Generational Differences in Food Consumption among Chinese Adults of Different Ages
Abstract
:1. Introduction
2. Materials and Methods
2.1. Study Design and Population
2.2. Dietary Assessment and Other Measurements
2.3. Statistical Analysis
3. Results
3.1. Population Characteristics
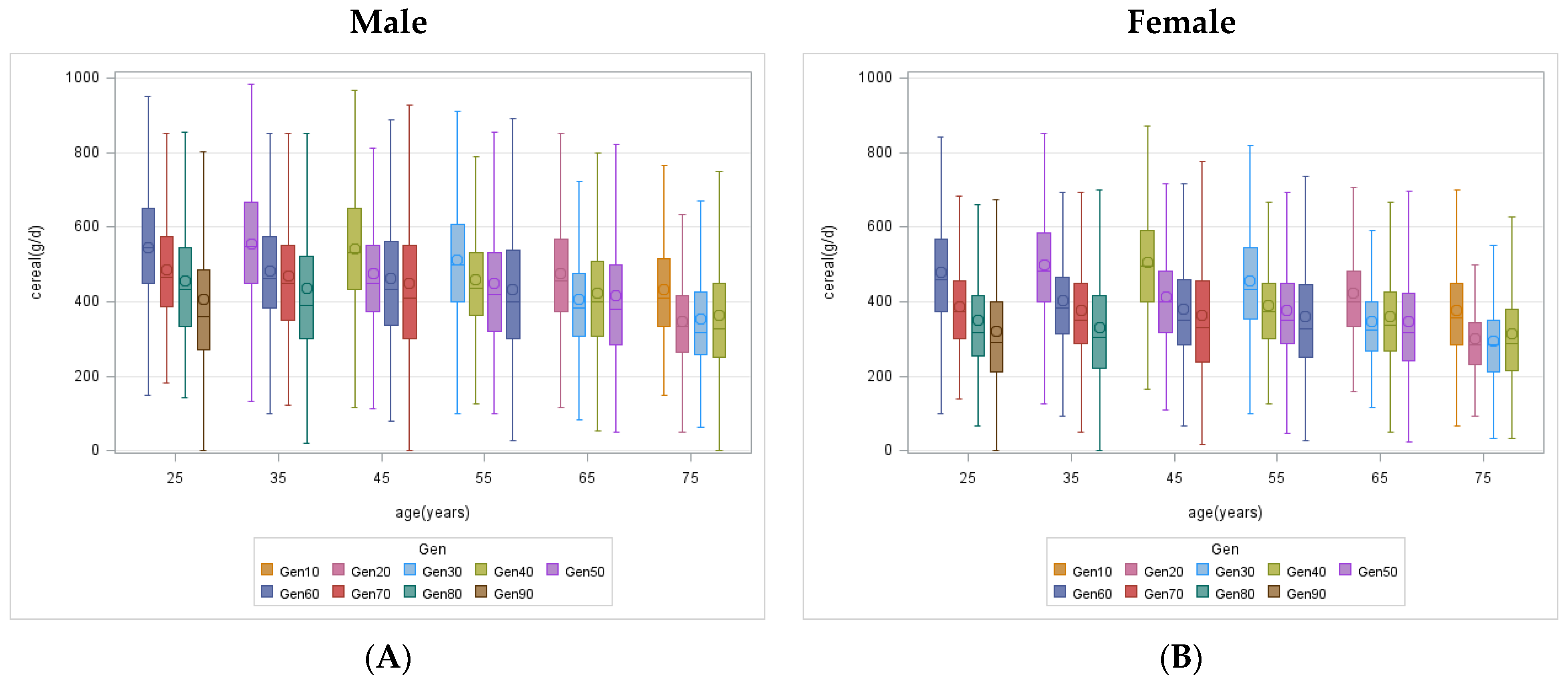
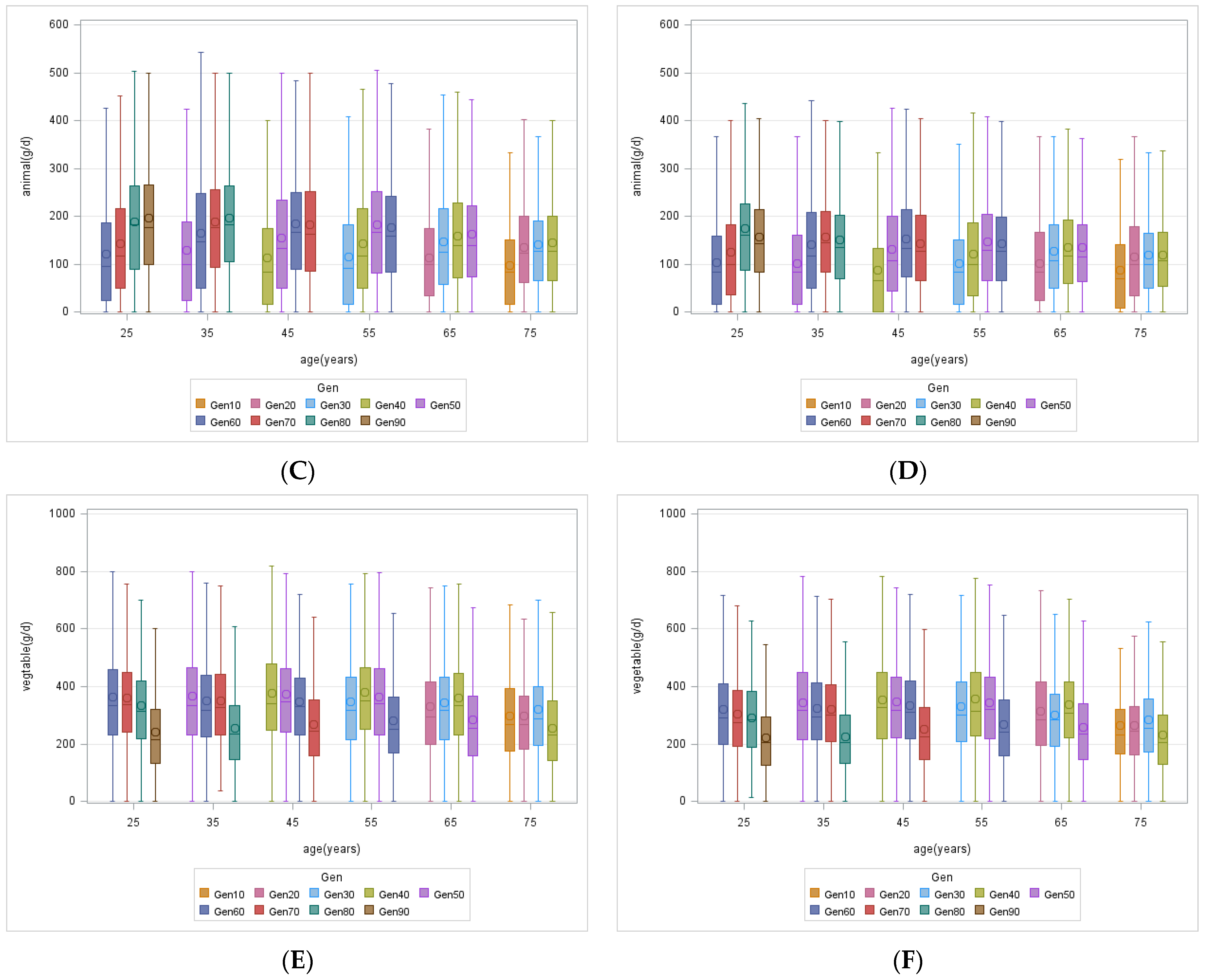
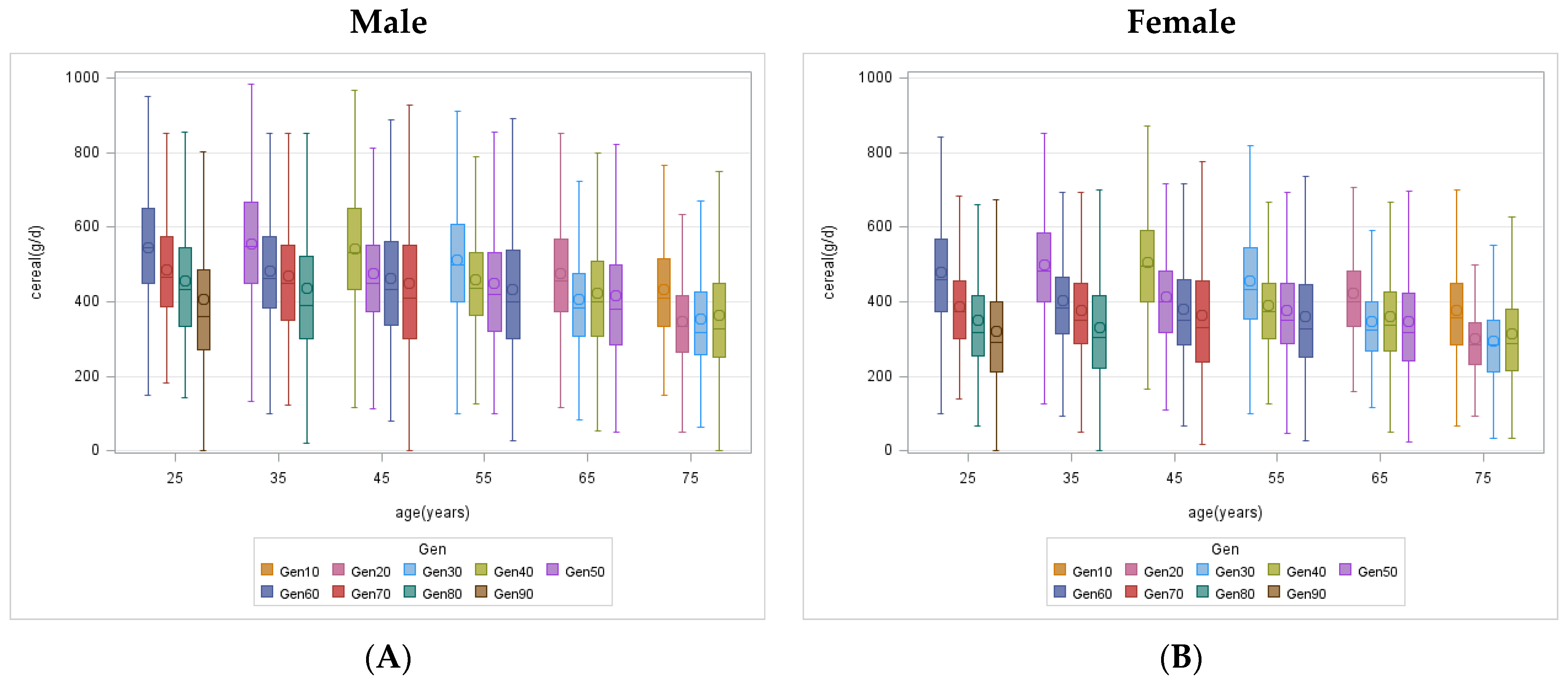
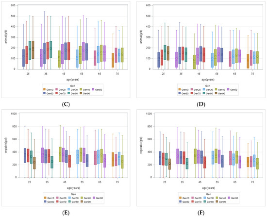
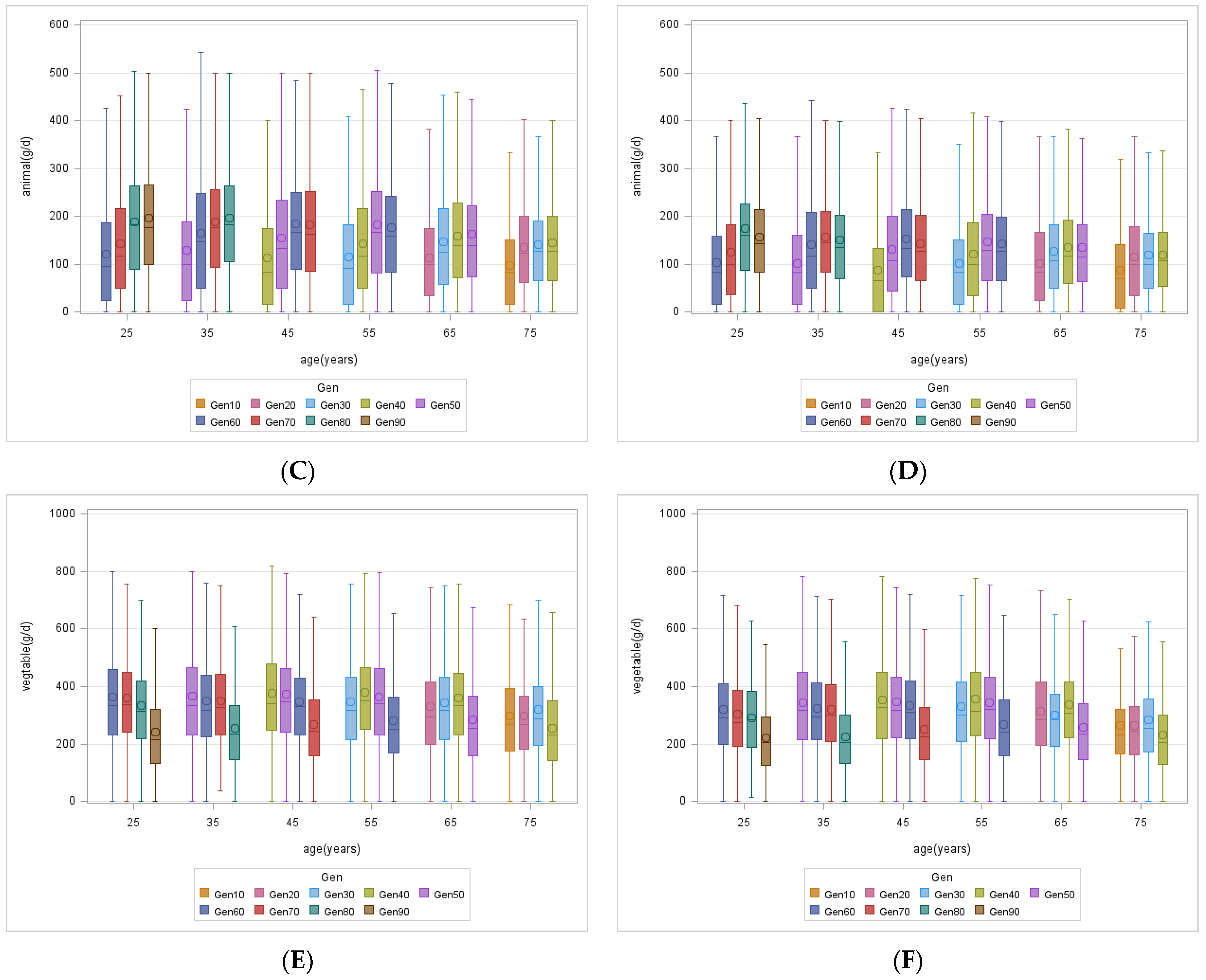
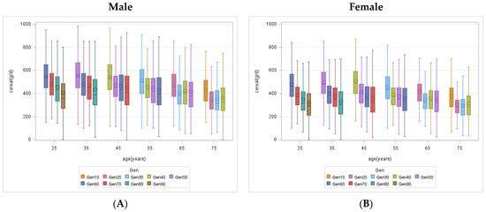
3.2. Generational Differences in Food Consumption
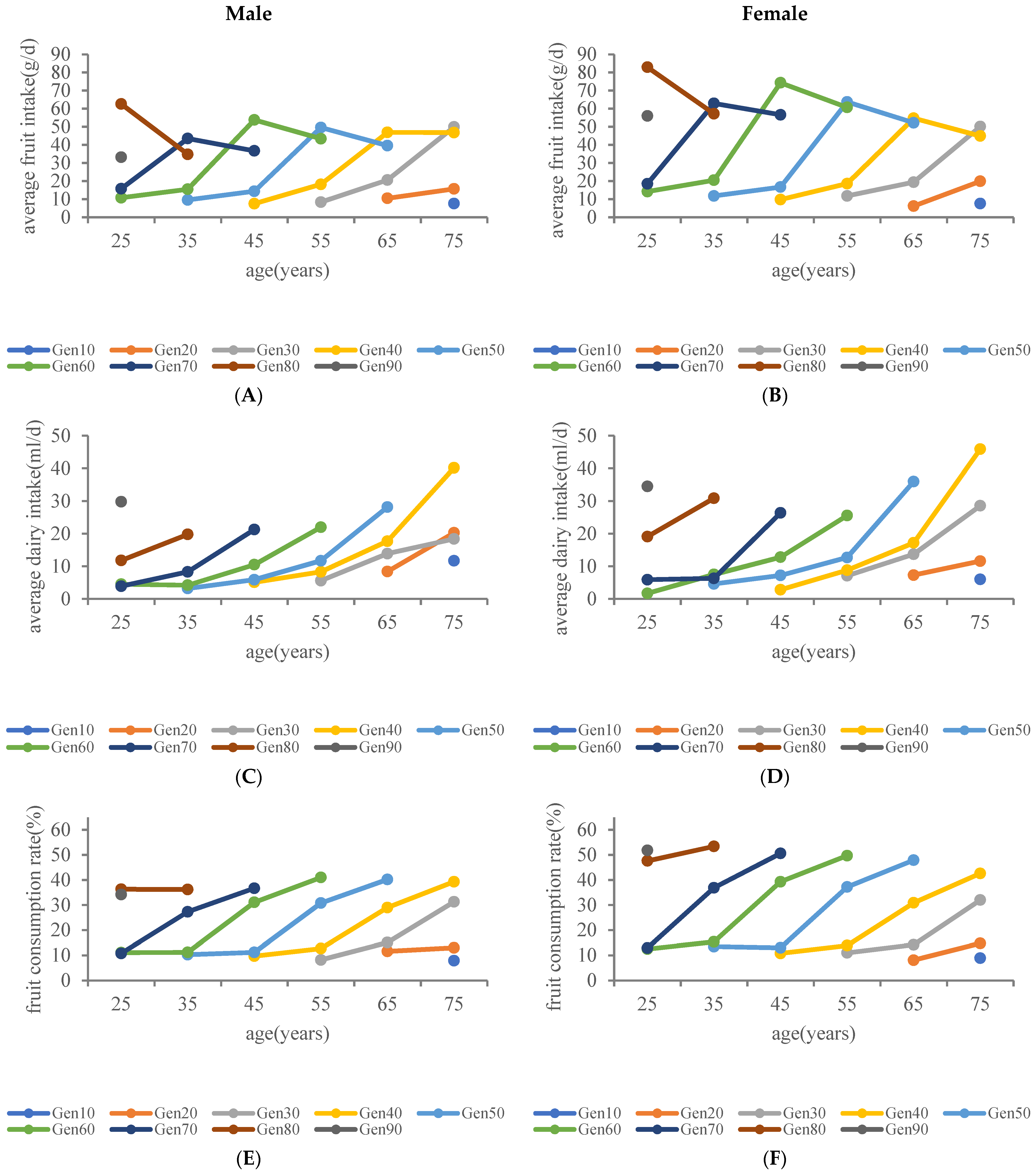
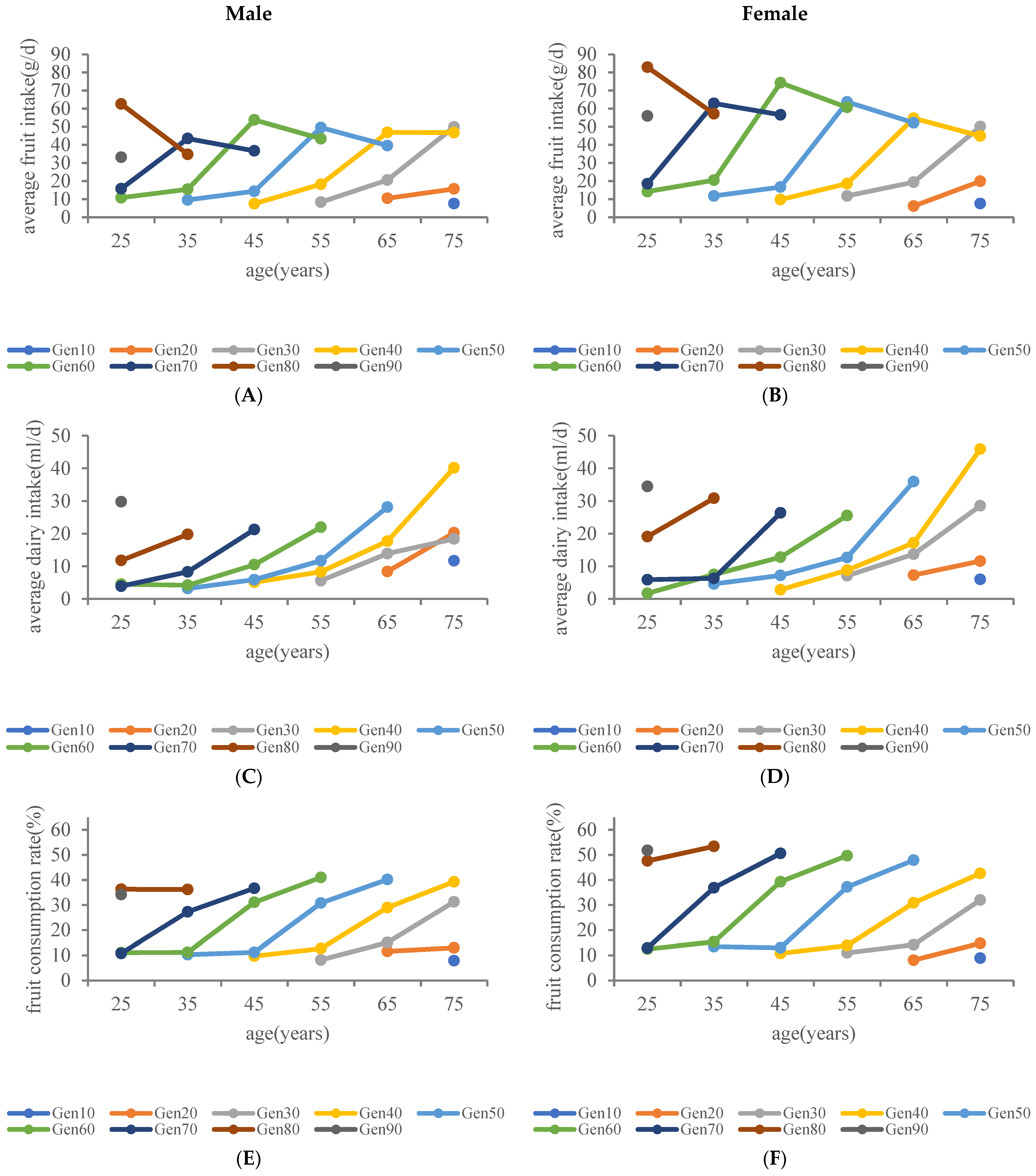
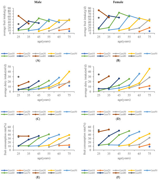
3.3. Generational Differences in Fruit and Dairy Consumption
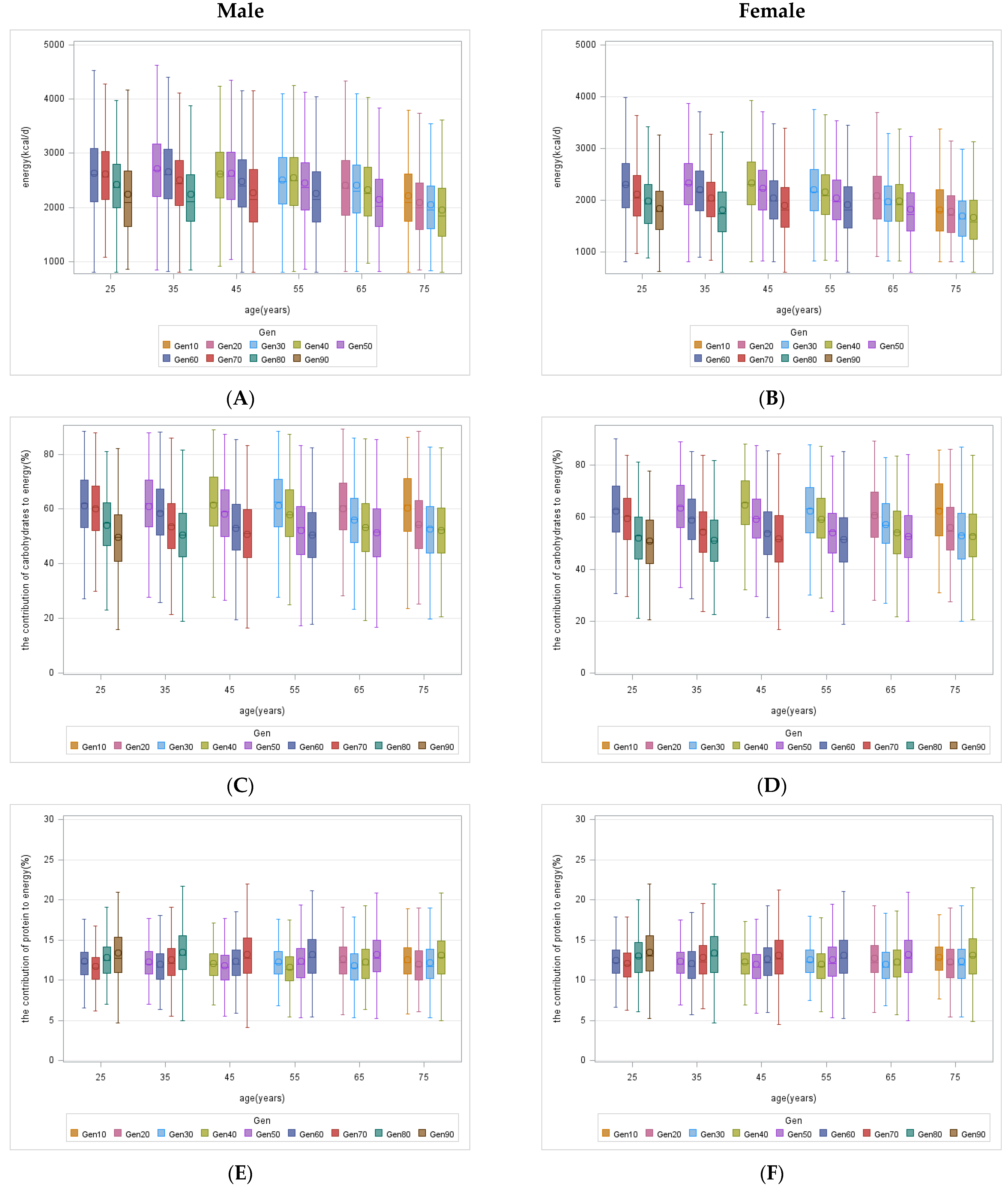
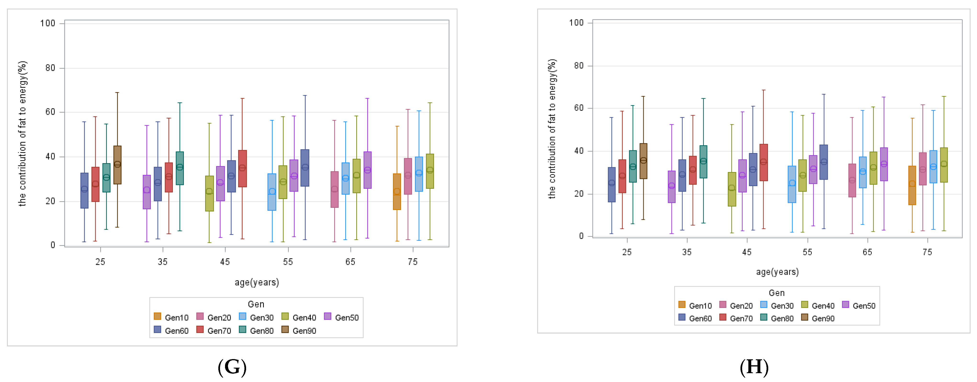
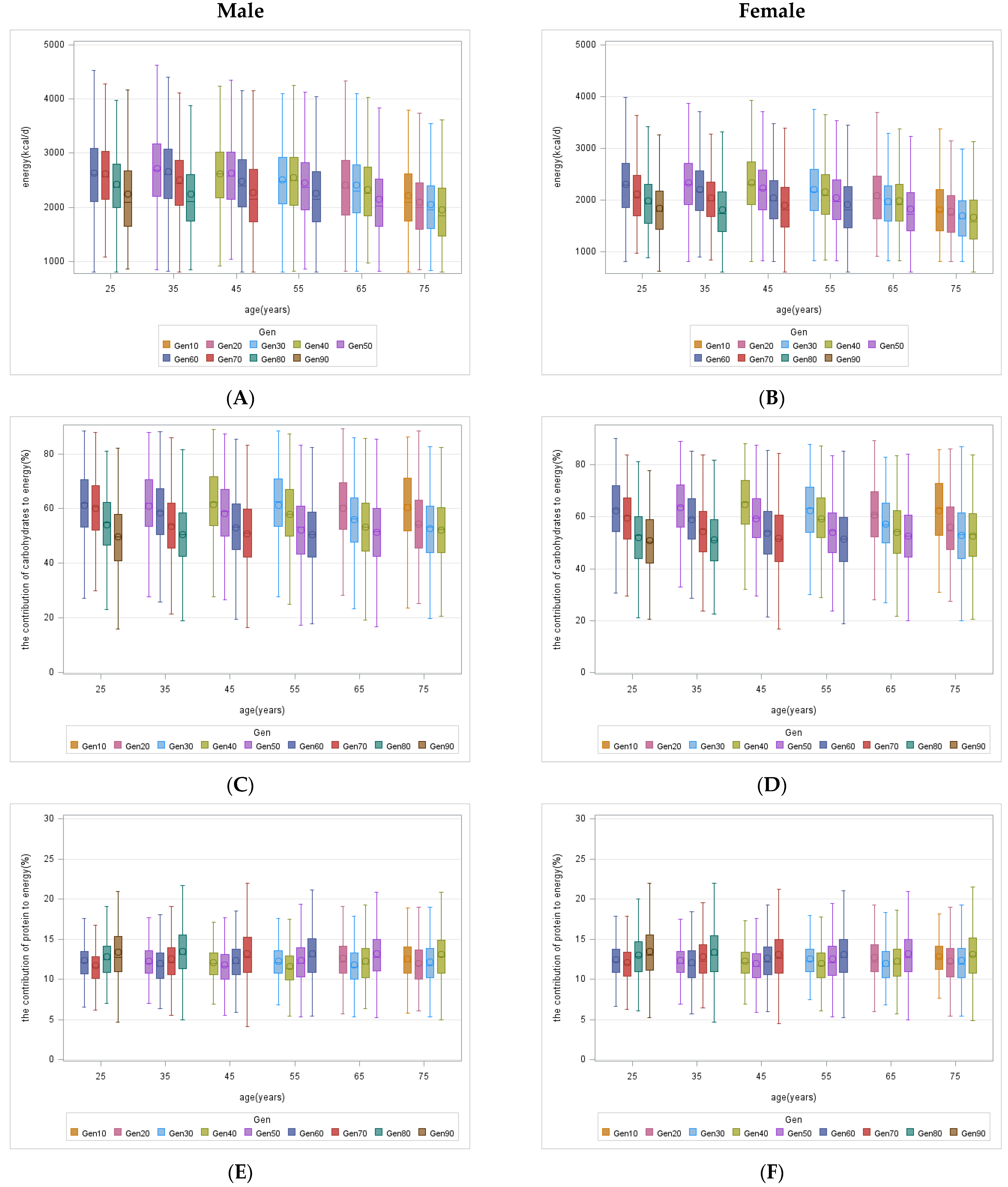
3.4. Generational Differences in Energy Intake and the Contribution of Macronutrients to Energy
4. Discussion
5. Conclusions
Author Contributions
Funding
Institutional Review Board Statement
Informed Consent Statement
Data Availability Statement
Acknowledgments
Conflicts of Interest
References
- Almeida, L.F.F.; Novaes, T.G.; Pessoa, M.C.; do Carmo, A.S.; Mendes, L.L.; Ribeiro, A.Q. Fruit and vegetable consumption among older adults: Influence of urban food environment in a medium-sized Brazilian city. Public Health Nutr. 2021, 24, 4878–4887. [Google Scholar] [CrossRef]
