Alanine Substitution to Determine the Effect of LR5 and YR6 Rice Peptide Structure on Antioxidant and Anti-Inflammatory Activity
Abstract
1. Introduction
2. Materials and Methods
2.1. Material
2.2. Determination of the Hydrophobicity of Original and Replacement Rice Peptides
2.3. Determination of the Superoxide Anion Radicals (O2−·) Scavenging Ability of the Original and Replacement Rice Peptides
2.4. Determination of the Hydroxyl Radical (HO·)Scavenging Ability of the Original and Replacement Rice Peptides
2.5. Effects of the Original and Replacement Peptides on Proliferation and Toxicity in RAW264.7 Cells
2.6. Determination of the Anti-Inflammatory Activity of the Original and Replacement Rice Peptides in RAW264.7 Cells
2.6.1. Effect of LPS on Proliferation and Nitric Oxide (NO) Release in RAW264.7 Cells
2.6.2. Effects of Peptide Pre-Treatment with Different Concentrations of LPS on the NO Released from the RAW264.7 Cells
2.7. Molecular Docking of Peptides with the Keap1 Protein
2.8. Molecular Dynamics Simulation of the Peptides with the Keap1 Protein
2.9. Statistical Analyses
3. Results
3.1. Analysis of the Hydrophobicity of the Original and Replacement Rice Peptides
3.2. The O2−· Scavenging Abilities of the Original and Replacement Rice Peptides
3.3. The HO· Scavenging Abilities of the Original and Replacement Rice Peptides
3.4. Effect of Pre-Incubation with Original and Replacement Rice Peptides on the Anti-Inflammatory Activity in the RAW264.7 Cells
3.4.1. Generation of a Model of Inflammation by Determining the Effects of LPS Concentration on the Proliferation of and Nitric Oxide (NO) Release in the RAW264.7 Cells
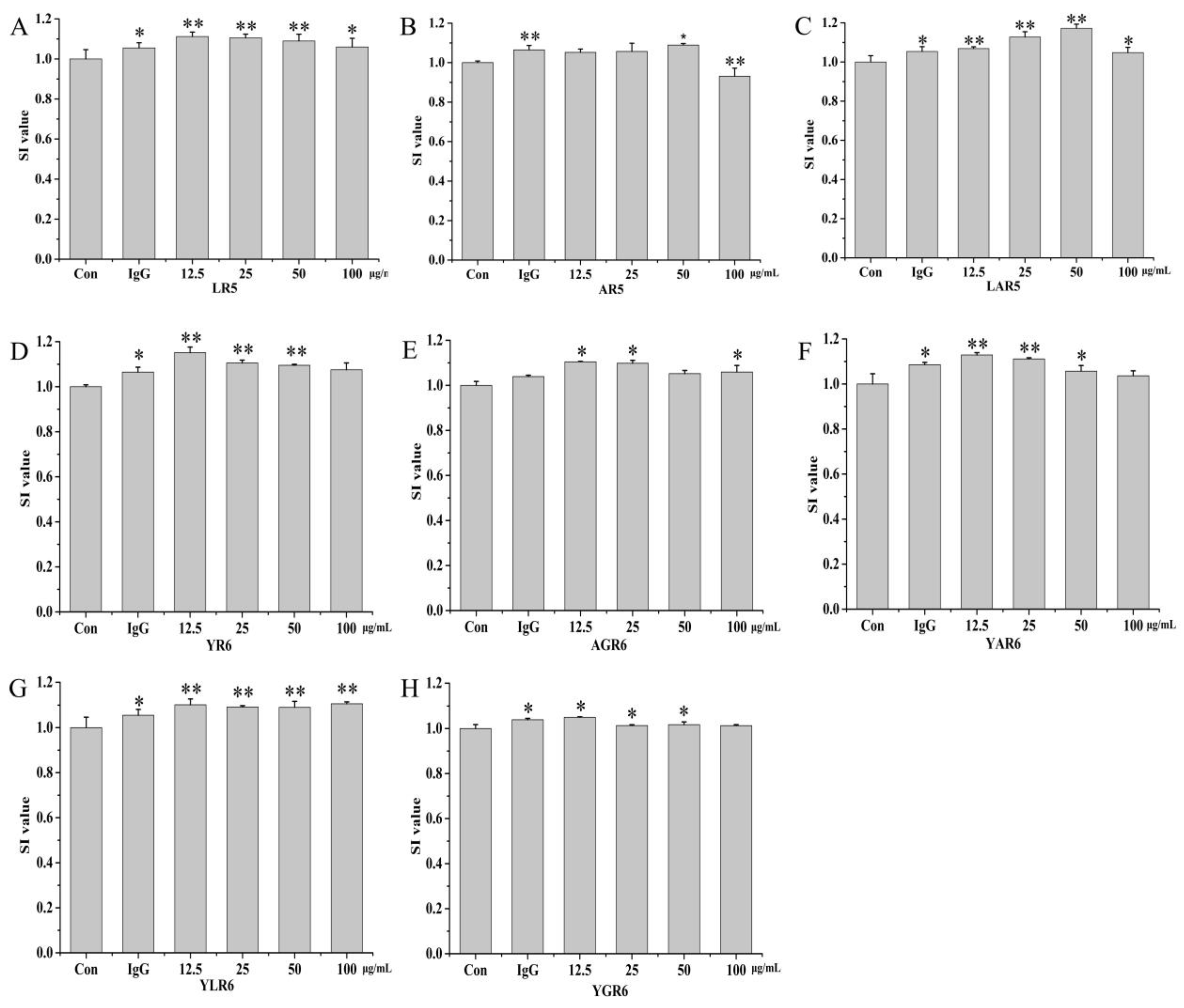
3.4.2. Cytotoxicity of the Original and Replacement Rice Peptides in the RAW264.7 Cells
3.4.3. Inhibitory Effects of Peptides on LPS-Induced NO Released by the RAW264.7 Cells
3.5. Molecular Docking Analysis of Peptides with the Keap1 Protein
3.6. Molecular Dynamics Simulation of Peptides with the Keap1 Protein
4. Conclusions
Supplementary Materials
Author Contributions
Funding
Institutional Review Board Statement
Informed Consent Statement
Data Availability Statement
Conflicts of Interest
References
- Chen, X.; Zhao, H.; Wang, H.; Xu, P.; Chen, M.; Xu, Z.; Wen, L.; Cui, B.; Yu, B.; Zhao, H.; et al. Preparation of high-solubility rice protein using an ultrasound-assisted glycation reaction. Food Res. Int. 2022, 161, 111737. [Google Scholar] [CrossRef] [PubMed]
- Ghanghas, N.; MT, M.; Sharma, S.; Prabhakar, P.K. Classification, composition, extraction, functional modification and application of rice (Oryza sativa) seed protein: A comprehensive Review. Food Rev. Int. 2022, 38, 354–383. [Google Scholar] [CrossRef]
