A Method for Estimating 24 h Urinary Sodium and Potassium Excretion by Spot Urine Specimen in Stroke Patients
Abstract
1. Introduction
2. Materials and Methods
2.1. Study Participants
2.2. Data and Sample Collection
2.3. Laboratory Testing
2.4. Sample Size Calculation
2.5. Formula Establishment and Validation
2.6. Statistical Analysis
3. Results
3.1. Participant Enrollment and Basic Clinical Characteristics
3.2. Establishment of the New Formula for Estimating 24UNaV and 24UKV
3.3. Validity Comparison of the New Formula and other Published Formulas at Population Level
3.4. Comparison of the New Formula and other Published Formulas at the Individual Level
4. Discussion
5. Conclusions
Supplementary Materials
Author Contributions
Funding
Institutional Review Board Statement
Informed Consent Statement
Data Availability Statement
Acknowledgments
Conflicts of Interest
Abbreviations
References
- Owolabi, M.O.; Thrift, A.G.; Mahal, A.; Ishida, M.; Martins, S.; Johnson, W.D.; Pandian, J.; Abd-Allah, F.; Yaria, J.; Phan, H.T.; et al. Primary stroke prevention worldwide: Translating evidence into action. Lancet Public Health 2022, 7, e74–e85. [Google Scholar] [CrossRef]
- Mei, Y.X.; Zhang, Z.X.; Wu, H.; Hou, J.; Liu, X.T.; Sang, S.X.; Mao, Z.X.; Zhang, W.H.; Yang, D.B.; Wang, C.J. Health-Related Quality of Life and Its Related Factors in Survivors of Stroke in Rural China: A Large-Scale Cross-Sectional Study. Front. Public Health 2022, 10, 810185. [Google Scholar] [CrossRef] [PubMed]
- Chen, J.; Zhu, Q.; Yu, L.; Li, Y.; Jia, S.; Zhang, J. Stroke Risk Factors of Stroke Patients in China: A Nationwide Community-Based Cross-Sectional Study. Int. J. Environ. Res. Public Health 2022, 19, 4807. [Google Scholar] [CrossRef] [PubMed]
- Wang, Y.J.; Yeh, T.L.; Shih, M.C.; Tu, Y.K.; Chien, K.L. Dietary Sodium Intake and Risk of Cardiovascular Disease: A Systematic Review and Dose-Response Meta-Analysis. Nutrients 2020, 12, 2934. [Google Scholar] [CrossRef] [PubMed]
- Liu, W.; Huang, X.; Liu, X.; Wang, L.; Chen, Z.; Ortega, D.; Chen, L.; Sun, J.; Hatsukami, T.S.; Yuan, C.; et al. Urinary sodium and potassium excretion and cerebrovascular health: A multimodal imaging study. Eur. J. Nutr. 2021, 60, 4555–4563. [Google Scholar] [CrossRef] [PubMed]
- Tan, M.; He, F.J.; Wang, C.; MacGregor, G.A. Twenty-Four-Hour Urinary Sodium and Potassium Excretion in China: A Systematic Review and Meta-Analysis. J. Am. Heart Assoc. 2019, 8, e012923. [Google Scholar] [CrossRef]
- Meyer, H.E.; Johansson, L.; Eggen, A.E.; Johansen, H.; Holvik, K. Sodium and Potassium Intake Assessed by Spot and 24-h Urine in the Population-Based Tromsø Study 2015–2016. Nutrients 2019, 11, 1619. [Google Scholar] [CrossRef]
- Du, S.; Wang, H.; Zhang, B.; Popkin, B.M. Dietary Potassium Intake Remains Low and Sodium Intake Remains High, and Most Sodium is Derived from Home Food Preparation for Chinese Adults, 1991–2015 Trends. J. Nutr. 2020, 150, 1230–1239. [Google Scholar] [CrossRef]
