Observational Cross-Sectional Study on Mediterranean Diet and Sperm Parameters
Abstract
:1. Introduction
2. Materials and Methods
2.1. Study Population and Nutritional Habits
2.2. Ethical Approval
2.3. Inclusion and Exclusion Criteria
2.4. Statistics
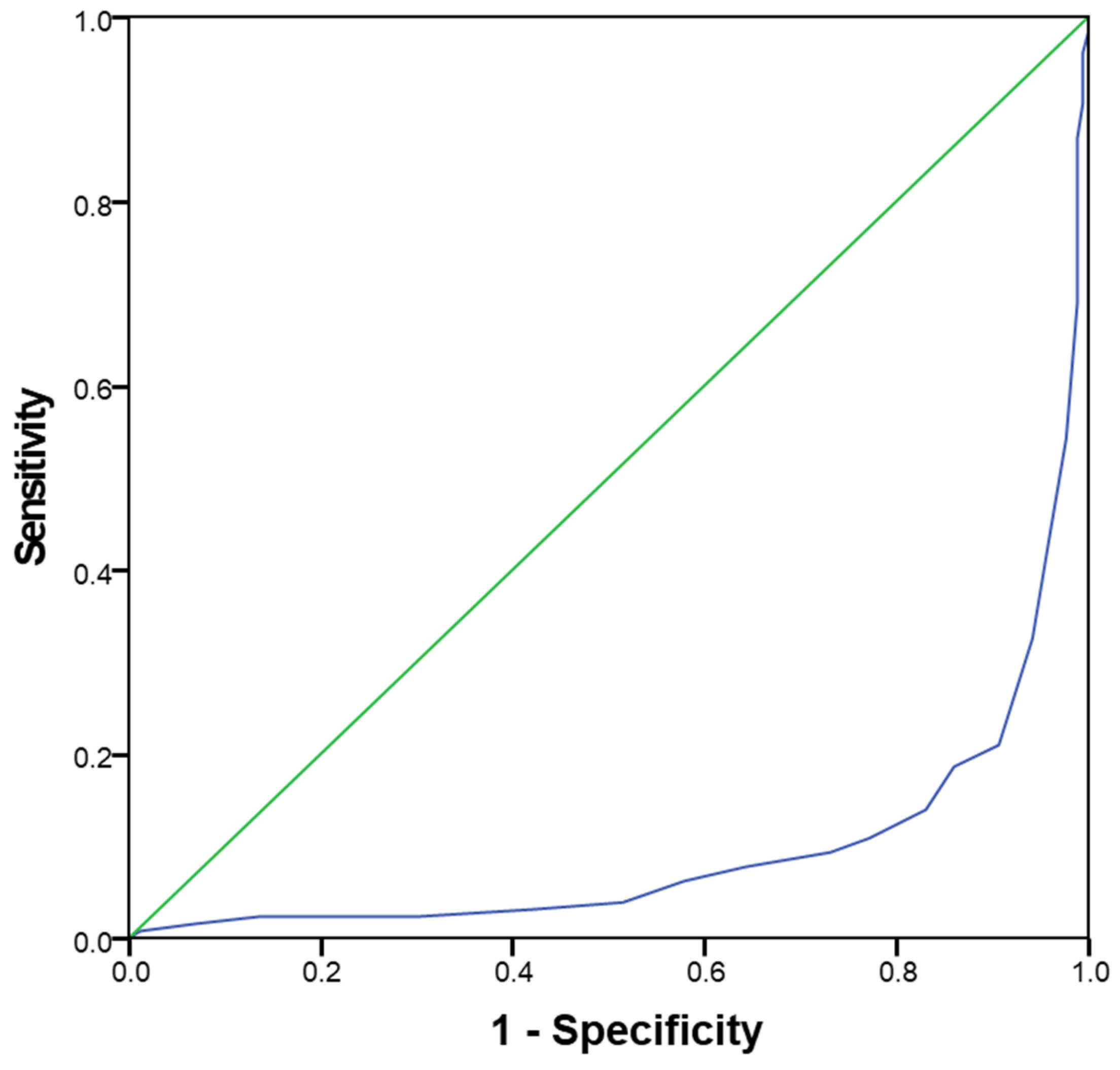
3. Results
3.1. Population Characteristics
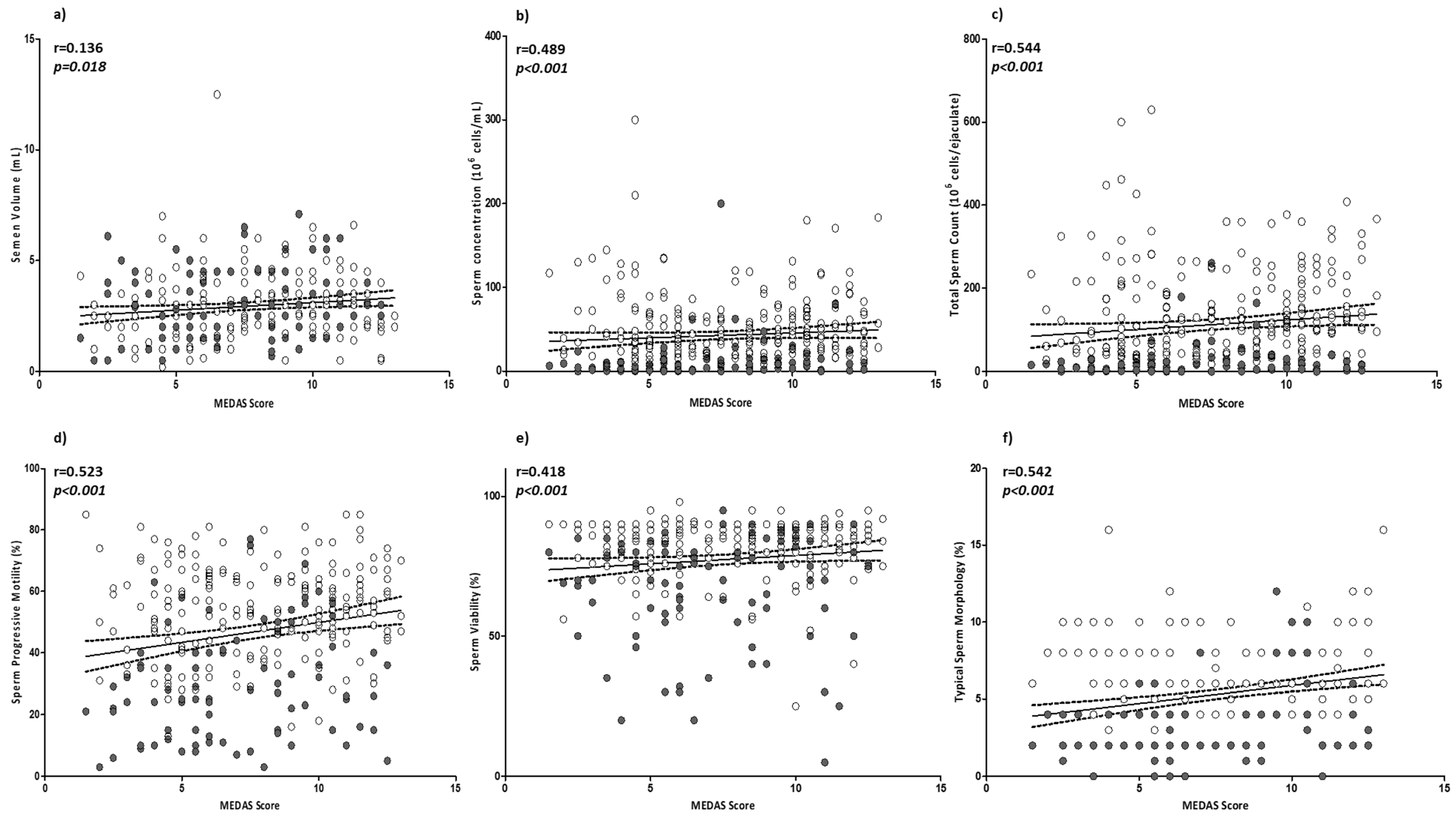
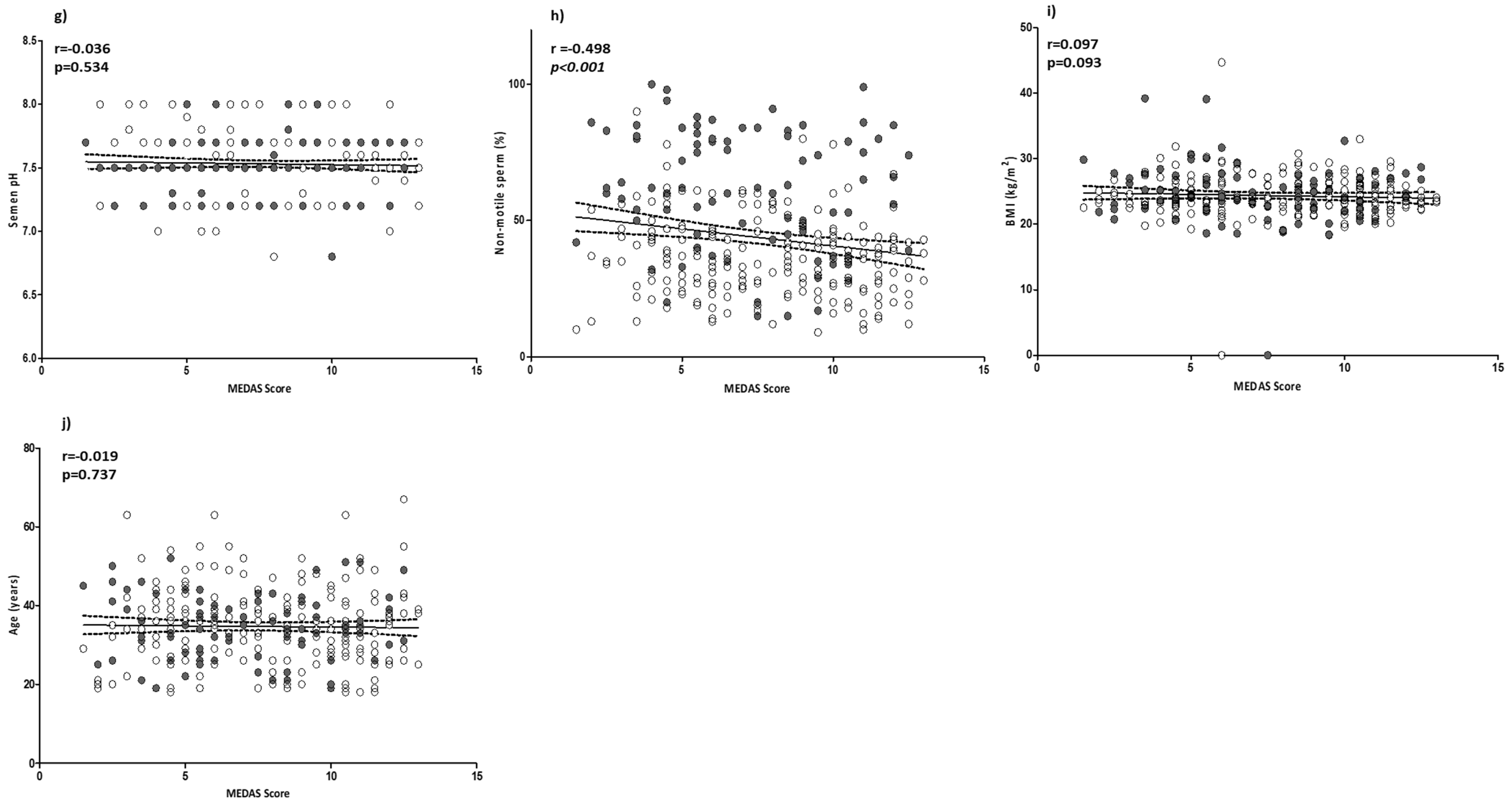
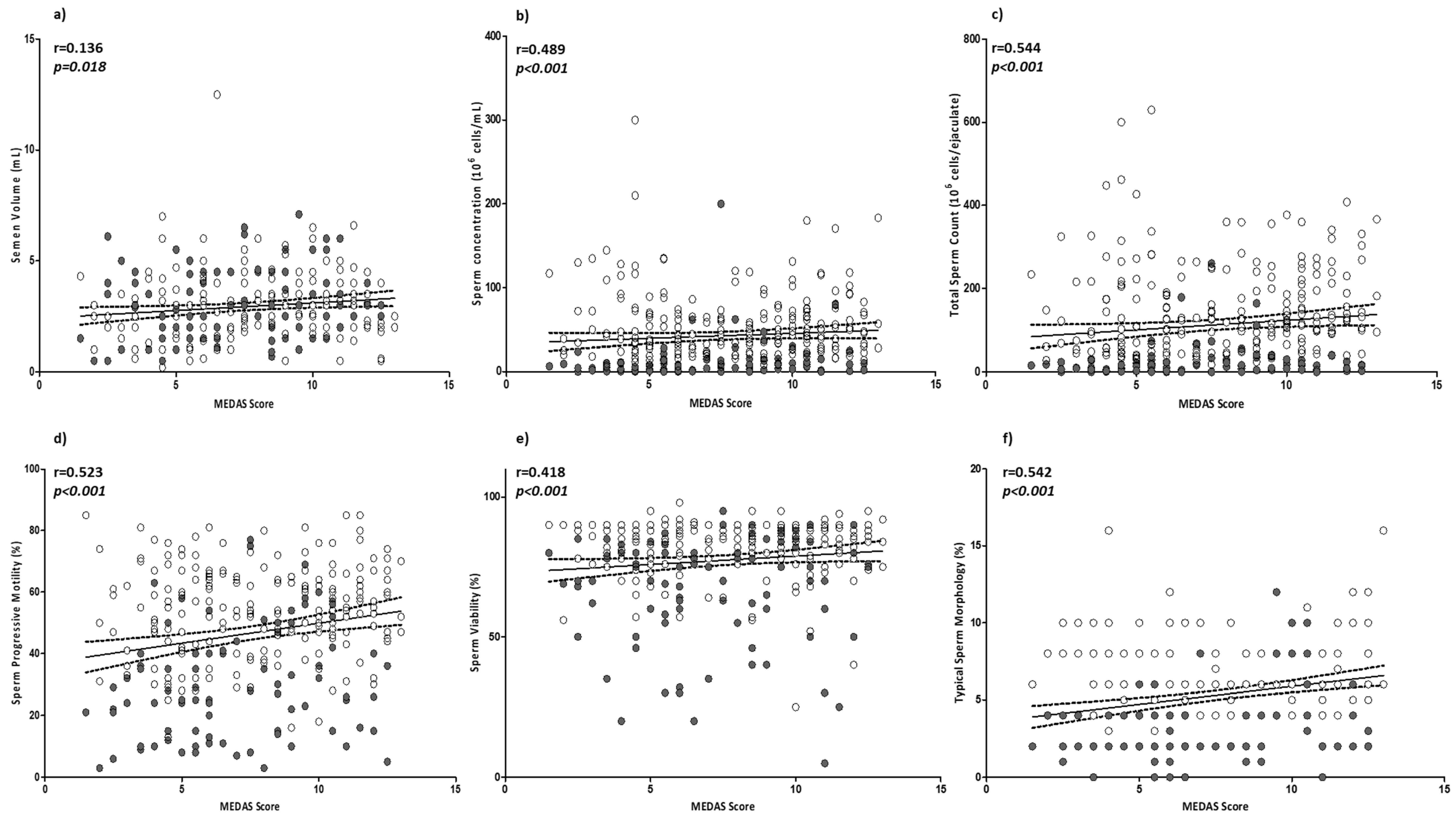
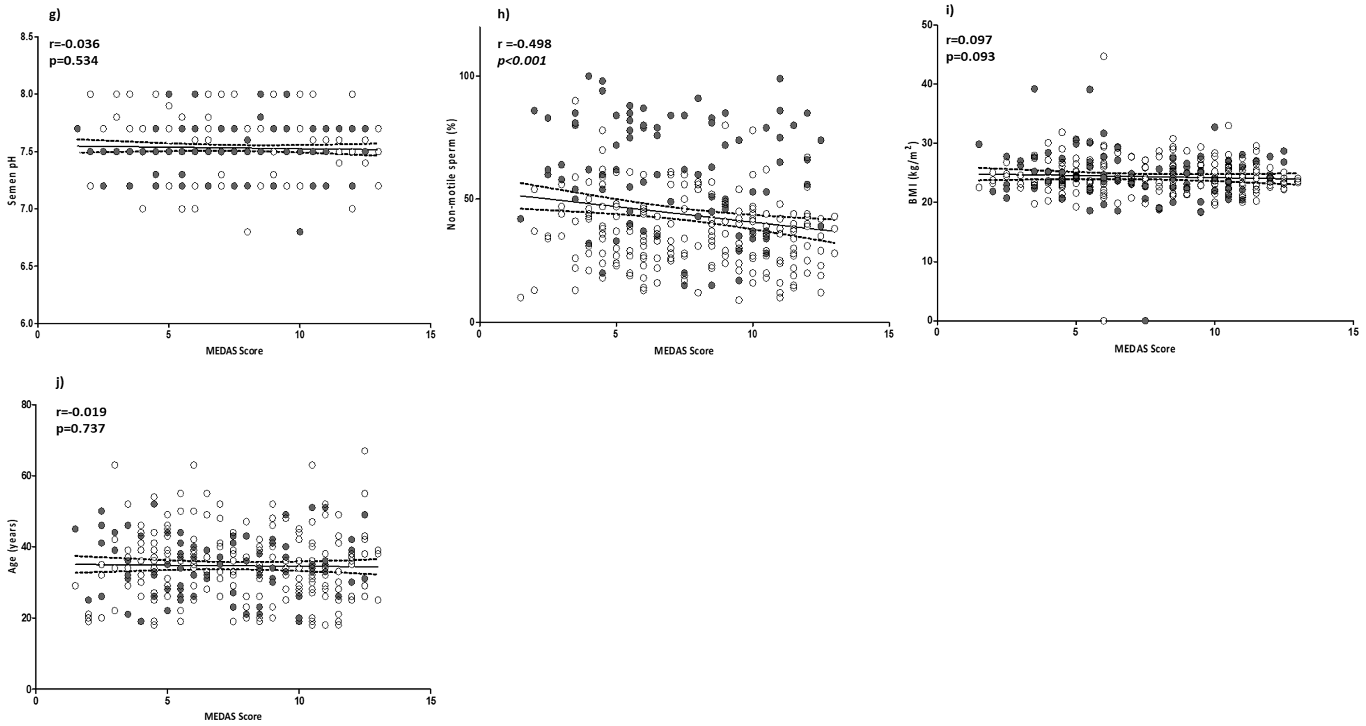
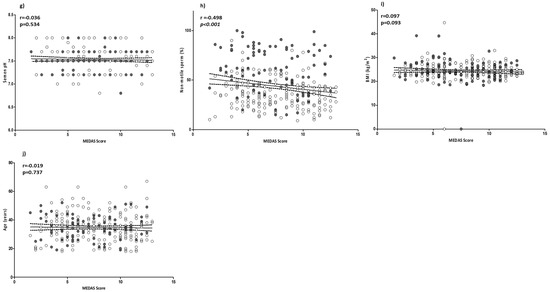
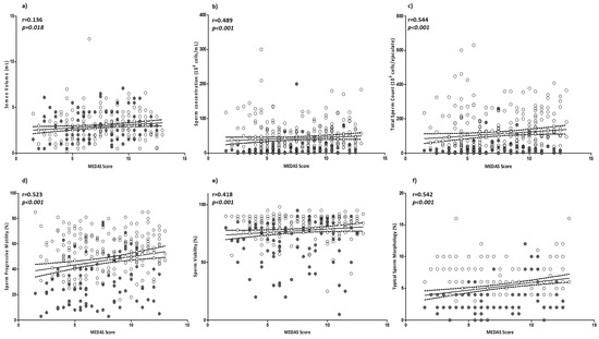
3.2. Correlation Analyses
4. Discussion
5. Conclusions
Supplementary Materials
Author Contributions
Funding
Institutional Review Board Statement
Informed Consent Statement
Data Availability Statement
Conflicts of Interest
References
- Inhorn, M.C.; Patrizio, P. Infertility around the Globe: New Thinking on Gender, Reproductive Technologies and Global Movements in the 21st Century. Hum. Reprod. Update 2015, 21, 411–426. [Google Scholar] [CrossRef]
- Kobori, Y. Home Testing for Male Factor Infertility: A Review of Current Options. Fertil. Steril. 2019, 111, 864–870. [Google Scholar] [CrossRef]
- Gianfrilli, D.; Ferlin, A.; Isidori, A.M.; Garolla, A.; Maggi, M.; Pivonello, R.; Santi, D.; Sansone, A.; Balercia, G.; Granata, A.R.M.; et al. Risk Behaviours and Alcohol in Adolescence Are Negatively Associated with Testicular Volume: Results from the Amico-Andrologo Survey. Andrology 2019, 7, 769–777. [Google Scholar] [CrossRef]
- Nätt, D.; Kugelberg, U.; Casas, E.; Nedstrand, E.; Zalavary, S.; Henriksson, P.; Nijm, C.; Jäderquist, J.; Sandborg, J.; Flinke, E.; et al. Human Sperm Displays Rapid Responses to Diet. PLoS Biol. 2019, 17, e3000559. [Google Scholar] [CrossRef]
- Nassan, F.L.; Chavarro, J.E.; Tanrikut, C. Diet and Men’s Fertility: Does Diet Affect Sperm Quality? Fertil. Steril. 2018, 110, 570–577. [Google Scholar] [CrossRef]
