Systematic Review and Meta-Analysis: Prevalence of Non-Alcoholic Fatty Liver Disease and Liver Fibrosis in Patients with Inflammatory Bowel Disease
Abstract
1. Introduction
2. Materials and Methods
2.1. Study Protocol
2.2. Selection of Studies and Search Strategy
2.3. Inclusion and Exclusion Criteria
2.4. Data Extraction
2.5. Risk of Bias Assessment
2.6. Study Outcomes and Statistical Analysis
3. Results
3.1. Literature Search Results and Characteristics of Included Documents
3.2. Risk of Bias and Quality Assessment
3.3. Characteristics of IBD Patient Cohorts
3.4. Diagnosis Modalities for NAFLD and Fibrosis in IBD Patients
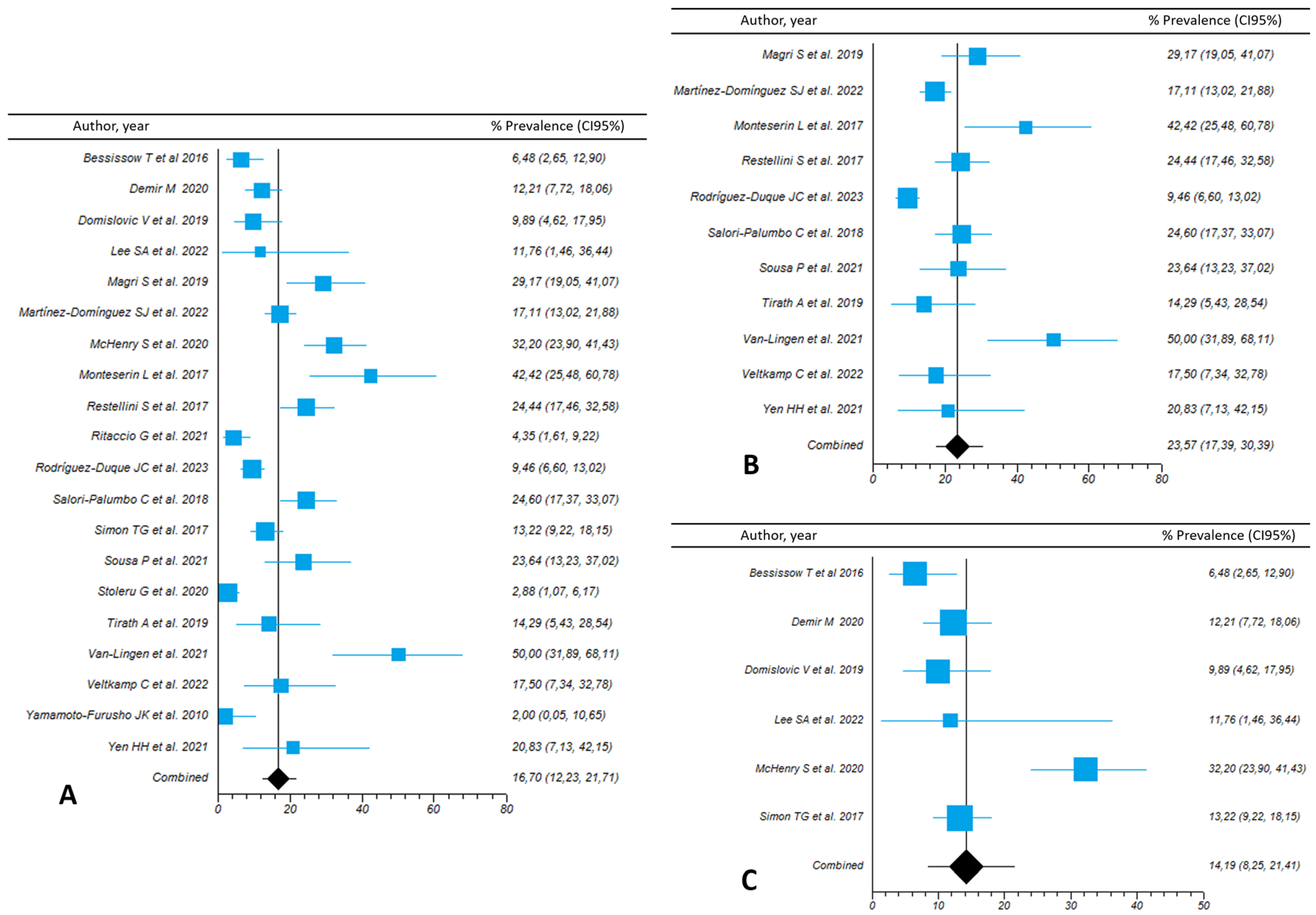
3.5. Pooled Prevalence of NAFLD in Patients with IBD Overall and According to IBD Subtype and Sex
3.6. Pooled Prevalence of NAFLD in Patients with IBD According to Diagnostic Method of NAFLD
3.7. Prevalence of Fibrosis in Patients with IBD and NAFLD According to the Fibrosis Assessment Tool
3.8. Variations in NAFLD Prevalence in Patients with IBD According to World Region and Temporal Trends
3.9. Prevalence of MAFLD in Patients with IBD
4. Discussion
5. Conclusions
Supplementary Materials
Author Contributions
Funding
Institutional Review Board Statement
Informed Consent Statement
Data Availability Statement
Conflicts of Interest
References
- Cusi, K.; Isaacs, S.; Barb, D.; Basu, R.; Caprio, S.; Garvey, W.T.; Kashyap, S.; Mechanick, J.I.; Mouzaki, M.; Nadolsky, K.; et al. American Association of Clinical Endocrinology Clinical Practice Guideline for the Diagnosis and Management of Nonalcoholic Fatty Liver Disease in Primary Care and Endocrinology Clinical Settings: Co-Sponsored by the American Association for the Study of Liver Diseases (AASLD). Endocr. Pract 2022, 28, 528–562. [Google Scholar] [PubMed]
- Younossi, Z.M.; Stepanova, M.; Younossi, Y.; Golabi, P.; Mishra, A.; Rafiq, N.; Henry, L. Epidemiology of chronic liver diseases in the USA in the past three decades. Gut 2020, 69, 564–568. [Google Scholar] [CrossRef] [PubMed]
- Le, M.H.; Le, D.M.; Baez, T.C.; Wu, Y.; Ito, T.; Lee, E.Y.; Lee, K.; Stave, C.D.; Henry, L.; Barnett, S.D.; et al. Global incidence of non-alcoholic fatty liver disease: A systematic review and meta-analysis of 63 studies and 1,201,807 persons. J. Hepatol. 2023, 79, 287–295. [Google Scholar] [CrossRef] [PubMed]
- Younossi, Z.M.; Golabi, P.; Paik, J.M.; Henry, A.; Van Dongen, C.; Henry, L. The global epidemiology of nonalcoholic fatty liver disease (NAFLD) and nonalcoholic steatohepatitis (NASH): A systematic review. Hepatology 2023, 77, 1335–1347. [Google Scholar] [CrossRef] [PubMed]
- Younossi, Z.M.; Koenig, A.B.; Abdelatif, D.; Fazel, Y.; Henry, L.; Wymer, M. Global epidemiology of nonalcoholic fatty liver disease-Meta-analytic assessment of prevalence, incidence, and outcomes. Hepatology 2016, 64, 73–84. [Google Scholar] [CrossRef]
- Targher, G.; Byrne, C.D.; Tilg, H. NAFLD and increased risk of cardiovascular disease: Clinical associations, pathophysiological mechanisms and pharmacological implications. Gut 2020, 69, 1691–1705. [Google Scholar] [CrossRef]
- Huang, S.; Bao, Y.; Zhang, N.; Niu, R.; Tian, L. Long-term outcomes in lean and non-lean NAFLD patients: A systematic review and meta-analysis. Endocrine 2023, 1–8. [Google Scholar] [CrossRef]
- Buzzetti, E.; Pinzani, M.; Tsochatzis, E.A. The multiple-hit pathogenesis of non-alcoholic fatty liver disease (NAFLD). Metabolism 2016, 65, 1038–1048. [Google Scholar] [CrossRef]
- Schuster, S.; Cabrera, D.; Arrese, M.; Feldstein, A.E. Triggering and resolution of inflammation in NASH. Nat. Rev. Gastroenterol. Hepatol. 2018, 15, 349–364. [Google Scholar] [CrossRef]
- Eslam, M.; Sanyal, A.J.; George, J. MAFLD: A Consensus-Driven Proposed Nomenclature for Metabolic Associated Fatty Liver Disease. Gastroenterology 2020, 158, 1999–2014e1. [Google Scholar] [CrossRef]
- Rinella, M.E.; Lazarus, J.V.; Ratziu, V.; Francque, S.M.; Sanyal, A.J.; Kanwal, F.; Romero, D.; Abdelmalek, M.F.; Anstee, Q.M.; Arab, J.P.; et al. A multi-society Delphi consensus statement on new fatty liver disease nomenclature. Ann. Hepatol. 2023, in press. [Google Scholar] [CrossRef]
- Ortolan, A.; Lorenzin, M.; Tadiotto, G.; Russo, F.P.; Oliviero, F.; Felicetti, M.; D’Incà, R.; Favero, M.; Piaserico, S.; Doria, A.; et al. Metabolic syndrome, non-alcoholic fatty liver disease and liver stiffness in psoriatic arthritis and psoriasis patients. Clin. Rheumatol. 2019, 38, 2843–2850. [Google Scholar] [CrossRef] [PubMed]
- Bellinato, F.; Gisondi, P.; Mantovani, A.; Girolomoni, G.; Targher, G. Risk of non-alcoholic fatty liver disease in patients with chronic plaque psoriasis: An updated systematic review and meta-analysis of observational studies. J. Endocrinol. Investig. 2022, 45, 1277–1288. [Google Scholar] [CrossRef]
- Lin, A.; Roth, H.; Anyane-Yeboa, A.; Rubin, D.T. Prevalence of Nonalcoholic Fatty Liver Disease in Patients with Inflammatory Bowel Disease: A Systematic Review and Meta-analysis. Inflamm. Bowel Dis. 2021, 27, 947–955. [Google Scholar] [CrossRef]
