Fat-to-Muscle Ratio Is Independently Associated with Hyperuricemia and a Reduced Estimated Glomerular Filtration Rate in Chinese Adults: The China National Health Survey
Abstract
1. Introduction
2. Materials and Methods
2.1. Study Population
2.2. Data Collection and Measurements
2.3. Definitions
2.4. Statistical Analyses
3. Results
3.1. Basic Characteristics
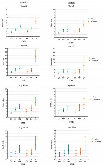
3.2. Fat-to-Muscle Ratio and Its Association with Hyperuricemia
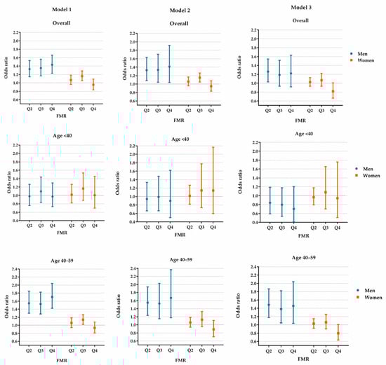
3.3. The Association between FMR and Reduced eGFR
3.4. The Mediation Analysis of the Association between FMR and Reduced eGFR
4. Discussion
5. Conclusions
Supplementary Materials
Author Contributions
Funding
Institutional Review Board Statement
Informed Consent Statement
Data Availability Statement
Acknowledgments
Conflicts of Interest
References
- Yanai, H.; Adachi, H.; Hakoshima, M.; Katsuyama, H. Molecular Biological and Clinical Understanding of the Pathophysiology and Treatments of Hyperuricemia and Its Association with Metabolic Syndrome, Cardiovascular Diseases and Chronic Kidney Disease. Int. J. Mol. Sci. 2021, 22, 9221. [Google Scholar] [CrossRef] [PubMed]
- Khanna, D.; Fitzgerald, J.D.; Khanna, P.P.; Bae, S.; Singh, M.K.; Neogi, T.; Pillinger, M.H.; Merill, J.; Lee, S.; Prakash, S.; et al. 2012 American College of Rheumatology guidelines for management of gout. Part 1: Systematic nonpharmacologic and pharmacologic therapeutic approaches to hyperuricemia. Arthritis. Care. Res. 2012, 64, 1431–1446. [Google Scholar] [CrossRef] [PubMed]
- He, H.; Pan, L.; Ren, X.; Wang, D.; Du, J.; Cui, Z.; Zhao, J.; Wang, H.; Wang, X.; Liu, F.; et al. The Effect of Body Weight and Alcohol Consumption on Hyperuricemia and Their Population Attributable Fractions: A National Health Survey in China. Obes. Facts. 2022, 15, 216–227. [Google Scholar] [CrossRef] [PubMed]
- Ejaz, A.A.; Nakagawa, T.; Kanbay, M.; Kuwabara, M.; Kumar, A.; Arroyo, F.E.G.; Jimenez, C.; Sasai, F.; Kang, D.; Jensen, T.; et al. Hyperuricemia in Kidney Disease: A Major Risk Factor for Cardiovascular Events, Vascular Calcification, and Renal Damage. Semin. Nephrol. 2020, 40, 574–585. [Google Scholar] [CrossRef]
- Park, J.H.; Jo, Y.; Lee, J. Renal effects of uric acid: Hyperuricemia and hypouricemia. Korean. J. Intern. Med. 2020, 35, 1291–1304. [Google Scholar] [CrossRef]
- Zhu, P.; Liu, Y.; Han, L.; Xu, G.; Ran, J.M. Serum uric acid is associated with incident chronic kidney disease in middle-aged populations: A meta-analysis of 15 cohort studies. PLoS ONE 2014, 9, e100801. [Google Scholar] [CrossRef]
- Levey, A.S.; Atkins, R.; Coresh, J.; Cohen, E.P.; Collins, A.J.; Eckardt, K.U.; Nahas, M.E.; Jaber, B.L.; Jadoul, M.; Levin, A.; et al. Chronic kidney disease as a global public health problem: Approaches and initiatives–a position statement from Kidney Disease Improving Global Outcomes. Kidney Int. 2007, 72, 247–259. [Google Scholar] [CrossRef]