- Eslamian, G.; Amirjannati, N.; Rashidkhani, B.; Sadeghi, M.-R.; Hekmatdoost, A. Intake of Food Groups and Idiopathic Asthenozoospermia: A Case-Control Study. Hum. Reprod. 2012, 27, 3328–3336. [Google Scholar] [CrossRef]
- Chavarro, J.E.; Minguez-Alarcon, L.; Mendiola, J.; Cutillas-Tolin, A.; Lopez-Espin, J.J.; Torres-Cantero, A.M. Trans Fatty Acid Intake Is Inversely Related to Total Sperm Count in Young Healthy Men. Hum. Reprod. 2014, 29, 429–440. [Google Scholar] [CrossRef] [PubMed]
- Zareba, P.; Colaci, D.S.; Afeiche, M.; Gaskins, A.J.; Jørgensen, N.; Mendiola, J.; Swan, S.H.; Chavarro, J.E. Semen Quality in Relation to Antioxidant Intake in a Healthy Male Population. Fertil. Steril. 2013, 100, 1572–1579. [Google Scholar] [CrossRef] [PubMed]
- Minguez-Alarcon, L.; Mendiola, J.; Lopez-Espin, J.J.; Sarabia-Cos, L.; Vivero-Salmeron, G.; Vioque, J.; Navarrete-Munoz, E.M.; Torres-Cantero, A.M. Dietary Intake of Antioxidant Nutrients Is Associated with Semen Quality in Young University Students. Hum. Reprod. 2012, 27, 2807–2814. [Google Scholar] [CrossRef] [PubMed]
- Salas-Huetos, A.; James, E.R.; Aston, K.I.; Jenkins, T.G.; Carrell, D.T. Diet and Sperm Quality: Nutrients, Foods and Dietary Patterns. Reprod. Biol. 2019, 19, 219–224. [Google Scholar] [CrossRef]
- Ferramosca, A.; Zara, V. Diet and Male Fertility: The Impact of Nutrients and Antioxidants on Sperm Energetic Metabolism. Int. J. Mol. Sci. 2022, 23, 2542. [Google Scholar] [CrossRef]
- Leisegang, K.; Bouic, P.J.; Menkveld, R.; Henkel, R.R. Obesity Is Associated with Increased Seminal Insulin and Leptin alongside Reduced Fertility Parameters in a Controlled Male Cohort. Reprod. Biol. Endocrinol. 2014, 12, 34. [Google Scholar] [CrossRef]
- Dominguez, L.J.; Di Bella, G.; Veronese, N.; Barbagallo, M. Impact of Mediterranean Diet on Chronic Non-Communicable Diseases and Longevity. Nutrients 2021, 13, 2028. [Google Scholar] [CrossRef]
- Sofi, F.; Cesari, F.; Abbate, R.; Gensini, G.F.; Casini, A. Adherence to Mediterranean Diet and Health Status: Meta-Analysis. BMJ 2008, 337, a1344. [Google Scholar] [CrossRef]
