Zinc and Breast Cancer Survival: A Prospective Cohort Study of Dietary Intake and Serum Levels
Abstract
:1. Background
2. Materials and Methods
2.1. The Malmö Diet and Cancer Study
2.2. Study Population
2.3. Dietary Data
2.4. Laboratory Methods
2.5. Endpoint Retrieval
2.6. Clinical Information and Histopathological Analysis
2.7. Missing Values
2.8. Statistical Analyses
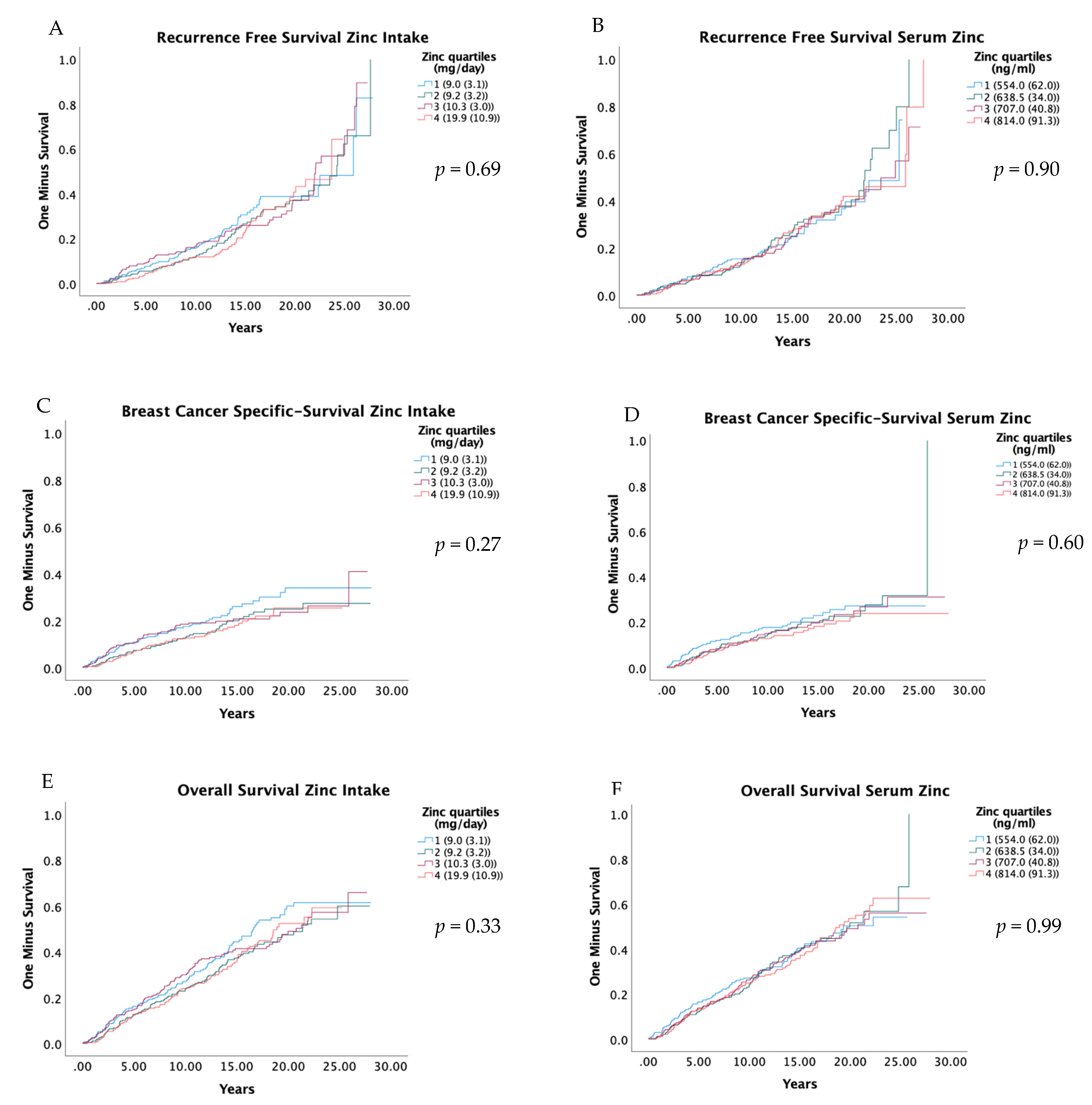
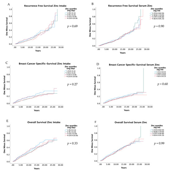
3. Results
4. Discussion
5. Conclusions
Supplementary Materials
Author Contributions
Funding
Institutional Review Board Statement
Informed Consent Statement
Data Availability Statement
Acknowledgments
Conflicts of Interest
References
- King, J.C.; Brown, K.H.; Gibson, R.S.; Krebs, N.F.; Lowe, N.M.; Siekmann, J.H.; Raiten, D.J. Biomarkers of Nutrition for Development (BOND)—Zinc Review. J. Nutr. 2015, 146, 858S–885S. [Google Scholar] [CrossRef] [PubMed] [Green Version]
- Jouybari, L.; Kiani, F.; Akbari, A.; Sanagoo, A.; Sayehmiri, F.; Aaseth, J.; Chartrand, M.S.; Sayehmiri, K.; Chirumbolo, S.; Bjørklund, G. A meta-analysis of zinc levels in breast cancer. J. Trace Elements Med. Biol. 2019, 56, 90–99. [Google Scholar] [CrossRef] [PubMed]
- Wu, X.; Tang, J.; Xie, M. Serum and hair zinc levels in breast cancer: A meta-analysis. Sci. Rep. 2015, 5, 12249. [Google Scholar] [CrossRef] [PubMed] [Green Version]
- Bengtsson, Y.; Sandsveden, M.; Borgquist, S.; Manjer, J. Serum zinc and dietary intake of zinc in relation to risk of different breast cancer subgroups and serum levels as a marker of intake: A prospective nested case-control study. Breast Cancer Res. Treat. 2021, 189, 571–583. [Google Scholar] [CrossRef]
- Alam, S.; Kelleher, S.L. Cellular Mechanisms of Zinc Dysregulation: A Perspective on Zinc Homeostasis as an Etiological Factor in the Development and Progression of Breast Cancer. Nutrients 2012, 4, 875–903. [Google Scholar] [CrossRef] [Green Version]
- Pisano, A.; Santolla, M.F.; De Francesco, E.M.; De Marco, P.; Rigiracciolo, D.C.; Perri, M.G.; Vivacqua, A.; Abonante, S.; Cappello, A.R.; Dolce, V.; et al. GPER, IGF-IR, and EGFR transduction signaling are involved in stimulatory effects of zinc in breast cancer cells and cancer-associated fibroblasts. Mol. Carcinog. 2017, 56, 580–593. [Google Scholar] [CrossRef]