- Rahimlu, M.; Shab-Bidar, S.; Djafarian, K. Body Mass Index and All-cause Mortality in Chronic Kidney Disease: A Dose–response Meta-analysis of Observational Studies. J. Renal Nutr. 2017, 27, 225–232. [Google Scholar] [CrossRef]
- He, H.; Guo, P.; He, J.; Zhang, J.; Niu, Y.; Niu, Y.; Chen, S.; Guo, F.; Liu, F.; Zhang, R.; et al. Prevalence of hyperuricemia and the population attributable fraction of modifiable risk factors: Evidence from a general population cohort in China. Front. Public Health 2022, 10, 936717. [Google Scholar] [CrossRef]
- He, H.; Pan, L.; Ren, X.; Wang, D.; Du, J.; Cui, Z.; Zhao, J.; Wang, H.; Wang, X.; Liu, F.; et al. Joint Effect of Beer, Spirits Intake, and Excess Adiposity on Hyperuricemia Among Chinese Male Adults: Evidence From the China National Health Survey. Front. Nutr. 2022, 9, 806751. [Google Scholar] [CrossRef]
- Ramírez-Vélez, R.; Carrillo, H.; Correa-Bautista, J.; Schmidt-RioValle, J.; González-Jiménez, E.; Correa-Rodríguez, M.; González-Ruíz, K.; García-Hermoso, A. Fat-to-Muscle Ratio: A New Anthropometric Indicator as a Screening Tool for Metabolic Syndrome in Young Colombian People. Nutrients 2018, 10, 1027. [Google Scholar] [CrossRef] [PubMed]
- Seo, Y.G.; Song, H.J.; Song, Y.R. Fat-to-muscle ratio as a predictor of insulin resistance and metabolic syndrome in Korean adults. J. Cachexia. Sarcopenia. Muscle 2020, 11, 710–725. [Google Scholar] [CrossRef] [PubMed]
- Cho, A.; Lee, J.; Kwon, Y. Fat-to-Muscle Ratios and the Non-Achievement of LDL Cholesterol Targets: Analysis of the Korean Genome and Epidemiology Study. J. Cardiovasc. Dev. Dis. 2021, 8, 96. [Google Scholar] [CrossRef] [PubMed]
- O’Riordan, P.; Stevens, P.E.; Lamb, E.J. Estimated glomerular filtration rate. BMJ 2014, 348, g264. [Google Scholar] [CrossRef] [PubMed]
- He, H.; Pan, L.; Pa, L.; Cui, Z.; Ren, X.; Wang, D.; Liu, F.; Wang, X.; Du, J.; Wang, H.; et al. Data Resource Profile: The China National Health Survey (CNHS). Int. J. Epidemiol. 2018, 47, 1734–1735f. [Google Scholar] [CrossRef] [PubMed]
- Ma, Y.; Zuo, L.; Chen, J.; Luo, Q.; Yu, X.; Li, Y.; Xu, J.; Huang, S.; Wang, L.; Huang, W.; et al. Modified Glomerular Filtration Rate Estimating Equation for Chinese Patients with Chronic Kidney Disease. J. Am. Soc. Nephrol. 2006, 17, 2937–2944. [Google Scholar] [CrossRef]
- Johnson, R.J.; Bakris, G.L.; Borghi, C.; Chonchol, M.B.; Feldman, D.; Lanaspa, M.A.; Merriman, T.R.; Moe, O.W.; Mount, D.B.; Sanchez Lozada, L.G.; et al. Hyperuricemia, Acute and Chronic Kidney Disease, Hypertension, and Cardiovascular Disease: Report of a Scientific Workshop Organized by the National Kidney Foundation. Am. J. Kidney Dis. 2018, 71, 851–865. [Google Scholar] [CrossRef]
- Kavsak, P.A.; Nouri, K. Low-risk cutoff of 90 ml/min/1.73 m2 for the estimated glomerular filtration rate and the importance of the equation for patients with acute coronary syndrome. Clin. Chim. Acta 2021, 523, 532–533. [Google Scholar] [CrossRef]