- Dias, E.; Andrade, P.; Lopes, S.; Gonçalves, R.; Cardoso, P.; Gaspar, R.; Cardoso, H.; Lopes, J.; Carneiro, F.; Macedo, G. Liver biopsy in inflammatory bowel disease patients with sustained abnormal liver function tests: A retrospective single-center study. Ann. Gastroenterol. 2023, 36, 54–60. [Google Scholar] [CrossRef] [PubMed]
- Ng, S.C.; Shi, H.Y.; Hamidi, N.; Underwood, F.E.; Tang, W.; Benchimol, E.I.; Panaccione, R.; Ghosh, S.; Wu, J.C.Y.; Chan, F.K.L.; et al. Hepatobiliary manifestations in inflammatory bowel disease: A practical approach. World J. Hepatol 2022, 14, 319–337. [Google Scholar]
- Ng, S.C.; Shi, H.Y.; Hamidi, N.; Underwood, F.E.; Tang, W.; Benchimol, E.I.; Panaccione, R.; Ghosh, S.; Wu, J.C.; Chan, F.K. Worldwide incidence and prevalence of inflammatory bowel disease in the 21st century: A systematic review of population-based studies. Lancet 2017, 390, 2769–2778. [Google Scholar] [CrossRef]
- Lindén, D.; Romeo, S. Mini-Review for Journal of HepatologyTherapeutic opportunities for the treatment of NASH with genetically validated targets. J. Hepatol. 2023, 79, 1056–1064. [Google Scholar] [CrossRef]
- Dolce, A.; Della Torre, S. Sex, Nutrition, and NAFLD: Relevance of Environmental Pollution. Nutrients 2023, 15, 2335. [Google Scholar] [CrossRef]
- Pekkala, S. Fecal Metagenomics and Metabolomics Identifying Microbial Signatures in Non-Alcoholic Fatty Liver Disease. Int. J. Mol. Sci. 2023, 24, 4855. [Google Scholar] [CrossRef]
- Miele, L.; Valenza, V.; La Torre, G.; Montalto, M.; Cammarota, G.; Ricci, R.; Mascianà, R.; Forgione, A.; Gabrieli, M.L.; Perotti, G.; et al. Increased intestinal permeability and tight junction alterations in nonalcoholic fatty liver disease. Hepatology 2009, 49, 1877–1887. [Google Scholar] [CrossRef]
- Michielan, A.; D’Incà, R. Intestinal Permeability in Inflammatory Bowel Disease: Pathogenesis, Clinical Evaluation, and Therapy of Leaky Gut. Mediat. Inflamm. 2015, 2015, 628157. [Google Scholar] [CrossRef] [PubMed]
- Zamani, M.; Alizadeh-Tabari, S.; Singh, S.; Loomba, R. Meta-analysis: Prevalence of, and risk factors for, non-alcoholic fatty liver disease in patients with inflammatory bowel disease. Aliment. Pharm. 2022, 55, 894–907. [Google Scholar] [CrossRef] [PubMed]
- Zou, Z.-Y.; Shen, B.; Fan, J.-G. Systematic Review with Meta-analysis: Epidemiology of Nonalcoholic Fatty Liver Disease in Patients with Inflammatory Bowel Disease. Inflamm. Bowel Dis. 2019, 25, 1764–1772. [Google Scholar] [CrossRef] [PubMed]
- Nasir, K.; Acquah, I.; Dey, A.K.; Agrawal, T.; Hassan, S.Z.; Glassner, K.; Abraham, B.; Quigley, E.M.M.; Blankstein, R.; Virani, S.S.; et al. Inflammatory bowel disease and atherosclerotic cardiovascular disease in U.S. adults-A population-level analysis in the national health interview survey. Am. J. Prev. Cardiol. 2022, 9, 100316. [Google Scholar] [CrossRef]
- Singh, S.; Singh, H.; Loftus, E.V.; Pardi, D.S. Risk of cerebrovascular accidents and ischemic heart disease in patients with inflammatory bowel disease: A systematic review and meta-analysis. Clin. Gastroenterol. Hepatol. 2014, 12, 382–393.e1: quiz e22. [Google Scholar] [CrossRef]
- Sun, H.-H.; Tian, F. Inflammatory bowel disease and cardiovascular disease incidence and mortality: A meta-analysis. Eur. J. Prev. Cardiol. 2018, 25, 1623–1631. [Google Scholar] [CrossRef]
- Page, M.J.; McKenzie, J.E.; Bossuyt, P.M.; Boutron, I.; Hoffmann, T.C.; Mulrow, C.D.; Shamseer, L.; Tetzlaff, J.M.; Akl, E.A.; Brennan, S.E.; et al. The PRISMA 2020 statement: An updated guideline for reporting systematic reviews. BMJ 2021, 372, n71. [Google Scholar] [CrossRef]
- Eslam, M.; Newsome, P.N.; Sarin, S.K.; Anstee, Q.M.; Targher, G.; Romero-Gomez, M.; Zelber-Sagi, S.; Wai-Sun Wong, V.; Dufour, J.-F.; Schattenberg, J.M.; et al. A new definition for metabolic dysfunction-associated fatty liver disease: An international expert consensus statement. J. Hepatol. 2020, 73, 202–209. [Google Scholar] [CrossRef]
- Munn, Z.; Moola, S.; Lisy, K.; Riitano, D.; Tufanaru, C. Chapter 5: Systematic reviews of prevalence and incidence. In JBI Manual for Evidence Synthesis; Aromataris, E., Munn, Z., Eds.; JBI: Adelaide, Australia, 2020. [Google Scholar]
- DerSimonian, R.; Laird, N. Meta-analysis in clinical trials. Control. Clin. Trials. 1986, 7, 177–188. [Google Scholar] [CrossRef]
- Higgins, J.P.T.; Thompson, S.G.; Deeks, J.J.; Altman, D.G. Measuring inconsistency in meta-analyses. BMJ 2003, 327, 557–560. [Google Scholar] [CrossRef] [PubMed]
- Begg, C.B.; Mazumdar, M. Operating characteristics of a rank correlation test for publication bias. Biometrics 1994, 50, 1088–1101. [Google Scholar] [CrossRef] [PubMed]
- Egger, M.; Smith, G.D.; Schneider, M.; Minder, C. Bias in meta-analysis detected by a simple, graphical test. BMJ 1997, 315, 629–634. [Google Scholar] [CrossRef] [PubMed]
- Abomhya, A.; Mahmoodurrahman, M.; Ayaz, S.; Hamad, H.; Khan, F. Burden and Predictors of Non-Alcoholic Fatty Liver Disease in a Retrospective Cohort of Patients with Crohn’s Disease. Gastroenterol. Res. 2022, 15, 82–90. [Google Scholar] [CrossRef]
