Association of Waist Circumference and Body Mass Index Deciles Ratio with All-Cause Mortality: Findings from the National Health and Nutrition Examination Survey
Abstract
1. Introduction
2. Materials and Methods
2.1. Study Design and Participants
2.2. Main Exposure (WC-d/BMI-d) and Covariates
2.3. Outcomes
2.4. Statistical Analysis
3. Results
3.1. Descriptive Statistics
3.2. WC-d/BMI-d Distribution
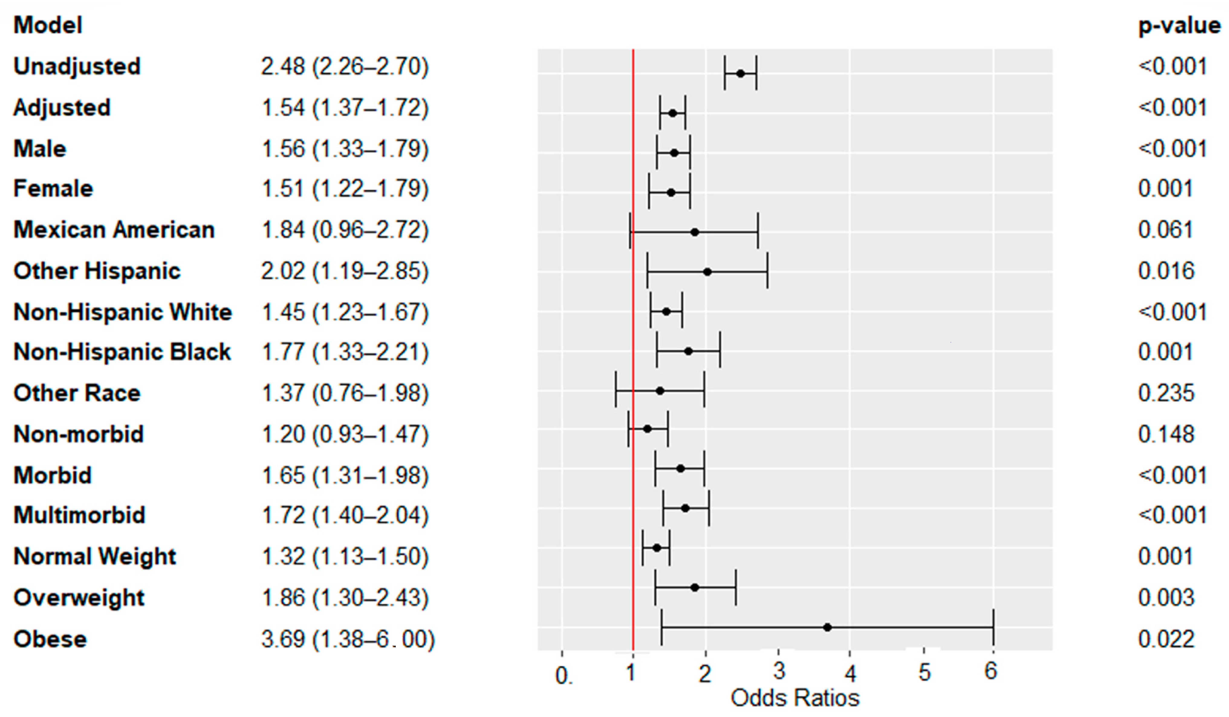
3.3. Association of WC-d/BMI-d with All-Cause Mortality
Association of Age with WC-d/BMI-d
4. Discussion
5. Conclusions
Author Contributions
Funding
Institutional Review Board Statement
Informed Consent Statement
Data Availability Statement
Acknowledgments
Conflicts of Interest
References
- Bray, G.A.; Heisel, W.E.; Afshin, A.; Jensen, M.D.; Dietz, W.H.; Long, M.; Kushner, R.F.; Daniels, S.R.; Wadden, T.A.; Tsai, A.G.; et al. The Science of Obesity Management: An Endocrine Society Scientific Statement. Endocr. Rev. 2018, 39, 79–132. [Google Scholar] [CrossRef] [PubMed]
- Flegal, K.M. Commentary: The Quest for Weight Standards. Int. J. Epidemiol. 2010, 39, 963–967. [Google Scholar] [CrossRef] [PubMed]
- WHO Expert Committee. Physical Status: The Use and Interpretation of Anthropometry; Report of a WHO Expert Committee. World Health Organization Technical Report Series; WHO: Geneva, Switzerland, 1995; Volume 854, pp. 963–967. [Google Scholar] [CrossRef]
- Oliveros, E.; Somers, V.K.; Sochor, O.; Goel, K.; Lopez-Jimenez, F. The Concept of Normal Weight Obesity. Prog. Cardiovasc. Dis. 2014, 56, 426–433. [Google Scholar] [CrossRef] [PubMed]
- De Lorenzo, A.; Bianchi, A.; Maroni, P.; Iannarelli, A.; Di Daniele, N.; Iacopino, L.; Di Renzo, L. Adiposity Rather than BMI Determines Metabolic Risk. Int. J. Cardiol. 2013, 166, 111–117. [Google Scholar] [CrossRef] [PubMed]
- De Lorenzo, A.; Gratteri, S.; Gualtieri, P.; Cammarano, A.; Bertucci, P.; Di Renzo, L. Why Primary Obesity Is a Disease? J. Transl. Med. 2019, 17, 169. [Google Scholar] [CrossRef] [PubMed]
- Mathieu, P.; Poirier, P.; Pibarot, P.; Lemieux, I.; Després, J.P. Visceral Obesity the Link among Inflammation, Hypertension, and Cardiovascular Disease. Hypertension 2009, 53, 577–584. [Google Scholar] [CrossRef] [PubMed]
- Piqueras, P.; Ballester, A.; Durá-Gil, J.V.; Martinez-Hervas, S.; Redón, J.; Real, J.T. Anthropometric Indicators as a Tool for Diagnosis of Obesity and Other Health Risk Factors: A Literature Review. Front. Psychol. 2021, 12, 631179. [Google Scholar] [CrossRef]