- Ndrepepa, G.; Holdenrieder, S.; Neumann, F.J.; Lahu, S.; Cassese, S.; Joner, M.; Xhepa, E.; Kufner, S.; Wiebe, J.; Laugwitz, K.L.; et al. Prognostic value of glomerular function estimated by Cockcroft-Gault creatinine clearance, MDRD-4, CKD-EPI and European Kidney Function Consortium equations in patients with acute coronary syndromes. Clin. Chim. Acta 2021, 523, 106–113. [Google Scholar] [CrossRef]
- Yu, C.; Ren, X.; Cui, Z.; Pan, L.; Zhao, H.; Sun, J.; Wang, Y.; Chang, L.; Cao, Y.; He, H.; et al. A diagnostic prediction model for hypertension in Han and Yugur population from the China National Health Survey (CNHS). Chinese Med. J.-Peking 2022. Publish Ahead of Print. [Google Scholar] [CrossRef]
- Joint Committee Issued Chinese Guideline for the Management of Dyslipidemia in Adults. Chinese guideline for the management of dyslipidemia in adults. Chin. J. Cardiol. 2007, 35, 390–419. [Google Scholar]
- Zhou, B.F. Predictive values of body mass index and waist circumference for risk factors of certain related diseases in Chinese adults—Study on optimal cut-off points of body mass index and waist circumference in Chinese adults. Biomed. Environ. Sci. 2002, 15, 83–96. [Google Scholar]
- Tomkinson, G.R.; Carver, K.D.; Atkinson, F.; Daniell, N.D.; Lewis, L.K.; Fitzgerald, J.S.; Lang, J.J.; Ortega, F.B. European normative values for physical fitness in children and adolescents aged 9–17 years: Results from 2 779 165 Eurofit performances representing 30 countries. Brit. J. Sport. Med. 2018, 52, 1445–1456. [Google Scholar] [CrossRef] [PubMed]
- He, H.; Pan, L.; Liu, F.; Ren, X.; Cui, Z.; Pa, L.; Zhao, J.; Wang, D.; Du, J.; Wang, H.; et al. The Mediation Effect of Body Composition on the Association Between Menopause and Hyperuricemia: Evidence From China National Health Survey. Front. Endocrinol. 2022, 13, 879384. [Google Scholar] [CrossRef] [PubMed]
- Liu, D.; Zhong, J.; Ruan, Y.; Zhang, Z.; Sun, J.; Chen, H. The association between fat-to-muscle ratio and metabolic disorders in type 2 diabetes. Diabetol. Metab. Syndr. 2021, 13, 129. [Google Scholar] [CrossRef] [PubMed]
- Wang, N.; Sun, Y.; Zhang, H.; Chen, C.; Wang, Y.; Zhang, J.; Xia, F.; Benedict, C.; Tan, X.; Lu, Y. Total and regional fat-to-muscle mass ratio measured by bioelectrical impedance and risk of incident type 2 diabetes. J. Cachexia. Sarcopenia. Muscle 2021, 12, 2154–2162. [Google Scholar] [CrossRef]
- Li, C.W.; Yu, K.; Shyh Chang, N.; Jiang, Z.; Liu, T.; Ma, S.; Luo, L.; Guang, L.; Liang, K.; Ma, W.; et al. Pathogenesis of sarcopenia and the relationship with fat mass: Descriptive review. J. Cachexia. Sarcopenia. Muscle 2022, 13, 781–794. [Google Scholar] [CrossRef]