- Taylor, K.M.; Vichova, P.; Jordan, N.; Hiscox, S.; Hendley, R.; Nicholson, R.I. ZIP7-Mediated Intracellular Zinc Transport Contributes to Aberrant Growth Factor Signaling in Antihormone-Resistant Breast Cancer Cells. Endocrinology 2008, 149, 4912–4920. [Google Scholar] [CrossRef] [Green Version]
- Kagara, N.; Tanaka, N.; Noguchi, S.; Hirano, T. Zinc and its transporter ZIP10 are involved in invasive behavior of breast cancer cells. Cancer Sci. 2007, 98, 692–697. [Google Scholar] [CrossRef]
- Lönnerdal, B. Dietary Factors Influencing Zinc Absorption. J. Nutr. 2000, 130 (Suppl. 5S), 1378S–1383S. [Google Scholar] [CrossRef]
- Yildiz, A.; Kaya, Y.; Tanriverdi, O. Effect of the Interaction Between Selenium and Zinc on DNA Repair in Association with Cancer Prevention. J. Cancer Prev. 2019, 24, 146–154. [Google Scholar] [CrossRef] [Green Version]
- Leone, N.; Courbon, D.; Ducimetiere, P.; Zureik, M. Zinc, Copper, and Magnesium and Risks for All-Cause, Cancer, and Cardiovascular Mortality. Epidemiology 2006, 17, 308–314. [Google Scholar] [CrossRef] [PubMed]
- Ito, Y.; Suzuki, K.; Sasaki, R.; Otani, M.; Aoki, K. Mortality Rates from Cancer or All Causes and SOD Activity Level and Zn/Cu Ratio in Peripheral Blood: Population-based Follow-up Study. J. Epidemiol. 2002, 12, 14–21. [Google Scholar] [CrossRef] [PubMed]
- Bates, C.J.; Hamer, M.; Mishra, G.D. Redox-modulatory vitamins and minerals that prospectively predict mortality in older British people: The National Diet and Nutrition Survey of people aged 65 years and over. Br. J. Nutr. 2011, 105, 123–132. [Google Scholar] [CrossRef] [PubMed] [Green Version]
- Wu, T.; Sempos, C.T.; Freudenheim, J.L.; Muti, P.; Smit, E. Serum iron, copper and zinc concentrations and risk of cancer mortality in US adults. Ann. Epidemiol. 2004, 14, 195–201. [Google Scholar] [CrossRef]
- Marniemi, J.; Järvisalo, J.; Toikka, T.; Räihä, I.; Ahotupa, M.; Sourander, L. Blood vitamins, mineral elements and inflammation markers as risk factors of vascular and non-vascular disease mortality in an elderly population. Int. J. Epidemiol. 1998, 27, 799–807. [Google Scholar] [CrossRef]
- Epstein, M.M.; Kasperzyk, J.L.; Andrén, O.; Giovannucci, E.L.; Wolk, A.; Håkansson, N.; Andersson, S.-O.; Johansson, J.-E.; Fall, K.; Mucci, L.A. Dietary zinc and prostate cancer survival in a Swedish cohort. Am. J. Clin. Nutr. 2011, 93, 586–593. [Google Scholar] [CrossRef] [Green Version]