- D’Elia, L.; Barba, G.; Cappuccio, F.P.; Strazzullo, P. Potassium intake, stroke, and cardiovascular disease a meta-analysis of prospective studies. J. Am. Coll. Cardiol. 2011, 57, 1210–1219. [Google Scholar] [CrossRef]
- Strazzullo, P.; D’Elia, L.; Kandala, N.B.; Cappuccio, F.P. Salt intake, stroke, and cardiovascular disease: Meta-analysis of prospective studies. BMJ 2009, 339, b4567. [Google Scholar] [CrossRef]
- Cappuccio, F.P.; Campbell, N.R.C.; He, F.J.; Jacobson, M.F.; MacGregor, G.A.; Antman, E.; Appel, L.J.; Arcand, J.; Blanco-Metzler, A.; Cook, N.R.; et al. Sodium and Health: Old Myths and a Controversy Based on Denial. Curr. Nutr. Rep. 2022, 11, 172–184. [Google Scholar] [CrossRef] [PubMed]
- Cappuccio, F.P.; Beer, M.; Strazzullo, P. Population dietary salt reduction and the risk of cardiovascular disease. A scientific statement from the European Salt Action Network. Nutr. Metab. Cardiovasc. Dis. 2018, 29, 107–114. [Google Scholar] [CrossRef]
- Kawasaki, T.; Itoh, K.; Uezono, K.; Sasaki, H. A simple method for estimating 24 h urinary sodium and potassium excretion from second morning voiding urine specimen in adults. Clin. Exp. Pharmacol. Physiol. 1993, 20, 7–14. [Google Scholar] [CrossRef]
- Tanaka, T.; Okamura, T.; Miura, K.; Kadowaki, T.; Ueshima, H.; Nakagawa, H.; Hashimoto, T. A simple method to estimate populational 24-h urinary sodium and potassium excretion using a casual urine specimen. J. Hum. Hypertens. 2002, 16, 97–103. [Google Scholar] [CrossRef]
- Ji, C.; Miller, M.A.; Venezia, A.; Strazzullo, P.; Cappuccio, F.P. Comparisons of spot vs 24-h urine samples for estimating population salt intake: Validation study in two independent samples of adults in Britain and Italy. Nutr. Metab. Cardiovasc. Dis. 2014, 24, 140–147. [Google Scholar] [CrossRef] [PubMed]
- Ginos, B.N.R.; Engberink, R. Estimation of Sodium and Potassium Intake: Current Limitations and Future Perspectives. Nutrients 2020, 12, 3275. [Google Scholar] [CrossRef] [PubMed]
- Sun, Y.; Wang, H.; Liang, H.; Yuan, Y.; Shu, C.; Zhang, Y.; Zhu, Y.; Yu, M.; Hu, S.; Sun, N. A Method for Estimating 24-Hour Urinary Sodium Excretion by Casual Urine Specimen in Chinese Hypertensive Patients. Am. J. Hypertens. 2021, 34, 718–728. [Google Scholar] [CrossRef]
- Polonia, J.; Lobo, M.F.; Martins, L.; Pinto, F.; Nazare, J. Estimation of populational 24-h urinary sodium and potassium excretion from spot urine samples: Evaluation of four formulas in a large national representative population. J. Hypertens 2017, 35, 477–486. [Google Scholar] [CrossRef]
- Jędrusik, P.; Symonides, B.; Gaciong, Z. Estimation of 24-hour urinary sodium, potassium, and creatinine excretion in patients with hypertension: Can spot urine measurements replace 24-hour urine collection? Pol. Arch. Intern. Med. 2019, 129, 506–515. [Google Scholar]