- Nicklett, E.J.; Kadell, A.R. Fruit and vegetable intake among older adults: A scoping review. Maturitas 2013, 75, 305–312. [Google Scholar] [CrossRef] [PubMed]
- Zhang, M.; Zhang, N.; Zhou, M.; Ma, G. Association between neighborhood food environment and dietary diversity score among older people in Beijing, China: A cross-sectional study. Front. Nutr. 2022, 9, 903214. [Google Scholar] [CrossRef]
- Li, H. Study on the Residents’ Food Consumption Based on Nutritional Goal in Urban China; Chinese Academy of Agricultural Sciences: Beijing, China, 2015. [Google Scholar]
- Du, W.; Su, C.; Wang, H.; Wang, Z.; Zhang, J.; Zhang, J.; Jiang, H.; Zhang, B. The impact of community food environment on the dietary nutritional status of our adult population. In Proceedings of the 11th National Conference on Nutritional Sciences and International DRIs Symposium of the Chinese Society of Nutrition, Hangzhou, China, 15 May 2013. [Google Scholar]
- Maimaiti, M.; Ma, X.; Zhao, X.; Jia, M.; Li, J.; Yang, M.; Ru, Y.; Yang, F.; Wang, N.; Zhu, S. Multiplicity and complexity of food environment in China: Full-scale field census of food outlets in a typical district. Eur. J. Clin. Nutr. 2020, 74, 397–408. [Google Scholar] [CrossRef] [PubMed]
- Xue, H.; Cheng, X.; Zhang, Q.; Wang, H.; Zhang, B.; Qu, W.; Wang, Y. Temporal growth and spatial distribution of the fast food industry and its relationship with economic development in China—2005–2012. Prev. Med. 2017, 102, 79–85. [Google Scholar] [CrossRef] [PubMed]