- Humaidan, P.; Haahr, T.; Povlsen, B.B.; Kofod, L.; Laursen, R.J.; Alsbjerg, B.; Elbaek, H.O.; Esteves, S.C. The Combined Effect of Lifestyle Intervention and Antioxidant Therapy on Sperm DNA Fragmentation and Seminal Oxidative Stress in IVF Patients: A Pilot Study. Int. Braz. J. Urol. 2022, 48, 131–156. [Google Scholar] [CrossRef] [PubMed]
- Forbes-Hernández, T.Y.; Giampieri, F.; Gasparrini, M.; Mazzoni, L.; Quiles, J.L.; Alvarez-Suarez, J.M.; Battino, M. The Effects of Bioactive Compounds from Plant Foods on Mitochondrial Function: A Focus on Apoptotic Mechanisms. Food Chem. Toxicol. 2014, 68, 154–182. [Google Scholar] [CrossRef]
- Alesi, S.; Villani, A.; Mantzioris, E.; Takele, W.W.; Cowan, S.; Moran, L.J.; Mousa, A. Anti-Inflammatory Diets in Fertility: An Evidence Review. Nutrients 2022, 14, 3914. [Google Scholar] [CrossRef] [PubMed]
- Caruso, P.; Caputo, M.; Cirillo, P.; Scappaticcio, L.; Longo, M.; Maiorino, M.I.; Bellastella, G.; Esposito, K. Effects of Mediterranean Diet on Semen Parameters in Healthy Young Adults: A Randomized Controlled Trial. Minerva Endocrinol. 2021, 45, 280–287. [Google Scholar] [CrossRef] [PubMed]
- Karayiannis, D.; Kontogianni, M.D.; Mendorou, C.; Douka, L.; Mastrominas, M.; Yiannakouris, N. Association between Adherence to the Mediterranean Diet and Semen Quality Parameters in Male Partners of Couples Attempting Fertility. Hum. Reprod. 2016, 32, 215–222. [Google Scholar] [CrossRef]
- Ricci, E.; Bravi, F.; Noli, S.; Ferrari, S.; De Cosmi, V.; La Vecchia, I.; Cavadini, M.; La Vecchia, C.; Parazzini, F. Mediterranean Diet and the Risk of Poor Semen Quality: Cross-sectional Analysis of Men Referring to an Italian Fertility Clinic. Andrology 2019, 7, 156–162. [Google Scholar] [CrossRef] [PubMed]
- Salas-Huetos, A.; Babio, N.; Carrell, D.T.; Bulló, M.; Salas-Salvadó, J. Adherence to the Mediterranean Diet Is Positively Associated with Sperm Motility: A Cross-Sectional Analysis. Sci. Rep. 2019, 9, 3389. [Google Scholar] [CrossRef]