- Alberti, K.G.M.M.; Eckel, R.H.; Grundy, S.M.; Zimmet, P.Z.; Cleeman, J.I.; Donato, K.A.; Fruchart, J.-C.; James, W.P.T.; Loria, C.M.; Smith, S.C. Harmonizing the Metabolic Syndrome. Circulation 2009, 120, 1640–1645. [Google Scholar] [CrossRef]
- World Health Organization. Waist Circumference and Waist-Hip Ratio: Report of a WHO Expert Consultation, Geneva, 8–11 December 2008; World Health Organization: Geneva, Switzerland, 2011. [Google Scholar]
- World Health Association. The Asia-Pacific Perspective: Redefining Obesity and Its Treatment; World Health Organization: Geneva, Switzerland, 2000. [Google Scholar]
- Jensen, M.D.; Ryan, D.H.; Apovian, C.M.; Ard, J.D.; Comuzzie, A.G.; Donato, K.A.; Hu, F.B.; Hubbard, V.S.; Jakicic, J.M.; Kushner, R.F.; et al. 2013 AHA/ACC/TOS Guideline for the Management of Overweight and Obesity in Adults: A Report of the American College of Cardiology/American Heart Association Task Force on Practice Guidelines and the Obesity Society. J. Am. Coll. Cardiol. 2014, 63, 2985–3023. [Google Scholar] [CrossRef]
- Stevens, J.; Katz, E.G.; Huxley, R.R. Associations between Gender, Age and Waist Circumference. Eur. J. Clin. Nutr. 2010, 64, 6–15. [Google Scholar] [CrossRef]
- Ebrahimi-Mameghani, M.; Scott, J.A.; Der, G.; Lean, M.E.J.; Burns, C.M. Changes in Weight and Waist Circumference over 9 Years in a Scottish Population. Eur. J. Clin. Nutr. 2008, 62, 1208–1214. [Google Scholar] [CrossRef] [PubMed]
- Walls, H.L.; Stevenson, C.E.; Mannan, H.R.; Abdullah, A.; Reid, C.M.; McNeil, J.J.; Peeters, A. Comparing Trends in BMI and Waist Circumference. Obesity 2011, 19, 216–219. [Google Scholar] [CrossRef]
- Powell-Wiley, T.M.; Poirier, P.; Burke, L.E.; Després, J.P.; Gordon-Larsen, P.; Lavie, C.J.; Lear, S.A.; Ndumele, C.E.; Neeland, I.J.; Sanders, P.; et al. Obesity and Cardiovascular Disease A Scientific Statement From the American Heart Association. Circulation 2021, 143, e984–e1010. [Google Scholar] [CrossRef]
- Khafagy, R.; Dash, S. Obesity and Cardiovascular Disease: The Emerging Role of Inflammation. Front. Cardiovasc. Med. 2021, 8, 768119. [Google Scholar] [CrossRef]
- Xu, H.; Cupples, L.A.; Stokes, A.; Liu, C.T. Association of Obesity with Mortality Over 24 Years of Weight History: Findings From the Framingham Heart Study. JAMA Netw. Open 2018, 1, e184587. [Google Scholar] [CrossRef]
- Cibičková, L.; Langová, K.; Vaverková, H.; Lukeš, J.; Cibiček, N.; Karásek, D. Superior Role of Waist Circumference to Body-Mass Index in the Prediction of Cardiometabolic Risk in Dyslipidemic Patients. Physiol. Res. 2019, 68, 931–938. [Google Scholar] [CrossRef]
