Short-Term Effect of Additional Daily Dietary Fibre Intake on Appetite, Satiety, Gastrointestinal Comfort, Acceptability, and Feasibility
Abstract
1. Introduction
2. Materials and Methods
2.1. Participants
2.2. Study Materials
2.3. Study Procedure
2.4. Statistical and Qualitative Data Analysis
3. Results
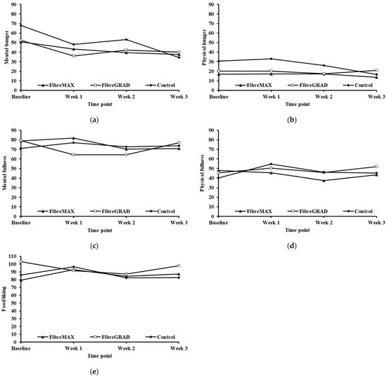
3.1. Appetite and Satiety
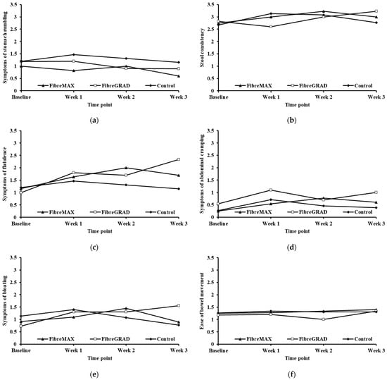
3.2. Gastrointestinal Response—Quantitative Survey Data
3.3. Gastrointestinal Response—Qualitative Interview Evaluation
3.4. Study Evaluation: Acceptability, Appropriateness, and Feasibility
3.5. Results of the Evaluation Interviews
3.5.1. Product Evaluation
3.5.2. Food Preferences
3.5.3. Hunger, Satiety, and Cravings
3.5.4. Anecdotal Health Benefits
3.5.5. Side Effects
3.5.6. Quality of Life and Psychological Well-Being
3.5.7. Compliance with Study Protocol
4. Discussion
5. Conclusions
Author Contributions
Funding
Institutional Review Board Statement
Informed Consent Statement
Data Availability Statement
Conflicts of Interest
Appendix A


References
- Collaboration NCDRF. Worldwide trends in body-mass index, underweight, overweight, and obesity from 1975 to 2016: A pooled analysis of 2416 population-based measurement studies in 128.9 million children, adolescents, and adults. Lancet 2017, 390, 2627–2642. [Google Scholar] [CrossRef]
- Pi-Sunyer, X. The medical risks of obesity. Postgrad. Med. 2009, 121, 21–33. [Google Scholar] [CrossRef] [PubMed]
- Wang, Y.C.; McPherson, K.; Marsh, T.; Gortmaker, S.L.; Brown, M. Health and economic burden of the projected obesity trends in the USA and the UK. Lancet 2011, 378, 815–825. [Google Scholar] [CrossRef]
- Bray, G.A.; Kim, K.K.; Wilding, J.P.H.; World Obesity Federation. Obesity: A chronic relapsing progressive disease process. A position statement of the World Obesity Federation. Obes. Rev. 2017, 18, 715–723. [Google Scholar] [CrossRef]
- Mendoza, J.A.; Drewnowski, A.; Christakis, D.A. Dietary energy density is associated with obesity and the metabolic syndrome in U.S. adults. Diabetes Care 2007, 30, 974–979. [Google Scholar] [CrossRef]
- Rouhani, M.H.; Haghighatdoost, F.; Surkan, P.J.; Azadbakht, L. Associations between dietary energy density and obesity: A systematic review and meta-analysis of observational studies. Nutrition 2016, 32, 1037–1047. [Google Scholar] [CrossRef]
- Hjorth, M.F.; Astrup, A. The role of viscous fiber for weight loss: Food for thought and gut bacteria. Am. J. Clin. Nutr. 2020, 111, 242–243. [Google Scholar] [CrossRef] [PubMed]
- Malnick, S.D.; Knobler, H. The medical complications of obesity. QJM 2006, 99, 565–579. [Google Scholar] [CrossRef] [PubMed]
- Reynolds, A.; Mann, J.; Cummings, J.; Winter, N.; Mete, E.; Te Morenga, L. Carbohydrate quality and human health: A series of systematic reviews and meta-analyses. Lancet 2019, 393, 434–445. [Google Scholar] [CrossRef]
- Jovanovski, E.; Mazhar, N.; Komishon, A.; Khayyat, R.; Li, D.; Mejia, S.B.; Khan, T.; Jenkins, A.L.; Smircic-Duvnjak, L.; Sievenpiper, J.L.; et al. Can dietary viscous fiber affect body weight independently of an energy-restrictive diet? A systematic review and meta-analysis of randomized controlled trials. Am. J. Clin. Nutr. 2020, 111, 471–485. [Google Scholar] [CrossRef] [PubMed]