- Maimaiti, M.; Zhao, X.; Jia, M.; Ru, Y.; Zhu, S. How we eat determines what we become: Opportunities and challenges brought by food delivery industry in a changing world in China. Eur. J. Clin. Nutr. 2018, 72, 1282–1286. [Google Scholar] [CrossRef]
- Bezerra, I.N.; Bahamonde, N.M.S.G.; Marchioni, D.M.L.; Chor, D.; de Oliveira Cardoso, L.; Aquino, E.M.; da Conceição Chagas de Almeida, M.; Del Carmen Bisi Molina, M.; de Jesus Mendes da Fonseca, M.; de Matos, S.M.A. Generational differences in dietary pattern among Brazilian adults born between 1934 and 1975: A latent class analysis. Public Health Nutr. 2018, 21, 2929–2940. [Google Scholar] [CrossRef]
- Ali, S.H.; Yi, S.S.; Kranick, J.; Lee, M.; Thorpe, L.E.; Rummo, P.E. Disentangling the roles of generational status and acculturation on dietary behaviors in disaggregated Asian American subgroups. Appetite 2022, 171, 105903. [Google Scholar] [CrossRef]
- Tupai-Firestone, R.; Cheng, S.; Kaholokula, J.; Borman, B.; Ellison-Loschmann, L. Investigating differences in dietary patterns among a small cross-sectional study of young and old Pacific peoples in NZ using exploratory factor analysis: A feasibility study. BMJ Open 2019, 9, e023126. [Google Scholar] [CrossRef]
- Su, C.; Wang, H.; Zhang, J.; Du, W.; Wang, Z.; Zhang, J.; Qu, F.; Zhang, B. Intergenerational differences on the nutritional status and lifestyle of Chinese residents. J. Hyg. Res. 2012, 41, 357–362. [Google Scholar]