- Brown, I.J.; Dyer, A.R.; Chan, Q.; Cogswell, M.E.; Ueshima, H.; Stamler, J.; Elliott, P. Estimating 24-hour urinary sodium excretion from casual urinary sodium concentrations in Western populations: The INTERSALT study. Am. J. Epidemiol. 2013, 177, 1180–1192. [Google Scholar] [CrossRef]
- Qian, N.; Jiang, Y.; Wang, Y.; Yan, P.; Yao, F.; Sun, M.; Liu, X.; Zhang, Y.; Cheng, Y.; Lu, Y.; et al. Validity of five formulas in estimating 24-h urinary sodium via spot urine sampling in hypertensive patients living in Northeast China. J. Hypertens 2021, 39, 1326–1332. [Google Scholar] [CrossRef] [PubMed]
- Xu, J.; Du, X.; Bai, Y.; Fang, L.; Liu, M.; Ji, N.; Zhong, J.; Yu, M.; Wu, J. Assessment and validation of spot urine in estimating the 24-h urinary sodium, potassium, and sodium/potassium ratio in Chinese adults. J. Hum. Hypertens 2020, 34, 184–192. [Google Scholar] [CrossRef] [PubMed]
- Peng, Y.; Li, W.; Wang, Y.; Chen, H.; Bo, J.; Wang, X.; Liu, L. Validation and Assessment of Three Methods to Estimate 24-h Urinary Sodium Excretion from Spot Urine Samples in Chinese Adults. PLoS ONE 2016, 11, e0149655. [Google Scholar] [CrossRef] [PubMed]
- Ma, W.; Yin, X.; Zhang, R.; Liu, F.; Yang, D.; Fan, Y.; Rong, J.; Tian, M.; Yu, Y. Validation and Assessment of Three Methods to Estimate 24-h Urinary Sodium Excretion from Spot Urine Samples in High-Risk Elder Patients of Stroke from the Rural Areas of Shaanxi Province. Int. J. Environ. Res. Public Health 2017, 14, 1211. [Google Scholar] [CrossRef]
- Cogswell, M.E.; Wang, C.Y.; Chen, T.C.; Pfeiffer, C.M.; Elliott, P.; Gillespie, C.D.; Carriquiry, A.L.; Sempos, C.T.; Liu, K.; Perrine, C.G.; et al. Validity of predictive equations for 24-h urinary sodium excretion in adults aged 18–39 y. Am. J. Clin. Nutr. 2013, 98, 1502–1513. [Google Scholar] [CrossRef]
- Neal, B.; Tian, M.; Li, N.; Elliott, P.; Yan, L.L.; Labarthe, D.R.; Huang, L.; Yin, X.; Hao, Z.; Stepien, S.; et al. Rationale, design, and baseline characteristics of the Salt Substitute and Stroke Study (SSaSS)-A large-scale cluster randomized controlled trial. Am. Heart J. 2017, 188, 109–117. [Google Scholar] [CrossRef]
- Zhao, Y.; Liu, W.; Liu, S.; Li, X.; Yin, T.; Liu, X.; Wang, F.; Chang, X.; Zhang, T.; Tian, M.; et al. Estimating 24-h urinary sodium excretion from casual spot urine specimen among hypertensive patients in Northwest China: The Salt Substitute and Stroke Study. Public Health Nutr. 2020, 24, 1–7. [Google Scholar] [CrossRef]
- Zhang, Y.; Peng, Y.; Li, K.; Peng, X. Assessing whether a spot urine specimen can predict 24-h urinary sodium excretion accurately: A validation study. J. Hypertens 2019, 37, 99–108. [Google Scholar] [CrossRef]
- Mercado, C.I.; Cogswell, M.E.; Loria, C.M.; Liu, K.; Allen, N.; Gillespie, C.; Wang, C.Y.; de Boer, I.H.; Wright, J. Validity of predictive equations for 24-h urinary potassium excretion based on timing of spot urine collection among adults: The MESA and CARDIA Urinary Sodium Study and NHANES Urinary Sodium Calibration Study. Am. J. Clin. Nutr. 2018, 108, 532–547. [Google Scholar] [CrossRef]