- Jovanovski, E.; Mazhar, N.; Komishon, A.; Khayyat, R.; Li, D.; Blanco Mejia, S.; Khan, T.; Jenkins, A.L.; Smircic-Duvnjak, L.; Sievenpiper, J.L.; et al. Effect of viscous fiber supplementation on obesity indicators in individuals consuming calorie-restricted diets: A systematic review and meta-analysis of randomized controlled trials. Eur. J. Nutr. 2020, 60, 101–112. [Google Scholar] [CrossRef] [PubMed]
- Slavin, J.L. Dietary fiber and body weight. Nutrition 2005, 21, 411–418. [Google Scholar] [CrossRef] [PubMed]
- Thompson, S.V.; Hannon, B.A.; An, R.; Holscher, H.D. Effects of isolated soluble fiber supplementation on body weight, glycemia, and insulinemia in adults with overweight and obesity: A systematic review and meta-analysis of randomized controlled trials. Am. J. Clin. Nutr. 2017, 106, 1514–1528. [Google Scholar] [CrossRef]
- Fuglsang-Nielsen, R.; Rakvaag, E.; Langdahl, B.; Knudsen, K.E.B.; Hartmann, B.; Holst, J.J.; Hermansen, K.; Gregersen, S. Effects of whey protein and dietary fiber intake on insulin sensitivity, body composition, energy expenditure, blood pressure, and appetite in subjects with abdominal obesity. Eur. J. Clin. Nutr. 2020, 75, 611–619. [Google Scholar] [CrossRef] [PubMed]
- Vitaglione, P.; Lumaga, R.B.; Stanzione, A.; Scalfi, L.; Fogliano, V. beta-Glucan-enriched bread reduces energy intake and modifies plasma ghrelin and peptide YY concentrations in the short term. Appetite 2009, 53, 338–344. [Google Scholar] [CrossRef]
- Makki, K.; Deeham, E.C.; Walter, J.; Backhed, F. The impact of dietary fiber on gut microbiota in host health and disase. Cell Host Microbe 2018, 23, 705–715. [Google Scholar] [CrossRef] [PubMed]
- Mardinoglu, A.; Wu, H.; Bjornson, E.; Zhang, C.; Hakkarainen, A.; Rasanen, S.M.; Lee, S.; Mancina, R.M.; Bergentall, M.; Pietilanen, K.H.; et al. An integrated understanding of the rapid metabolic benefits of a carbohydrate-restricted diet on hepatic staetosis in humans. Cell Metab. 2018, 27, 559–571.e5. [Google Scholar] [CrossRef]
- Rehrer, N.J.; van Kemenade, M.; Meester, W.; Brouns, F.; Saris, W.H. Gastrointestinal complaints in relation to dietary intake in triathletes. Int. J. Sport Nutr. 1992, 2, 48–59. [Google Scholar] [CrossRef]
- Bolin, T.D.; Stanton, R.A. Flatus emission patterns and fibre intake. Eur. J. Surg. 1998, 164 (Suppl. 582), 115–118. [Google Scholar] [CrossRef] [PubMed]
- de Vries, J.; Miller, P.E.; Verbeke, K. Effects of cereal fiber on bowel function: A systematic review of intervention trials. World J. Gastroenterol. 2015, 21, 8952–8963. [Google Scholar] [CrossRef] [PubMed]
- Karalus, M. The Creation and Testing of a Scale to Measure the Subjective Experiences of Hunger and Satiety; University of Minnesota: Minneapolis, MN, USA, 2011. [Google Scholar]
- Karalus, M.; Vickers, Z. Satiation and satiety sensations produced by eating oatmeal vs. oranges. a comparison of different scales. Appetite 2016, 99, 168–176. [Google Scholar] [CrossRef] [PubMed]
- Chen, H.L.; Cheng, H.C.; Wu, W.T.; Liu, Y.J.; Liu, S.Y. Supplementation of konjac glucomannan into a low-fiber Chinese diet promoted bowel movement and improved colonic ecology in constipated adults: A placebo-controlled, diet-controlled trial. J. Am. Coll. Nutr. 2008, 27, 102–108. [Google Scholar] [CrossRef] [PubMed]