- Shi, Z.; Chu, A.; Zhen, S.; Taylor, A.W.; Dai, Y.; Riley, M.; Samman, S. Association between dietary zinc intake and mortality among Chinese adults: Findings from 10-year follow-up in the Jiangsu Nutrition Study. Eur. J. Nutr. 2017, 57, 2839–2846. [Google Scholar] [CrossRef]
- Berglund, G.; Elmstahl, S.; Janzon, L.; Larsson, S.A. Design and feasibility. J. Intern. Med. 1993, 233, 45–51. [Google Scholar] [CrossRef]
- Manjer, J.; Elmstahl, S.; Janzon, L.; Berglund, G. Invitation to a population-based cohort study: Differences between subjects recruited using various strategies. Scand. J. Public Health 2002, 30, 103–112. [Google Scholar] [CrossRef]
- Manjer, J.; Carlsson, S.; Elmståhl, S.; Gullberg, B.; Janzon, L.; Lindström, M.; Mattisson, I.; Berglund, G. The Malmö diet and cancer study: Representativity, cancer incidence and mortality in participants and non-participants. Eur. J. Cancer Prev. 2001, 10, 489–499. [Google Scholar] [CrossRef] [Green Version]
- Bengtsson, Y.; Sandsveden, M.; Manjer, J. Risk of breast cancer in relation to dietary intake of selenium and serum selenium as a marker of dietary intake: A prospective cohort study within The Malmö Diet and Cancer Study. Cancer Causes Control 2021, 32, 815–826. [Google Scholar] [CrossRef] [PubMed]
- Wirfält, E.; Sonestedt, E. The Modified Diet History Methodology of the Malmö Diet Cancer Cohort. 2016. Available online: https://www.malmo-kohorter.lu.se/sites/malmo-kohorter.lu.se/files/mdc_diet_history.pdf (accessed on 15 September 2021).
- Almquist, M.; Bondeson, A.-G.; Bondeson, L.; Malm, J.; Manjer, J. Serum levels of vitamin D, PTH and calcium and breast cancer risk-a prospective nested case-control study. Int. J. Cancer 2010, 127, 2159–2168. [Google Scholar] [CrossRef] [PubMed]
- Butt, S.; Borgquist, S.; Anagnostaki, L.; Landberg, G.; Manjer, J. Breastfeeding in relation to risk of different breast cancer characteristics. BMC Res. Notes 2014, 7, 216. [Google Scholar] [CrossRef] [PubMed]
- Elebro, K.; Butt, S.; Dorkhan, M.; Jernström, H.; Borgquist, S. Age at first childbirth and oral contraceptive use are associated with risk of androgen receptor-negative breast cancer: The Malmö Diet and Cancer Cohort. Cancer Causes Control. 2014, 25, 945–957. [Google Scholar] [CrossRef] [PubMed] [Green Version]
- Bröstcancer Nationellt vårdprogram [National Care Program Breast Cancer]. 2020. Available online: https://kunskapsbanken.cancercentrum.se/globalassets/cancerdiagnoser/brost/vardprogram/nationellt-vardprogram-brostcancer.pdf (accessed on 10 September 2021).