- Madero, M.; Katz, R.; Murphy, R.; Newman, A.; Patel, K.; Ix, J.; Peralta, C.; Satterfield, S.; Fried, L.; Shlipak, M.; et al. Comparison between Different Measures of Body Fat with Kidney Function Decline and Incident CKD. Clin. J. Am. Soc. Nephrol. 2017, 12, 893–903. [Google Scholar] [CrossRef]
- Cancello, R.; Henegar, C.; Viguerie, N.; Taleb, S.; Poitou, C.; Rouault, C.; Coupaye, M.; Pelloux, V.; Hugol, D.; Bouillot, J.; et al. Reduction of macrophage infiltration and chemoattractant gene expression changes in white adipose tissue of morbidly obese subjects after surgery-induced weight loss. Diabetes 2005, 54, 2277–2286. [Google Scholar] [CrossRef]
- Volpato, S.; Bianchi, L.; Lauretani, F.; Lauretani, F.; Bandinelli, S.; Guralnik, J.M.; Zuliani, G.; Ferrucci, L. Role of Muscle Mass and Muscle Quality in the Association Between Diabetes and Gait Speed. Diabetes. Care 2012, 35, 1672–1679. [Google Scholar] [CrossRef]
- Wang, X.; Wang, H.; Li, J.; Gao, X.; Han, Y.; Teng, W.; Shan, Z.; Lai, Y. Combined Effects of Dyslipidemia and High Adiposity on the Estimated Glomerular Filtration Rate in a Middle-Aged Chinese Population. Diabetes. Metab. Syndr. Obes. 2021, 14, 4513–4522. [Google Scholar] [CrossRef] [PubMed]
- Lakkis, J.I.; Weir, M.R. Obesity and Kidney Disease. Prog. Cardiovasc. Dis. 2018, 61, 157–167. [Google Scholar] [CrossRef] [PubMed]
- Kim, B.; Park, H.; Kim, G.; Isobe, T.; Sakae, T.; Oh, S. Relationships of Fat and Muscle Mass with Chronic Kidney Disease in Older Adults: A Cross-Sectional Pilot Study. Int. J. Env. Res. Pub. He 2020, 17, 9124. [Google Scholar] [CrossRef] [PubMed]
- Carrero, J.J.; Hecking, M.; Chesnaye, N.C.; Jager, K.J. Sex and gender disparities in the epidemiology and outcomes of chronic kidney disease. Nat. Rev. Nephrol. 2018, 14, 151–164. [Google Scholar] [CrossRef] [PubMed]
- Johnson, R.J.; Nakagawa, T.; Jalal, D.; Sanchez-Lozada, L.G.; Kang, D.H.; Ritz, E. Uric acid and chronic kidney disease: Which is chasing which? Nephrol. Dial. Transpl. 2013, 28, 2221–2228. [Google Scholar] [CrossRef]
- Jordan, D.M.; Choi, H.K.; Verbanck, M.; Topless, R.; Won, H.; Nadkarni, G.; Merriman, T.R.; Do, R. No causal effects of serum urate levels on the risk of chronic kidney disease: A Mendelian randomization study. PLoS Med. 2019, 16, e1002725. [Google Scholar] [CrossRef]
- Sato, Y.; Feig, D.I.; Stack, A.G.; Kang, D.; Lanaspa, M.A.; Ejaz, A.A.; Sánchez-Lozada, L.G.; Kuwabara, M.; Borghi, C.; Johnson, R.J. The case for uric acid-lowering treatment in patients with hyperuricaemia and CKD. Nat. Rev. Nephrol. 2019, 15, 767–775. [Google Scholar] [CrossRef]




| Men (n = 12523) | Women (n = 18648) | |||||||||||||||
|---|---|---|---|---|---|---|---|---|---|---|---|---|---|---|---|---|
| HUA | Non-HUA | Reduced eGFR | Non-Reduced eGFR | HUA | Non-HUA | Reduced eGFR | Non-Reduced eGFR | |||||||||
| Age (n, %) | ||||||||||||||||
| 20− | 371 | 12.02 | 913 | 9.66 | 164 | 3.80 | 1120 | 13.66 | 156 | 7.24 | 1846 | 11.19 | 132 | 2.29 | 1870 | 14.52 |