- Weiner, B.J.; Lewis, C.C.; Stanick, C.; Powell, B.J.; Dorsey, C.N.; Clary, A.S.; Boynton, M.H.; Halko, H. Psychometric assessment of three newly developed implementation outcome measures. Implement. Sci. 2017, 12, 108. [Google Scholar] [CrossRef] [PubMed]
- Colasuonno, P.; Marcotuli, I.; Cutillo, S.; Simeone, R.; Blanco, A.; Gadaleta, A. The β-glucan quality trait in wheat. J. Food Sci. Tech. 2019, 4, 591–596. [Google Scholar]
- Billingham, S.A.; Whitehead, A.L.; Julious, S.A. An audit of sample sizes for pilot and feasibility trials being undertaken in the United Kingdom registered in the United Kingdom Clinical Research Network database. BMC Med. Res. Methodol. 2013, 13, 104. [Google Scholar] [CrossRef]
- Sim, J.; Lewis, M. The size of a pilot study for a clinical trial should be calculated in relation to considerations of precision and efficiency. J. Clin. Epidemiol. 2012, 65, 301–308. [Google Scholar] [CrossRef]
- Julious, S.A. Two-sided confidence intervals for the single proportion: Comparison of seven methods by Robert G. Newcombe, Statistics in Medicine 1998;17:857–872. Stat. Med. 2005, 24, 3383–3384. [Google Scholar] [CrossRef]
- Braun, V.; Clarke, V. What can “thematic analysis” offer health and wellbeing researchers? Int. J. Qual. Stud. Health Wellbeing 2014, 9, 26152. [Google Scholar] [CrossRef]
- Floch, M.H.; Fuchs, H.M. Modification of stool content by increased bran intake. Am. J. Clin. Nutr. 1978, 31 (Suppl. 10), S185–S189. [Google Scholar] [CrossRef]
- Gibbons, C.; Hopkins, M.; Beaulieu, K.; Oustric, P.; Blundell, J.E. Issues in Measuring and Interpreting Human Appetite (Satiety/Satiation) and Its Contribution to Obesity. Curr. Obes. Rep. 2019, 8, 77–87. [Google Scholar] [CrossRef]
- Lean, M.E.J.; Astrup, A.; Roberts, S.B. Making progress on the global crisis of obesity and weight management. BMJ 2018, 361, k2538. [Google Scholar] [CrossRef] [PubMed]
- Emilien, C.; Hollis, J.H. A brief review of salient factors influencing adult eating behaviour. Nutr. Res. Rev. 2017, 30, 233–246. [Google Scholar] [CrossRef]
- Smith, J.; Ditschun, T. Controlling satiety: How environmental factors influence food intake. Trends Food Sci. Technol. 2009, 20, 271–277. [Google Scholar] [CrossRef]
- Aoe, S.; Ikenaga, T.; Noguchi, H.; Kohashi, C.; Kakumoto, K.; Kohda, N. Effect of cooked white rice with high beta-glucan barley on appetite and energy intake in healthy Japanese subjects: A randomized controlled trial. Plant Foods Hum. Nutr. 2014, 69, 325–330. [Google Scholar] [CrossRef] [PubMed]
- Clark, M.J.; Slavin, J.L. The effect of fiber on satiety and food intake: A systematic review. J. Am. Coll. Nutr. 2013, 32, 200–211. [Google Scholar] [CrossRef] [PubMed]
- Dao, M.C.; Messer, E.; Conigliaro, T.; Sakaida, K.; Ouellette, A.F.; Himaras, V.; Thiron, S.; Roberts, S.B. Different and Unequal: A Qualitative Evaluation of Salient Factors Influencing Energy Intake in Adults with Overweight and Obesity. Nutrients 2019, 11, 1365. [Google Scholar] [CrossRef]
