The Effect of Cinnamon on Glycolipid Metabolism: A Dose–Response Meta-Analysis of Randomized Controlled Trials
Abstract
1. Introduction
2. Materials and Methods
2.1. Literature Search Strategy
2.2. Inclusion and Exclusion Criteria
2.3. Data Extraction
2.4. Quality Assessment
2.5. Data Analysis
3. Results
3.1. Literature Selection Process
3.2. Study Characteristics
3.3. Results of Meta-Analysis
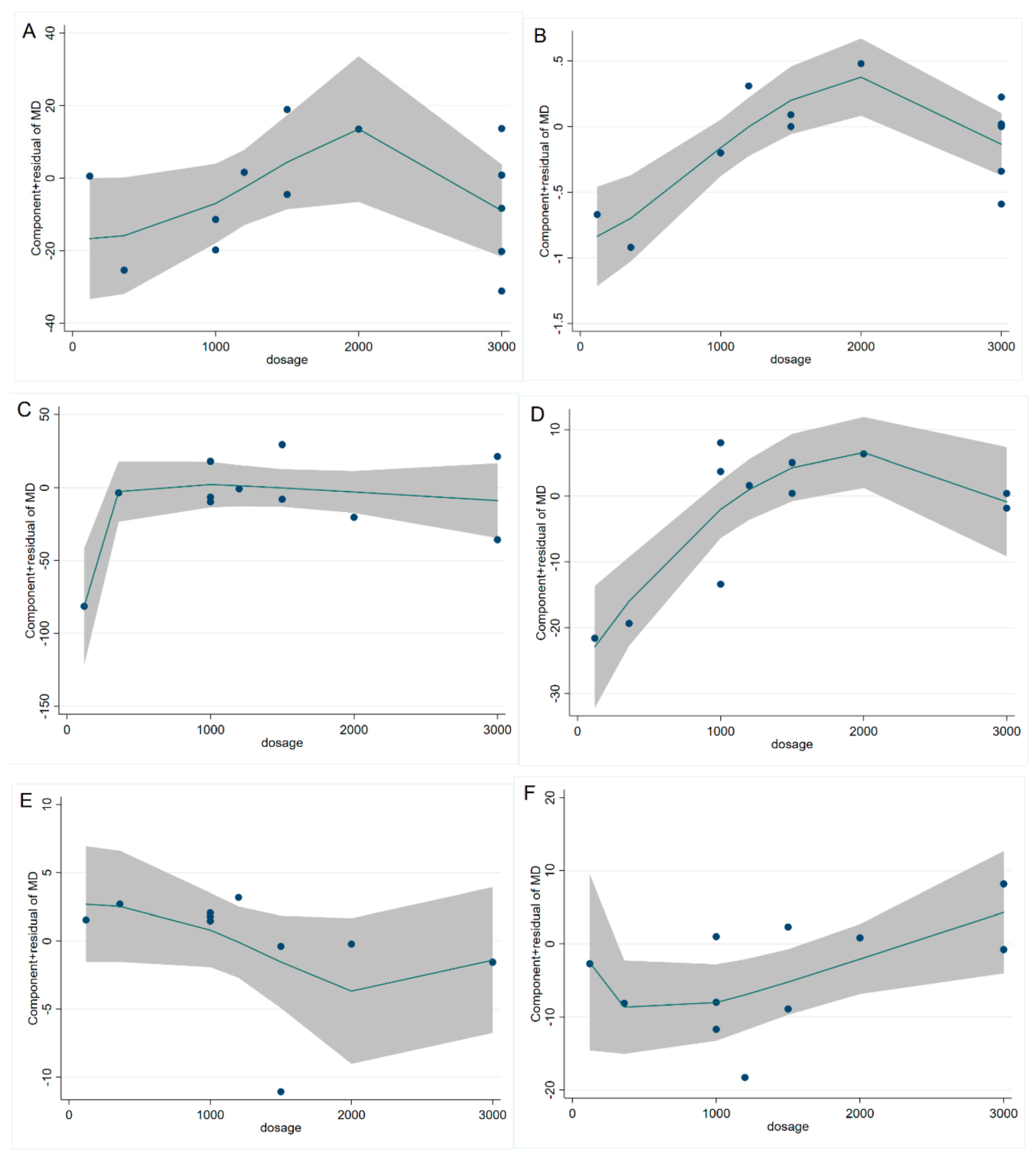
3.3.1. Effects of Cinnamon on the Related Indexes of Glucose Metabolism
3.3.2. Effects of Cinnamon on Lipid Metabolism-Related Indexes
3.4. Subgroup Analysis
3.5. Publication Bias and Sensitivity Analysis
4. Discussion
5. Conclusions
Author Contributions
Funding
Institutional Review Board Statement
Informed Consent Statement
Data Availability Statement
Conflicts of Interest
References
- Elliott, T.L.; Pfotenhauer, K.M. Classification and Diagnosis of Diabetes. Prim. Care 2022, 49, 191–200. [Google Scholar] [CrossRef]
- American Diabetes Association. Diagnosis and Classification of Diabetes Mellitus. Diabetes Care 2012, 35, S64–S71. [Google Scholar] [CrossRef]
- Saeedi, P.; Petersohn, I.; Salpea, P.; Malanda, B.; Karuranga, S.; Unwin, N.; Colagiuri, S.; Guariguata, L.; Motala, A.A.; Ogurtsova, K.; et al. Global and regional diabetes prevalence estimates for 2019 and projections for 2030 and 2045: Results from the International Diabetes Federation Diabetes Atlas, 9th edition. Diabetes Res. Clin. Pract. 2019, 157, 107843. [Google Scholar] [CrossRef]
- Wu, Y.; Ding, Y.; Tanaka, Y.; Zhang, W. Risk factors contributing to type 2 diabetes and recent advances in the treatment and prevention. Int. J. Med. Sci. 2014, 11, 1185–1200. [Google Scholar] [CrossRef] [PubMed]
- Yeh, H.F.; Luo, C.Y.; Lin, C.Y.; Cheng, S.S.; Hsu, Y.R.; Chang, S.T. Methods for thermal stability enhancement of leaf essential oils and their main constituents from indigenous cinnamon (Cinnamomum osmophloeum). J. Agric. Food Chem. 2013, 61, 6293–6298. [Google Scholar] [CrossRef] [PubMed]
- Subash Babu, P.; Prabuseenivasan, S.; Ignacimuthu, S. Cinnamaldehyde—A potential antidiabetic agent. Phytomedicine Int. J. Phytother. Phytopharm. 2007, 14, 15–22. [Google Scholar] [CrossRef]
- Anderson, R.A.; Broadhurst, C.L.; Polansky, M.M.; Schmidt, W.F.; Khan, A.; Flanagan, V.P.; Schoene, N.W.; Graves, D.J. Isolation and characterization of polyphenol type—A polymers from cinnamon with insulin-like biological activity. J. Agric. Food Chem. 2004, 52, 65–70. [Google Scholar] [CrossRef] [PubMed]
- Eckel, R.H.; Bornfeldt, K.E.; Goldberg, I.J. Cardiovascular disease in diabetes, beyond glucose. Cell Metab. 2021, 33, 1519–1545. [Google Scholar] [CrossRef]
