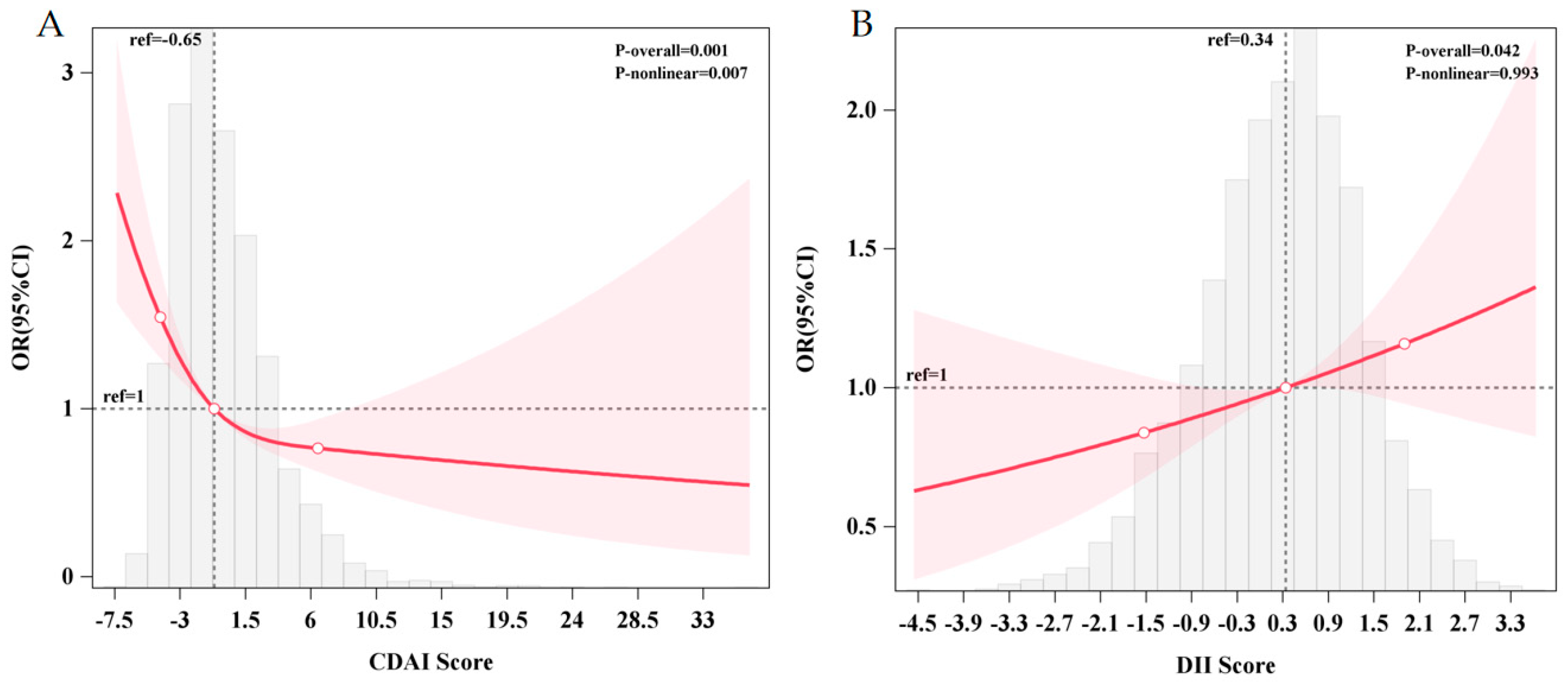
Associations of Composite Dietary Antioxidant Index and Dietary Inflammation Index with Cognitive Dysfunction in Older Chinese Adults: Results from China Health and Nutrition Survey in 2018
Abstract
Share and Cite
Huang, L.; Wang, Z.; Yan, S.; Wang, Q.; Wang, L.; Ye, R.; Ding, G.; Xu, G. Associations of Composite Dietary Antioxidant Index and Dietary Inflammation Index with Cognitive Dysfunction in Older Chinese Adults: Results from China Health and Nutrition Survey in 2018. Nutrients 2025, 17, 3412. https://doi.org/10.3390/nu17213412
Huang L, Wang Z, Yan S, Wang Q, Wang L, Ye R, Ding G, Xu G. Associations of Composite Dietary Antioxidant Index and Dietary Inflammation Index with Cognitive Dysfunction in Older Chinese Adults: Results from China Health and Nutrition Survey in 2018. Nutrients. 2025; 17(21):3412. https://doi.org/10.3390/nu17213412
Chicago/Turabian StyleHuang, Lina, Zhihong Wang, Shuxia Yan, Qiuqin Wang, Liusen Wang, Ran Ye, Gangqiang Ding, and Guihua Xu. 2025. "Associations of Composite Dietary Antioxidant Index and Dietary Inflammation Index with Cognitive Dysfunction in Older Chinese Adults: Results from China Health and Nutrition Survey in 2018" Nutrients 17, no. 21: 3412. https://doi.org/10.3390/nu17213412
APA StyleHuang, L., Wang, Z., Yan, S., Wang, Q., Wang, L., Ye, R., Ding, G., & Xu, G. (2025). Associations of Composite Dietary Antioxidant Index and Dietary Inflammation Index with Cognitive Dysfunction in Older Chinese Adults: Results from China Health and Nutrition Survey in 2018. Nutrients, 17(21), 3412. https://doi.org/10.3390/nu17213412
 
        