- Cutillas-Tolín, A.; Mínguez-Alarcón, L.; Mendiola, J.; López-Espín, J.J.; Jørgensen, N.; Navarrete-Muñoz, E.M.; Torres-Cantero, A.M.; Chavarro, J.E. Mediterranean and Western Dietary Patterns Are Related to Markers of Testicular Function among Healthy Men. Hum. Reprod. 2015, 30, 2945–2955. [Google Scholar] [CrossRef]
- García-Conesa, M.-T.; Philippou, E.; Pafilas, C.; Massaro, M.; Quarta, S.; Andrade, V.; Jorge, R.; Chervenkov, M.; Ivanova, T.; Dimitrova, D.; et al. Exploring the Validity of the 14-Item Mediterranean Diet Adherence Screener (MEDAS): A Cross-National Study in Seven European Countries around the Mediterranean Region. Nutrients 2020, 12, 2960. [Google Scholar] [CrossRef]
- World Health Organization (Ed.) WHO Laboratory Manual for the Examination and Processing of Human Semen, 6th ed.; World Health Organization: Geneva, Switzerland, 2021; ISBN 978-92-4-0030787. [Google Scholar]
- Belladelli, F.; Basran, S.; Eisenberg, M.L. Male Fertility and Physical Exercise. World J. Mens Health 2023, 41, 482. [Google Scholar] [CrossRef] [PubMed]
- Björndahl, L.; Esteves, S.C.; Ferlin, A.; Jørgensen, N.; O’Flaherty, C. Improving Standard Practices in Studies Using Results from Basic Human Semen Examination. Andrology 2023, 11, 1225–1231. [Google Scholar] [CrossRef] [PubMed]
- Łakoma, K.; Kukharuk, O.; Śliż, D. The Influence of Metabolic Factors and Diet on Fertility. Nutrients 2023, 15, 1180. [Google Scholar] [CrossRef] [PubMed]
- Ferlin, A.; Calogero, A.E.; Krausz, C.; Lombardo, F.; Paoli, D.; Rago, R.; Scarica, C.; Simoni, M.; Foresta, C.; Rochira, V.; et al. Management of Male Factor Infertility: Position Statement from the Italian Society of Andrology and Sexual Medicine (SIAMS): Endorsing Organization: Italian Society of Embryology, Reproduction, and Research (SIERR). J. Endocrinol. Investig. 2022, 45, 1085–1113. [Google Scholar] [CrossRef] [PubMed]