- Popkin, B.M.; Du, S.; Zhai, F.; Zhang, B. Cohort Profile: The China Health and Nutrition Survey--monitoring and understanding socio-economic and health change in China, 1989–2011. Int. J. Epidemiol. 2010, 39, 1435–1440. [Google Scholar] [CrossRef]
- Zhang, B.; Zhai, F.Y.; Du, S.F.; Popkin, B.M. The China Health and Nutrition Survey, 1989–2011. Obes. Rev. 2014, 15 (Suppl. S1), 2–7. [Google Scholar] [CrossRef]
- Li, W.Y.; Wang, L.S.; Wang, S.S.; Hao, L.; Zhang, B.; Wang, H.; Wang, Z.; Jiang, H. Situation and trends in dietary minerals intakes of adults aged 18–35 years in 15 provinces (autonomous regions, municipalities) of China in 1989–2018. J. Hyg. Res. 2023, 52, 20–26. [Google Scholar] [CrossRef]
- Yang, Y.X. The Chinese Food Composition Table Publication of Volumes I and II of the 6th edition of the Standard Edition. Acta Nutr. Sin. 2019, 41, 426. [Google Scholar]
- Chinese Nutrition Society. The Chinese Dietary Guidelines (2022) Released in Beijing. Acta Nutr. Sin. 2022, 44, 521–522. [Google Scholar] [CrossRef]
- Bao, J.; Wang, L.S.; Wang, H.J.; Wang, Z.; Zhang, B. Intakes of energy and macronutrient from Chinses 15 provinces (autonomous regions, municipalities) adults aged 18 to 35 in 1989—2018. J. Hyg. Res. 2022, 51, 361–366+380. [Google Scholar] [CrossRef]
- Wang, Z.; Sun, J.; Wang, H.; Liu, A.; Zhang, B.; Ding, G. Dietary structure transition and development of nutrition intervention strategies in China. Acta Nutr. Sin. 2019, 41, 427–432. [Google Scholar] [CrossRef]
- Wang, S.; Zhang, B.; Wang, Z.; Jiang, H.; Wang, L.; Li, W.; Hao, L.; Wang, H. Trend of food intake from Chinese 15 provinces (autonomous regions, municpalities) adults aged 18 to 35 in 1989–2015. J. Hyg. Res. 2021, 50, 442–447. [Google Scholar] [CrossRef]
