Improved Survival in Malnourished COVID-19 Inpatients with Oral Nutrition Supplementation
Highlights
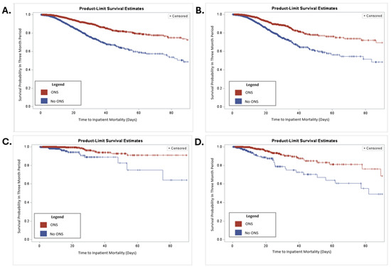
- Malnutrition was associated with higher hospital mortality among COVID-19 inpatients.
- The provision of oral nutritional supplements (ONSs) to malnourished patients infected with SARS-CoV-2 was associated with reduced hospital mortality.
- Early treatment of ONSs within the first 72 hours of hospitalization was linked to improved survival in COVID-19 patients, irrespective of their nutritional status.
- These findings advocate for the integration of early nutritional assessments and timely ONS provision as standard practice in the management of hospitalized COVID-19 patients.
Abstract
1. Introduction
2. Materials and Methods
2.1. Study Design and Participants
2.2. Statistical Analysis
2.2.1. Descriptive Analysis
2.2.2. Multivariate Analysis
2.2.3. Software
3. Results
4. Discussion
5. Conclusions
Author Contributions
Funding
Institutional Review Board Statement
Informed Consent Statement
Data Availability Statement
Acknowledgments
Conflicts of Interest
Appendix A
| No ONS Ordered | ONS Ordered | ||
|---|---|---|---|
| N = 29,740 | N = 7475 | ||
| Characteristic | Mean (SD) or Median (IQR) | Mean (SD) or Median (IQR) | p-value |
| Age (years) | 55.31 (20.1) | 66.5 (17.5) | <0.0001 |
| Body mass index (kg/m2) | 29 (25, 34.3) | 25.8 (21.9, 30.7) | <0.0001 * |
| Length of Stay in ICU (days) | 4.1 (2.3, 7.3) | 10.8 (6.3, 18.1) | <0.0001 * |
| Length of Stay in Hospital (days) | 3.3 (2.2, 5.5) | 10.2 (6.2, 17.5) | <0.0001 * |
| N (%) | N (%) | p-value | |
| Gender | |||
| Male | 11,504 (38.69) | 3613 (48.33) | <0.0001 |
| Female | 18,230 (61.31) | 3862 (51.67) | |
| Race | |||
| White | 14,754 (49.61) | 3733 (49.94) | <0.0001 |
| Black | 10,111 (34) | 2733 (36.56) | |
| Asian | 1419 (4.77) | 291 (3.89) | |
| Other | 3456 (11.62) | 718 (9.61) | |
| Insurance Group | |||
| Commercial | 15,924 (53.55) | 2906 (38.88) | <0.0001 |
| Government | 8522 (28.66) | 3488 (46.66) | |
| Self-pay | 1390 (4.67) | 254 (3.4) | |
| State-run | 2412 (8.11) | 501 (6.7) | |
| Others | 1490 (5.01) | 326 (4.36) | |
| Weight Category | |||
| Normal | 5967 (22.83) | 2400 (36.97) | <0.0001 |
| Obese | 11,714 (44.81) | 1819 (28.02) | |
| Overweight | 7907 (30.25) | 1775 (27.35) | |
| Underweight | 552 (2.11) | 497 (7.66) | |
| Admission Source | |||
| Home, workplace, or non-healthcare facility; court/law enforcement | 25,005 (84.21) | 5491 (73.49) | <0.0001 |
| Physician’s office or clinic; other healthcare facility | 2131 (7.18) | 565 (7.56) | |
| Skilled nursing facility, intermediate care facility, or assisted living facility | 1261 (4.25) | 803 (10.75) | |
| Transfers from another acute care hospital or ED | 1297 (4.37) | 613 (8.2) | |
| Characteristic | No ONS Ordered N (%) | ONS Ordered N (%) | p-value |
| Comorbidity | |||
| Diabetes | 9304 (31.28) | 3275 (43.81) | <0.0001 |
| Hypertension | 18,071 (60.76) | 5944 (79.52) | <0.0001 |
| Diarrhea | 4799 (16.14) | 2008 (26.86) | <0.0001 |
| COPD | 2062 (6.93) | 901 (12.05) | <0.0001 |
| Malnutrition by ICD-10 | 2635 (8.86) | 3029 (40.52) | <0.0001 |
| Malnutrition Severity | |||
| Moderate | 722 (54.2) | 1139 (50.13) | 0.02 |
| Severe | 610 (45.8) | 1133 (49.87) | |
| Malnutrition Context | |||