- Van der Kruijk, M. Multiple imputation with chained equations and survival outcomes A simulation study. Master’s Thesis, Leiden University, Leiden, The Netherlands, 2015. [Google Scholar]
- Bel-Serrat, S.; Stammers, A.-L.; Warthon-Medina, M.; Moran, V.H.; Iglesia-Altaba, I.; Hermoso, M.; Moreno, L.A.; Lowe, N.M.; Network, T.E. Factors that affect zinc bioavailability and losses in adult and elderly populations. Nutr. Rev. 2014, 72, 334–352. [Google Scholar] [CrossRef] [PubMed]
- Hambidge, K.M.; Goodall, M.J.; Stall, C.; Pritts, J. Post-prandial and daily changes in plasma zinc. J. Trace Elem. Electrolytes Health Dis. 1989, 3, 55–57. [Google Scholar] [PubMed]
- Hennigar, S.R.; Lieberman, H.R.; Fulgoni, V.L., 3rd; McClung, J.P. Serum Zinc Concentrations in the US Population Are Related to Sex, Age, and Time of Blood Draw but Not Dietary or Supplemental Zinc. J. Nutr. 2018, 148, 1341–1351. [Google Scholar] [CrossRef] [PubMed] [Green Version]
- Wieringa, F.T.; Dijkhuizen, M.A.; West, C.E.; Northrop-Clewes, C.A.; Muhilal. Estimation of the Effect of the Acute Phase Response on Indicators of Micronutrient Status in Indonesian Infants. J. Nutr. 2002, 132, 3061–3066. [Google Scholar] [CrossRef] [Green Version]
- Riboli, E.; Elmståhl, S.; Saracci, R.; Gullberg, B.; Lindgärde, F. The Malmo Food Study: Validity of two dietary assessment methods for measuring nutrient intake. Int. J. Epidemiol. 1997, 26, S161–S173. [Google Scholar] [CrossRef] [Green Version]
- Elmståhl, S.; Gullberg, B.; Riboli, E.; Saracci, R.; Lindgärde, F. The Malmö Food Study: The reproducibility of a novel diet history method and an extensive food frequency questionnaire. Eur. J. Clin. Nutr. 1996, 50, 134–142. [Google Scholar]
- Brooke, H.L.; Talbäck, M.; Hörnblad, J.; Johansson, L.A.; Ludvigsson, J.F.; Druid, H.; Feychting, M.; Ljung, R. The Swedish cause of death register. Eur. J. Epidemiol. 2017, 32, 765–773. [Google Scholar] [CrossRef] [PubMed]
- Johansson, L.A.; Björkenstam, C.; Westerling, R. Unexplained differences between hospital and mortality data indicated mistakes in death certification: An investigation of 1,094 deaths in Sweden during 1995. J. Clin. Epidemiol. 2009, 62, 1202–1209. [Google Scholar] [CrossRef] [PubMed]
- Lowe, N.M.; Medina, M.W.; Stammers, A.-L.; Patel, S.; Souverein, O.W.; Dullemeijer, C.; Serra-Majem, L.; Nissensohn, M.; Moran, V.H. The relationship between zinc intake and serum/plasma zinc concentration in adults: A systematic review and dose–response meta-analysis by the EURRECA Network. Br. J. Nutr. 2012, 108, 1962–1971. [Google Scholar] [CrossRef] [PubMed] [Green Version]


| Alive (n = 629) | Recurrent Disease (n = 268) | Breast Cancer Death (n = 205) | Other Death (n = 228) | Total (n = 1062) | ||