- Leisegang, K.; Sengupta, P.; Agarwal, A.; Henkel, R. Obesity and Male Infertility: Mechanisms and Management. Andrologia 2021, 53, e13617. [Google Scholar] [CrossRef] [PubMed]
- De Toni, L.; Petre, G.C.; Garolla, A.; De Santis, I.; Valente, U.; Foresta, C.; De Rocco Ponce, M. Prognostic Value of Ultrasound Stratigraphy in Long-Term Weight Loss: Results from a Nutritional Counseling Program. Obes. Facts 2019, 12, 606–617. [Google Scholar] [CrossRef] [PubMed]
- Cazzaniga, W.; Candela, L.; Boeri, L.; Capogrosso, P.; Pozzi, E.; Belladelli, F.; Baudo, A.; Ventimiglia, E.; Alfano, M.; Abbate, C.; et al. The Impact of Metabolically Healthy Obesity in Primary Infertile Men: Results from a Cross-sectional Study. Andrology 2020, 8, 1762–1769. [Google Scholar] [CrossRef]
- Agius, R.; Pace, N.P.; Fava, S. Phenotyping Obesity: A Focus on Metabolically Healthy Obesity and Metabolically Unhealthy Normal Weight. Diabetes Metab. Res. Rev. 2023, e3725. [Google Scholar] [CrossRef]
- Golzarand, M.; Moslehi, N.; Mirmiran, P.; Azizi, F. Adherence to the DASH, MeDi, and MIND Diet Scores and the Incidence of Metabolically Unhealthy Phenotypes. Obes. Res. Clin. Pract. 2023, 17, 226–232. [Google Scholar] [CrossRef]
- Salas-Huetos, A.; Moraleda, R.; Giardina, S.; Anton, E.; Blanco, J.; Salas-Salvadó, J.; Bulló, M. Effect of Nut Consumption on Semen Quality and Functionality in Healthy Men Consuming a Western-Style Diet: A Randomized Controlled Trial. Am. J. Clin. Nutr. 2018, 108, 953–962. [Google Scholar] [CrossRef] [PubMed]
- Reza Safarinejad, M.; Safarinejad, S. The Roles of Omega-3 and Omega-6 Fatty Acids in Idiopathic Male Infertility. Asian J. Androl. 2012, 14, 514–515. [Google Scholar] [CrossRef] [PubMed]
- Funes, A.K.; Simón, L.; Colombo, R.; Avena, M.V.; Monclús, M.; Crescitelli, J.; Cabrillana, M.E.; Conte, M.I.; Cayado, N.; Boarelli, P.; et al. Impact of High Fat Diet on the Sterol Regulatory Element-Binding Protein 2 Cholesterol Pathway in the Testicle. Mol. Hum. Reprod. 2021, 27, gaab023. [Google Scholar] [CrossRef] [PubMed]