| 1 (Acute disease or injury) | 551 (40.66) | 888 (39.07) | <0.0001 |
| 2 (Chronic disease or condition) | 643 (47.45) | 1170 (51.47) | |
| 3 (Social or environmental circumstances, starvation) | 138 (10.18) | 214 (9.41) | |
| Other | 23 (1.7) | 1 (0.04) | |
| Poor Appetite | 2484 (9.1) | 2184 (30.49) | <0.0001 |
| Unintentional Weight Loss | 1418 (5.2) | 1090 (15.22) | <0.0001 |
| Discharge ONS | 328 (1.1) | 515 (6.89) | <0.0001 |
| COVID Wave | |||
| 1 Pre-Vaccine | 9056 (30.45) | 2277 (30.46) | <0.01 |
| 2 Pre-Delta | 4433 (14.91) | 1119 (14.97) | |
| 3 Delta | 4068 (13.68) | 965 (12.91) | |
| 4 Omicron | 4394 (14.77) | 1226 (16.4) | |
| 5 Post-Omicron | 7789 (26.19) | 1888 (25.26) | |
| Readmitted | 4236 (14.24) | 2527 (33.81) | <0.0001 |
| ICU | 8376 (28.16) | 2969 (39.72) | <0.0001 |
| Inpatient mortality | 1354 (4.55) | 858 (11.48) | <0.0001 |
References
- WHO. COVID-19 Dashboard. Available online: https://data.who.int/dashboards/covid19/cases?n=o (accessed on 18 February 2025).
- Gschwend, M.H.; Marchese, A.M.; Poelaert, D.; Warren, B.; Rousculp, M.D.; Caldera, F. Efficacy, immunogenicity, and safety of the Novavax COVID-19 vaccine in immunocompromised patients: A targeted literature review. Vaccine 2025, 49, 126777. [Google Scholar] [CrossRef] [PubMed]
- Malviya, A.; Ahirwar, A.K.; Chandra Tripathi, S.; Asia, P.; Gopal, N.; Kaim, K. COVID-19: A review on SARS-CoV-2 origin, epidemiology, virology, clinical manifestations and complications with special emphasis on adverse outcome in Bhopal Gas Tragedy survivor. Horm. Mol. Biol. Clin. Investig. 2021, 42, 63–68. [Google Scholar] [CrossRef] [PubMed]
- Martinot, M.; Eyriey, M.; Gravier, S.; Bonijoly, T.; Kayser, D.; Ion, C.; Mohseni-Zadeh, M.; Camara, S.; Dubois, J.; Haerrel, E.; et al. Predictors of mortality, ICU hospitalization, and extrapulmonary complications in COVID-19 patients. Infect. Dis. Now. 2021, 51, 518–525. [Google Scholar] [CrossRef]
- Ashraf, M.A.; Sherafat, A.; Naderi, Z.; Sami, R.; Soltaninejad, F.; Khodadadi, S.; Mashayekhbakhsh, S.; Sharafi, N.; Ahmadi, S.H.; Shayganfar, A.; et al. Association of systemic complications with mortality in coronavirus disease of 2019: A cohort study on intensive care unit patients. J. Res. Med. Sci. 2022, 27, 34. [Google Scholar] [CrossRef]
- Wilson, D.; Jackson, T.; Sapey, E.; Lord, J.M. Frailty and sarcopenia: The potential role of an aged immune system. Ageing Res. Rev. 2017, 36, 1–10. [Google Scholar] [CrossRef]
- Takahashi, F.; Hashimoto, Y.; Kaji, A.; Sakai, R.; Okamura, T.; Kitagawa, N.; Okada, H.; Nakanishi, N.; Majima, S.; Senmaru, T.; et al. Sarcopenia Is Associated With a Risk of Mortality in People With Type 2 Diabetes Mellitus. Front. Endocrinol. 2021, 12, 783363. [Google Scholar] [CrossRef]
- An, J.N.; Kim, J.K.; Lee, H.S.; Kim, S.G.; Kim, H.J.; Song, Y.R. Late stage 3 chronic kidney disease is an independent risk factor for sarcopenia, but not proteinuria. Sci. Rep. 2021, 11, 18472. [Google Scholar] [CrossRef]
- Batsis, J.A.; Mackenzie, T.A.; Barre, L.K.; Lopez-Jimenez, F.; Bartels, S.J. Sarcopenia, sarcopenic obesity and mortality in older adults: Results from the National Health and Nutrition Examination Survey III. Eur. J. Clin. Nutr. 2014, 68, 1001–1007. [Google Scholar] [CrossRef]
- Arango-Lopera, V.E.; Arroyo, P.; Gutierrez-Robledo, L.M.; Perez-Zepeda, M.U.; Cesari, M. Mortality as an adverse outcome of sarcopenia. J. Nutr. Health Aging 2013, 17, 259–262. [Google Scholar] [CrossRef]