- Peng, Y. The exploratory and application study of estimation method of 24-hour urinary sodium excretion by using spot urine for chinese population. J. Hypertens. 2016, 34, e93–e94. [Google Scholar] [CrossRef]
- Koo, T.K.; Li, M.Y. A Guideline of Selecting and Reporting Intraclass Correlation Coefficients for Reliability Research. J. Chiropr. Med. 2016, 15, 155–163. [Google Scholar] [CrossRef] [PubMed]
- Diedenhofen, B.; Musch, J. Cocor: A comprehensive solution for the statistical comparison of correlations. PLoS ONE 2015, 10, e0121945. [Google Scholar] [CrossRef]
- Nerbass, F.B.; Pecoits-Filho, R.; McIntyre, N.J.; McIntyre, C.W.; Taal, M.W. Development of a formula for estimation of sodium intake from spot urine in people with chronic kidney disease. Nephron. Clin. Pract. 2014, 128, 61–66. [Google Scholar] [CrossRef] [PubMed]
- Nie, X.; Peng, Y.; Cai, S.; Wu, Z.; Zhang, Y.; Li, K.; Yu, Y.; Peng, X. Accuracy of equations for predicting 24-h urinary potassium excretion from spot urine samples in Chinese children. Br. J. Nutr. 2021, 128, 1–9. [Google Scholar] [CrossRef] [PubMed]
- Xu, J.; Zhang, J.; Liu, M.; Bai, Y.; Guo, X.; Dong, J.; Xu, A.; Wu, J. Estimating 24-Hour Sodium Excretion from Spot Urine Samples in Chinese Adults: Can Spot Urine Substitute 24-Hour Urine Samples? Nutrients 2020, 12, 798. [Google Scholar] [CrossRef] [PubMed]
- Donfrancesco, C.; Lo Noce, C.; Russo, O.; Minutoli, D.; Di Lonardo, A.; Profumo, E.; Buttari, B.; Iacone, R.; Vespasiano, F.; Vannucchi, S.; et al. Trend of salt intake measured by 24-h urine collection in the Italian adult population between the 2008 and 2018 CUORE project surveys. Nutr. Metab. Cardiovasc. Dis. 2021, 31, 802–813. [Google Scholar] [CrossRef]
- Groenland, E.H.; Vendeville, J.P.; Bots, M.L.; de Borst, G.J.; Nathoe, H.M.; Ruigrok, Y.M.; Blankestijn, P.J.; Visseren, F.L.J.; Spiering, W. The relation between urinary sodium and potassium excretion and risk of cardiovascular events and mortality in patients with cardiovascular disease. PLoS ONE 2022, 17, e0265429. [Google Scholar] [CrossRef]
- O’Donnell, M.; Mente, A.; Rangarajan, S.; McQueen, M.J.; O’Leary, N.; Yin, L.; Liu, X.; Swaminathan, S.; Khatib, R.; Rosengren, A.; et al. Joint association of urinary sodium and potassium excretion with cardiovascular events and mortality: Prospective cohort study. BMJ 2019, 364, l772. [Google Scholar] [CrossRef]
- Sari DW, Noguchi-Watanabe M, Sasaki S, Sahar J, Yamamoto-Mitani N: Estimation of sodium and potassium intakes assessed by two 24-hour urine collections in a city of Indonesia. Br. J. Nutr. 2021, 126, 1537–1548. [CrossRef]