| 30− | 596 | 19.30 | 1402 | 14.86 | 438 | 10.13 | 1560 | 19.02 | 197 | 9.14 | 2852 | 17.29 | 418 | 7.24 | 2631 | 20.43 |
| 40− | 798 | 25.85 | 2368 | 25.10 | 1001 | 23.16 | 2165 | 26.40 | 375 | 17.39 | 4612 | 27.97 | 1300 | 22.53 | 3687 | 28.63 |
| 50− | 706 | 22.87 | 2419 | 25.64 | 1161 | 26.86 | 1964 | 23.95 | 646 | 29.96 | 3987 | 24.18 | 1727 | 29.92 | 2906 | 22.57 |
| 60− | 446 | 14.45 | 1705 | 18.07 | 1050 | 24.29 | 1101 | 13.42 | 553 | 25.65 | 2426 | 14.71 | 1524 | 26.41 | 1455 | 11.30 |
| 70–80 | 170 | 5.51 | 629 | 6.67 | 508 | 11.76 | 291 | 3.55 | 229 | 10.62 | 769 | 4.66 | 670 | 11.61 | 328 | 2.55 |
| Urban (n, %) | 2208 | 71.53 | 5637 | 59.74 | 3144 | 72.74 | 4701 | 57.32 | 1542 | 71.52 | 10525 | 63.82 | 4164 | 72.15 | 7903 | 61.37 |
| Rural (n, %) | 879 | 28.47 | 3795 | 40.22 | 1176 | 27.21 | 3498 | 42.65 | 613 | 28.43 | 5959 | 36.13 | 1602 | 27.76 | 4970 | 38.60 |
| Education (n, %) | ||||||||||||||||
| Illiterate/elementary school | 437 | 14.16 | 1821 | 19.30 | 840 | 19.44 | 1418 | 17.29 | 783 | 36.32 | 4851 | 29.41 | 2173 | 37.65 | 3461 | 26.88 |
| High school | 1519 | 49.21 | 4909 | 52.02 | 2101 | 48.61 | 4327 | 52.76 | 962 | 44.62 | 7611 | 46.15 | 2538 | 43.98 | 6035 | 46.87 |
| College or higher | 1123 | 36.38 | 2696 | 28.57 | 1373 | 31.77 | 2446 | 29.83 | 407 | 18.88 | 4005 | 24.28 | 1053 | 18.25 | 3359 | 26.09 |
| Smoking (n, %) | ||||||||||||||||
| Never | 1005 | 32.56 | 2885 | 30.57 | 1370 | 31.70 | 2520 | 30.73 | 2070 | 96.01 | 16112 | 97.70 | 5597 | 96.98 | 12585 | 97.73 |
| Quit | 541 | 17.53 | 1493 | 15.82 | 912 | 21.10 | 1122 | 13.68 | 28 | 1.30 | 73 | 0.44 | 40 | 0.69 | 61 | 0.47 |
| Current | 1538 | 49.82 | 5057 | 53.59 | 2038 | 47.15 | 4557 | 55.57 | 58 | 2.69 | 304 | 1.84 | 134 | 2.32 | 228 | 1.77 |
| Alcohol drink (n, %) | ||||||||||||||||
| Never | 547 | 17.72 | 2583 | 27.37 | 1086 | 25.13 | 2044 | 24.92 | 1767 | 81.96 | 13602 | 82.48 | 4733 | 82.01 | 10636 | 82.60 |
| Quit | 319 | 10.33 | 955 | 10.12 | 596 | 13.79 | 678 | 8.27 | 55 | 2.55 | 317 | 1.92 | 168 | 2.91 | 204 | 1.58 |
| Current | 2220 | 71.91 | 5878 | 62.29 | 2636 | 60.99 | 5462 | 66.60 | 334 | 15.49 | 2561 | 15.53 | 867 | 15.02 | 2028 | 15.75 |
| BMI (mean, SD) | 25.89 | 3.50 | 23.92 | 3.37 | 24.71 | 3.27 | 24.25 | 3.61 | 25.81 | 3.76 | 23.38 | 3.44 | 24.12 | 3.38 | 23.45 | 3.62 |
| <24 (n, %) | 863 | 27.95 | 4882 | 51.74 | 1793 | 41.49 | 3952 | 48.19 | 685 | 31.77 | 9921 | 60.15 | 2950 | 51.12 | 7656 | 59.45 |
| 24− (n, %) | 1457 | 47.20 | 3516 | 37.26 | 1866 | 43.17 | 3107 | 37.89 | 921 | 42.72 | 4962 | 30.09 | 2073 | 35.92 | 3810 | 29.59 |
| 28− (n, %) | 767 | 24.85 | 1038 | 11.00 | 663 | 15.34 | 1142 | 13.92 | 550 | 25.51 | 1609 | 9.76 | 748 | 12.96 | 1411 | 10.96 |
| FM (Mean, SD) | 18.17 | 6.06 | 14.55 | 5.74 | 16.08 | 5.61 | 15.11 | 6.21 | 23.32 | 7.21 | 18.77 | 6.27 | 20.14 | 6.25 | 18.92 | 6.64 |
| MM (Mean, SD) | 53.20 | 6.36 | 50.52 | 5.87 | 51.18 | 5.97 | 51.19 | 6.18 | 37.35 | 3.55 | 36.43 | 3.42 | 36.54 | 3.44 | 36.54 | 3.45 |