- Gonlachanvit, S.; Coleski, R.; Owyang, C.; Hasler, W. Inhibitory actions of a high fibre diet on intestinal gas transit in healthy volunteers. Gut 2004, 53, 1577–1582. [Google Scholar] [CrossRef][Green Version]
- Yang, J.; Wang, H.P.; Zhou, L.; Xu, C.F. Effect of dietary fiber on constipation: A meta analysis. World J. Gastroenterol. 2012, 18, 7378–7383. [Google Scholar] [CrossRef]
- Darwiche, G.; Hoglund, P.; Roth, B.; Larsson, E.; Sjoberg, T.; Wohlfart, B.; Steen, S.; Ohlsson, B. An Okinawan-based Nordic diet improves anthropometry, metabolic control, and health-related quality of life in Scandinavian patients with type 2 diabetes: A pilot trial. Food Nutr. Res. 2016, 60, 32594. [Google Scholar] [CrossRef]

| FibreMAX n = 12 | FibreGRAD n = 11 | Control n = 15 | F(2,35) & p | |
|---|---|---|---|---|
| Age, years | 32 ± 8 | 30 ± 10 | 32 ± 9 | 0.19; p = 0.83 |
| Male gender, n (%) | 3 (25) | 1 (9) | 5 (33) | |
| Weight, kg | 78 ± 22.2 | 63.1 ± 7.6 | 69.9 ± 12.3 | 2.71; p = 0.08 |
| Height, cm | 170.1 ± 12.4 | 165.2 ± 5.9 | 168.5 ± 11.9 | 0.63; p = 0.54 |
| Body mass index, kg·m−2 | 26.6 ± 4.2 | 23.1 ± 2.3 | 24.6 ± 4.1 | 2.58; p = 0.09 |
| Baseline fibre intake (gr) | 17.0 ± 4.0 | 17.6 ± 4.0 | 16.7 ± 3.4 | 0.21; p = 0.81 |
| Satiety | Condition Main Effect (F(2,28)) | Time Main Effect (F(3,81)) | Condition × Time Interaction (F(6,81)) |
|---|---|---|---|
| MH | 0.41; p = 0.67; ηp2 = 0.03 | 2.11; p = 0.11; ηp2 = 0.07 | 0.42; p = 0.87; ηp2 = 0.03 |
| PH | 0.78; p = 0.47; ηp2 = 0.06 | 0.98; p = 0.41; ηp2 = 0.04 | 0.59; p = 0.73; ηp2 = 0.04 |
| MF | 0.88; p = 0.51; ηp2 = 0.06 | 0.57; p = 0.64; ηp2 = 0.02 | 0.08; p = 0.92; ηp2 = 0.01 |
| PF | 0.61; p = 0.55; ηp2 = 0.04 | 0.80; p = 0.50; ηp2 = 0.03 | 0.60; p = 0.73; ηp2 = 0.04 |
| FL | 0.97; p = 0.39; ηp2 = 0.07 | 0.67; p = 0.57; ηp2 = 0.02 | 0.11; p = 0.99; ηp2 < 0.01 |
| Gastrointestinal | |||
| EBM | 0.18; p = 0.84; ηp2 = 0.01 | 0.18; p = 0.91; ηp2 = 0.01 | 0.17; p = 0.98; ηp2 = 0.01 |
| BL | 0.40; p = 0.67; ηp2 = 0.03 | 1.29; p = 0.29; ηp2 = 0.05 | 0.80; p = 0.58; ηp2 = 0.06 |
| AC | 1.71; p = 0.20; ηp2 = 0.11 | 1.31; p = 0.28; ηp2 = 0.05 | 0.29; p = 0.94; ηp2 = 0.02 |
| Wind | 1.18; p = 0.32; ηp2 = 0.08 | 3.63; p = 0.02; ηp2 = 0.12 | 1.46; p = 0.22; ηp2 = 0.10 |
| STR | 0.77; p = 0.47; ηp2 = 0.05 | 1.91; p = 0.14; ηp2 = 0.07 | 0.65; p = 0.69; ηp2 = 0.05 |
| SC | 0.09; p = 0.91; ηp2 < 0.01 | 2.80; p = 0.04; ηp2 = 0.10 | 0.45; p = 0.84; ηp2 = 0.03 |
| FibreMAX (n = 11) | FibreGRAD (n = 8) | Control (n = 14) | |||||||
|---|---|---|---|---|---|---|---|---|---|
| Side Effects | W1 | W2 | W3 | W1 | W2 | W3 | W1 | W2 | W3 |
| Gastrointestinal discomfort | 6 | 0 | 0 | 1 | 1 | 1 | 1 | 0 | 0 |
| Flatulence | 4 | 0 | 0 | 4 | 4 | 4 | 8 | 0 | 0 |
| Stool change | 4 | 0 | 0 | 5 | 0 | 0 | 7 | 0 | 0 |
| Abdominal discomfort | 8 | 0 | 0 | 2 | 3 | 2 | 1 | 0 | 0 |
| Bloating | 6 | 0 | 0 | 5 | 5 | 5 | 5 | 0 | 0 |
| Cramping | 4 | 0 | 0 | 3 | 3 | 3 | 3 | 0 | 0 |
| Feeling too full | 10 | 0 | 0 | 8 | 8 | 8 | 10 | 0 | 0 |
| Meal replacement | 0 | 0 | 0 | 5 | 0 | 0 | 0 | 0 | 0 |
| Changed bowel habits | 11 | 0 | 0 | 2 | 0 | 0 | 0 | 0 | 0 |
| Urgency of bowel movements | 4 | 0 | 0 | 2 | 3 | 3 | 2 | 0 | 0 |
| Problems with defecation | 2 | 0 | 0 | 0 | 2 | 3 | 2 | 0 | 0 |
| Dehydration | 4 | 0 | 0 | 0 | 1 | 1 | 1 | 0 | 0 |