- Somanchi, M.; Tao, X.; Mullin, G.E. The facilitated early enteral and dietary management effectiveness trial in hospitalized patients with malnutrition. JPEN J. Parenter. Enter. Nutr. 2011, 35, 209–216. [Google Scholar] [CrossRef]
- Jensen, G.L.; Compher, C.; Sullivan, D.H.; Mullin, G.E. Recognizing malnutrition in adults: Definitions and characteristics, screening, assessment, and team approach. JPEN J. Parenter. Enter. Nutr. 2013, 37, 802–807. [Google Scholar] [CrossRef]
- Deutz, N.E.; Matheson, E.M.; Matarese, L.E.; Luo, M.; Baggs, G.E.; Nelson, J.L.; Hegazi, R.A.; Tappenden, K.A.; Ziegler, T.R.; Group, N.S. Readmission and mortality in malnourished, older, hospitalized adults treated with a specialized oral nutritional supplement: A randomized clinical trial. Clin. Nutr. 2016, 35, 18–26. [Google Scholar] [CrossRef] [PubMed]
- Vong, T.; Yanek, L.R.; Wang, L.; Yu, H.; Fan, C.; Zhou, E.; Oh, S.J.; Szvarca, D.; Kim, A.; Potter, J.J.; et al. Malnutrition Increases Hospital Length of Stay and Mortality among Adult Inpatients with COVID-19. Nutrients 2022, 14, 1310. [Google Scholar] [CrossRef] [PubMed]
- Garibaldi, B.T.; Fiksel, J.; Muschelli, J.; Robinson, M.L.; Rouhizadeh, M.; Perin, J.; Schumock, G.; Nagy, P.; Gray, J.H.; Malapati, H.; et al. Patient Trajectories Among Persons Hospitalized for COVID-19: A Cohort Study. Ann. Intern. Med. 2021, 174, 33–41. [Google Scholar] [CrossRef] [PubMed]
- Stratton, R.J.; Hackston, A.; Longmore, D.; Dixon, R.; Price, S.; Stroud, M.; King, C.; Elia, M. Malnutrition in hospital outpatients and inpatients: Prevalence, concurrent validity and ease of use of the ‘malnutrition universal screening tool’ (‘MUST’) for adults. Br. J. Nutr. 2004, 92, 799–808. [Google Scholar] [CrossRef]
- Allard, L.; Ouedraogo, E.; Molleville, J.; Bihan, H.; Giroux-Leprieur, B.; Sutton, A.; Baudry, C.; Josse, C.; Didier, M.; Deutsch, D.; et al. Malnutrition: Percentage and Association with Prognosis in Patients Hospitalized for Coronavirus Disease 2019. Nutrients 2020, 12, 3679. [Google Scholar] [CrossRef]
- Da Porto, A.; Tascini, C.; Peghin, M.; Sozio, E.; Colussi, G.; Casarsa, V.; Bulfone, L.; Graziano, E.; De Carlo, C.; Catena, C.; et al. Prognostic Role of Malnutrition Diagnosed by Bioelectrical Impedance Vector Analysis in Older Adults Hospitalized with COVID-19 Pneumonia: A Prospective Study. Nutrients 2021, 13, 4085. [Google Scholar] [CrossRef]
- Li, T.; Zhang, Y.; Gong, C.; Wang, J.; Liu, B.; Shi, L.; Duan, J. Prevalence of malnutrition and analysis of related factors in elderly patients with COVID-19 in Wuhan, China. Eur. J. Clin. Nutr. 2020, 74, 871–875. [Google Scholar] [CrossRef]
- Bedock, D.; Bel Lassen, P.; Mathian, A.; Moreau, P.; Couffignal, J.; Ciangura, C.; Poitou-Bernert, C.; Jeannin, A.C.; Mosbah, H.; Fadlallah, J.; et al. Prevalence and severity of malnutrition in hospitalized COVID-19 patients. Clin. Nutr. ESPEN 2020, 40, 214–219. [Google Scholar] [CrossRef]
- Bakkaloglu, O.K.; Bektas, M.; Ince, B.; Amikishiyev, S.; Tor, Y.B.; Altinkaynak, M.; Goksoy, Y.; Ozmen, B.; Buyukdemir, S.; Erten, S.N.; et al. Malnutrition risk in hospitalized patients measured with Nutrition Risk Screening 2002 tool and its association with in-hospital mortality. Eur. Rev. Med. Pharmacol. Sci. 2023, 27, 5812–5821. [Google Scholar] [CrossRef]