- Arieira, C.; Monteiro, S.; Xavier, S.; Dias de Castro, F.; Magalhães, J.; Moreira, M.J.; Marinho, C.; Cotter, J. Hepatic steatosis and patients with inflammatory bowel disease: When transient elastography makes the difference. Eur. J. Gastroenterol. Hepatol. 2019, 31, 998–1003. [Google Scholar] [CrossRef] [PubMed]
- Bargiggia, S.; Maconi, G.; Elli, M.; Molteni, P.; Ardizzone, S.; Parente, F.; Todaro, I.; Greco, S.; Manzionna, G.; Bianchi Porro, G. Sonographic prevalence of liver steatosis and biliary tract stones in patients with inflammatory bowel disease: Study of 511 subjects at a single center. J. Clin. Gastroenterol. 2003, 36, 417–420. [Google Scholar] [CrossRef]
- Bessissow, T.; Le, N.H.; Rollet, K.; Afif, W.; Bitton, A.; Sebastiani, G. Incidence and Predictors of Nonalcoholic Fatty Liver Disease by Serum Biomarkers in Patients with Inflammatory Bowel Disease. Inflamm. Bowel Dis. 2016, 22, 1937–1944. [Google Scholar] [CrossRef]
- Bosch, D.E.; Yeh, M.M. Primary sclerosing cholangitis is protective against nonalcoholic fatty liver disease in inflammatory bowel disease. Hum. Pathol. 2017, 69, 55–62. [Google Scholar] [CrossRef]
- Carrillo-Palau, M.; Hernández-Camba, A.; Hernández Alvarez-Buylla, N.; Ramos, L.; Alonso-Abreu, I.; Hernández-Pérez, A.; Vela, M.; Arranz, L.; Hernández-Guerra, M.; González-Gay, M.Á.; et al. Insulin Resistance Is Not Increased in Inflammatory Bowel Disease Patients but Is Related to Non-Alcoholic Fatty Liver Disease. J. Clin. Med. 2021, 10, 3062. [Google Scholar] [CrossRef]
- Chicco, F.; Magrì, S.; Cingolani, A.; Paduano, D.; Pesenti, M.; Zara, F.; Tumbarello, F.; Urru, E.; Melis, A.; Casula, L.; et al. Multidimensional Impact of Mediterranean Diet on IBD Patients. Inflamm. Bowel Dis. 2021, 27, 1–9. [Google Scholar] [CrossRef]
- Cohen, M.E.; Deepak, P.; Khanna, G.; Samson, C.M. Evaluation of Nonalcoholic Fatty Liver Disease in Pediatric Patients with Inflammatory Bowel Disease. J. Pediatr. Gastroenterol. Nutr. 2021, 72, 574–578. [Google Scholar] [CrossRef] [PubMed]
- Daniluk, U.; Kwiatek-Sredzinska, K.; Jakimiec, P.; Daniluk, J.; Czajkowska, A.; Lebensztejn, D.M. Liver Pathology in Children with Diagnosed Inflammatory Bowel Disease-A Single Center Experience. J. Clin. Med. 2021, 10, 5359. [Google Scholar] [CrossRef]
- Glassner, K.; Malaty, H.M.; Abraham, B.P. Epidemiology and Risk Factors of Nonalcoholic Fatty Liver Disease Among Patients with Inflammatory Bowel Disease. Inflamm. Bowel Dis. 2017, 23, 998–1003. [Google Scholar] [CrossRef] [PubMed]
- Hoffmann, P.; Jung, V.; Behnisch, R.; Gauss, A. Prevalence and risk factors of nonalcoholic fatty liver disease in patients with inflammatory bowel diseases: A cross-sectional and longitudinal analysis. World J. Gastroenterol. 2020, 26, 7367–7381. [Google Scholar] [CrossRef] [PubMed]
- Hong, Q.; Shen, J.; Feng, Q.; Zheng, Q.; Qiao, Y. Prevalence and predictors of non-alcoholic liver disease on MRI among patients with Crohn’s disease. BMC Gastroenterol. 2022, 22, 183. [Google Scholar]
- Kang, M.K.; Kim, K.O.; Kim, M.C.; Park, J.G.; Jang, B.I. Sarcopenia Is a New Risk Factor of Nonalcoholic Fatty Liver Disease in Patients with Inflammatory Bowel Disease. Dig. Dis. 2020, 38, 507–514. [Google Scholar] [CrossRef]
- Kani, H.T.; Deliktas, İ.; Yilmaz, Y. Prevalence of fatty liver disease in patients with inflammatory bowel disease: A transient elastography study on the basis of a controlled attenuation parameter. Marmara Med. J. 2019, 32, 68–70. [Google Scholar] [CrossRef]
- Koller, T.; Galambosova, M.; Filakovska, S.; Kubincova, M.; Hlavaty, T.; Toth, J.; Krajcovicova, A.; Payer, J. Drug-induced liver injury in inflammatory bowel disease: 1-year prospective observational study. World J. Gastroenterol. 2017, 23, 4102–4111. [Google Scholar] [CrossRef]
- Li, D.; Lu, C.; Yu, C. High incidence of non-alcoholic fatty liver disease in patients with Crohn’s disease but not ulcerative colitis. Int. J. Clin. Exp. Pathol. 2017, 10, 10633–10639. [Google Scholar]
- Likhitsup, A.; Dundulis, J.; Ansari, S.; El-Halawany, H.; Michelson, R.; Hutton, C.; Kennedy, K.; Helzberg, J.H.; Chhabra, R. Prevalence of non-alcoholic fatty liver disease on computed tomography in patients with inflammatory bowel disease visiting an emergency department. Ann. Gastroenterol. 2019, 32, 283–286. [Google Scholar] [CrossRef]
- Magrì, S.; Paduano, D.; Chicco, F.; Cingolani, A.; Farris, C.; Delogu, G.; Tumbarello, F.; Lai, M.; Melis, A.; Casula, L.; et al. Nonalcoholic fatty liver disease in patients with inflammatory bowel disease: Beyond the natural history. World J. Gastroenterol. 2019, 25, 5676–5686. [Google Scholar] [CrossRef] [PubMed]
- Mancina, R.M.; De Bonis, D.; Pagnotta, R.; Cosco, C.; Cosco, V.; Montalcini, T.; Pujia, A.; Doldo, P.; Spagnuolo, R. Ulcerative Colitis as an Independent Risk Factor for Hepatic Steatosis. Gastroenterol. Nurs 2020, 43, 292–297. [Google Scholar] [CrossRef] [PubMed]
- McHenry, S.; Tirath, A.; Tsai, R.; Sharma, Y.; Flores, A.G.; Davidson, N.O.; Fowler, K.J.; Ciorba, M.A.; Deepak, P. Derivation and Internal Validation of a Clinical Prediction Tool to Predict Nonalcoholic Fatty Liver Disease in Patients with Crohn’s Disease. Inflamm. Bowel Dis. 2020, 26, 1917–1925. [Google Scholar] [CrossRef] [PubMed]