| FMR (n, %) | ||||||||||||||||
| Q1 | 337 | 10.92 | 2780 | 29.46 | 804 | 18.60 | 2313 | 28.20 | 167 | 7.75 | 4491 | 27.23 | 1057 | 18.32 | 3601 | 27.96 |
| Q2 | 617 | 19.99 | 2529 | 26.80 | 1097 | 25.38 | 2049 | 24.99 | 348 | 16.14 | 4308 | 26.12 | 1362 | 23.60 | 3294 | 25.58 |
| Q3 | 917 | 29.70 | 2215 | 23.48 | 1176 | 27.21 | 1956 | 23.85 | 568 | 26.34 | 4105 | 24.89 | 1642 | 28.45 | 3031 | 23.54 |
| Q4 | 1216 | 39.39 | 1912 | 20.26 | 1245 | 28.81 | 1883 | 22.96 | 1073 | 49.77 | 3588 | 21.76 | 1710 | 29.63 | 2951 | 22.92 |
| SUA (mean, SD) | 484.03 | 58.54 | 330.69 | 55.40 | 397.94 | 88.47 | 353.00 | 81.65 | 410.30 | 50.72 | 262.30 | 49.86 | 311.20 | 72.92 | 265.19 | 61.81 |
| eGFR (M, IQR) | 89.57 | 24.28 | 99.40 | 24.69 | 80.64 | 11.90 | 105.78 | 19.57 | 85.92 | 26.80 | 101.49 | 27.50 | 80.63 | 12.20 | 108.49 | 22.63 |
| OR | 95% CI | ||
|---|---|---|---|
| Total effect | 1.255 | 1.084 | 1.426 |
| Natural direct effect (NDE) | 1.166 | 1.008 | 1.323 |
| Natural indirect effect (NIE) | 1.077 | 1.052 | 1.102 |
| % Mediated | 35.11 | 14.98 | 55.24 |
Publisher’s Note: MDPI stays neutral with regard to jurisdictional claims in published maps and institutional affiliations. |
© 2022 by the authors. Licensee MDPI, Basel, Switzerland. This article is an open access article distributed under the terms and conditions of the Creative Commons Attribution (CC BY) license (https://creativecommons.org/licenses/by/4.0/).
Share and Cite
He, H.; Pan, L.; Wang, D.; Liu, F.; Du, J.; Pa, L.; Wang, X.; Cui, Z.; Ren, X.; Wang, H.; et al. Fat-to-Muscle Ratio Is Independently Associated with Hyperuricemia and a Reduced Estimated Glomerular Filtration Rate in Chinese Adults: The China National Health Survey. Nutrients 2022, 14, 4193. https://doi.org/10.3390/nu14194193
He H, Pan L, Wang D, Liu F, Du J, Pa L, Wang X, Cui Z, Ren X, Wang H, et al. Fat-to-Muscle Ratio Is Independently Associated with Hyperuricemia and a Reduced Estimated Glomerular Filtration Rate in Chinese Adults: The China National Health Survey. Nutrients. 2022; 14(19):4193. https://doi.org/10.3390/nu14194193
Chicago/Turabian StyleHe, Huijing, Li Pan, Dingming Wang, Feng Liu, Jianwei Du, Lize Pa, Xianghua Wang, Ze Cui, Xiaolan Ren, Hailing Wang, and et al. 2022. "Fat-to-Muscle Ratio Is Independently Associated with Hyperuricemia and a Reduced Estimated Glomerular Filtration Rate in Chinese Adults: The China National Health Survey" Nutrients 14, no. 19: 4193. https://doi.org/10.3390/nu14194193
APA StyleHe, H., Pan, L., Wang, D., Liu, F., Du, J., Pa, L., Wang, X., Cui, Z., Ren, X., Wang, H., Peng, X., Zhao, J., & Shan, G. (2022). Fat-to-Muscle Ratio Is Independently Associated with Hyperuricemia and a Reduced Estimated Glomerular Filtration Rate in Chinese Adults: The China National Health Survey. Nutrients, 14(19), 4193. https://doi.org/10.3390/nu14194193