- Lu, Y.; Liu, S.; Qiao, Y.; Li, G.; Wu, Y.; Ke, C. Waist-to-Height Ratio, Waist Circumference, Body Mass Index, Waist Divided by Height0.5 and the Risk of Cardiometabolic Multimorbidity: A National Longitudinal Cohort Study. Nutr. Metab. Cardiovasc. Dis. 2021, 31, 2644–2651. [Google Scholar] [CrossRef] [PubMed]
- Liu, L.; Gao, B.; Wang, J.; Yang, C.; Wu, S.; Wu, Y.; Chen, S.; Li, Q.; Zhang, H.; Wang, G.; et al. Joint Association of Body Mass Index and Central Obesity with Cardiovascular Events and All-Cause Mortality in Prediabetic Population: A Prospective Cohort Study. Obes. Res. Clin. Pract. 2019, 13, 453–461. [Google Scholar] [CrossRef] [PubMed]
- Ross, R.; Neeland, I.J.; Yamashita, S.; Shai, I.; Seidell, J.; Magni, P.; Santos, R.D.; Arsenault, B.; Cuevas, A.; Hu, F.B.; et al. Waist Circumference as a Vital Sign in Clinical Practice: A Consensus Statement from the IAS and ICCR Working Group on Visceral Obesity. Nat. Rev. Endocrinol. 2020, 16, 177–189. [Google Scholar] [CrossRef]
- Cerhan, J.R.; Moore, S.C.; Jacobs, E.J.; Kitahara, C.M.; Rosenberg, P.S.; Adami, H.O.; Ebbert, J.O.; English, D.R.; Gapstur, S.M.; Giles, G.G.; et al. A Pooled Analysis of Waist Circumference and Mortality in 650,000 Adults. Mayo Clin. Proc. 2014, 89, 335–345. [Google Scholar] [CrossRef]
- Lassale, C.; Tzoulaki, I.; Moons, K.G.M.; Sweeting, M.; Boer, J.; Johnson, L.; Huerta, J.M.; Agnoli, C.; Freisling, H.; Weiderpass, E.; et al. Separate and Combined Associations of Obesity and Metabolic Health with Coronary Heart Disease: A Pan-European Case-Cohort Analysis. Eur. Heart J. 2018, 39, 397–406. [Google Scholar] [CrossRef] [PubMed]
- Kyeong, D.; Id, S.; Hong, Y.S.; Sung, Y.; Id, H.L. Waist Circumference and Mortality or Cardiovascular Events in a General Korean Population. PLoS ONE 2022, 17, e0267597. [Google Scholar] [CrossRef]
- Liu, X.C.; Huang, Y.; Lo, K.; Huang, Y.Q.; Chen, J.Y.; Feng, Y.Q. Quotient of Waist Circumference and Body Mass Index: A Valuable Indicator for the High-Risk Phenotype of Obesity. Front. Endocrinol. 2021, 12, 697437. [Google Scholar] [CrossRef] [PubMed]
- Jayedi, A.; Soltani, S.; Zargar, M.S.; Khan, T.A.; Shab-Bidar, S. Central Fatness and Risk of All Cause Mortality: Systematic Review and Dose-Response Meta-Analysis of 72 Prospective Cohort Studies. BMJ 2020, 370, m3324. [Google Scholar] [CrossRef]
- Yuan, Y.; Liu, K.; Zheng, M.; Chen, S.; Wang, H.; Jiang, Q.; Xiao, Y.; Zhou, L.; Liu, X.; Yu, Y.; et al. Analysis of Changes in Weight, Waist Circumference, or Both, and All-Cause Mortality in Chinese Adults. JAMA Netw. Open 2022, 5, e2225876. [Google Scholar] [CrossRef]