- Dong, Y.; Jan, C.; Ma, Y.; Dong, B.; Zou, Z.; Yang, Y.; Xu, R.; Song, Y.; Ma, J.; Sawyer, S.M.; et al. Economic development and the nutritional status of Chinese school-aged children and adolescents from 1995 to 2014: An analysis of five successive national surveys. Lancet Diabetes Endocrinol. 2019, 7, 288–299. [Google Scholar] [CrossRef]
- Zhang, J.; Wang, Z.; Huang, F.; Zhang, B.; Wang, H. Changing trends in dietary patterns among Chinese children and adolescents from 1991 to 2018. Acta Nutr. Sin. 2021, 43, 213–217. [Google Scholar] [CrossRef]
- Wei, X.; Yu, D.; Ju, L.; Guo, Q.; Fang, H.; Piao, W.; Cai, S.; Zhao, L. Eating out behavior of residents aged 6 and above in China from 2015 to 2017. J. Hyg. Res. 2022, 51, 7–11. [Google Scholar] [CrossRef]
- Carter, M.R.; Kelly, R.K. Self-reported health status, body mass index, and healthy lifestyle behaviors: Differences between Baby Boomer and Generation X employees at a southeastern university. Workplace Health Saf. 2013, 61, 409–418. [Google Scholar] [CrossRef]
- Wang, S.; Li, S. Exploring Generational Differences of British Ethnic Minorities in Smoking Behavior, Frequency of Alcohol Consumption, and Dietary Style. Int. J. Environ. Res. Public Health 2019, 16, 2241. [Google Scholar] [CrossRef] [PubMed]