- Morsy, K.H.; Hasanain, A.F.A. Hepatobiliary disorders among naïve patients with ulcerative colitis in Upper Egypt. Arab. J. Gastroenterol. 2012, 13, 71–76. [Google Scholar] [CrossRef] [PubMed]
- Nguyen, D.L.; Bechtold, M.L.; Jamal, M.M. National trends and inpatient outcomes of inflammatory bowel disease patients with concomitant chronic liver disease. Scand. J. Gastroenterol. 2014, 49, 1091–1095. [Google Scholar] [CrossRef]
- Paparo, F.; Bacigalupo, L.; Garello, I.; Biscaldi, E.; Cimmino, M.A.; Marinaro, E.; Rollandi, G.A. Crohn’s disease: Prevalence of intestinal and extraintestinal manifestations detected by computed tomography enterography with water enema. Abdom. Imaging 2012, 37, 326–337. [Google Scholar] [CrossRef]
- Perrett, A.D.; Higgins, G.; Johnston, H.H.; Massarella, G.R.; Truelove, S.C.; Wright, R. The liver in ulcerative colitis. Q J. Med. 1971, 40, 211–238. [Google Scholar] [CrossRef]
- Principi, M.; Iannone, A.; Losurdo, G.; Mangia, M.; Shahini, E.; Albano, F.; Rizzi, S.F.; La Fortezza, R.F.; Lovero, R.; Contaldo, A.; et al. Nonalcoholic Fatty Liver Disease in Inflammatory Bowel Disease: Prevalence and Risk Factors. Inflamm. Bowel Dis. 2018, 24, 1589–1596. [Google Scholar] [CrossRef]
- Ritaccio, G.; Stoleru, G.; Abutaleb, A.; Cross, R.K.; Shetty, K.; Sakiani, S.; Wong, U. Nonalcoholic Fatty Liver Disease Is Common in IBD Patients However Progression to Hepatic Fibrosis by Noninvasive Markers Is Rare. Dig. Dis. Sci. 2021, 66, 3186–3191. [Google Scholar] [CrossRef]
- Rodriguez-Duque, J.C.; Calleja, J.L.; Iruzubieta, P.; Hernández-Conde, M.; Rivas-Rivas, C.; Vera, M.I.; Garcia, M.J.; Pascual, M.; Castro, B.; García-Blanco, A.; et al. Increased risk of MAFLD and Liver Fibrosis in Inflammatory Bowel Disease Independent of Classic Metabolic Risk Factors. Clin. Gastroenterol. Hepatol. 2023, 21, 406–414.e7. [Google Scholar] [CrossRef]
- Sagami, S.; Ueno, Y.; Tanaka, S.; Fujita, A.; Hayashi, R.; Oka, S.; Hyogo, H.; Chayama, K. Significance of non-alcoholic fatty liver disease in Crohn’s disease: A retrospective cohort study. Hepatol. Res. 2017, 47, 872–881. [Google Scholar] [CrossRef] [PubMed]
- Saroli Palumbo, C.; Restellini, S.; Chao, C.-Y.; Aruljothy, A.; Lemieux, C.; Wild, G.; Afif, W.; Lakatos, P.L.; Bitton, A.; Cocciolillo, S.; et al. Screening for Nonalcoholic Fatty Liver Disease in Inflammatory Bowel Diseases: A Cohort Study Using Transient Elastography. Inflamm. Bowel Dis. 2019, 25, 124–133. [Google Scholar] [CrossRef] [PubMed]
- Silva, J.; Brito, B.S.; Silva, I.N. de N.; Nóbrega, V.G.; da Silva, M.C.S.M.; Gomes, H.D. de N.; Fortes, F.M.; Pimentel, A.M.; Mota, J.; Almeida, N.; et al. Frequency of Hepatobiliary Manifestations and Concomitant Liver Disease in Inflammatory Bowel Disease Patients. Biomed. Res. Int. 2019, 2019, 7604939. [Google Scholar] [CrossRef] [PubMed]
- Simon, T.G.; Van Der Sloot, K.W.J.; Chin, S.B.; Joshi, A.D.; Lochhead, P.; Ananthakrishnan, A.N.; Xavier, R.; Chung, R.T.; Khalili, H. IRGM Gene Variants Modify the Relationship Between Visceral Adipose Tissue and NAFLD in Patients with Crohn’s Disease. Inflamm. Bowel Dis. 2018, 24, 2247–2257. [Google Scholar] [CrossRef]
- Sourianarayanane, A.; Garg, G.; Smith, T.H.; Butt, M.I.; McCullough, A.J.; Shen, B. Risk factors of non-alcoholic fatty liver disease in patients with inflammatory bowel disease. J. Crohns. Colitis. 2013, 7, e279–e285. [Google Scholar] [CrossRef]
- Spagnuolo, R.; Larussa, T.; Iannelli, C.; Cosco, C.; Nisticò, E.; Manduci, E.; Bruno, A.; Boccuto, L.; Abenavoli, L.; Luzza, F.; et al. COVID-19 and Inflammatory Bowel Disease: Patient Knowledge and Perceptions in a Single Center Survey. Medicina 2020, 56, 407. [Google Scholar] [CrossRef]
- Lingen, E.v.; Tushuizen, M.E.; Steenhuis, M.E.J.; van Deynen, T.; Martens, J.; Morales, D.D.-I.; van der Meulen-de Jong, A.E.; Molendijk, I.; van der Marel, S.; Maljaars, P.W.J. Disease activity in inflammatory bowel disease patients is associated with increased liver fat content and liver fibrosis during follow-up. Int. J. Color. Dis. 2022, 37, 349–356. [Google Scholar] [CrossRef]
- Veltkamp, C.; Lan, S.; Korompoki, E.; Weiss, K.-H.; Schmidt, H.; Seitz, H.K. Hepatic Steatosis and Fibrosis in Chronic Inflammatory Bowel Disease. J. Clin. Med. 2022, 11, 2623. [Google Scholar] [CrossRef]
- Voss, J.; Schneider, C.V.; Kleinjans, M.; Bruns, T.; Trautwein, C.; Strnad, P. Hepatobiliary phenotype of individuals with chronic intestinal disorders. Sci. Rep. 2021, 11, 19954. [Google Scholar] [CrossRef]
- Yamamoto-Furusho, J.K.; Sánchez-Osorio, M.; Uribe, M. Prevalence and factors associated with the presence of abnormal function liver tests in patients with ulcerative colitis. Ann. Hepatol. 2010, 9, 397–401. [Google Scholar] [CrossRef]
- Yen, H.-H.; Su, P.-Y.; Huang, S.-P.; Wu, L.; Hsu, T.-C.; Zeng, Y.-H.; Chen, Y.-Y. Evaluation of non-alcoholic fatty liver disease in patients with inflammatory bowel disease using controlled attenuation parameter technology: A Taiwanese retrospective cohort study. PLoS ONE 2021, 16, e0252286. [Google Scholar] [CrossRef] [PubMed]
- Perrett, A.D.; Higgins, G.; Johnston, H.H.; Massarella, G.R.; Truelove, S.C.; Wrigth, R. The liver in Crohn’s disease. Q J. Med. 1971, 40, 187–209. [Google Scholar] [CrossRef] [PubMed]