- Abdollahzadeh, S.; Riasi, A.; Tavalaee, M.; Jafarpour, F.; Nasr-Esfahani, M.H. Omega 6/Omega 3 Ratio Is High in Individuals with Increased Sperm DNA Fragmentation. Reprod. Sci. 2023. [Google Scholar] [CrossRef] [PubMed]
- Tavilani, H.; Doosti, M.; Abdi, K.; Vaisiraygani, A.; Joshaghani, H.R. Decreased Polyunsaturated and Increased Saturated Fatty Acid Concentration in Spermatozoa from Asthenozoospermic Males as Compared with Normozoospermic Males. Andrologia 2006, 38, 173–178. [Google Scholar] [CrossRef] [PubMed]
- Ferramosca, A.; Moscatelli, N.; Di Giacomo, M.; Zara, V. Dietary Fatty Acids Influence Sperm Quality and Function. Andrology 2017, 5, 423–430. [Google Scholar] [CrossRef] [PubMed]
- Gaskins, A.J.; Colaci, D.S.; Mendiola, J.; Swan, S.H.; Chavarro, J.E. Dietary Patterns and Semen Quality in Young Men. Hum. Reprod. 2012, 27, 2899–2907. [Google Scholar] [CrossRef]
- Danielewicz, A.; Morze, J.; Przybyłowicz, M.; Przybyłowicz, K.E. Association of the Dietary Approaches to Stop Hypertension, Physical Activity, and Their Combination with Semen Quality: A Cross-Sectional Study. Nutrients 2019, 12, 39. [Google Scholar] [CrossRef]
- Arab, A.; Rafie, N.; Mansourian, M.; Miraghajani, M.; Hajianfar, H. Dietary Patterns and Semen Quality: A Systematic Review and Meta-analysis of Observational Studies. Andrology 2018, 6, 20–28. [Google Scholar] [CrossRef]
- Salas-Huetos, A.; Bulló, M.; Salas-Salvadó, J. Dietary Patterns, Foods and Nutrients in Male Fertility Parameters and Fecundability: A Systematic Review of Observational Studies. Hum. Reprod. Update 2017, 23, 371–389. [Google Scholar] [CrossRef] [PubMed]
- Garolla, A.; Petre, G.C.; Francini-Pesenti, F.; De Toni, L.; Vitagliano, A.; Di Nisio, A.; Grande, G.; Foresta, C. Systematic Review and Critical Analysis on Dietary Supplements for Male Infertility: From a Blend of Ingredients to a Rationale Strategy. Front. Endocrinol. 2022, 12, 824078. [Google Scholar] [CrossRef] [PubMed]