- IJmker-Hemink, V.; Heerschop, S.; Wanten, G.; van den Berg, M. Evaluation of the Validity and Feasibility of the GLIM Criteria Compared with PG-SGA to Diagnose Malnutrition in Relation to One-Year Mortality in Hospitalized Patients. J. Acad. Nutr. Diet. 2022, 122, 595–601. [Google Scholar] [CrossRef]
- Nobel, Y.R.; Su, S.H.; Anderson, M.R.; Luk, L.; Small-Saunders, J.L.; Reyes-Soffer, G.; Gallagher, D.; Freedberg, D.E. Relationship Between Body Composition and Death in Patients with COVID-19 Differs Based on the Presence of Gastrointestinal Symptoms. Dig. Dis. Sci. 2021, 67, 4484–4491. [Google Scholar] [CrossRef]
- De Meester, D.; Marco, E.; Claessens, M.; Gautier, J.; Annweiler, C.; Lieten, S.; Benoit, F.; Surquin, M.; Sanchez-Rodriguez, D. Effects of malnutrition on mortality in oldest-old inpatients with COVID-19 in the GERIA-COVID cohort: Additional findings from the AgeBru cohort. Maturitas 2022, 164, 67–68. [Google Scholar] [CrossRef] [PubMed]
- Mullin, G.E.; Fan, L.; Sulo, S.; Partridge, J. The Association between Oral Nutritional Supplements and 30-Day Hospital Readmissions of Malnourished Patients at a US Academic Medical Center. J. Acad. Nutr. Diet. 2019, 119, 1168–1175. [Google Scholar] [CrossRef] [PubMed]
- Ramos, A.; Joaquin, C.; Ros, M.; Martin, M.; Cachero, M.; Sospedra, M.; Martínez, E.; Socies, G.; Pérez-Montes de Oca, A.; Sendrós, M.J.; et al. Early nutritional risk detection and intervention in COVID-19 hospitalized patients through the implementation of electronic automatized alarms. Endocrinol. Diabetes Nutr. 2024, 71, 71–76. [Google Scholar] [CrossRef]
- Viñas, P.; Martín-Martínez, A.; Alarcón, C.; Riera, S.A.; Miró, J.; Amadó, C.; Clavé, P.; Ortega, O. A Comparative Study between the Three Waves of the Pandemic on the Prevalence of Oropharyngeal Dysphagia and Malnutrition among Hospitalized Patients with COVID-19. Nutrients 2022, 14, 3826. [Google Scholar] [CrossRef] [PubMed]
- Tadayon Najafabadi, B.; Rayner, D.G.; Shokraee, K.; Shokraie, K.; Panahi, P.; Rastgou, P.; Seirafianpour, F.; Momeni Landi, F.; Alinia, P.; Parnianfard, N.; et al. Obesity as an independent risk factor for COVID-19 severity and mortality. Cochrane Database Syst. Rev. 2023, 5, CD015201. [Google Scholar] [CrossRef]
- Beltrao, F.E.L.; Beltrao, D.C.A.; Carvalhal, G.; Beltrao, F.N.L.; de Aquino, I.M.; Brito, T.D.S.; Paulino, B.C.; Aires, E.; Viegas, D.; Hecht, F.; et al. Low muscle mass and high visceral fat mass predict mortality in patients hospitalized with moderate-to-severe COVID-19: A prospective study. Endocr. Connect. 2022, 11, e220290. [Google Scholar] [CrossRef]
- Czapla, M.; Juarez-Vela, R.; Gea-Caballero, V.; Zielinski, S.; Zielinska, M. The Association between Nutritional Status and In-Hospital Mortality of COVID-19 in Critically-Ill Patients in the ICU. Nutrients 2021, 13, 3302. [Google Scholar] [CrossRef]
- Hoffer, L.J. High-Protein Hypocaloric Nutrition for Non-Obese Critically Ill Patients. Nutr. Clin. Pract. 2018, 33, 325–332. [Google Scholar] [CrossRef]
- Tappenden, K.A.; Quatrara, B.; Parkhurst, M.L.; Malone, A.M.; Fanjiang, G.; Ziegler, T.R. Critical role of nutrition in improving quality of care: An interdisciplinary call to action to address adult hospital malnutrition. J. Acad. Nutr. Diet. 2013, 113, 1219–1237. [Google Scholar] [CrossRef]
