opposite Quartile (%) ^ | Bland–Altman ^ | ||||||
|---|---|---|---|---|---|---|---|---|---|---|---|---|
| Median | P25–P75 | Median | P25–P75 | Crude | Energy- Adjusted * | De- Attenuated | Energy- Adjusted * & De-Attenuated | Mean Difference | LOA | |||
| YOUNG WOMEN (n = 121) | ||||||||||||
| Vitamin A, µg RE | 1110 | 827–1582 | 1017 | 679–1446 | 0.34 | 0.34 | 0.44 | 0.44 | 76.9 | 5.8 | 195 | −1256 to 1646 |
| Vitamin E, mg TE | 12.3 | 9.3–16.4 | 11.4 | 8.8–14.4 | 0.58 | 0.49 | 0.74 | 0.65 | 83.5 | 2.5 | 1.7 | −6.6 to 10.1 |
| Vitamin D, µg | 2.99 | 1. 91–4.31 | 2.28 | 1.42–3.37 | 0.50 | 0.47 | 0.85 | 0.86 | 79.9 | 2.5 | 0.44 | −3.93 to 4.81 |
| Thiamine, mg | 1.08 | 0.83–1.29 | 0.96 | 0.86–1.19 | 0.50 | 0.37 | 0.65 | 0.51 | 81.0 | 5.8 | 0.06 | −0.56 to 0.68 |
| Riboflavin, mg | 1.50 | 1.13–1.83 | 1.64 | 1.35–1.85 | 0.62 | 0.56 | 0.85 | 0.71 | 84.3 | 3.3 | −0.09 | −0.88 to 0.69 |
| Folate, µg DFE | 322 | 262–423 | 311 | 244–405 | 0.53 | 0.51 | 0.61 | 0.58 | 80.8 | 0.8 | 19 | −196 to 234 |
| Pyridoxine, mg | 1.95 | 1.50–2.40 | 1.84 | 1.38–2.24 | 0.47 | 0.35 | 0.57 | 0.43 | 77.7 | 7.4 | 0.18 | −1.1 to 1.5 |
| Cobalamin, µg | 3.90 | 2.66–5.00 | 3.08 | 2.40–4.05 | 0.52 | 0.50 | 0.87 | 0.84 | 76.9 | 2.5 | 0.78 | −3.3 to 4.9 |
| Vitamin C, mg | 135 | 94–170 | 108 | 72–162 | 0.41 | 0.41 | 0.50 | 0.50 | 76.9 | 4.1 | 22 | −136 to 180 |
| Calcium, mg | 664 | 532–822 | 722 | 594–862 | 0.45 | 0.43 | 0.71 | 0.57 | 78.5 | 5.0 | −54 | −523 to 414 |
| Phosphorus, mg | 1220 | 972–1498 | 1271 | 1030–1429 | 0.63 | 0.55 | 0.79 | 0.65 | 85.1 | 2.5 | −29 | −620 to 562 |
| Magnesium, mg | 337 | 258–449 | 324 | 274–410 | 0.64 | 0.60 | 0.74 | 0.69 | 84.3 | 1.7 | 10.3 | −175 to 196 |
| Iron, mg | 12.3 | 9.9–15.4 | 11.6 | 9.5–14.1 | 0.65 | 0.58 | 0.80 | 0.71 | 84.3 | 1.7 | 0.9 | −5.2 to 6.9 |
| Zinc, mg | 9.2 | 7.4–11.2 | 9.2 | 7.7–10.8 | 0.61 | 0.52 | 0.75 | 0.62 | 86.8 | 4.1 | 0.04 | −4.5 to 4.6 |
| MEAN ± SD | - | - | - | - | 0.53 ± 0.09 | 0.48 ± 0.09 | 0.71 ± 0.13 | 0.63 ± 0.13 | 81.2 ± 3.5 | 3.55 ± 1.9 | - | - |
| OLDER WOMEN (n = 88) | ||||||||||||
| Vitamin A, µg RE | 1210 | 798–1583 | 963 | 618–1300 | 0.22 | 0.23 | 0.31 | 0.35 | 73.8 | 11.4 | 298 | −1560 to 2156 |
| Vitamin E, mg TE | 11.1 | 8.0–16.9 | 8.7 | 5.8–11.5 | 0.40 | 0.37 | 0.47 | 0.49 | 75.0 | 4.6 | 3.1 | −8.9 to 15.1 |
| Vitamin D, µg | 3.43 | 2.11–5.29 | 2.30 | 1.53–4.55 | 0.41 | 0.41 | 0.73 | 0.77 | 73.9 | 4.4 | 0.51 | −5.64 to 6.66 |
| Thiamine, mg | 0.99 | 0.76–1.17 | 0.89 | 0.74–1.16 | 0.15 | 0.17 | 0.18 | 0.24 | 69.3 | 8.0 | 0.05 | −0.88 to 0.98 |
| Riboflavin, mg | 1.48 | 1.16–1.75 | 1.50 | 1.19–1.77 | 0.33 | 0.35 | 0.43 | 0.51 | 71.6 | 5.7 | 0.01 | −1.05 to 1.07 |
| Folate, µg DFE | 287 | 222–363 | 264 | 186–329 | 0.20 | 0.22 | 0.22 | 0.27 | 71.6 | 9.1 | 31 | −236 to 298 |