- Lainez, N.M.; Coss, D. Obesity, Neuroinflammation, and Reproductive Function. Endocrinology 2019, 160, 2719–2736. [Google Scholar] [CrossRef] [PubMed]
- Chianese, R.; Pierantoni, R. Mitochondrial Reactive Oxygen Species (ROS) Production Alters Sperm Quality. Antioxidants 2021, 10, 92. [Google Scholar] [CrossRef] [PubMed]
- La Vignera, S.; Basile, L. Diet and Prostate Health: An Underrated Tool? Aging Male 2022, 25, 67–71. [Google Scholar] [CrossRef] [PubMed]
- La Vignera, S.; Condorelli, R.A.; Vicari, E.; Tumino, D.; Morgia, G.; Favilla, V.; Cimino, S.; Calogero, A.E. Markers of Semen Inflammation: Supplementary Semen Analysis? J. Reprod. Immunol. 2013, 100, 2–10. [Google Scholar] [CrossRef]
- Lagiou, P.; Wuu, J.; Trichopoulou, A.; Hsieh, C.-C.; Adami, H.-O.; Trichopoulos, D. Diet and Benign Prostatic Hyperplasia: A Study in Greece. Urology 1999, 54, 284–290. [Google Scholar] [CrossRef]
- Kristal, A.R.; Arnold, K.B.; Schenk, J.M.; Neuhouser, M.L.; Goodman, P.; Penson, D.F.; Thompson, I.M. Dietary Patterns, Supplement Use, and the Risk of Symptomatic Benign Prostatic Hyperplasia: Results from the Prostate Cancer Prevention Trial. Am. J. Epidemiol. 2008, 167, 925–934. [Google Scholar] [CrossRef]





| Variables | Mean | SD | |
|---|---|---|---|
| Age (years) | 34.6 | ± | 9.1 |
| BMI (Kg/m2) | 24.3 | ± | 4.1 |
| MEDAS value | 7.6 | ± | 2.9 |
| Semen Volume (mL) | 2.94 | ± | 1.51 |
| Semen pH | 7.53 | ± | 0.23 |
| Sperm Concentration (106 cells/mL) | 42.54 | ± | 41.39 |
| Total Sperm Count (106 cells/ejaculate) | 112.69 | ± | 109.29 |
| Progressive Motility (%) | 46.79 | ± | 19.55 |
| Non-motile Sperm (%) | 43.67 | ± | 20.54 |
| Sperm Viability (%) | 77.44 | ± | 15.49 |
| Typical Sperm Morphology (%) | 5.32 | ± | 2.81 |
| Number of Alterations | ||||||
|---|---|---|---|---|---|---|
| 0 | 1 | 2 | 3 or more | |||
| MEDAS Categories | Low | Subjects | 7 | 18 | 20 | 35 |
| % within MEDAS | 8.80% | 22.50% | 25.00% | 43.80% | ||
| Medium | Subjects | 65 | 18 | 11 | 19 | |