- Hudson, L.; Chittams, J.; Griffith, C.; Compher, C. Malnutrition Identified by Academy of Nutrition and Dietetics/American Society for Parenteral and Enteral Nutrition Is Associated With More 30-Day Readmissions, Greater Hospital Mortality, and Longer Hospital Stays: A Retrospective Analysis of Nutrition Assessment Data in a Major Medical Center. JPEN J. Parenter. Enter. Nutr. 2018, 42, 892–897. [Google Scholar] [CrossRef]
- Snider, J.T.; Jena, A.B.; Linthicum, M.T.; Hegazi, R.A.; Partridge, J.S.; LaVallee, C.; Lakdawalla, D.N.; Wischmeyer, P.E. Effect of hospital use of oral nutritional supplementation on length of stay, hospital cost, and 30-day readmissions among Medicare patients with COPD. Chest 2015, 147, 1477–1484. [Google Scholar] [CrossRef]
- White, J.V.; Guenter, P.; Jensen, G.; Malone, A.; Schofield, M.; Academy Malnutrition Work Group; A.S.P.E.N. Malnutrition Task Force; A.S.P.E.N. Board of Directors. Consensus statement: Academy of Nutrition and Dietetics and American Society for Parenteral and Enteral Nutrition: Characteristics recommended for the identification and documentation of adult malnutrition (undernutrition). JPEN J. Parenter. Enter. Nutr. 2012, 36, 275–283. [Google Scholar] [CrossRef] [PubMed]
- Wunderle, C.; Gomes, F.; Schuetz, P.; Stumpf, F.; Austin, P.; Ballesteros-Pomar, M.D.; Cederholm, T.; Fletcher, J.; Laviano, A.; Norman, K.; et al. ESPEN practical guideline: Nutritional support for polymorbid medical inpatients. Clin. Nutr. 2024, 43, 674–691. [Google Scholar] [CrossRef] [PubMed]
- Deutz, N.E.; Ziegler, T.R.; Matheson, E.M.; Matarese, L.E.; Tappenden, K.A.; Baggs, G.E.; Nelson, J.L.; Luo, M.; Hegazi, R.; Jonnalagadda, S.S.; et al. Reduced mortality risk in malnourished hospitalized older adult patients with COPD treated with a specialized oral nutritional supplement: Sub-group analysis of the NOURISH study. Clin. Nutr. 2021, 40, 1388–1395. [Google Scholar] [CrossRef] [PubMed]
- Kaegi-Braun, N.; Mueller, M.; Schuetz, P.; Mueller, B.; Kutz, A. Evaluation of Nutritional Support and In-Hospital Mortality in Patients With Malnutrition. JAMA Netw. Open 2021, 4, e2033433. [Google Scholar] [CrossRef]
- Schuetz, P.; Fehr, R.; Baechli, V.; Geiser, M.; Deiss, M.; Gomes, F.; Kutz, A.; Tribolet, P.; Bregenzer, T.; Braun, N.; et al. Individualised nutritional support in medical inpatients at nutritional risk: A randomised clinical trial. Lancet 2019, 393, 2312–2321. [Google Scholar] [CrossRef]
- Gomes, F.; Baumgartner, A.; Bounoure, L.; Bally, M.; Deutz, N.E.; Greenwald, J.L.; Stanga, Z.; Mueller, B.; Schuetz, P. Association of Nutritional Support With Clinical Outcomes Among Medical Inpatients Who Are Malnourished or at Nutritional Risk: An Updated Systematic Review and Meta-analysis. JAMA Netw. Open 2019, 2, e1915138. [Google Scholar] [CrossRef]
- Kaegi-Braun, N.; Faessli, M.; Kilchoer, F.; Dragusha, S.; Tribolet, P.; Gomes, F.; Bretscher, C.; Germann, S.; Deutz, N.E.; Stanga, Z.; et al. Nutritional trials using high protein strategies and long duration of support show strongest clinical effects on mortality.: Results of an updated systematic review and meta-analysis. Clin. Nutr. ESPEN 2021, 45, 45–54. [Google Scholar] [CrossRef]