- Krakauer, N.Y.; Krakauer, J.C. A New Body Shape Index Predicts Mortality Hazard Independently of Body Mass Index. PLoS ONE 2012, 7, e39504. [Google Scholar] [CrossRef]
- R Core Team. R: A Language and Environment for Statistical Computing; R Foundation for Statistical Computing: Vienna, Austria, 2020. [Google Scholar]
- Pischon, T.; Boeing, H.; Hoffmann, K.; Bergmann, M.; Schulze, M.B.; Overvad, K.; van der Schouw, Y.T.; Spencer, E.; Moons, K.G.M.; Tjønneland, A.; et al. General and Abdominal Adiposity and Risk of Death in Europe. N. Engl. J. Med. 2008, 359, 2105–2120. [Google Scholar] [CrossRef]
- Staiano, A.E.; Reeder, B.A.; Elliott, S.; Joffres, M.R.; Pahwa, P.; Kirkland, S.A.; Paradis, G.; Katzmarzyk, P.T. Body Mass Index versus Waist Circumference as Predictors of Mortality in Canadian Adults. Int. J. Obes. 2012, 36, 1450–1454. [Google Scholar] [CrossRef] [PubMed]
- Kim, Y.H.; Kim, S.M.; Han, K.D.; Jung, J.H.; Lee, S.S.; Oh, S.W.; Park, H.S.; Rhee, E.J.; Lee, W.Y.; Yoo, S.J. Waist Circumference and All-Cause Mortality Independent of Body Mass Index in Korean Population from the National Health Insurance Health Checkup 2009–2015. J. Clin. Med. 2019, 8, 72. [Google Scholar] [CrossRef]
- Jacobs, E.J.; Newton, C.C.; Wang, Y.; Patel, A.V.; McCullough, M.L.; Campbell, P.T.; Thun, M.J.; Gapstur, S.M. Waist Circumference and All-Cause Mortality in a Large US Cohort. Arch. Intern. Med. 2010, 170, 1293–1301. [Google Scholar] [CrossRef]
- Chung, T.H.; Kim, J.K.; Kim, J.H.; Lee, Y.J. Fatty Liver Index as a Simple and Useful Predictor for 10-Year Cardiovascular Disease Risks Determined by Framingham Risk Score in the General Korean Population. J. Gastrointest. Liver Dis. 2021, 30, 221–226. [Google Scholar] [CrossRef] [PubMed]
- Koster, A.; Leitzmann, M.F.; Schatzkin, A.; Mouw, T.; Adams, K.F.; van Eijk, J.T.M.; Hollenbeck, A.R.; Harris, T.B. Waist Circumference and Mortality. Am. J. Epidemiol. 2008, 167, 1465–1475. [Google Scholar] [CrossRef] [PubMed]



| All Population | Male | Female | p-Value | ||
|---|---|---|---|---|---|
| Individuals | n | 30,298 | 15,054 | 15,244 | |
| Age, years | Mean (SD) | 46.3 (17.1) | 46.2 (17.3) | 46.5 (16.9) | 0.071 |
| Median (IQR) | 46.0 (32.0–61.0) | 46.0 (31.0–61.0) | 46.0 (32.0–61.0) | ||
| Age groups, n (%) | 20–39 | 11,548 (38.1%) | 5864 (39.0%) | 5684 (37.3%) | 0.001 |
| 40–59 | 10,316 (34.0%) | 4980 (33.1%) | 5336 (35.0%) | ||
| 60+ | 8434 (27.8%) | 4210 (28.0%) | 4224 (27.7%) | ||
| Ethnicity, n (%) | Mexican American | 4916 (16.2%) | 2437 (16.2%) | 2479 (16.3%) | <0.001 |
| Other Hispanic | 3342 (11.0%) | 1517 (10.1%) | 1825 (12.0%) | ||
| Non-Hispanic White | 11,547 (38.1%) | 5857 (38.9%) | 5690 (37.3%) | ||