- Nisov, A.; Ercili-Cura, D.; Nordlund, E. Limited hydrolysis of rice endosperm protein for improved techno-functional properties. Food Chem. 2020, 302, 125274. [Google Scholar] [CrossRef] [PubMed]
- Al-Doury, M.K.W.; Hettiarachchy, N.S.; Horax, R. Rice-endosperm and rice-bran proteins: A review. J. Am. Oil Chem. Soc. 2018, 95, 943–956. [Google Scholar] [CrossRef]
- Winderickx, S.; De Brucker, K.; Bird, M.J.; Windmolders, P.; Meert, E.; Cammue, B.P.A.; Thevissen, K. Structure-activity relationship study of the antimicrobial CRAMP-derived peptide CRAMP20-33. Peptides 2018, 109, 33–38. [Google Scholar] [CrossRef]
- Dong, J.; Wang, S.; Yin, X.; Fang, M.; Gong, Z.; Wu, Y. Angiotensin I converting enzyme (ACE) inhibitory activity and antihypertensive effects of rice peptides. Food Sci. Hum. Wellness 2022, 11, 1539–1543. [Google Scholar] [CrossRef]
- Qu, T.; He, S.; Ni, C.; Wu, Y.; Xu, Z.; Chen, M.-L.; Li, H.; Cheng, Y.; Wen, L. In vitro anti-inflammatory activity of three peptides derived from the byproduct of rice processing. Plant Foods Hum. Nutr. 2022, 77, 172–180. [Google Scholar] [CrossRef]
- Chen, M.-L.; Ning, P.; Jiao, Y.; Xu, Z.; Cheng, Y.-H. Extraction of antioxidant peptides from rice dreg protein hydrolysate via an angling method. Food Chem. 2021, 337, 128069. [Google Scholar] [CrossRef]
- Chen, J.; Bai, W.; Cai, D.; Yu, Z.; Xu, B. Characterization and identification of novel anti-inflammatory peptides from Baijiao sea bass (Lateolabrax maculatus). LWT 2021, 147, 111521. [Google Scholar] [CrossRef]
- Mengyao, H.; Xinyue, L.; Xiaomei, W.; Guozhi, W.; Jinyun, Y.; Zhongshan, Z. Study on preparation of collagen peptides from Micropterus Salmoides skin and its antioxidant activity. Food Mechinery 2022, 38, 175–182. (In Chinese) [Google Scholar] [CrossRef]
- Yu, G.; Shiyu, W.; Ce, N.; Xiaohui, O.; Tingmin, Q.; Ying, W.; Shuwen, H.; Honghui, L.; Bo, C.; Yunhui, C.; et al. Analysis of protein extraction and antioxidant activity of enzymatic hydrolysates from scallop processing by-products. Food Mechinery 2022, 38, 176–183. (In Chinese) [Google Scholar] [CrossRef]
- Chen, Y.-P.; Liang, C.-H.; Wu, H.-T.; Pang, H.-Y.; Chen, C.; Wang, G.-H.; Chan, L.-P. Antioxidant and anti-inflammatory capacities of collagen peptides from milkfish (Chanos chanos) scales. J. Food Sci. Technol. 2018, 55, 2310–2317. [Google Scholar] [CrossRef] [PubMed]
- Peng, L.; Kong, X.; Wang, Z.; Ai-Lati, A.; Ji, Z.; Mao, J. Baijiu vinasse as a new source of bioactive peptides with antioxidant and anti-inflammatory activity. Food Chem. 2021, 339, 128159. [Google Scholar] [CrossRef] [PubMed]
- Guo, H.; Wang, Y.; He, Q.; Zhang, Y.; Hu, Y.; Wang, Y.; Lin, Z. In silico rational design and virtual screening of antixoidant tripeptides based on 3D-QSAR modeling. J. Mol. Struct. 2019, 1193, 223–230. [Google Scholar] [CrossRef]