- Pimentel, R.F.W.; Silva, A.P.; Santana, A.I.C.; Silva, D.S.E.; Ramos, M.S.; Souza, M.C.; Marques Miguel Suen, V.; Maduro, I.; Ribas Filho, D.; D’Oliveira Junior, A.; et al. Effect of immunonutrition on serum levels of C-reactive protein and lymphocytes in patients with COVID-19: A randomized, controlled, double-blind clinical trial. Nutr. Hosp. 2021, 39, 20–26. [Google Scholar] [CrossRef]
- Moran-Lopez, J.M. Malnutrition and nutrition support in COVID-19: The results of a nutrition support protocol. Endocrinol. Diabetes Nutr. 2021, 68, 621–627. [Google Scholar] [CrossRef]
- Chen, Y.; Wu, Y.; Ran, W.; Yuan, J.; Yang, Z.; Chen, S.; Wang, Y. Early oral nutritional supplement improves COVID-19 outcomes among hospitalized older patients during the Omicron wave. Nutrition 2023, 113, 112087. [Google Scholar] [CrossRef]
- Lengfelder, L.; Mahlke, S.; Moore, L.; Zhang, X.; Williams, G., 3rd; Lee, J. Prevalence and impact of malnutrition on length of stay, readmission, and discharge destination. JPEN J. Parenter. Enter. Nutr. 2021, 46, 1335–1342. [Google Scholar] [CrossRef]
- Rzymski, P.; Nowicki, M.; Mullin, G.E.; Abraham, A.; Rodriguez-Roman, E.; Petzold, M.B.; Bendau, A.; Sahu, K.K.; Ather, A.; Naviaux, A.F.; et al. Quantity does not equal quality: Scientific principles cannot be sacrificed. Int. Immunopharmacol. 2020, 86, 106711. [Google Scholar] [CrossRef]

| Characteristic | Mean (SD) or Median (IQR) |
|---|---|
| Age (years) | 57.56 (20.2) |
| Body mass index (kg/m2) | 28.3 (24.3, 33.7) |
| Length of Stay in ICU (days) | 5.2 (2.8, 10.3) |
| Length of Stay in Hospital (days) | 4.1 (2.4, 7.6) |
| N (%) | |
| Gender | |
| Male | 15,117 (40.62) |
| Female | 22,092 (59.36) |
| Non-binary | 2 (0.01) |
| Unknown | 4 (0.01) |
| Race | |
| White | 18,487 (49.68) |
| Black | 12,844 (34.51) |
| Asian | 1710 (4.59) |
| Other | 4174 (11.22) |
| Insurance Group | |
| Commercial | 18,830 (50.60) |
| Government | 12,010 (32.27) |
| Self-pay | 1644 (4.42) |
| State-run | 2913 (7.83) |
| Others | 1816 (4.88) |
| Admission Source | |
| Home, workplace, or non-healthcare facility; court/law enforcement | 30,496 (82.05) |
| Physician’s office or clinic; other healthcare facility | 2696 (7.25) |
| Skilled nursing facility, intermediate care facility, or assisted living facility | 2064 (5.55) |
| Transfers from another acute care hospital or ED | 1910 (5.14) |
| Characteristic | N (%) |
| Weight Category | |
| Normal | 8367 (25.64) |
| Obese | 13,533 (41.47) |
| Overweight | 9682 (29.67) |
| Underweight | 1049 (3.21) |
| Comorbidity | |
| Diabetes | 12,579 (33.8) |
| Hypertension | 24,015 (64.53) |
| Diarrhea | 6807 (18.29) |
| COPD | 2963 (7.96) |
| Malnutrition by ICD-10 | 5664 (15.22) |
| Malnutrition Severity | |
| Moderate | 1861 (51.64) |
| Severe | 1743 (48.36) |
| Malnutrition Context | |
| Acute disease or injury | 1439 (39.66) |
| Chronic disease or condition | 1813 (49.97) |
| Social or environmental circumstances, starvation | 352 (9.7) |
| Other | 24 (0.66) |
| Poor Appetite | 4668 (13.55) |
| Unintentional Weight Loss | 2508 (7.28) |
| ONS Ordered | |
| Yes | 7475 (20.09) |
| No | 29,740 (79.91) |
| Discharge ONS | |
| Yes | 843 (2.27) |
| No | 36,372 (97.73) |
| COVID Wave | |
| 1 Pre-Vaccine | 11,333 (30.45) |
| 2 Pre-Delta | 5552 (14.92) |
| 3 Delta | 5033 (13.52) |
| 4 Omicron | 5620 (15.1) |
| 5 Post-Omicron | 9677 (26) |
| Readmission | 6763 (18.17) |
| ICU | 11,345 (30.49) |