- Almohannadi, M.; Chandra, P.; Varughese, B.; Darweesh, A.; Hamid, A.; Badi, A.; Kaabi, S.A.; Yakoob, R.; Al-Ejji, K.; Sultan, K.; et al. Non-alcoholic fatty liver disease among patients with inflammatory bowel disease in Qatar: Prevalence and risk factors. J. Crohn’s Colitis. 2020, 14, S621. [Google Scholar] [CrossRef]
- Andrade, P.; Lopes, S.; Lopes, J.; Macedo, G. A histological appraisal of hepatobiliarydisorders in inflammatory bowel disease. United Eur. Gastroenterol. J. 2016, 4, A252. [Google Scholar]
- Atanassova, A.; Georgieva, A. Fatty liver disease in IBD patients as a part of extraintestinal manifestations. J. Crohn’s Colitis. 2019, 13, S165. [Google Scholar] [CrossRef]
- Balaban, D.; Enache, I.; Macadon, B.; Patrasescu, M.; Robu, G.; Zoican, A.; Bucurica, S.; Costache, R.; Nuta, P.; Ionita Radu, F.; et al. Prevalence and quantitative assessment ofliver steatosis in inflammatory bowel diseasepatients. United Eur. Gastroenterol. J. 2017, 5, A161–A836. [Google Scholar]
- Basaranoglu, M.; Yuksel, M.; Coskun, O.; Kaplan, M.; Ozdemir, M.; Turhan, N.; Aksoy, A. The prevalence of liver, biliary tract and pancreas abnormalities in patients with Inflammatory Bowel Disease screened by US and confimed by echoendoscopy. J. Crohn’s Colitis. 2015, 9, S131. [Google Scholar]
- Ben Mohamed, A.; Medhioub, M.; Khsiba, A.; Mahmoudi, M.; Hamzaoui, L.; Azzouz, M. Prevalence and risk facto rs for non-alcoholic fatt y liver disease in Crohn’s disease. United Eur. Gastroenterol. J. 2019, 7, 189–1030. [Google Scholar]
- Cahill, J.; Wesolowski, M.; Dhaduk, R.; Asamoah, N.; Venu, M.; Shastri, N.; Idstein, K.; Naik, A.S. Clinical Characteristics of Nash/Nafld Patients in an IBD Patient Cohort. Gastroenterology 2019, 156, S416–S418. [Google Scholar] [CrossRef]
- Cheikhna, F.; Omari, H.; Tahiri, M.; Haddad, F.; Bellabah, A.; Hliwa, W.; Badre, W. Hepatobiliary manifestations associated to chronic inflammatory bowel disease. Turk. J. Gastroenterol. 2020, 30, S136–S912. [Google Scholar]
- Chhina, S.; Steadman, K.; Goel, G.; Nguyen, K.; Targan, S.; Li, X.; Haritunians, T.; Li, D.; Yang, S.; McGovern, D. Small Bowel Location, Stricturing Behavior, Vitamin D Receptor Polymorphism, and Metabolic Disease Susceptibility Genes Are Associated with NAFLD in Crohn’s Disease: 1704. Off. J. Am. Coll. Gastroenterol.|ACG 2014, 109, S504. [Google Scholar] [CrossRef]
- Crispino, F.; Brinch, D.; Scrivo, B.; Celsa, C.; Di Grado, G.; Sapia, A.; Petta, S.; Cappello, M. Prevalence and incidence of nonalcoholic fatty liver disease in Inflammatory Bowel Disease patients: Risk factors for progression. J. Crohn’s Colitis. 2022, 16, i236. [Google Scholar] [CrossRef]
- Di Girolamo, M.; Scancelli, A.; Bertani, A.; Sartini, A.; Merighi, A.; Villa, E. Ultrasonographic prevalence of liver steatosis in patients with inflammatory bowel disease in a single center. J. Crohn’s Colitis. 2013, 7, S258. [Google Scholar] [CrossRef]
- Domislovic, V.; Stromar, I.K.; Premuzic, M.; Bender, D.V.; Matasin, M.; Milinkovic, A.; Krznaric, Z. Retrospective Study on Incidence Rates of Nafld and Advanced Liver Fibrosis in Crohn’s Disease and Ulcerative Colitis. Gastroenterology 2019, 156, S414. [Google Scholar] [CrossRef]
- Dorobăț, A.; Lupascu, A.; Bejinariu, I.; Popa, R.; Mihai, C.; Prelipcean, C. Hepatic steatosis associated with inflammatory bowel disease: A single center study. J. Gastrointest. Liver Dis. 2018, 27, 8. [Google Scholar]
- Dundulis, J.; Helzberg, J.; Ansari, S.; El-Halawany, H.; Michelson, R.; Chhabra, R. NAFLD Appears to Be the Most Common Liver Disease in IBD Patients; IBD is Likely a Risk Factor for NAFLD: 494. Off. J. Am. Coll. Gastroenterol.|ACG 2014, 109, S147. [Google Scholar] [CrossRef]
- Dunn, M.; Ramos Rivers, C.; Schmotzer, A.; Regueiro, M.; Chopra, K.; Binion, D. Current Spectrum of Liver Disease inInflammatory Bowel Disease. Hepatology 2012, 56, 1143A. [Google Scholar]
- El Mahjoubi, S.; Er-rabie, F.; El Mekkaoui, A.; Khannoussi, W.; Ismaili, Z.; Kharrasse, G. Ultrasonographic Prevalence of Liver Steatosis in Inflammatory Bowel Disease Patients. Inflamm. Intest. Dis. 2017, 2, 77. [Google Scholar]
- Elchert, J.A.; Mansoor, E.; Sinh, P.; Sclair, S.; Cohen, S.; Katz, J.; Cooper, G. Prevalence of Non-Alcoholic Steatohepatitis (NASH) in Individuals with Crohn’s Disease: A Population-Based National Study: 854. Off. J. Am. Coll. Gastroenterol. ACG 2018, 113, S476. [Google Scholar] [CrossRef]
- Elchert, J.A.; Mansoor, E.; Sinh, P.; Sclair, S.; Cohen, S.; Katz, J.; Cooper, G. Prevalence of Non-Alcoholic Steatohepatitis (NASH) in Individuals with Ulcerative Colitis: A Population-Based National Study: 855. Off. J. Am. Coll. Gastroenterol. ACG 2018, 113, S477. [Google Scholar] [CrossRef]
- Erzin, Y.; Demir, N.; Cabuk, C.; Kantarci, F.; Hatemi, I.; Celik, A. The Increased Prevalence of Non-Alcoholic Fatty Liver Disease in Inflammatory Bowel Disease Patients is not Related To Inflammatory Load. J. Crohn’s Colitis. 2015, 9, S363. [Google Scholar]