- Jing, W.; Svendsen, J.S.S.S.; Vogel, H.J. Comparison of NMR structures and model-membrane interactions of 15-residue antimicrobial peptides derived from bovine lactoferricin. Biochem. Cell Biol. 2006, 84, 312–326. [Google Scholar] [CrossRef]
- Montfort-Gardeazabal, J.M.; Balderas-Renteria, I.; Casillas-Vega, N.G.; Zarate, X. Expression and purification of the antimicrobial peptide Bin1b in Escherichia coli tagged with the fusion proteins CusF3H+ and SmbP. Protein Expr. Purif. 2021, 178, 105784. [Google Scholar] [CrossRef]
- Ahn, H.-S.; Cho, W.; Kang, S.-H.; Ko, S.-S.; Park, M.-S.; Cho, H.; Lee, K.-H. Design and synthesis of novel antimicrobial peptides on the basis of α helical domain of Tenecin 1, an insect defensin protein, and structure–activity relationship study. Peptides 2006, 27, 640–648. [Google Scholar] [CrossRef]
- Yang, C.-H.; Chen, Y.-C.; Peng, S.-Y.; Tsai, A.P.-Y.; Lee, T.J.-F.; Yen, J.-H.; Liou, J.-W. An engineered arginine-rich α-helical antimicrobial peptide exhibits broad-spectrum bactericidal activity against pathogenic bacteria and reduces bacterial infections in mice. Sci. Rep. 2018, 8, 14602. [Google Scholar] [CrossRef]
- Håversen, L.; Kondori, N.; Baltzer, L.; Hanson, L.Å.; Dolphin, G.T.; Dunér, K.; Mattsby-Baltzer, I. Structure-microbicidal activity relationship of synthetic fragments derived from the antibacterial α-helix of human lactoferrin. Antimicrob. Agents Chemother. 2010, 54, 418–425. [Google Scholar] [CrossRef]
- Pei, Y.; Wang, Q.; Zhang, J.; Guo, Y.; Feng, J. Characterization and evaluation of key sites in the peptide inhibitor of TAB1/p38α interaction. Int. J. Pept. Res. Ther. 2018, 24, 225–233. [Google Scholar] [CrossRef]
- Gao, R.; Shu, W.; Shen, Y.; Sun, Q.; Bai, F.; Wang, J.; Li, D.; Li, Y.; Jin, W.; Yuan, L. Sturgeon protein-derived peptides exert anti-inflammatory effects in LPS-stimulated RAW264.7 macrophages via the MAPK pathway. J. Funct. Foods 2020, 72, 104044. [Google Scholar] [CrossRef]
- Yan, W.; Lin, G.; Zhang, R.; Liang, Z.; Wu, W. Studies on the bioactivities and molecular mechanism of antioxidant peptides by 3D-QSAR, in vitro evaluation and molecular dynamic simulations. Food Funct. 2020, 11, 3043. [Google Scholar] [CrossRef]
- Qiang, L.; Yang, L.; Cao, S.; Lu, K.; Zhao, Y. Study on interaction between N-phosphoryl dipeptides (or methyl esters) and amino acid by ESI-MS. J. Instrum. Anal. 2009, 28, 1304–1307. (In Chinese) [Google Scholar]
- Ramanathan, B.; Davis, E.G.; Ross, C.R.; Blecha, F. Cathelicidins: Microbicidal activity, mechanisms of action, and roles in innate immunity. Microbes Infect. 2002, 4, 361–372. [Google Scholar] [CrossRef] [PubMed]
- Zhang, H.; Tang, W.; Wang, L.; Qian, H.; Qi, X. Review on structure-activity relationship of antioxidative peptides. J. Food Sci. Biotechnol. 2013, 32, 673–679. (In Chinese) [Google Scholar]