- Šarac, J.; Havaš Auguštin, D.; Lovrić, M.; Stryeck, S.; Šunić, I.; Novokmet, N.; Missoni, S. A Generation Shift in Mediterranean Diet Adherence and Its Association with Biological Markers and Health in Dalmatia, Croatia. Nutrients 2021, 13, 4564. [Google Scholar] [CrossRef] [PubMed]






| 1991 | 2000 | 2009 | 2018 | |
|---|---|---|---|---|
| 20–29 | Gen * 60 | Gen 70 | Gen 80 | Gen 90 |
| 30–39 | Gen 50 | Gen 60 | Gen 70 | Gen 80 |
| 40–49 | Gen 40 | Gen 50 | Gen 60 | Gen 70 |
| 50–59 | Gen 30 | Gen 40 | Gen 50 | Gen 60 |
| 60–69 | Gen 20 | Gen 30 | Gen 40 | Gen 50 |
| ≧70 | Gen 10 | Gen 20 | Gen 30 | Gen 40 |
| 1991 | 2000 | 2009 | 2018 | |||||
|---|---|---|---|---|---|---|---|---|
| Men (n = 3835) | Women (n = 3914) | Men (n = 4667) | Women (n = 4657) | Men (n = 4580) | Women (n = 4790) | Men (n = 6673) | Women (n = 7588) | |
| Age, (year) | 42.7 ± 14.9 | 43.3 ± 15.4 | 45.7 ± 14.9 | 47.2 ± 14.8 | 50.4 ± 15.1 | 51.4 ± 15.0 | 54.4 ± 14.6 | 54.4 ± 14.7 |
| Age groups, n (%) | ||||||||
| 20–29 | 950 (24.8) | 916 (23.4) | 770 (16.5) | 567 (12.2) | 454 (9.9) | 387 (8.1) | 351 (5.3) | 392 (5.2) |
| 30–39 | 952 (24.8) | 989 (25.3) | 1061 (22.7) | 1080 (23.2) | 766 (16.7) | 754 (15.8) | 864 (12.9) | 1022 (13.5) |
| 40–49 | 780 (20.4) | 787 (20.1) | 1123 (24.1) | 1214 (26.1) | 1031 (22.5) | 1123 (23.4) | 1372 (20.6) | 1542 (20.3) |
| 50–59 | 550 (14.3) | 581 (14.8) | 844 (18.1) | 813 (17.4) | 1106 (24.2) | 1165 (24.3) | 1520 (22.8) | 1719 (22.7) |
| 60–69 | 414 (10.8) | 395 (10.1) | 537 (11.5) | 605 (13.0) | 725 (15.8) | 761 (15.9) | 1591 (23.8) | 1810 (23.8) |