- Rao, P.V.; Gan, S.H. Cinnamon: A Multifaceted Medicinal Plant. Evid.-Based Complement. Altern. Med. 2014, 2014, 642942. [Google Scholar] [CrossRef]
- Deyno, S.; Eneyew, K.; Seyfe, S.; Tuyiringire, N.; Peter, E.L.; Muluye, R.A.; Tolo, C.U.; Ogwang, P.E. Efficacy and safety of cinnamon in type 2 diabetes mellitus and pre-diabetes patients: A meta-analysis and meta-regression. Diabetes Res. Clin. Pract. 2019, 156, 107815. [Google Scholar] [CrossRef]
- Ranasinghe, P.; Jayawardana, R.; Galappaththy, P.; Constantine, G.R.; de Vas Gunawardana, N.; Katulanda, P. Efficacy and safety of ‘true’ cinnamon (Cinnamomum zeylanicum) as a pharmaceutical agent in diabetes: A systematic review and meta-analysis. Diabet. Med. A J. Br. Diabet. Assoc. 2012, 29, 1480–1492. [Google Scholar] [CrossRef] [PubMed]
- Silva, M.L.; Bernardo, M.A.; Singh, J.; de Mesquita, M.F. Cinnamon as a Complementary Therapeutic Approach for Dysglycemia and Dyslipidemia Control in Type 2 Diabetes Mellitus and Its Molecular Mechanism of Action: A Review. Nutrients 2022, 14, 2773. [Google Scholar] [CrossRef] [PubMed]
- Rafehi, H.; Ververis, K.; Karagiannis, T.C. Controversies surrounding the clinical potential of cinnamon for the management of diabetes. Diabetes Obes. Metab. 2012, 14, 493–499. [Google Scholar] [CrossRef] [PubMed]
- Cao, X.; Liao, W.; Xia, H.; Wang, S.; Sun, G. The Effect of Resveratrol on Blood Lipid Profile: A Dose-Response Meta-Analysis of Randomized Controlled Trials. Nutrients 2022, 14, 3755. [Google Scholar] [CrossRef]
- Akilen, R.; Tsiami, A.; Devendra, D.; Robinson, N. Glycated haemoglobin and blood pressure-lowering effect of cinnamon in multi-ethnic Type 2 diabetic patients in the UK: A randomized, placebo-controlled, double-blind clinical trial. Diabet. Med. 2010, 27, 1159–1167. [Google Scholar] [CrossRef]
- Azimi, P.; Ghiasvand, R.; Feizi, A.; Hariri, M.; Abbasi, B. Effects of Cinnamon, Cardamom, Saffron, and Ginger Consumption on Markers of Glycemic Control, Lipid Profile, Oxidative Stress, and Inflammation in Type 2 Diabetes Patients. Rev. Diabet. Stud. RDS 2014, 11, 258–266. [Google Scholar] [CrossRef]
- Blevins, S.M. Effect of Cinnamon on Glucose and Lipid Levels in Non-Insulin Dependent Type 2 Diabetes Mellitus. Diabetes Care 2007, 30, 2236–2237. Available online: https://clinicaltrials.gov/show/NCT00237640 (accessed on 16 January 2007). [CrossRef]
- Hasanzade, F.; Toliat, M.; Emami, S.A.; Emamimoghaadam, Z. The Effect of Cinnamon on Glucose of Type II Diabetes Patients. J. Tradit. Complement. Med. 2013, 3, 171–174. [Google Scholar] [CrossRef]