- Galletti, F.; Agabiti-Rosei, E.; Bernini, G.; Boero, R.; Desideri, G.; Fallo, F.; Mallamaci, F.; Morganti, A.; Castellano, M.; Nazzaro, P.; et al. Excess dietary sodium and inadequate potassium intake by hypertensive patients in Italy: Results of the MINISAL-SIIA study program. J. Hypertens 2014, 32, 48–56. [Google Scholar] [CrossRef]
- Venezia, A.; Barba, G.; Russo, O.; Capasso, C.; De Luca, V.; Farinaro, E.; Cappuccio, F.P.; Galletti, F.; Rossi, G.; Strazzullo, P. Dietary sodium intake in a sample of adult male population in southern Italy: Results of the Olivetti Heart Study. Eur. J. Clin. Nutr. 2010, 64, 518–524. [Google Scholar] [CrossRef] [PubMed][Green Version]
- Iwahori, T.; Miura, K.; Ueshima, H.; Chan, Q.; Dyer, A.R.; Elliott, P.; Stamler, J. Estimating 24-h urinary sodium/potassium ratio from casual (‘spot’) urinary sodium/potassium ratio: The INTERSALT Study. Int. J. Epidemiol. 2017, 46, 1564–1572. [Google Scholar] [CrossRef] [PubMed]
- Asakura, K.; Uechi, K.; Sasaki, Y.; Masayasu, S.; Sasaki, S. Estimation of sodium and potassium intakes assessed by two 24 h urine collections in healthy Japanese adults: A nationwide study. Br. J. Nutr. 2014, 112, 1195–1205. [Google Scholar] [CrossRef]
- Zhang, X.; Liao, H.; Ye, R.; Li, X.; Gou, Q.; Zhang, Z.; Shi, R.; Meng, Q.; Zhuoma, Z.; Zhang, H.; et al. Assessment and validation of three spot urine assay methods for the estimation of 24-hour urinary sodium excretion in Chinese Tibetan adults living in the mountains. J. Clin. Hypertens 2021, 23, 1588–1598. [Google Scholar] [CrossRef] [PubMed]
- Sumikama, Y.; Aoyama, H.; Isu, N.; Nagata, M.; Kato, T.; Tsukahara, T. Development of a Method for Estimating Dietary Salt Intake Using the Overnight Urinary Sodium/Potassium Ratio. J. Clin. Med. Res. 2021, 13, 479–486. [Google Scholar] [CrossRef] [PubMed]
- Sallsten, G.; Barregard, L. Variability of Urinary Creatinine in Healthy Individuals. Int. J. Environ. Res. Public Health 2021, 18, 3166. [Google Scholar] [CrossRef] [PubMed]
- Klante, G.; Brinschwitz, T.; Secci, K.; Wollnik, F.; Steinlechner, S. Creatinine is an appropriate reference for urinary sulphatoxymelatonin of laboratory animals and humans. J. Pineal. Res. 1997, 23, 191–197. [Google Scholar] [CrossRef] [PubMed]



| Characteristics | Mean ± SD, n(%) | |||
|---|---|---|---|---|
| Entire Cohort (n = 970) | Training Cohort (n = 689) | Testing Cohort (n = 281) | p-Value | |
| Sex, male | 531 (54.74) | 389 (56.46) | 142 (50.53) | 0.093 |
| Age (years) | 64.53 ± 7.87 | 64.43 ± 7.92 | 64.76 ± 7.75 | 0.557 |
| BMI (kg/m2) | 24.85 ± 3.44 | 24.73 ± 3.39 | 25.14 ± 3.53 | 0.086 |
| Systolic BP (mmHg) | 146.19 ± 21.32 | 146.48 ± 21.67 | 145.48 ± 20.48 | 0.507 |
| Diastolic BP (mmHg) | 85.70 ± 12.90 | 86.03 ± 13.40 | 84.87 ± 11.56 | 0.175 |
| Spot urinary analysis | ||||
| Potassium (mmol/L) | 55.79 ± 36.09 | 56.90 ± 37.58 | 53.06 ± 32.05 | 0.108 |
| Sodium (mmol/L) | 131.85 ± 62.88 | 132.53 ± 63.82 | 130.16 ± 60.58 | 0.594 |