|---|---|---|---|---|---|---|
| Mean (SD a) serum zinc (ng/mL) | 677.4 (126.3) | 686.8 (120.5) | 677.4 (123.3) | 687.5 (117.3) | 679.5 (123.9) | |
| Mean (SD a) dietary zinc intake (mg/day) | 12.3 (5.8) | 11.7 (5.4) | 11.6 (5.5) | 12.2 (6.0) | 12.1 (5.8) | |
| Mean (SD a) age at baseline | 53.7 (5.9) | 56.3 (6.8) | 58.7 (7.8) | 61.4 (6.9) | 56.3 (7.3) | |
| Mean (SD a) age at diagnosis | 64.9 (7.7) | 64.9 (8.5) | 67.8 (9.9) | 70.7 (8.4) | 66.7 (8.6) | |
| Baseline year | 1991 | 8.1 | 8.6 | 9.8 | 10.4 | 9.0 |
| 1992 | 20.5 | 19.4 | 21.0 | 18.5 | 19.7 | |
| 1993 | 19.6 | 19.8 | 19.5 | 18.9 | 19.3 | |
| 1994 | 18.6 | 18.7 | 14.1 | 17.8 | 18.3 | |
| 1995 | 20.5 | 22.8 | 22.4 | 21.7 | 21.0 | |
| 1996 | 12.7 | 10.8 | 13.2 | 12.7 | 12.7 | |
| Tumor size | ≤10.00 mm | 29.6 | 16.4 | 5.9 | 24.1 | 23.8 |
| 10.01–20.00 mm | 47.4 | 42.5 | 33.7 | 44.7 | 44.2 | |
| 20.01–50.00 mm | 19.7 | 32.1 | 40.5 | 23.7 | 24.6 | |
| >50.01 mm | 1.1 | 6.3 | 9.3 | 3.9 | 3.3 | |
| Missing | 2.2 | 2.6 | 10.7 | 3.5 | 4.1 | |
| Lymph node status | Positive | 22.1 | 43.3 | 53.2 | 24.6 | 28.6 |
| Negative | 70.1 | 50.0 | 35.1 | 62.3 | 61.7 | |
| Missing | 7.8 | 6.7 | 11.7 | 13.2 | 9.7 | |
| Distant metastasis | Yes | 0.0 | 0.7 | 6.8 | 0.0 | 1.3 |
| No | 96.3 | 95.9 | 84.4 | 92.5 | 93.2 | |
| Missing | 3.7 | 3.4 | 8.8 | 7.5 | 5.5 | |
| Intrinsic subtypes | Luminal A | 46.9 | 30.2 | 19.0 | 41.2 | 40.3 |
| Luminal B | 16.4 | 23.1 | 24.9 | 18.4 | 18.5 | |
| HER2+ | 6.4 | 7.8 | 10.2 | 7.9 | 7.4 | |
| Triple negative | 5.7 | 8.2 | 8.8 | 6.1 | 6.4 | |
| Missing | 24.6 | 30.6 | 37.1 | 26.3 | 27.4 | |
| ER | Positive | 8.7 | 12.3 | 12.2 | 8.8 | 9.4 |
| Negative | 81.4 | 71.3 | 63.4 | 80.7 | 77.8 | |
| Missing | 9.9 | 16.4 | 24.4 | 10.5 | 12.8 | |
| PgR | Positive | 31.2 | 39.9 | 37.6 | 34.6 | 33.1 |
| Negative | 56.1 | 39.6 | 35.1 | 50.4 | 50.8 | |
| Missing | 12.7 | 20.5 | 27.3 | 14.9 | 16.0 | |
| Histological grade | Grade 1 | 29.7 | 17.9 | 9.3 | 24.6 | 24.7 |
| Grade 2 | 45.5 | 37.7 | 35.1 | 46.5 | 43.7 | |
| Grade 3 | 18.6 | 35.8 | 41.5 | 23.2 | 24.0 | |
| Missing | 6.2 | 8.6 | 14.1 | 5.7 | 7.6 | |
| Ki67 | Low | 33.4 | 24.6 | 19.0 | 25.0 | 28.8 |
| Intermediate | 21.8 | 24.6 | 20.0 | 29.4 | 23.1 | |
| High | 16.9 | 28.0 | 32.2 | 24.1 | 21.4 | |
| Missing | 28.0 | 22.8 | 28.8 | 21.5 | 26.7 | |
| Dietary Intake of Zinc a | Total | |||||
|---|---|---|---|---|---|---|
| 1 (n = 266) | 2 (n = 265) | 3 (n = 265) | 4 (n = 266) | |||
| 9.0 (3.1) mg/day | 9.2 (3.2) mg/day | 10.3 (3.0) mg/day | 19.9 (10.9) mg/day | (n = 1062) | ||
| Mean (SD) age at baseline | 56.7 (7.7) | 56.3 (7.5) | 55.7 (7.2) | 56.6 (6.9) | 56.3 (7.3) | |