| Inpatient Mortality | |
| Deceased | 2212 (5.94) |
| Discharged | 35,003 (94.06) |
| No ONS Ordered | ONS Ordered | ||
|---|---|---|---|
| N = 2635; 46.5% | N = 3029; 53.5% | ||
| Characteristic | Mean (SD) or Median (IQR) | Mean (SD) or Median (IQR) | p-value |
| Age (years) | 61.77 (19.5) | 67.17 (16.9) | <0.0001 |
| Body mass index (kg/m2) | 24.9 (20.8, 31.6) | 23.2 (19.9, 27.5) | <0.0001 * |
| Length of Stay in ICU (days) | 5.3 (2.7, 10.9) | 12.1 (6.9, 22.7) | <0.0001 * |
| Length of Stay in Hospital (days) | 4.6 (2.4, 8.9) | 11.1 (6.6, 20.8) | <0.0001 * |
| No ONS Ordered N (%) | ONS Ordered N (%) | p-value | |
| Male | 1244 (47.21) | 1526 (50.38) | 0.02 |
| Female | 1391 (52.79) | 1503 (49.62) | |
| Race | |||
| White | 1320 (50.09) | 1528 (50.45) | 0.52 |
| Black | 1022 (38.79) | 1191 (39.32) | |
| Asian | 94 (3.57) | 112 (3.7) | |
| Other | 199 (7.55) | 198 (6.54) | |
| Insurance Group | |||
| Commercial | 1088 (41.29) | 1143 (37.74) | <0.0001 |
| Government | 1094 (41.52) | 1498 (49.46) | |
| Self-pay | 91 (3.45) | 61 (2.01) | |
| State-run | 236 (8.96) | 222 (7.33) | |
| Others | 126 (4.78) | 105 (3.47) | |
| Weight Category | |||
| Normal | 869 (38.74) | 1215 (45.64) | <0.0001 |
| Obese | 665 (29.65) | 435 (16.34) | |
| Overweight | 450 (20.06) | 599 (22.5) | |
| Underweight | 259 (11.55) | 413 (15.51) | |
| Characteristic | No ONS Ordered N (%) | ONS Ordered N (%) | p-value |
| Admission Source | |||
| Home, workplace, or non-healthcare facility; court/law enforcement | 2063 (78.47) | 2108 (69.64) | <0.0001 |
| Physician’s office or clinic; other healthcare facility | 178 (6.77) | 285 (9.42) | |
| Skilled nursing facility, intermediate care facility, or assisted living facility | 225 (8.56) | 350 (11.56) | |
| Transfers from another acute care hospital or ED | 163 (6.2) | 284 (9.38) | |
| Diabetes | 1108 (42.05) | 1299 (42.89) | 0.53 |
| Hypertension | 1996 (75.75) | 2452 (80.95) | <0.0001 |
| Diarrhea | 858 (32.56) | 1027 (33.91) | 0.28 |
| COPD | 381 (14.46) | 394 (13.01) | 0.11 |
| Malnutrition Severity | |||
| Moderate | 693 (53.97) | 1120 (49.91) | 0.02 |
| Severe | 591 (46.03) | 1124 (50.09) | |
| Malnutrition Context | |||
| 1 (Acute disease or injury) | 528 (40.52) | 873 (38.89) | <0.0001 |
| 2 (Chronic disease or condition) | 622 (47.74) | 1161 (51.71) | |
| 3 (Social or environmental circumstances, starvation) | 134 (10.28) | 210 (9.35) | |
| Other | 19 (1.46) | 1 (0.04) | |
| Poor Appetite | 571 (22.96) | 932 (31.98) | <0.0001 |
| Unintentional Weight Loss | 415 (16.69) | 670 (22.99) | <0.0001 |
| Discharge ONS | 125 (4.74) | 295 (9.74) | <0.0001 |
| COVID Wave | |||
| 1 Pre-Vaccine | 738 (28.01) | 717 (23.67) | <0.05 |
| 2 Pre-Delta | 344 (13.06) | 377 (12.45) | |
| 3 Delta | 337 (12.79) | 476 (15.71) | |
| 4 Omicron | 456 (17.31) | 568 (18.75) | |
| 5 Post-Omicron | 760 (28.84) | 891 (29.42) | |
| Readmitted | 931 (35.33) | 1389 (45.86) | <0.0001 |
| ICU | 1187 (45.05) | 982 (32.42) | <0.0001 |
| Inpatient mortality | 271 (10.28) | 469 (15.48) | <0.0001 |
| Moderate Acute Illness or Injury | Moderate Chronic Illness | Severe Acute Illness or Injury | Severe Chronic Illness | |
|---|---|---|---|---|
| Total Patients | 676 | 966 | 763 | 847 |
| Deceased [N (%)] | ||||
| No ONS | 24 (9.38) | 25 (6.65) | 43 (14.58) | 32 (11.99) |
| Had ONS | 51(12.14) | 101 (17.12) | 71 (15.17) | 111 (19.14) |