- Gilcă-Blanariu, G.; Stefanescu, G.; Ciocoiu, M.; Trifan, A. Liver involvement in inflammatory bowel disease-retrospective data from a tertiary center in north-eastern Romania. Turk. J. Gastroenterol. 2020, 30, S322. [Google Scholar]
- Gu, P.; Dube, S.; Gellada, N.; Li, D.; Haritunians, T.; Vasiliauskas, E.A.; Ha, C.; Syal, G.; Bonthala, N.; Yang, S.; et al. Clinical, radiographic, serologic, and genetic associations with hepatic steatosis severity and non-alcoholic fatty liver disease (NAFLD) in patients with inflammatory bowel diseases (IBD). Gastroenterology 2022, 162, S426. [Google Scholar] [CrossRef]
- Gupta, A.; Ahuja, V. High prevalence of hepatic steatosis in patients with ulcerative colitis from north India: Prospective observational study. Indian J. Gastroenterol. 2022, 41, 102. [Google Scholar]
- Iannone, A.; Losurdo, G.; Shahini, E.; Albano, F.; La Fortezza, R.F.; Rizzi, S.F.; Contaldo, A.; Barone, M.; Ierardi, E.; Principi, M.; et al. Prevalence and risk factors for non alcoholic fatty liver disease in inflammatory bowel disease. J. Crohn’s Colitis. 2017, 11, S247–S248. [Google Scholar] [CrossRef][Green Version]
- Jubin, K.; Ramachandran, T.; Kumar, S.; Srijith, K.; Balagopal, S.; Alex, A.; Muhammed, S. Spectrum of hepatobiliary manifestations in patients with inflammatory bowel diseases. J. Gastroenterol. Hepatol. 2019, 34, 277. [Google Scholar]
- Karmiris, K.; Avgerinos, A.; Taveranaki, A.; Zeglinas, C.; Karatzas, P.; Koukouratos, T.; Oikonomou, K.; Kostas, A.; Zampeli, E.; Papadopoulos, V.; et al. Hepatobiliary, pancreatic and renal manifestations in greek inflammatory bowel disease patients. United Eur. Gastroenterol. J. 2014, 2, A363. [Google Scholar]
- Kasarala, G.; Sheri, G.; Harvin, G. Non-Alcoholic Fatty Liver Disease in Inflammatory Bowel Disease: 63. Off. J. Am. Coll. Gastroenterol.|ACG 2017, 112, S352. [Google Scholar] [CrossRef]
- Kumar-Dixit, V.; Dixit, I.; Kumar-Shukla, S.; Yadav, D. Study of profile of hepatic disorders in patients with inflammatory bowel disease: Our experience in tertiary care hospital. Indian J. Gastroenterol. 2020, 39, S37. [Google Scholar]
- Le, N.H.Q.; Rollet, K.C.; Afif, W.; Bitton, A.; Bessissow, T.; Sebastiani, G. Mo1245 Impact of Inflammatory Bowel Disease Activity on the Incidence of Non-Alcoholic Fatty Liver Disease: A 7-Year Longitudinal Study. Gastroenterology 2014, 146, S596. [Google Scholar] [CrossRef]
- Lee, A.; Shah, V.; Nandi, N. The Risk Factors and Prevalence of Non-Alcoholic Fatty Liver Disease in Inflammatory Bowel Disease. Gastroenterology 2019, 156, S1261. [Google Scholar] [CrossRef]
- Lee, A.S.; Wang, Z.; Said, A.; Reeder, S.; Saha, S. Characterizing the clinical signigicance of hepatic steatosis in Crohn`s disease utilizing MR Proton Density Fat Fraction and FIB-4 Score. Gastroenterology 2022, 162, S780. [Google Scholar]
- Lopes, M.; Shintaku, D.; de Oliveira, A.C.; Beraldo, R.; Godoi, G.; Castelhano, N.; Vulcano, D.; Pereira, J.; de Oliveira, E.C.; Herrerias, G.; et al. Prevalence of non-alcoholic fatty liver disease (NAFLD) in patients with inflammatory bowel disease (IBD) in a Brazilian public healthcare clinic. Off. J. Am. Coll. Gastroenterol.|ACG 2021, 116, S11. [Google Scholar] [CrossRef] [PubMed]
- Martínez-Domínguez, S.J.; García Mateo, S.; Gallego Llera, B.; Gargallo-Puyuelo, C.J.; Refaie, E.; Arroyo Villarino, M.T.; Laredo De La Torre, V.; Alfambra Cabrejas, E.; Gomollón García, F. Risk factors associated with NAFLD and liver fibrosis in patients with Inflammatory Bowel Disease: A prospective cohort study. J. Crohn’s Colitis. 2022, 16, i269. [Google Scholar] [CrossRef]
- Mehrotra, P.; Mehrotra, S.; Mehrotra, P.; Verma, K. Non-alcoholic fatty liver disease (NAFLD) in ulcerative colitis (UC): A case series and role of fibroscan. J. Clin. Exp. Hepatol. 2013, 3, S26. [Google Scholar] [CrossRef]
- Mehrotra, P.; Mehrotra, P. Non-alcoholic fatty liver disease in patients with Ulcerative colitis: A prospective Indian data. Hepatol. Int. 2018, 12, S455. [Google Scholar]
- Mohammed, T.; Yasmine, J.; Zohra, L.; Ahmed, B.; Rhimou, A. Prevalence of hepatic steatosis in inflammatory bowel disease. Hepatol Int. 2012, 6, 283. [Google Scholar]
- Monteserin, L.; Linares, P.; Marcos, J.; Molina, G.; Reyes, N.; Álvarez-Cuenllas, B.; Sierra, M.; Vivas, S.; Suarez, P.; Fernández-Gundín, M.; et al. Relationship Between Non-Alcoholic Fatty Liver Disease and Inflammatory Bowel Disease. Inflamm. Intest. Dis. 2017, 2, 46–47. [Google Scholar]
- Nasrullayeva, F.; Akpınar, H.; Bengi, G. Hepatobiliary involvement in patients with inflammatory bowel disease. Turk. J. Gastroenterol. 2020, 30, S662. [Google Scholar]
- P Patel, N.P.; Bussler, J.F.; Geisinger, K.R.; Geisinger, K.F.; Hill, I.D. Are pathologists accurately diagnosing eosinophilic esophagitis in children? A 9-year single academic institutional experience with interobserver observations. Int. J. Surg Pathol. 2011, 19, 290–296. [Google Scholar] [CrossRef]
- Regner, E.; Rudrapatna, V.; Verstraete, S.G.; Hameed, B.; Mahadevan, U. Low prevalence of nonalcoholic fatty liver disease in adolescents with inflammatory bowel disease. Gastroenterology 2020, 158, S451. [Google Scholar] [CrossRef]