| % within MEDAS | 57.50% | 15.90% | 9.70% | 16.80% | ||
| High | Subjects | 99 | 4 | 3 | 1 | |
| % within MEDAS | 92.50% | 3.70% | 2.80% | 0.90% | ||
| p < 0.001 | ||||||
Disclaimer/Publisher’s Note: The statements, opinions and data contained in all publications are solely those of the individual author(s) and contributor(s) and not of MDPI and/or the editor(s). MDPI and/or the editor(s) disclaim responsibility for any injury to people or property resulting from any ideas, methods, instructions or products referred to in the content. |
© 2023 by the authors. Licensee MDPI, Basel, Switzerland. This article is an open access article distributed under the terms and conditions of the Creative Commons Attribution (CC BY) license (https://creativecommons.org/licenses/by/4.0/).
Share and Cite
Petre, G.C.; Francini-Pesenti, F.; Di Nisio, A.; De Toni, L.; Grande, G.; Mingardi, A.; Cusmano, A.; Spinella, P.; Ferlin, A.; Garolla, A. Observational Cross-Sectional Study on Mediterranean Diet and Sperm Parameters. Nutrients 2023, 15, 4989. https://doi.org/10.3390/nu15234989
Petre GC, Francini-Pesenti F, Di Nisio A, De Toni L, Grande G, Mingardi A, Cusmano A, Spinella P, Ferlin A, Garolla A. Observational Cross-Sectional Study on Mediterranean Diet and Sperm Parameters. Nutrients. 2023; 15(23):4989. https://doi.org/10.3390/nu15234989
Chicago/Turabian StylePetre, Gabriel Cosmin, Francesco Francini-Pesenti, Andrea Di Nisio, Luca De Toni, Giuseppe Grande, Asia Mingardi, Arianna Cusmano, Paolo Spinella, Alberto Ferlin, and Andrea Garolla. 2023. "Observational Cross-Sectional Study on Mediterranean Diet and Sperm Parameters" Nutrients 15, no. 23: 4989. https://doi.org/10.3390/nu15234989
APA StylePetre, G. C., Francini-Pesenti, F., Di Nisio, A., De Toni, L., Grande, G., Mingardi, A., Cusmano, A., Spinella, P., Ferlin, A., & Garolla, A. (2023). Observational Cross-Sectional Study on Mediterranean Diet and Sperm Parameters. Nutrients, 15(23), 4989. https://doi.org/10.3390/nu15234989