| Mean (SD) age at diagnosis | 67.3 (8.5) | 66.4 (9.2) | 66.0 (8.4) | 67.3 (8.2) | 66.7 (8.6) | |
| Zinc supplements | Yes | 98.1 | 96.6 | 92.8 | 33.8 | 80.3 |
| No | 1.9 | 3.4 | 7.4 | 66.2 | 19.7 | |
| Baseline year | 1991 | 9.8 | 7.9 | 9.1 | 9.4 | 9.0 |
| 1992 | 15.4 | 21.5 | 18.1 | 23.7 | 19.7 | |
| 1993 | 17.7 | 18.5 | 23.0 | 18.0 | 19.3 | |
| 1994 | 20.7 | 17.4 | 17.0 | 18.0 | 18.3 | |
| 1995 | 25.2 | 20.8 | 19.2 | 18.8 | 21.0 | |
| 1996 | 11.3 | 14.0 | 13.6 | 12.0 | 12.7 | |
| Tumor size | ≤10.00 mm | 23.7 | 20.0 | 24.9 | 26.7 | 23.8 |
| 10.01–20.00 mm | 40.2 | 50.6 | 42.6 | 43.2 | 44.2 | |
| 20.01–50.00 mm | 22.9 | 25.7 | 24.9 | 24.8 | 24.6 | |
| >50.01 mm | 6.4 | 1.9 | 3.0 | 1.9 | 3.3 | |
| Missing | 6.8 | 1.9 | 4.5 | 3.4 | 4.1 | |
| Lymph node status | Positive | 32.0 | 27.5 | 27.2 | 27.8 | 28.6 |
| Negative | 56.4 | 64.9 | 64.2 | 61.3 | 61.7 | |
| Missing | 11.7 | 7.5 | 8.7 | 10.9 | 9.7 | |
| Distant metastasis | Yes | 1.9 | 1.1 | 0.8 | 1.5 | 1.3 |
| No | 92.1 | 94.0 | 92.5 | 94.4 | 93.2 | |
| Missing | 6.0 | 4.9 | 6.8 | 4.1 | 5.5 | |
| Intrinsic subtypes | Luminal A | 42.9 | 36.6 | 38.5 | 43.2 | 40.3 |
| Luminal B | 18.4 | 18.1 | 18.1 | 19.2 | 18.5 | |
| HER2+ | 4.9 | 10.9 | 9.1 | 4.9 | 7.4 | |
| Triple negative | 3.4 | 10.2 | 7.2 | 4.9 | 6.4 | |
| Missing | 30.5 | 24.2 | 27.2 | 27.8 | 27.4 | |
| ER | ≤10 | 6.0 | 12.8 | 10.6 | 8.3 | 9.4 |
| >10 | 78.6 | 74.3 | 78.9 | 79.3 | 77.8 | |
| Missing | 15.4 | 12.8 | 10.6 | 12.4 | 12.8 | |
| PgR | ≤10 | 32.0 | 34.7 | 34.3 | 31.6 | 331 |
| >10 | 50.0 | 48.7 | 50.6 | 54.1 | 50.8 | |
| Missing | 18.0 | 16.6 | 15.1 | 14.3 | 16.0 | |
| Histological grade | Grade 1 | 23.3 | 24.5 | 21.5 | 29.3 | 24.7 |
| Grade 2 | 43.2 | 43.8 | 45.7 | 42.1 | 43.7 | |
| Grade 3 | 22.9 | 27.5 | 25.3 | 20.3 | 24.0 | |
| Missing | 10.5 | 4.2 | 7.5 | 8.3 | 7.6 | |
| Ki67 | Low | 27.1 | 27.2 | 32.1 | 28.9 | 28.8 |
| Intermediate | 25.9 | 21.9 | 17.7 | 26.7 | 23.1 | |
| High | 16.5 | 26.0 | 22.6 | 20.3 | 21.4 | |
| Missing | 30.5 | 24.9 | 27.5 | 24.1 | 26.7 | |
| Dietary Intake of Zinc a | Serum Zinc a | ||||||||||||
|---|---|---|---|---|---|---|---|---|---|---|---|---|---|
| Zinc Quartile | Women (n) | Events (n) | Total Person Years | Mortality/1000 | HR (95% CI) | HR (95% CI) b | Women (n) | Events (n) | Total Person Years | Mortality/1000 | HR (95% CI) | HR (95% CI) b | |
| RFS | 1 | 266 | 67 | 2983 | 22.46 | 1.00 | 1.00 | 236 | 52 | 2616 | 19.88 | 1.00 | 1.00 |
| 2 | 265 | 68 | 3296 | 20.63 | 0.87 (0.62–1.22) | 0.91 (0.64–1.29) | 238 | 60 | 2761 | 21.73 | 1.08 (0.75–1.57) | 0.95 (0.65–1.39) | |
| 3 | 265 | 73 | 3133 | 23.30 | 1.00 (0.76–1.39) | 1.06 (0.75–1.50) | 232 | 57 | 2827 | 20.16 | 0.95 (0.65–1.39) | 0.93 (0.63–1.37) | |