- Lira Neto, J.C.G.; Damasceno, M.M.C.; Ciol, M.A.; de Freitas, R.; de Araújo, M.F.M.; Teixeira, C.R.S.; Carvalho, G.C.N.; Lisboa, K.; Marques, R.L.L.; Alencar, A.; et al. Efficacy of Cinnamon as an Adjuvant in Reducing the Glycemic Biomarkers of Type 2 Diabetes Mellitus: A Three-Month, Randomized, Triple-Blind, Placebo-Controlled Clinical Trial. J. Am. Nutr. Assoc. 2022, 41, 266–274. [Google Scholar] [CrossRef]
- Lu, T.; Sheng, H.; Wu, J.; Cheng, Y.; Zhu, J.; Chen, Y. Cinnamon extract improves fasting blood glucose and glycosylated hemoglobin level in Chinese patients with type 2 diabetes. Nutr. Res. 2012, 32, 408–412. [Google Scholar] [CrossRef]
- Mang, B.; Wolters, M.; Schmitt, B.; Kelb, K.; Lichtinghagen, R.; Stichtenoth, D.O.; Hahn, A. Effects of a cinnamon extract on plasma glucose, HbA, and serum lipids in diabetes mellitus type 2. Eur. J. Clin. Investig. 2006, 36, 340–344. [Google Scholar] [CrossRef] [PubMed]
- Mirfeizi, M.; Mehdizadeh Tourzani, Z.; Mirfeizi, S.Z.; Asghari Jafarabadi, M.; Rezvani, H.R.; Afzali, M. Controlling type 2 diabetes mellitus with herbal medicines: A triple-blind randomized clinical trial of efficacy and safety. J. Diabetes 2016, 8, 647–656. [Google Scholar] [CrossRef] [PubMed]
- Sengsuk, C.; Sanguanwong, S.; Tangvarasittichai, O.; Tangvarasittichai, S. Effect of cinnamon supplementation on glucose, lipids levels, glomerular filtration rate, and blood pressure of subjects with type 2 diabetes mellitus. Diabetol. Int. 2016, 7, 124–132. [Google Scholar] [CrossRef] [PubMed]
- Talaei, B.; Amouzegar, A.; Sahranavard, S.; Hedayati, M.; Mirmiran, P.; Azizi, F. Effects of Cinnamon Consumption on Glycemic Indicators, Advanced Glycation End Products, and Antioxidant Status in Type 2 Diabetic Patients. Nutrients 2017, 9, 991. [Google Scholar] [CrossRef]
- Vafa, M.; Mohammadi, F.; Shidfar, F.; Sormaghi, M.S.; Heidari, I.; Golestan, B.; Amiri, F. Effects of cinnamon consumption on glycemic status, lipid profile and body composition in type 2 diabetic patients. Int. J. Prev. Med. 2012, 3, 531–536. [Google Scholar]
- Vanschoonbeek, K.; Thomassen, B.J.; Senden, J.M.; Wodzig, W.K.; van Loon, L.J. Cinnamon supplementation does not improve glycemic control in postmenopausal type 2 diabetes patients. J. Nutr. 2006, 136, 977–980. [Google Scholar] [CrossRef] [PubMed]
- Wainstein, J.; Stern, N.; Heller, S.; Boaz, M. Dietary Cinnamon Supplementation and Changes in Systolic Blood Pressure in Subjects with Type 2 Diabetes. J. Med. Food 2011, 14, 1505–1510. [Google Scholar] [CrossRef]
- Zare, R.; Nadjarzadeh, A.; Zarshenas, M.M.; Shams, M.; Heydari, M. Efficacy of cinnamon in patients with type II diabetes mellitus: A randomized controlled clinical trial. Clin. Nutr. 2019, 38, 549–556. [Google Scholar] [CrossRef]