| Creatinine (mmol/L) | 8.93 ± 5.60 | 9.05 ± 5.78 | 8.65 ± 5.15 | 0.315 |
| 24 h urinary analysis | ||||
| Total urine volume (L) | 1.60 ± 6.00 | 1.61 ± 0.62 | 1.58 ± 0.56 | 0.445 |
| Potassium (mmol/day) | 45.95 ± 21.02 | 46.59 ± 21.42 | 44.38 ± 19.93 | 0.138 |
| Sodium (mmol/day) | 184.94 ± 72.80 | 186.69 ± 74.79 | 180.66 ± 67.61 | 0.242 |
| Creatinine (mmol/day) | 8.03 ± 2.56 | 8.11 ± 2.62 | 7.85 ± 2.41 | 0.154 |
| Variables | Male | Variables | Female | ||||||
|---|---|---|---|---|---|---|---|---|---|
| β | Standard Error | Student’s t Test | p-Value | β | Standard Error | Student’s t Test | p-Value | ||
| Sodium | |||||||||
| Constant | 41.492 | 44.655 | 0.929 | 0.353 | Constant | 147.159 | 45.611 | 3.226 | 0.001 |
| Age (years) | −0.191 | 0.450 | −0.424 | 0.672 | Age (years) | −1.030 | 0.512 | −2.012 | 0.045 |
| BMI (kg/m2) | 4.349 | 1.120 | 3.885 | 0.000 | BMI (kg/m2) | 2.011 | 1.065 | 1.887 | 0.060 |
| Spot Na (mmol/L) | 0.229 | 0.058 | 3.943 | 0.000 | Spot Na (mmol/L) | 0.143 | 0.066 | 2.168 | 0.031 |
| Spot Na/spot Cr | 1.744 | 0.343 | 5.085 | 0.000 | Spot Na/spot Cr | 1.035 | 0.253 | 4.095 | 0.000 |
| Potassium | |||||||||
| Constant | −1.035 | 10.898 | −0.095 | 0.924 | Constant | 4.318 | 11.222 | 0.385 | 0.701 |
| Age (years) | −0.052 | 0.100 | −0.515 | 0.607 | Age (years) | −0.235 | 0.114 | −2.072 | 0.039 |
| BMI (kg/m2) | 0.410 | 0.249 | 1.647 | 0.100 | BMI (kg/m2) | 0.530 | 0.237 | 2.239 | 0.026 |
| Spot K (mmol/L) | 0.031 | 0.032 | 0.968 | 0.334 | Spot K (mmol/L) | 0.040 | 0.031 | 1.281 | 0.201 |
| Ln (spot K/spot Cr) | 33.280 | 2.330 | 14.281 | 0.000 | Ln (spot K/spot Cr) | 30.990 | 2.509 | 12.352 | 0.000 |
| Ln (spot Na/spot Cr) | −5.789 | 1.826 | −3.170 | 0.002 | Ln (spot Na/spot Cr) | −7.837 | 1.762 | −4.449 | 0.000 |
| Method | Urine Sample | Formula for Estimating 24 h Urinary Excretion (mmol/day) |
|---|---|---|
| Sodium | ||
| Kawasaki [13] | Second morning urine | 16.30 × (spot Na (mmol/L)/spot Cr (mg/L) × PrUCr24h (mg/day)) 0.5 PrUCr24h(mg/day) = 15.12 × Weight (kg) + 7.39 × Height (cm) − 12.63 × Age (years) − 79.90 (male) PrUCr24h(mg/day) = 8.58 × Weight (kg) + 5.09 × Height (cm) − 4.72 × Age (years) − 74.50 (Female) |
| INTERSALT [20] | Casual spot urine | (25.46 + 0.46 × spot Na (mmol/L)) − 2.75 × spot Cr (mmol/L) − 0.13 × spot K (mmol/L) + 4.10 × BMI (kg/m2) + 0.26 × Age (years) (Male) (5.07 + 0.34 × spot Na (mmol/L)) − 2.16 × spot Cr (mmol/L) − 0.09 × spot K (mmol/L) + 2.39 × BMI (kg/m2) + 2.35 × Age (years) − 0.03 × Age2 (years) (Female) |
| Tanaka [14] | Casual spot urine | 21.98 × (spot Na (mmol/L)/spot Cr (mg/L) × PrUCr24h (mg/day)) 0.392 PrUCr24h(mg/day) = 14.89 × Weight (kg) + 16.14 × Height (cm) − 2.04 × Age (years) − 2244.45 |
| Potassium | ||
| Kawasaki [13] | Second morning urine | 7.20 × (spot K (mmol/L)/spot Cr(mg/L) × PrUCr24h (mg/day)) 0.5 PrUCr24h(mg/day) = 15.12 × Weight (kg) + 7.39 × Height (cm) − 12.63 × Age (years) − 79.90 (male) PrUCr24h(mg/day) = 8.58 × Weight (kg) + 5.09 × Height (cm) − 4.72 × Age (years) − 74.50 (Female) |