| 4 | 266 | 60 | 3219 | 18.64 | 0.85 (0.60–1.20) | 0.90 (0.63–1.28) | 233 | 61 | 2860 | 21.33 | 0.99 (0.68–1.44) | 1.01 (0.69–1.49) | |
| P-trend | 0.55 | 0.79 | 0.77 | 0.97 | |||||||||
| BCSS | 1 | 266 | 59 | 3040 | 19.41 | 1.00 | 1.00 | 236 | 48 | 2692 | 17.83 | 1.00 | 1.00 |
| 2 | 265 | 48 | 3365 | 14.26 | 0.74 (0.51–1.09) | 0.75 (0.49–1.14) | 238 | 45 | 2817 | 15.97 | 0.90 (0.60–1.35) | 0.75 (0.50–1.15) | |
| 3 | 265 | 53 | 3216 | 16.48 | 0.86 (0.59–1.24) | 0.94 (0.63–1.42) | 232 | 44 | 2875 | 15.30 | 0.86 (0.57–1.30) | 0.84 (0.55–1.28) | |
| 4 | 266 | 45 | 3210 | 14.02 | 0.70 (0.45–1.04) | 0.76 (0.50–1.14) | 233 | 39 | 2938 | 13.27 | 0.75 (0.49–1.14) | 0.77 (0.49–1.20) | |
| P-trend | 0.14 | 0.36 | 0.20 | 0.33 | |||||||||
| OS | 1 | 266 | 114 | 3040 | 37.50 | 1.00 | 1.00 | 236 | 89 | 2692 | 33.06 | 1.00 | 1.00 |
| 2 | 265 | 103 | 3365 | 30.61 | 0.80 (0.62–1.05) | 0.85 (0.64–1.13) | 238 | 92 | 2817 | 32.66 | 0.99 (0.74–1.32) | 0.84 (0.62–1.12) | |
| 3 | 265 | 113 | 3216 | 35.14 | 0.92 (0.71–1.20) | 1.03 (0.78–1.36) | 232 | 92 | 2875 | 32.00 | 0.96 (0.72–1.28) | 0.91 (0.68–1.23) | |
| 4 | 266 | 103 | 3210 | 32.09 | 0.82 (0.63–1.08) | 0.90 (0.68–1.19) | 233 | 96 | 2938 | 32.68 | 0.98 (0.72–1.30) | 0.92 (0.68–1.24) | |
| P-trend | 0.31 | 0.78 | 0.82 | 0.76 | |||||||||
| Dietary Intake of Zinc a | |||||||||
|---|---|---|---|---|---|---|---|---|---|
| Zinc Quartile | Women (n) | Events (n) | Total Person Years | Mortality/1000 | HR (95% CI) | HR (95% CI) b | |||
| All | RFS | 1 | 266 | 67 | 2983 | 22.46 | 1.00 | 1.00 | |
| 2 + 3 + 4 | 796 | 201 | 9648 | 20.83 | 0.91 (0.69–1.20) | 0.96 (0.72–1.27) | |||
| BCSS | 1 | 266 | 59 | 3040 | 19.41 | 1.00 | 1.00 | ||
| 2 + 3 + 4 | 796 | 146 | 9791 | 14.91 | 0.77 (0.57–1.04) | 0.81 (0.58–1.13) | |||
| OS | 1 | 266 | 114 | 3040 | 37.50 | 1.00 | 1.00 | ||
| 2 + 3 + 4 | 796 | 319 | 9791 | 32.58 | 0.85 (0.69–1.05) | 0.92 (0.74–1.16) | |||
| Phosphorus intake c | Low | RFS | 1 | 127 | 30 | 1415 | 21.20 | 1.00 | 1.00 |
| 2 + 3 + 4 | 404 | 107 | 4721 | 22.66 | 0.98 (0.69–1.38) | 1.02 (0.72–1.46) | |||
| BCSS | 1 | 127 | 28 | 1441 | 19.43 | 1.00 | 1.00 | ||
| 2 + 3 + 4 | 404 | 71 | 4831 | 14.70 | 0.88 (0.59–1.32) | 1.04 (0.67–1.62) | |||
| OS | 1 | 127 | 58 | 1441 | 40.25 | 1.00 | 1.00 | ||
| 2 + 3 + 4 | 404 | 156 | 4831 | 32.29 | 0.92 (0.70–1.20) | 1.02 (0.76–1.37) | |||
| High | RFS | 1 | 139 | 40 | 1616 | 24.75 | 1.00 | 1.00 | |
| 2 + 3 + 4 | 392 | 91 | 4880 | 18.44 | 0.89 (0.48–1.65) | 0.87 (0.46–1.66) | |||
| Pi d high versus low phosphorus | 0.87 | 0.81 | |||||||
| BCSS | 1 | 139 | 31 | 1655 | 18.73 | 1.00 | 1.00 | ||
| 2 + 3 + 4 | 392 | 75 | 4994 | 15.02 | 0.48 (0.28–0.82) | 0.41 (0.23–0.73) | |||