| ≧70 | 189 (4.9) | 246 (6.3) | 332 (7.1) | 378 (8.1) | 498 (10.9) | 600 (12.5) | 975 (14.6) | 1103 (14.5) |
| Education, n (%) | ||||||||
| Primary school or below | 1887 (49.2) | 2569 (65.6) | 1715 (36.8) | 2498 (53.6) | 1510(33.0) | 2459 (51.3) | 1534 (23.0) | 2764 (36.4) |
| Junior High School | 1185 (30.9) | 817 (20.9) | 1598 (34.2) | 1127 (24.2) | 1756 (38.3) | 1337 (27.9) | 2295 (34.4) | 2221 (29.3) |
| Senior high school or above | 736 (19.2) | 494 (12.6) | 1223 (26.2) | 835 (17.9) | 1302 (28.4) | 989 (20.7) | 2832 (42.4) | 2586 (34.1) |
| Place of residence, n (%) | ||||||||
| Rural | 2484 (64.8) | 2497 (63.8) | 3214 (68.9) | 3099 (66.5) | 3164 (69.1) | 3251 (67.9) | 4018 (60.2) | 4511 (59.5) |
| Urban | 1351 (35.2) | 1417 (36.2) | 1453 (31.1) | 1558 (33.5) | 1416 (30.9) | 1539 (32.1) | 2655 (39.8) | 3077 (40.6) |
| Working situation, n (%) | ||||||||
| Yes | 3284 (85.6) | 2962 (75.7) | 3585 (76.8) | 2995 (64.3) | 3126 (68.3) | 2426 (50.7) | 3482 (52.2) | 2841 (37.4) |
| NO | 542 (14.1) | 938 (24.0) | 1033 (22.1) | 1628 (35.0) | 1453 (31.7) | 2364 (49.4) | 3180 (47.7) | 4732 (62.4) |
| Individual annual income, n (%) | ||||||||
| Low | 1288 (33.6) | 1292 (33.0) | 1538 (33.0) | 1516 (32.6) | 1465 (32.0) | 1621 (33.8) | 1875 (28.1) | 2210 (29.1) |
| Medium | 1243 (32.4) | 1337 (34.2) | 1542 (33.0) | 1514 (32.5) | 1524 (33.3) | 1565 (32.7) | 1935 (29.0) | 2150 (28.3) |
| High | 1300 (33.9) | 1280 (32.7) | 1511 (32.4) | 1544 (33.2) | 1545 (33.7) | 1540 (32.2) | 1947 (29.2) | 2139 (28.2) |