- Restellini, S.; Palumbo, C.S.; Chao, C.; Aruljothy, A.; Sebastiani, G.; Bessissow, T. Screening for Non-Alcoholic Fatty Liver Disease by Transient Elastography with Controlled Attenuation Parameter in Unselected Patients with Inflammatory Bowel Disease. Gastroenterology 2017, 152, S976. [Google Scholar] [CrossRef]
- Sarmini, M.T.; Saleh, M.A.; Mansoor, E.; Katz, J.; Regueiro, M.D.; McCullough, A.; Click, B.H. Increased Prevalence of Nonalcoholic Liver Disease in Crohn’s Disease: A Population-Based Study. Gastroenterology 2019, 156, S397. [Google Scholar] [CrossRef]
- Sarmini, M.T.; Saleh, M.A.; Mansoor, E.; Katz, J.; Regueiro, M.D.; McCullough, A.; Click, B.H. Nonalcoholic Liver Disease Significantly More Prevalent in Ulcerative Colitis: A Population-Based Study. Gastroenterology 2019, 156, S396. [Google Scholar] [CrossRef]
- Scrivo, B.; Crispino, F.; Celsa, C.; Sapia, A.; Busacca, A.; Pipitone, R.M.; Grimaudo, S.; Cammà, C.; Petta, S.; Cappello, M. Prevalence of NAFLD (non alcoholic fatty liver disease) in inflammatory bowel disease: The role of metabolic factors, intestinal inflammation and genetic phenotype. Dig. Liver Dis. 2021, 53, S128–S129. [Google Scholar] [CrossRef]
- Stoleru, G.; Ritaccio, G.; Abutaleb, A.; Sakiani, S.; Cross, R.; Wong, U. Non-alcoholic fatty liver disease prevalence and progression of fibrosis in a cohort of patients with inflammatory bowel disease. Gastroenterology 2020, 158, S947. [Google Scholar] [CrossRef]
- Sousa, P.; Silva, L.; Monsanto, P.; Nicolau, P.; Nascimiento, A.; Rodrigues, S.; Bartisol, B.; Rocheta, G.; Alberto, S.; Cunha, P.; et al. Fatty liver and inflammatory bowel disease: What is the role of bile acids? Hepatology 2021, 74, 1009. [Google Scholar]
- Thayumanavan, J.G.; Jegannathan, K.; Jegannathan, K.R. Study of extraintestinal manifestations of inflammatory bowel disease. Indian J. Gastroenterol. 2010, 29, 33. [Google Scholar]
- Thin, L.W.; Kava, J.; Lawrance, I.C.; Olynyk, J.K. NAFLD, the changing face of IBD. J. Gastroenterol. Hepatol. 2012, 27, 120–121. [Google Scholar]
- Tirath, A.; McHenry, S.; Rhea, L.; Salter, A.; Deepak, P. A Population-Based Analysis of Obesity, Metabolic Syndrome, and Cardiovascular Outcomes Among Patients with Inflammatory Bowel Disease in the National Health and Nutrition Examination Survey 2009–2010. Off. J. Am. Coll. Gastroenterol.|ACG 2019, 114, S454. [Google Scholar] [CrossRef]
- Young, S.; Walker, C.; Orr, J.; Fitzmorris, P.; Xie, F.; Malik, T.A.; Kodali, S. Impact of Non-Alcoholic Fatty Liver Disease on the Clinical Course of Crohn’s Disease Patients Followed at a Tertiary Care IBD Referral Center: 1933. Off. J. Am. Coll. Gastroenterol. ACG 2015, 110, S821. [Google Scholar] [CrossRef]
- Demir, M. Non-alcoholic fatty liver disease and advanced liver disease in patients with inflammatory bowel disease: Prevalence and risk factors. J. Crohn’s Colitis. 2020, 14, S619–S620. [Google Scholar] [CrossRef]
- Harvey, R.F.; Bradshaw, J.M. A simple index of Crohn’s-disease activity. Lancet 1980, 1, 514. [Google Scholar] [CrossRef]
- Best, W.R.; Becktel, J.M.; Singleton, J.W.; Kern, F. Development of a Crohn’s disease activity index. National Cooperative Crohn’s Disease Study. Gastroenterology 1976, 70, 439–444. [Google Scholar] [CrossRef] [PubMed]
- Hyams, J.S.; Ferry, G.D.; Mandel, F.S.; Gryboski, J.D.; Kibort, P.M.; Kirschner, B.S.; Griffiths, A.M.; Katz, A.J.; Grand, R.J.; Boyle, J.T. Development and validation of a pediatric Crohn’s disease activity index. J. Pediatr. Gastroenterol. Nutr. 1991, 12, 439–447. [Google Scholar] [CrossRef] [PubMed]
- Sandborn, W.J.; Sands, B.E.; Wolf, D.C.; Valentine, J.F.; Safdi, M.; Katz, S.; Isaacs, K.L.; Wruble, L.D.; Katz, J.; Present, D.H.; et al. Repifermin (keratinocyte growth factor-2) for the treatment of active ulcerative colitis: A randomized, double-blind, placebo-controlled, dose-escalation trial. Aliment. Pharm. 2003, 17, 1355–1364. [Google Scholar] [CrossRef] [PubMed]
- Walmsley, R.S.; Ayres, R.C.; Pounder, R.E.; Allan, R.N. A simple clinical colitis activity index. Gut 1998, 43, 29–32. [Google Scholar] [CrossRef]
- Turner, D.; Otley, A.R.; Mack, D.; Hyams, J.; de Bruijne, J.; Uusoue, K.; Walters, T.D.; Zachos, M.; Mamula, P.; Beaton, D.E.; et al. Development, validation, and evaluation of a pediatric ulcerative colitis activity index: A prospective multicenter study. Gastroenterology 2007, 133, 423–432. [Google Scholar] [CrossRef]
- Daperno, M.; D’Haens, G.; Van Assche, G.; Baert, F.; Bulois, P.; Maunoury, V.; Sostegni, R.; Rocca, R.; Pera, A.; Gevers, A.; et al. Development and validation of a new, simplified endoscopic activity score for Crohn’s disease: The SES-CD. Gastrointest. Endosc. 2004, 60, 505–512. [Google Scholar] [CrossRef]
- Schroeder, K.W.; Tremaine, W.J.; Ilstrup, D.M. Coated oral 5-aminosalicylic acid therapy for mildly to moderately active ulcerative colitis. A randomized study. N. Engl. J. Med. 1987, 317, 1625–1629. [Google Scholar] [CrossRef]
- Rutgeerts, P.; Geboes, K.; Vantrappen, G.; Beyls, J.; Kerremans, R.; Hiele, M. Predictability of the postoperative course of Crohn’s disease. Gastroenterology 1990, 99, 956–963. [Google Scholar] [CrossRef] [PubMed]