| Nausea | 0 | 0 | 0 | 1 | 1 | 1 | 0 | 0 | 0 |
| Diarrhoea | 0 | 0 | 0 | 2 | 0 | 0 | 0 | 0 | 0 |
| Constipation | 0 | 0 | 0 | 0 | 0 | 2 | 0 | 0 | 0 |
| Stomach rumbling | 0 | 0 | 0 | 3 | 0 | 0 | 0 | 0 | 0 |
| Easier bowel movement | 1 | 0 | 0 | 2 | 0 | 0 | 0 | 0 | 0 |
| FibreMAX n = 10 | FibreGRAD n = 9 | Control n = 12 | ||
|---|---|---|---|---|
| Acceptability | Increasing fibre in my diet through these flakes meets my approval | 3.60 ± 1.17 | 3.89 ± 0.93 | 3.67 ± 1.07 |
| Increasing fibre in my diet through these flakes is appealing to me | 3.30 ± 0.82 | 2.78 ± 1.20 | 3.58 ± 1.16 | |
| I like more fibre in my diet through these flakes | 3.20 ± 1.14 | 3.33 ± 1.22 | 3.42 ± 1.16 | |
| I welcome more fibre in my diet through these flakes | 3.10 ± 1.29 | 3.56 ± 1.24 | 3.58 ± 1.08 | |
| Appropriateness | Increasing fibre in my diet through these flakes seems fitting | 3.30 ± 1.06 | 3.56 ± 1.01 | 3.67 ± 0.98 |
| Increasing fibre in my diet through these flakes seems suitable | 3.30 ± s1.06 | 3.44 ± 1.01 | 3.67 ± 1.07 | |
| Increasing fibre in my diet through these flakes seems applicable | 3.20 ± 1.14 | 3.33 ± 1.12 | 3.67 ± 1.23 | |
| Increasing fibre in my diet through these flakes seems like a good match | 3.20 ± 1.23 | 3.33 ± 1.00 | 3.50 ± 1.45 | |
| Feasibility | Increasing fibre in my diet through these flakes seems implementable | 3.70 ± 0.48 | 3.25 ± 1.16 | 3.58 ± 1.00 |
| Increasing fibre in my diet through these flakes is possible | 3.60 ± 0.70 | 3.75 ± 0.71 | 3.82 ± 0.60 | |
| Increasing fibre in my diet through these flakes seems doable | 3.60 ± 0.70 | 3.75 ± 0.71 | 3.36 ± 1.03 | |
| Increasing fibre in my diet through these flakes seems easy to use | 3.60 ± 0.52 | 3.13 ± 1.13 | 3.25 ± 1.06 |
Publisher’s Note: MDPI stays neutral with regard to jurisdictional claims in published maps and institutional affiliations. |
© 2022 by the authors. Licensee MDPI, Basel, Switzerland. This article is an open access article distributed under the terms and conditions of the Creative Commons Attribution (CC BY) license (https://creativecommons.org/licenses/by/4.0/).
Share and Cite
Borkoles, E.; Krastins, D.; van der Pols, J.C.; Sims, P.; Polman, R. Short-Term Effect of Additional Daily Dietary Fibre Intake on Appetite, Satiety, Gastrointestinal Comfort, Acceptability, and Feasibility. Nutrients 2022, 14, 4214. https://doi.org/10.3390/nu14194214
Borkoles E, Krastins D, van der Pols JC, Sims P, Polman R. Short-Term Effect of Additional Daily Dietary Fibre Intake on Appetite, Satiety, Gastrointestinal Comfort, Acceptability, and Feasibility. Nutrients. 2022; 14(19):4214. https://doi.org/10.3390/nu14194214
Chicago/Turabian StyleBorkoles, Erika, Digby Krastins, Jolieke C. van der Pols, Paul Sims, and Remco Polman. 2022. "Short-Term Effect of Additional Daily Dietary Fibre Intake on Appetite, Satiety, Gastrointestinal Comfort, Acceptability, and Feasibility" Nutrients 14, no. 19: 4214. https://doi.org/10.3390/nu14194214
APA StyleBorkoles, E., Krastins, D., van der Pols, J. C., Sims, P., & Polman, R. (2022). Short-Term Effect of Additional Daily Dietary Fibre Intake on Appetite, Satiety, Gastrointestinal Comfort, Acceptability, and Feasibility. Nutrients, 14(19), 4214. https://doi.org/10.3390/nu14194214