Disclaimer/Publisher’s Note: The statements, opinions and data contained in all publications are solely those of the individual author(s) and contributor(s) and not of MDPI and/or the editor(s). MDPI and/or the editor(s) disclaim responsibility for any injury to people or property resulting from any ideas, methods, instructions or products referred to in the content. |
© 2023 by the authors. Licensee MDPI, Basel, Switzerland. This article is an open access article distributed under the terms and conditions of the Creative Commons Attribution (CC BY) license (https://creativecommons.org/licenses/by/4.0/).
Share and Cite
Guo, L.; Huang, F.; Liu, M.; Zhang, Y.; Zhang, J.; Zhang, B.; Wang, H. Generational Differences in Food Consumption among Chinese Adults of Different Ages. Nutrients 2023, 15, 4451. https://doi.org/10.3390/nu15204451
Guo L, Huang F, Liu M, Zhang Y, Zhang J, Zhang B, Wang H. Generational Differences in Food Consumption among Chinese Adults of Different Ages. Nutrients. 2023; 15(20):4451. https://doi.org/10.3390/nu15204451
Chicago/Turabian StyleGuo, Lijie, Feifei Huang, Mengran Liu, Yueyang Zhang, Jiguo Zhang, Bing Zhang, and Huijun Wang. 2023. "Generational Differences in Food Consumption among Chinese Adults of Different Ages" Nutrients 15, no. 20: 4451. https://doi.org/10.3390/nu15204451
APA StyleGuo, L., Huang, F., Liu, M., Zhang, Y., Zhang, J., Zhang, B., & Wang, H. (2023). Generational Differences in Food Consumption among Chinese Adults of Different Ages. Nutrients, 15(20), 4451. https://doi.org/10.3390/nu15204451