- Couturier, K.; Batandier, C.; Awada, M.; Hininger-Favier, I.; Canini, F.; Anderson, R.A.; Leverve, X.; Roussel, A.M. Cinnamon improves insulin sensitivity and alters the body composition in an animal model of the metabolic syndrome. Arch. Biochem. Biophys. 2010, 501, 158–161. [Google Scholar] [CrossRef]
- Sheng, X.Y.; Zhang, Y.B.; Gong, Z.W.; Huang, C.; Zang, Y.Q. Improved Insulin Resistance and Lipid Metabolism by Cinnamon Extract through Activation of Peroxisome Proliferator-Activated Receptors. PPAR Res. 2008, 2008, 581348. [Google Scholar] [CrossRef]
- Shang, C.; Lin, H.; Fang, X.; Wang, Y.; Jiang, Z.; Qu, Y.; Xiang, M.; Shen, Z.; Xin, L.; Lu, Y.; et al. Beneficial effects of cinnamon and its extracts in the management of cardiovascular diseases and diabetes. Food Funct. 2021, 12, 12194–12220. [Google Scholar] [CrossRef]
- Sun, P.; Li, K.; Wang, T.; Ji, J.; Wang, Y.; Chen, K.X.; Jia, Q.; Li, Y.M.; Wang, H.Y. Procyanidin C1, a Component of Cinnamon Extracts, Is a Potential Insulin Sensitizer That Targets Adipocytes. J. Agric. Food Chem. 2019, 67, 8839–8846. [Google Scholar] [CrossRef] [PubMed]
- Medagama, A.B. The glycaemic outcomes of Cinnamon, a review of the experimental evidence and clinical trials. Nutr. J. 2015, 14, 108. [Google Scholar] [CrossRef] [PubMed]
- Santos, H.O.; da Silva, G.A.R. To what extent does cinnamon administration improve the glycemic and lipid profiles? Clin. Nutr. ESPEN 2018, 27, 1–9. [Google Scholar] [CrossRef]
- Zhu, R.; Liu, H.; Liu, C.; Wang, L.; Ma, R.; Chen, B.; Li, L.; Niu, J.; Fu, M.; Zhang, D.; et al. Cinnamaldehyde in diabetes: A review of pharmacology, pharmacokinetics and safety. Pharmacol. Res. 2017, 122, 78–89. [Google Scholar] [CrossRef]
- Zhou, Q.; Lei, X.; Fu, S.; Li, Z.; Chen, Y.; Long, C.; Li, S.; Chen, Q. Efficacy of cinnamon supplementation on glycolipid metabolism in T2DM diabetes: A meta-analysis and systematic review. Front. Physiol. 2022, 13, 960580. [Google Scholar] [CrossRef]
- Krauss, R.M. Lipids and lipoproteins in patients with type 2 diabetes. Diabetes Care 2004, 27, 1496–1504. [Google Scholar] [CrossRef]
- Mnafgui, K.; Derbali, A.; Sayadi, S.; Gharsallah, N.; Elfeki, A.; Allouche, N. Anti-obesity and cardioprotective effects of cinnamic acid in high fat diet-induced obese rats. J. Food Sci. Technol. 2015, 52, 4369–4377. [Google Scholar] [CrossRef]
- Subramaniam, S.; Subramaniam, R.; Rajapandian, S.; Uthrapathi, S.; Gnanamanickam, V.R.; Dubey, G.P. Anti-Atherogenic Activity of Ethanolic Fraction of Terminalia arjuna Bark on Hypercholesterolemic Rabbits. Evid.-Based Complement. Altern. Med. eCAM 2011, 2011, 487916. [Google Scholar] [CrossRef]