| Non-Hispanic Black | 6678 (22.0%) | 3296 (21.9%) | 3382 (22.2%) | ||
| Other Race | 3815 (12.6%) | 1947 (12.9%) | 1868 (12.3%) | ||
| Body mass index (BMI) | Mean (SD) | 29.3 (6.8) | 28.8 (6.0) | 29.8 (7.5) | <0.001 |
| Median (IQR) | 28.1 (24.4–32.8) | 27.8 (24.5–31.8) | 28.6 (24.2–33.9) | ||
| BMI groups, n (%) | Normal (BMI < 25) | 8683 (28.7%) | 4209 (28.0%) | 4474 (29.4%) | <0.001 |
| Overweight (25, <30) | 9889 (32.6%) | 5587 (37.1%) | 4302 (28.2%) | ||
| Obese (≥30) | 11,726 (38.7%) | 5258 (34.9%) | 6468 (42.4%) | ||
| Waist circumference, cm | Mean (SD) | 99.3 (16.5) | 100.7 (16.1) | 97.8 (16.8) | <0.001 |
| Median (IQR) | 97.7 (87.2–109.0) | 99.2 (89.5–109.9) | 96.0 (85.2–108.0) | ||
| WC-d/BMI-d | Mean (SD) | 1.06 (0.39) | 1.07 (0.41) | 1.05 (0.37) | 0.016 |
| Median (IQR) | 1.0 (0.88–1.14) | 1.0 (0.88–1.14) | 1.0 (0.89–1.14) | ||
| Smoking status, n (%) | Non-smoker | 16,737 (55.2%) | 6951 (46.2%) | 9786 (64.2%) | <0.001 |
| Past smoker | 6568 (21.7%) | 4054 (26.9%) | 2514 (16.5%) | ||
| Smoker | 6211 (20.5%) | 3610 (24.0%) | 2601 (17.1%) | ||
| Missing | 782 (2.6%) | 439 (2.9%) | 343 (2.3%) | ||
| Glucose, mmol/L | Mean (SD) | 5.7 (2.2) | 5.8 (2.3) | 5.6 (2.1) | <0.001 |
| Median (IQR) | 5.2 (4.7–5.8) | 5.2 (4.8–5.8) | 5.0 (4.7–5.7) | ||
| Missing (%) | 1621 (5.4%) | 804 (5.3%) | 817 (5.4%) | ||
| Total cholesterol, mmol/L | Mean (SD) | 5.0 (1.1) | 4.9 (1.1) | 5.0 (1.1) | <0.001 |
| Median (IQR) | 4.9 (4.2–5.6) | 4.8 (4.1–5.6) | 4.9 (4.3–5.7) | ||
| Missing (%) | 1626 (5.4%) | 806 (5.4%) | 820 (5.4%) | ||
| LDL, mmol/L | Mean (SD) | 113.2 (35.4) | 113.1 (35.5) | 113.4 (35.3) | 0.55 |
| Median (IQR) | 110.0 (89.0–134.0) | 111.0 (88.0–135.0) | 110.0 (89.0–134.0) | ||
| Missing (%) | 16,686 (55.1%) | 8365 (55.6%) | 8321 (54.6%) | ||
| HDL, mmol/L | Mean (SD) | 52.3 (15.8) | 47.8 (14.3) | 56.7 (16.0) | <0.001 |
| Median (IQR) | 50.0 (41.0–61.0) | 45.0 (38.0–55.0) | 55.0 (45.0–66.0) | ||
| Missing (%) | 1526 (5.0%) | 769 (5.1%) | 757 (5.0%) | ||
| Triglycerides, mmol/L | Mean (SD) | 1.7 (1.5) | 1.9 (1.7) | 1.5 (1.3) | <0.001 |
| Median (IQR) | 1.3 (0.9–2.1) | 1.5 (1.0–2.3) | 1.3 (0.8–1.9) | ||
| Missing (%) | 1639 (5.4%) | 810 (5.4%) | 829 (5.4%) | ||
| Systolic blood pressure, mm Hg | Mean (SD) | 123.3 (17.8) | 125.2 (16.6) | 121.4 (18.8) | <0.001 |
| Median (IQR) | 120 (112–132) | 122.0 (114–134) | 118.0 (108–132) | ||
| Missing (%) | 2075 (6.8%) | 867 (5.8%) | 1208 (7.9%) | ||
| Diastolic blood pressure, | Mean (SD) | 70.8 (12.6) | 72.2 (12.8) | 69.4 (12.2) | <0.001 |
| mm Hg | Median (IQR) | 72.0 (64.0–78.0) | 72.0 (64.0–80.0) | 70.0 (62.0–76.0) | |