- Patel, N.; Amarapurkar, D.; Padaravat, M.; Choksi, M.; Joshi, S.; Bhatt, N. Hepatobiliary Complications in Inflammatory Bowel Disease. Hepatol. Int. 2011, 5, 520. [Google Scholar]
- Sterne, J.A.C.; Sutton, A.J.; Ioannidis, J.P.A.; Terrin, N.; Jones, D.R.; Lau, J.; Carpenter, J.; Rucker, G.; Harbord, R.M.; Schmid, C.H.; et al. Recommendations for examining and interpreting funnel plot asymmetry in meta-analyses of randomised controlled trials. BMJ 2011, 343, d4002. [Google Scholar] [CrossRef] [PubMed]
- S Sasso, M.; Beaugrand, M.; de Ledinghen, V.; Douvin, C.; Marcellin, P.; Poupon, R.; Sandrin, L.; Miette, V. Controlled attenuation parameter (CAP): A novel VCTETM guided ultrasonic attenuation measurement for the evaluation of hepatic steatosis: Preliminary study and validation in a cohort of patients with chronic liver disease from various causes. Ultrasound Med. Biol. 2010, 36, 1825–1835. [Google Scholar] [CrossRef] [PubMed]
- Berzigotti, A.; Tsochatzis, E.; Boursier, J.; Castera, L.; Cazzagon, N.; Friedrich-Rust, M.; Petta, S.; Thiele, M. EASL Clinical Practice Guidelines on non-invasive tests for evaluation of liver disease severity and prognosis—2021 update. J. Hepatol. 2021, 75, 659–689. [Google Scholar] [CrossRef]
- Chun, H.S.; Lee, M.; Lee, J.S.; Lee, H.W.; Kim, B.K.; Park, J.Y.; Kim, D.Y.; Ahn, S.H.; Lee, Y.-H.; Kim, J.-H.; et al. Metabolic dysfunction associated fatty liver disease identifies subjects with cardiovascular risk better than non-alcoholic fatty liver disease. Liver Int. 2023, 43, 608–625. [Google Scholar] [CrossRef]
- Kim, H.; Lee, C.J.; Ahn, S.H.; Lee, K.S.; Lee, B.K.; Baik, S.J.; Kim, S.U.; Lee, J.I. MAFLD Predicts the Risk of Cardiovascular Disease Better than NAFLD in Asymptomatic Subjects with Health Check-Ups. Dig. Dis. Sci. 2022, 67, 4919–4928. [Google Scholar] [CrossRef]
- Chen, J.; Dan, L.; Tu, X.; Sun, Y.; Deng, M.; Chen, X.; Hesketh, T.; Li, R.; Wang, X.; Li, X. Metabolic dysfunction-associated fatty liver disease and liver function markers are associated with Crohn’s disease but not Ulcerative Colitis: A prospective cohort study. Hepatol Int. 2023, 17, 202–214. [Google Scholar] [CrossRef]



| Inflammatory Bowel Disease | Crohn’s Disease | Ulcerative Colitis | ||||||||
|---|---|---|---|---|---|---|---|---|---|---|
| n | Proportion (95%CI) | I2 | n | Proportion (95%CI) | I2 | n | Proportion (95%CI) | I2 | ||
| NAFLD | 68 | 24.4 (19.3–29.8) | 99.7 | 46 | 20.2 (18.30–22.27) | 99.7 | 41 | 18.52 (16.36–20.79) | 99.5 | |
| Male | 15 | 28 (14.5–44) | 99.5 | 7 | 27.5 (9.1–51.2) | 99.2 | - | - | - | |
| Female | 15 | 22.5 (11.6–35.9) | 99.4 | 7 | 24.2 (7–47.6) | 98.8 | - | - | - | |
| Full paper | 29 | 27.5 (20.3–35.3) | 99.3 | 26 | 26.2 (19.0–34.1) | 98.7 | 23 | 24 (16.1–32.9) | 99 | |
| Abstract | 39 | 22.1 (15.2–29.9) | 99.7 | 20 | 12.7 (10.9–14.6) | 99.7 | 18 | 12.4 (10.4–14.4) | 99.5 | |
| Prospective | 15 | 24.3 (13.6–37.7) | 99 | 7 | 22 (6.4–4.4) | 98.8 | 10 | 19.9 (9.2–33.5) | 97.7 | |
| Retrospective | 46 | 23.2 (17.2–29.9) | 99.8 | 32 | 19 (16.9–21.3) | 99.7 | 25 | 17.3 (14.9–19.9) | 99.6 | |
| Cross-sectional | 7 | 32.5 (7.9–64.1) | 99.7 | 7 | 25.6 (4.6–56.1) | 99.5 | 6 | 23.6 (3.4–54.2) | 99.5 | |
| MAFLD | 19 | 30.4 (21.9–39.6) | 96.2 | 9 | 40 (25.4–55.5) | 99.4 | 4 | 53.6 (13.8–90.8) | 99.5 | |
Disclaimer/Publisher’s Note: The statements, opinions and data contained in all publications are solely those of the individual author(s) and contributor(s) and not of MDPI and/or the editor(s). MDPI and/or the editor(s) disclaim responsibility for any injury to people or property resulting from any ideas, methods, instructions or products referred to in the content. |
© 2023 by the authors. Licensee MDPI, Basel, Switzerland. This article is an open access article distributed under the terms and conditions of the Creative Commons Attribution (CC BY) license (https://creativecommons.org/licenses/by/4.0/).
Share and Cite
Navarro, P.; Gutiérrez-Ramírez, L.; Tejera-Muñoz, A.; Arias, Á.; Lucendo, A.J. Systematic Review and Meta-Analysis: Prevalence of Non-Alcoholic Fatty Liver Disease and Liver Fibrosis in Patients with Inflammatory Bowel Disease. Nutrients 2023, 15, 4507. https://doi.org/10.3390/nu15214507
Navarro P, Gutiérrez-Ramírez L, Tejera-Muñoz A, Arias Á, Lucendo AJ. Systematic Review and Meta-Analysis: Prevalence of Non-Alcoholic Fatty Liver Disease and Liver Fibrosis in Patients with Inflammatory Bowel Disease. Nutrients. 2023; 15(21):4507. https://doi.org/10.3390/nu15214507
Chicago/Turabian StyleNavarro, Pilar, Lucía Gutiérrez-Ramírez, Antonio Tejera-Muñoz, Ángel Arias, and Alfredo J. Lucendo. 2023. "Systematic Review and Meta-Analysis: Prevalence of Non-Alcoholic Fatty Liver Disease and Liver Fibrosis in Patients with Inflammatory Bowel Disease" Nutrients 15, no. 21: 4507. https://doi.org/10.3390/nu15214507
APA StyleNavarro, P., Gutiérrez-Ramírez, L., Tejera-Muñoz, A., Arias, Á., & Lucendo, A. J. (2023). Systematic Review and Meta-Analysis: Prevalence of Non-Alcoholic Fatty Liver Disease and Liver Fibrosis in Patients with Inflammatory Bowel Disease. Nutrients, 15(21), 4507. https://doi.org/10.3390/nu15214507