- Cheng, B.H.; Sheen, L.Y.; Chang, S.T. Hypolipidemic effects of S-(+)-linalool and essential oil from Cinnamomum osmophloeum ct. linalool leaves in mice. J. Tradit. Complement. Med. 2018, 8, 46–52. [Google Scholar] [CrossRef] [PubMed]
- Kutbi, E.H.; Sohouli, M.H.; Fatahi, S.; Lari, A.; Shidfar, F.; Aljhdali, M.M.; Alhoshan, F.M.; Elahi, S.S.; Almusa, H.A.; Abu-Zaid, A. The beneficial effects of cinnamon among patients with metabolic diseases: A systematic review and dose-response meta-analysis of randomized-controlled trials. Crit. Rev. Food Sci. Nutr. 2022, 62, 6113–6131. [Google Scholar] [CrossRef] [PubMed]
- Mousavi, S.M.; Karimi, E.; Hajishafiee, M.; Milajerdi, A.; Amini, M.R.; Esmaillzadeh, A. Anti-hypertensive effects of cinnamon supplementation in adults: A systematic review and dose-response Meta-analysis of randomized controlled trials. Crit. Rev. Food Sci. Nutr. 2020, 60, 3144–3154. [Google Scholar] [CrossRef] [PubMed]
- Hajimonfarednejad, M.; Nimrouzi, M.; Heydari, M.; Zarshenas, M.M.; Raee, M.J.; Jahromi, B.N. Insulin resistance improvement by cinnamon powder in polycystic ovary syndrome: A randomized double-blind placebo controlled clinical trial. Phytother. Res. 2018, 32, 276–283. [Google Scholar] [CrossRef] [PubMed]
- Hajimonfarednejad, M.; Ostovar, M.; Raee, M.J.; Hashempur, M.H.; Mayer, J.G.; Heydari, M. Cinnamon: A systematic review of adverse events. Clin. Nutr. 2019, 38, 594–602. [Google Scholar] [CrossRef] [PubMed]





| Study | Year | Study Region | Sample Size (I) | Sample Size (C) | Duration | Dose (mg/d) | Age Range (I) | Age Range (C) | Main Characteristics of Medications |
|---|---|---|---|---|---|---|---|---|---|
| Akilen [15] | 2010 | United Kingdom | 30 | 28 | 12 weeks | 2000 | 54.90 ± 10.14 | 54.43 ± 12.54 | oral antidiabetic |
| Azimi [16] | 2014 | Iran | 40 | 39 | 8 weeks | 3000 | 54.15 ± 1.0 | 53.64 ± 1.3 | metformin and glibenclamide |
| Blevins [17] | 2007 | United States | 29 | 28 | 3 months | 1000 | NA | NA | oral antidiabetic and hypolipidemia |
| Hasanzade [18] | 2013 | Iran | 35 | 35 | 60 days | 1000 | 53.7 ± 9.7 | 54.7 ± 8.1 | oral antidiabetic |
| Lira Neto [19] | 2021 | United States | 71 | 69 | 12 weeks | 3000 | 61.7 ± 11.7 | 60.8 ± 10.8 | oral antidiabetic |
| Lu-120 [20] | 2012 | China | 23 | 20 | 3 months | 120 | 62.4 ± 7.9 | 60 ± 5.9 | gliclazide |
| Lu-360 [20] | 2012 | China | 23 | 20 | 3 months | 360 | 58.9 ± 6.4 | 60 ± 5.9 | gliclazide |
| Mang [21] | 2006 | Germany | 33 | 32 | 4 months | 3000 | 62.8 ± 8.37 | 63.7 ± 7.17 | oral antidiabetic |
| Mirfeizi [22] | 2016 | Iran | 27 | 45 | 13 weeks | 1000 | 55 ± 10 | 54 ± 12 | sulfonylurea, biguanides, and/or thiazolidines |
| Sengsuk [23] | 2015 | Thailand | 49 | 50 | 60 days | 1500 | 57.2 ± 1.1 | 56.9 ± 1.2 | oral antidiabetic |