| p-value | 0.27 | <0.0001 | 0.82 | 0.01 |
| Base 1 | ||||
| Odds Ratio | 1.34 | 2.9 | 1.05 | 1.74 |
| 95% CI | 0.8–2.23 | 1.83–4.59 | 0.7–1.58 | 1.14–2.65 |
| p-value | 0.27 | <0.0001 | 0.82 | 0.01 |
| Weighted 2 | ||||
| Odds Ratio | 0.67 | 1.36 | 0.74 | 1.63 |
| 95% CI | 0.57–0.78 | 1.19–1.57 | 0.65–0.84 | 1.42–1.87 |
| p-value | <0.0001 | <0.0001 | <0.0001 | <0.0001 |
| Adjusted 3 | ||||
| Odds Ratio | 0.72 | 1.4 | 0.76 | 1.37 |
| 95% CI | 0.62–0.85 | 1.21–1.62 | 0.67–0.87 | 1.18–1.58 |
| p-value | <0.0001 | <0.0001 | <0.0001 | <0.0001 |
| Normal | Obese | Overweight | Underweight | |
|---|---|---|---|---|
| Total Patients | 8367 | 13,502 | 9682 | 1043 |
| Deceased [N (%)] | ||||
| No ONS | 314 (5.26) | 340 (2.91) | 302 (3.82) | 46 (8.41) |
| Had ONS | 285 (11.88) | 182 (10.03) | 217 (12.23) | 58 (11.69) |
| p-value | <0.0001 | <0.0001 | <0.0001 | 0.0771 |
| Base 1 | ||||
| Odds Ratio | 2.43 | 3.72 | 3.51 | 1.44 |
| 95% CI | 2.05–2.87 | 3.09–4.49 | 2.92–4.21 | 0.96–2.17 |
| p-value | <0.0001 | <0.0001 | <0.0001 | 0.0783 |
| Weighted 2 | ||||
| Odds Ratio | 0.95 | 1.11 | 1.16 | 0.75 |
| 95% CI | 090–0.999 | 1.04–1.18 | 1.09–1.24 | 0.66–0.85 |
| p-value | 0.0477 | 0.0008 | <0.0001 | <0.0001 |
| Adjusted 3 | ||||
| Odds Ratio | 0.96 | 1.08 | 1.15 | 0.78 |
| 95% CI | 0.91–1.01 | 1.01–1.14 | 1.08–1.22 | 0.68–0.88 |
| p-value | 0.1148 | 0.0216 | <0.0001 | 0.0001 |
| Patients with ONS Ordered | |
|---|---|
| Total Patients | 7475 |
| Time from Hospital Admission to ONS in days [Median (IQR)] | |
| Discharged Alive (N = 6617) | 4.12 (2.32, 7.67) |
| Deceased in Hospital (N = 858) | 4.16 (2.45, 8.09) |
| p-value | 0.1035 1 |
| Adjusted 2 | |
| Odds Ratio | 0.87 |
| 95% CI | 0.79–0.97 |
| p-value | 0.0105 2 |
Disclaimer/Publisher’s Note: The statements, opinions and data contained in all publications are solely those of the individual author(s) and contributor(s) and not of MDPI and/or the editor(s). MDPI and/or the editor(s) disclaim responsibility for any injury to people or property resulting from any ideas, methods, instructions or products referred to in the content. |
© 2025 by the authors. Licensee MDPI, Basel, Switzerland. This article is an open access article distributed under the terms and conditions of the Creative Commons Attribution (CC BY) license (https://creativecommons.org/licenses/by/4.0/).
Share and Cite
Vong, T.; Yanek, L.R.; Matarese, L.E.; Limketkai, B.N.; Mullin, G.E. Improved Survival in Malnourished COVID-19 Inpatients with Oral Nutrition Supplementation. Nutrients 2025, 17, 2401. https://doi.org/10.3390/nu17152401
Vong T, Yanek LR, Matarese LE, Limketkai BN, Mullin GE. Improved Survival in Malnourished COVID-19 Inpatients with Oral Nutrition Supplementation. Nutrients. 2025; 17(15):2401. https://doi.org/10.3390/nu17152401
Chicago/Turabian StyleVong, Tyrus, Lisa R. Yanek, Laura E. Matarese, Berkeley N. Limketkai, and Gerard E. Mullin. 2025. "Improved Survival in Malnourished COVID-19 Inpatients with Oral Nutrition Supplementation" Nutrients 17, no. 15: 2401. https://doi.org/10.3390/nu17152401
APA StyleVong, T., Yanek, L. R., Matarese, L. E., Limketkai, B. N., & Mullin, G. E. (2025). Improved Survival in Malnourished COVID-19 Inpatients with Oral Nutrition Supplementation. Nutrients, 17(15), 2401. https://doi.org/10.3390/nu17152401