| Tanaka [14] | Casual spot urine | 7.59 × (spot K (mmol/L)/spot Cr (mg/L) × PrUCr24h (mg/day))0.431 PrUCr24h (mg/day) = 14.89 × Weight (kg) + 16.14 × Height (cm) − 2.04 × Age (years) − 2244.45 |
| Formula | Mean ± SD (mmol/day) | Mean Bias (mmol/day, 95%CI) | Pearson’s r | ICC (95% CI) | P30 (%) |
|---|---|---|---|---|---|
| 24UNaV (mmol/day) | |||||
| Measured value | 180.66 ± 67.61 | Reference | Reference | Reference | Reference |
| New formula | 185.83 ± 32.40 | 5.17 (−1.93, 12.27) | 0.45 a | 0.35 (0.24, 0.45) a | 59.43 |
| Kawasaki | 218.68 ± 70.48 | 38.02 (28.91, 47.12) a,b | 0.37 a,b | 0.32 (0.16, 0.46) a | 49.47 |
| INTERSALT | 142.86 ± 44.64 | −37.80 (−45.35, 30.25) a,b | 0.40 a,b | 0.30 (0.11, 0.46) a | 50.53 |
| Tanaka | 169.33 ± 41.62 | −11.3 (−19.05, −3.61) a,b | 0.35 a,b | 0.31 (0.20, 0.41) a | 56.58 |
| 24UKV (mmol/day) | |||||
| Measured value | 44.38 ± 19.94 | Reference | Reference | Reference | Reference |
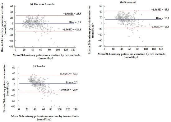
| New formula | 44.89 ± 14.84 | 0.85 (−0.80, 2.51) | 0.71 a | 0.69 (0.62, 0.75) a | 70.11 |
| Kawasaki | 58.04 ± 14.10 | 13.66 (11.85, 15.47) a,b | 0.64 a,b | 0.46 (0.05, 0.68) a,b | 38.79 b |
| Tanaka | 46.59 ± 9.80 | 2.21 (0.35, 4.08) a,b | 0.62 a,b | 0.49 (0.39, 0.57) a,b | 59.79 |
Publisher’s Note: MDPI stays neutral with regard to jurisdictional claims in published maps and institutional affiliations. |
© 2022 by the authors. Licensee MDPI, Basel, Switzerland. This article is an open access article distributed under the terms and conditions of the Creative Commons Attribution (CC BY) license (https://creativecommons.org/licenses/by/4.0/).
Share and Cite
Wu, B.; Yang, H.; Ren, X.; Qi, Z.; Tang, S.; Yin, X.; Huang, L.; Tian, M.; Wu, Y.; Feng, X.; et al. A Method for Estimating 24 h Urinary Sodium and Potassium Excretion by Spot Urine Specimen in Stroke Patients. Nutrients 2022, 14, 4105. https://doi.org/10.3390/nu14194105
Wu B, Yang H, Ren X, Qi Z, Tang S, Yin X, Huang L, Tian M, Wu Y, Feng X, et al. A Method for Estimating 24 h Urinary Sodium and Potassium Excretion by Spot Urine Specimen in Stroke Patients. Nutrients. 2022; 14(19):4105. https://doi.org/10.3390/nu14194105
Chicago/Turabian StyleWu, Beike, Hongmei Yang, Xinyu Ren, Zijing Qi, Shuai Tang, Xuejun Yin, Liping Huang, Maoyi Tian, Yangfeng Wu, Xiangxian Feng, and et al. 2022. "A Method for Estimating 24 h Urinary Sodium and Potassium Excretion by Spot Urine Specimen in Stroke Patients" Nutrients 14, no. 19: 4105. https://doi.org/10.3390/nu14194105
APA StyleWu, B., Yang, H., Ren, X., Qi, Z., Tang, S., Yin, X., Huang, L., Tian, M., Wu, Y., Feng, X., & Li, Z. (2022). A Method for Estimating 24 h Urinary Sodium and Potassium Excretion by Spot Urine Specimen in Stroke Patients. Nutrients, 14(19), 4105. https://doi.org/10.3390/nu14194105