- Zhang, Y.; Wei, R.; Pan, F.; Liu, Z.; Wang, H.; Liu, J. Antioxidant and anti-inflammatory effects of bioactive peptides derived from egg white proteins. Food Sci. 2018, 39, 153–158. (In Chinese) [Google Scholar] [CrossRef]








| Peptide | NO Inhibition Rate (%) | ||||
|---|---|---|---|---|---|
| IgG (10 μg/mL) | 12.5 μg/mL | 25 μg/mL | 50 μg/mL | 100 μg/mL | |
| LR5 | 10.19 ± 0.29 | 19.73 ± 0.39 | 15.98 ± 0.22 | 11.05 ± 0.08 | 8.79 ± 0.39 |
| AR5 | 9.85 ± 0.08 | 12.36 ± 0.12 | 6.76 ± 0.11 | 9.31 ± 0.15 | 8.80 ± 0.11 |
| LAR5 | 9.98 ± 0.04 | 13.84 ± 0.04 | 13.51 ± 0.04 | 11.05 ± 0.04 | 7.72 ± 0.08 |
| YR6 | 9.19 ± 0.13 | 14.51 ± 0.15 | 17.81 ± 0.34 | 10.46 ± 0.09 | 5.65 ± 0.37 |
| AGR6 | 9.62 ± 0.04 | 8.04 ± 0.15 | 19.04 ± 0.04 | 8.93 ± 0.07 | / |
| YAR6 | 9.68 ± 0.12 | 12.28 ± 0.09 | 16.48 ± 0.18 | 8.81 ± 016 | 5.77 ± 0.01 |
| YLR6 | 9.50 ± 0.09 | 8.98 ± 0.16 | 17.43 ± 0.16 | 9.75 ± 0.23 | / |
| YGR6 | 10.08 ± 0.11 | 13.77 ± 0.11 | 22.89 ± 0.11 | 13.97 ± 0.13 | 7.24 ± 0.01 |
Disclaimer/Publisher’s Note: The statements, opinions and data contained in all publications are solely those of the individual author(s) and contributor(s) and not of MDPI and/or the editor(s). MDPI and/or the editor(s) disclaim responsibility for any injury to people or property resulting from any ideas, methods, instructions or products referred to in the content. |
© 2023 by the authors. Licensee MDPI, Basel, Switzerland. This article is an open access article distributed under the terms and conditions of the Creative Commons Attribution (CC BY) license (https://creativecommons.org/licenses/by/4.0/).
Share and Cite
Cheng, Y.-H.; Liu, B.-Q.; Cui, B.; Wen, L.; Xu, Z.; Chen, M.-L.; Wu, H. Alanine Substitution to Determine the Effect of LR5 and YR6 Rice Peptide Structure on Antioxidant and Anti-Inflammatory Activity. Nutrients 2023, 15, 2373. https://doi.org/10.3390/nu15102373
Cheng Y-H, Liu B-Q, Cui B, Wen L, Xu Z, Chen M-L, Wu H. Alanine Substitution to Determine the Effect of LR5 and YR6 Rice Peptide Structure on Antioxidant and Anti-Inflammatory Activity. Nutrients. 2023; 15(10):2373. https://doi.org/10.3390/nu15102373
Chicago/Turabian StyleCheng, Yun-Hui, Bu-Qing Liu, Bo Cui, Li Wen, Zhou Xu, Mao-Long Chen, and Hao Wu. 2023. "Alanine Substitution to Determine the Effect of LR5 and YR6 Rice Peptide Structure on Antioxidant and Anti-Inflammatory Activity" Nutrients 15, no. 10: 2373. https://doi.org/10.3390/nu15102373
APA StyleCheng, Y.-H., Liu, B.-Q., Cui, B., Wen, L., Xu, Z., Chen, M.-L., & Wu, H. (2023). Alanine Substitution to Determine the Effect of LR5 and YR6 Rice Peptide Structure on Antioxidant and Anti-Inflammatory Activity. Nutrients, 15(10), 2373. https://doi.org/10.3390/nu15102373