| Pyridoxine, mg | 1.55 | 1.24–1.95 | 1.59 | 1.18–1.81 | 0.25 | 0.27 | 0.31 | 0.35 | 65.9 | 10.2 | 0.11 | −1.3 to 1.5 |
| Cobalamin, µg | 4.23 | 2.63–6.44 | 2.85 | 1.96–4.36 | 0.39 | 0.40 | 0.50 | 0.50 | 75.0 | 5.7 | 1.33 | −6.4 to 9.1 |
| Vitamin C, mg | 115 | 74–161 | 74 | 49–122 | 0.46 | 0.44 | 0.53 | 0.54 | 79.6 | 6.8 | 33 | −151 to 218 |
| Calcium, mg | 622 | 451–782 | 579 | 430–785 | 0.44 | 0.44 | 0.51 | 0.53 | 78.4 | 4.6 | 7 | −659 to 674 |
| Phosphorus, mg | 1151 | 867–1361 | 1137 | 853–1315 | 0.34 | 0.37 | 0.39 | 0.41 | 72.7 | 6.8 | 15 | −850 to 880 |
| Magnesium, mg | 283 | 223–366 | 286 | 231–365 | 0.45 | 0.44 | 0.50 | 0.49 | 76.1 | 5.7 | −0.3 | −254 to 253 |
| Iron, mg | 10.4 | 7.8–12.9 | 9.9 | 8.0–12.5 | 0.23 | 0.22 | 0.28 | 0.32 | 70.4 | 5.7 | 0.5 | −8.0 to 9.1 |
| Zinc, mg | 8.6 | 6.7–10.2 | 8.6 | 7.0–9.9 | 0.26 | 0.31 | 0.31 | 0.39 | 73.9 | 8.0 | −0.07 | −6.4 to 6.2 |
| MEAN ± SD | - | - | - | - | 0.32 ± 0.10 | 0.33 ± 0.09 | 0.41 ± 0.15 | 0.44 ± 0.14 | 73.4 ± 3.6 | 6.91 ± 2.2 | - | - |
Disclaimer/Publisher’s Note: The statements, opinions and data contained in all publications are solely those of the individual author(s) and contributor(s) and not of MDPI and/or the editor(s). MDPI and/or the editor(s) disclaim responsibility for any injury to people or property resulting from any ideas, methods, instructions or products referred to in the content. |
© 2025 by the authors. Licensee MDPI, Basel, Switzerland. This article is an open access article distributed under the terms and conditions of the Creative Commons Attribution (CC BY) license (https://creativecommons.org/licenses/by/4.0/).
Share and Cite
Szmidt, M.K.; Sicinska, E.; Januszko, O.; Kaluza, J. FFQ-NutriForHer: Reproducibility and Validity of a Semi-Quantitative Food Frequency Questionnaire for Young and Older Women. Nutrients 2025, 17, 3811. https://doi.org/10.3390/nu17243811
Szmidt MK, Sicinska E, Januszko O, Kaluza J. FFQ-NutriForHer: Reproducibility and Validity of a Semi-Quantitative Food Frequency Questionnaire for Young and Older Women. Nutrients. 2025; 17(24):3811. https://doi.org/10.3390/nu17243811
Chicago/Turabian StyleSzmidt, Maria Karolina, Ewa Sicinska, Olga Januszko, and Joanna Kaluza. 2025. "FFQ-NutriForHer: Reproducibility and Validity of a Semi-Quantitative Food Frequency Questionnaire for Young and Older Women" Nutrients 17, no. 24: 3811. https://doi.org/10.3390/nu17243811
APA StyleSzmidt, M. K., Sicinska, E., Januszko, O., & Kaluza, J. (2025). FFQ-NutriForHer: Reproducibility and Validity of a Semi-Quantitative Food Frequency Questionnaire for Young and Older Women. Nutrients, 17(24), 3811. https://doi.org/10.3390/nu17243811