| Pi high versus low phosphorus | 0.07 | 0.01 | |||||||
| OS | 1 | 139 | 68 | 1655 | 41.09 | 1.00 | 1.00 | ||
| 2 + 3 + 4 | 392 | 151 | 4994 | 30.24 | 0.69 (0.45–1.06) | 0.64 (0.41–1.00) | |||
| Pi high versus low phosphorus | 0.28 | 0.10 | |||||||
| Selenium intake c | Low | RFS | 1 | 91 | 29 | 1010 | 28.71 | 1.00 | 1.00 |
| 2 + 3 + 4 | 440 | 113 | 5288 | 21.37 | 0.66 (0.44–1.00) | 0.77 (0.49–1.19) | |||
| BCSS | 1 | 91 | 21 | 1023 | 20.53 | 1.00 | 1.00 | ||
| 2 + 3 + 4 | 440 | 86 | 5419 | 15.87 | 0.78 (0.48–1.25) | 0.99 (0.58–1.68) | |||
| OS | 1 | 91 | 41 | 1023 | 40.08 | 1.00 | 1.00 | ||
| 2 + 3 + 4 | 440 | 160 | 5419 | 29.53 | 0.72 (0.51–1.02) | 0.91 (0.63–1.33) | |||
| High | RFS | 1 | 175 | 41 | 2020 | 20.30 | 1.00 | 1.00 | |
| 2 + 3 + 4 | 356 | 85 | 4313 | 19.71 | 0.93 (0.64–1.36) | 1.09 (0.73–1.62) | |||
| Pi high versus low selenium | 0.25 | 0.22 | |||||||
| BCSS | 1 | 175 | 38 | 2073 | 18.33 | 1.00 | 1.00 | ||
| 2 + 3 + 4 | 356 | 60 | 4405 | 13.62 | 0.75 (0.50–1.13) | 0.99 (0.64–1.55) | |||
| Pi high versus low selenium | 0.87 | 0.80 | |||||||
| OS | 1 | 175 | 85 | 2073 | 41.00 | 1.00 | 1.00 | ||
| 2 + 3 + 4 | 356 | 147 | 4405 | 33.37 | 0.82 (0.62–1.07) | 1.07 (0.80–1.43) | |||
| Pi high versus low selenium | 0.59 | 0.40 | |||||||
Publisher’s Note: MDPI stays neutral with regard to jurisdictional claims in published maps and institutional affiliations. |
© 2022 by the authors. Licensee MDPI, Basel, Switzerland. This article is an open access article distributed under the terms and conditions of the Creative Commons Attribution (CC BY) license (https://creativecommons.org/licenses/by/4.0/).
Share and Cite
Bengtsson, Y.; Demircan, K.; Rosendahl, A.H.; Borgquist, S.; Sandsveden, M.; Manjer, J. Zinc and Breast Cancer Survival: A Prospective Cohort Study of Dietary Intake and Serum Levels. Nutrients 2022, 14, 2575. https://doi.org/10.3390/nu14132575
Bengtsson Y, Demircan K, Rosendahl AH, Borgquist S, Sandsveden M, Manjer J. Zinc and Breast Cancer Survival: A Prospective Cohort Study of Dietary Intake and Serum Levels. Nutrients. 2022; 14(13):2575. https://doi.org/10.3390/nu14132575
Chicago/Turabian StyleBengtsson, Ylva, Kamil Demircan, Ann H. Rosendahl, Signe Borgquist, Malte Sandsveden, and Jonas Manjer. 2022. "Zinc and Breast Cancer Survival: A Prospective Cohort Study of Dietary Intake and Serum Levels" Nutrients 14, no. 13: 2575. https://doi.org/10.3390/nu14132575
APA StyleBengtsson, Y., Demircan, K., Rosendahl, A. H., Borgquist, S., Sandsveden, M., & Manjer, J. (2022). Zinc and Breast Cancer Survival: A Prospective Cohort Study of Dietary Intake and Serum Levels. Nutrients, 14(13), 2575. https://doi.org/10.3390/nu14132575