| Talaei [24] | 2017 | Iran | 20 | 19 | 8 weeks | 3000 | 58.9 ± 7.93 | 56.26 ± 9.46 | metformin and insulin |
| Vafa [25] | 2012 | Iran | 19 | 18 | 8 weeks | 3000 | 54.11 ± 10.37 | 55.67 ± 7.98 | metformin and gliclazide |
| Vanschoonbeek [26] | 2006 | Netherlands | 12 | 13 | 6 weeks | 1500 | 62 ± 2 | 64 ± 2 | oral antidiabetic |
| Wainstein [27] | 2011 | Israel | 29 | 30 | 12 weeks | 1200 | 61.7 ± 6.3 | 64.4 ± 15.4 | metformin and/or sulfonylurea |
| Zare [28] | 2019 | Iran | 69 | 69 | 12 weeks | 1000 | 52.1 ± 9.7 | 53.2 ± 8.5 | oral hypoglycemic agents |
| Index | Subgroup | No. of Trials | Mean Difference | p | I2 (%) | p Value of Heterogeneity | |
|---|---|---|---|---|---|---|---|
| Mean | 95%CI | ||||||
| FBG | Cinnamon dose (mg/d) | ||||||
| ≥1200 | 8 | −2.09 | −10.34, 6.16 | 0.620 | 76.3 | 0.001 | |
| ≤1200 | 5 | −10.05 | −18.07, −2.93 | 0.007 | 29.6 | 0.224 | |
| Duration of the trial (week) | |||||||
| ≥8 | 8 | −6.56 | −17.32, 4.19 | 0.232 | 78.2 | 0.001 | |
| ≤8 | 5 | −3.23 | −10.31, 3.85 | 0.371 | 60.2 | 0.004 | |
Disclaimer/Publisher’s Note: The statements, opinions and data contained in all publications are solely those of the individual author(s) and contributor(s) and not of MDPI and/or the editor(s). MDPI and/or the editor(s) disclaim responsibility for any injury to people or property resulting from any ideas, methods, instructions or products referred to in the content. |
© 2023 by the authors. Licensee MDPI, Basel, Switzerland. This article is an open access article distributed under the terms and conditions of the Creative Commons Attribution (CC BY) license (https://creativecommons.org/licenses/by/4.0/).
Share and Cite
Yu, T.; Lu, K.; Cao, X.; Xia, H.; Wang, S.; Sun, G.; Chen, L.; Liao, W. The Effect of Cinnamon on Glycolipid Metabolism: A Dose–Response Meta-Analysis of Randomized Controlled Trials. Nutrients 2023, 15, 2983. https://doi.org/10.3390/nu15132983
Yu T, Lu K, Cao X, Xia H, Wang S, Sun G, Chen L, Liao W. The Effect of Cinnamon on Glycolipid Metabolism: A Dose–Response Meta-Analysis of Randomized Controlled Trials. Nutrients. 2023; 15(13):2983. https://doi.org/10.3390/nu15132983
Chicago/Turabian StyleYu, Tingqing, Kun Lu, Xinyi Cao, Hui Xia, Shaokang Wang, Guiju Sun, Liang Chen, and Wang Liao. 2023. "The Effect of Cinnamon on Glycolipid Metabolism: A Dose–Response Meta-Analysis of Randomized Controlled Trials" Nutrients 15, no. 13: 2983. https://doi.org/10.3390/nu15132983
APA StyleYu, T., Lu, K., Cao, X., Xia, H., Wang, S., Sun, G., Chen, L., & Liao, W. (2023). The Effect of Cinnamon on Glycolipid Metabolism: A Dose–Response Meta-Analysis of Randomized Controlled Trials. Nutrients, 15(13), 2983. https://doi.org/10.3390/nu15132983