| Missing (%) | 2075 (6.8%) | 867 (5.8%) | 1208 (7.9%) | ||
| Chronic diseases, n (%) | Diabetics | 3660 (12.1%) | 1906 (12.7%) | 1754 (11.5%) | 0.008 |
| Hypertension | 9987 (33.0%) | 4906 (32.6%) | 5081 (33.3%) | 0.277 | |
| CAD | 946 (3.1%) | 657 (4.4%) | 289 (1.9%) | <0.001 | |
| CHF | 731 (2.4%) | 438 (2.9%) | 293 (1.9%) | <0.001 | |
| Renal disease | 824 (2.72%) | 405 (2.69%) | 419 (2.74%) | 0.008 | |
| Asthma | 4529 (14.9%) | 1946 (12.9%) | 2583 (16.9%) | <0.001 | |
| Co-morbidities, n (%) | Non-morbid | 15,753 (52.0%) | 7989 (53.1%) | 7764 (50.9%) | <0.001 |
| Morbid | 8459 (27.9%) | 4037 (26.8%) | 4422 (29.0%) | ||
| Multi-morbid | 6086 (20.1%) | 3028 (20.1%) | 3058 (20.1%) | ||
| Deaths, n (%) | 1856 (6.1%) | 1115 (7.4%) | 741 (4.9%) | <0.001 | |
| Missing | 69 (0.2%) | 26 (0.2%) | 43 (0.3%) |
Disclaimer/Publisher’s Note: The statements, opinions and data contained in all publications are solely those of the individual author(s) and contributor(s) and not of MDPI and/or the editor(s). MDPI and/or the editor(s) disclaim responsibility for any injury to people or property resulting from any ideas, methods, instructions or products referred to in the content. |
© 2024 by the authors. Licensee MDPI, Basel, Switzerland. This article is an open access article distributed under the terms and conditions of the Creative Commons Attribution (CC BY) license (https://creativecommons.org/licenses/by/4.0/).
Share and Cite
Reges, O.; Test, T.; Dicker, D.; Karpati, T. Association of Waist Circumference and Body Mass Index Deciles Ratio with All-Cause Mortality: Findings from the National Health and Nutrition Examination Survey. Nutrients 2024, 16, 961. https://doi.org/10.3390/nu16070961
Reges O, Test T, Dicker D, Karpati T. Association of Waist Circumference and Body Mass Index Deciles Ratio with All-Cause Mortality: Findings from the National Health and Nutrition Examination Survey. Nutrients. 2024; 16(7):961. https://doi.org/10.3390/nu16070961
Chicago/Turabian StyleReges, Orna, Tsafnat Test, Dror Dicker, and Tomas Karpati. 2024. "Association of Waist Circumference and Body Mass Index Deciles Ratio with All-Cause Mortality: Findings from the National Health and Nutrition Examination Survey" Nutrients 16, no. 7: 961. https://doi.org/10.3390/nu16070961
APA StyleReges, O., Test, T., Dicker, D., & Karpati, T. (2024). Association of Waist Circumference and Body Mass Index Deciles Ratio with All-Cause Mortality: Findings from the National Health and Nutrition Examination Survey. Nutrients, 16(7), 961. https://doi.org/10.3390/nu16070961

