Role of Nutritional Status in the Treatment Outcome for Esophageal Squamous Cell Carcinoma
Abstract
:1. Introduction
2. Materials and Methods
2.1. Study Population
2.2. Nutritional Assessment
2.3. Animals and Experimental Design
2.4. Statistical Analysis
3. Results
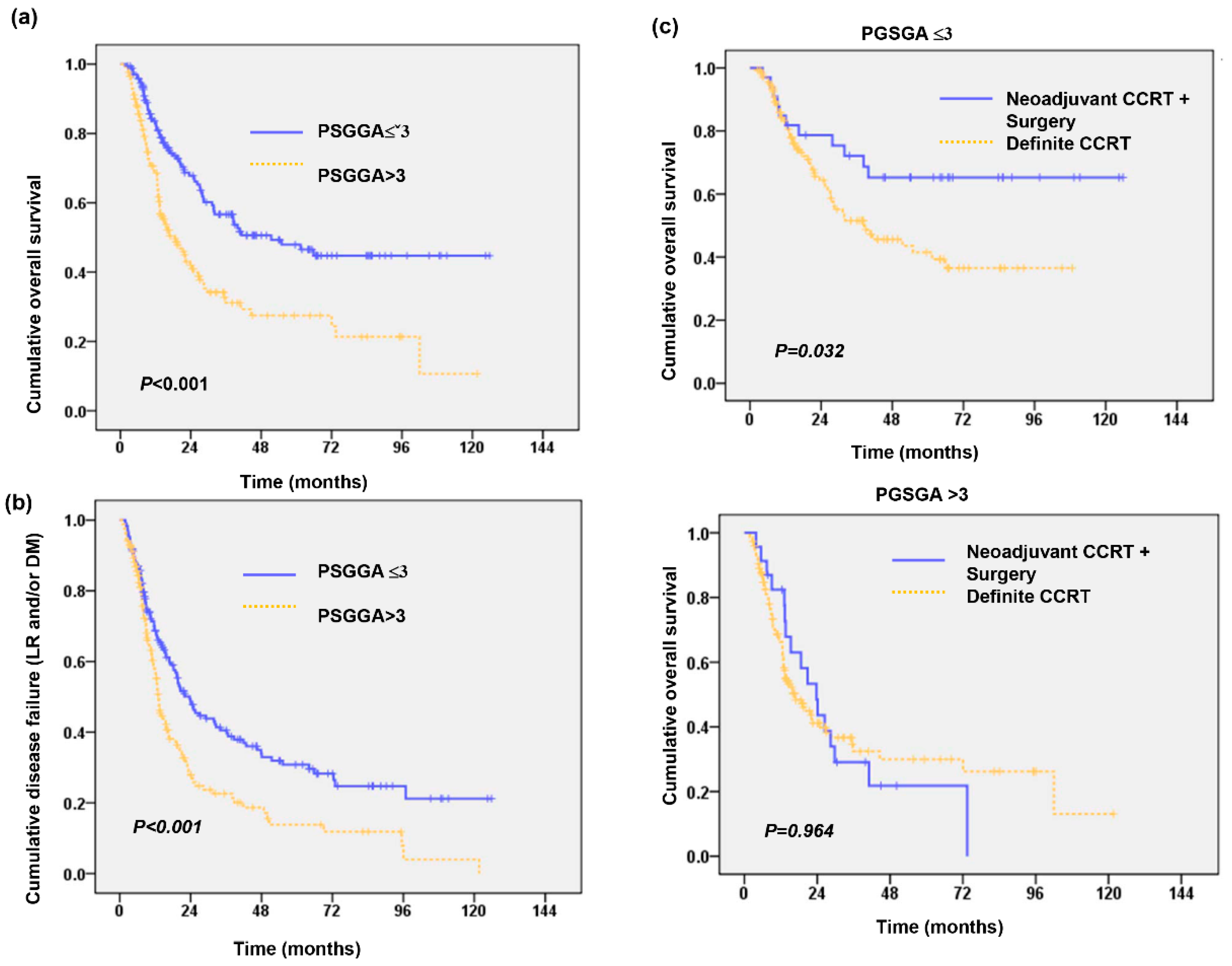
3.1. The Nutritional Status Correlated with Tumor Progression in Esophageal Cancer Patients
3.2. Relationships among the Pre-Tx PGSGA Score and the Immunologic Markers (Pre-Treatment NLR, the Levels of CD11b + CD33 + HLA–DR− Cells and IL-6)
3.3. Role of the Change in Nutritional Status during Treatment in Prognosis
3.4. Role of Nutrition Supplementation in Esophageal Tumor Progression and Its Relationship with the Tumor-Promoting Immune Response In Vivo
4. Discussion
5. Conclusions
Supplementary Materials
Author Contributions
Funding
Institutional Review Board Statement
Informed Consent Statement
Data Availability Statement
Conflicts of Interest
References
- Nicolini, A.; Ferrari, P.; Masoni, M.C.; Fini, M.; Pagani, S.; Giampietro, O.; Carpi, A. Malnutrition, anorexia and cachexia in cancer patients: A mini-review on pathogenesis and treatment. Biomed. Pharm. 2013, 67, 807–817. [Google Scholar] [CrossRef] [PubMed]
- Alkan, S.B.; Artac, M.; Rakicioglu, N. The relationship between nutritional status and handgrip strength in adult cancer patients: A cross-sectional study. Support Care Cancer 2018, 26, 2441–2451. [Google Scholar] [CrossRef] [PubMed]
- Napier, K.J.; Scheerer, M.; Misra, S. Esophageal cancer: A Review of epidemiology, pathogenesis, staging workup and treatment modalities. World J. Gastrointest. Oncol. 2014, 6, 112–120. [Google Scholar] [CrossRef]
- Chen, M.F.; Yang, Y.H.; Lai, C.H.; Chen, P.C.; Chen, W.C. Outcome of patients with esophageal cancer: A nationwide analysis. Ann. Surg. Oncol. 2013, 20, 3023–3030. [Google Scholar] [CrossRef] [PubMed]
- Chen, M.F.; Chen, P.T.; Lu, M.S.; Lee, C.P.; Chen, W.C. Survival benefit of surgery to patients with esophageal squamous cell carcinoma. Sci. Rep. 2017, 7, 46139. [Google Scholar] [CrossRef] [Green Version]
- Mantzorou, M.; Koutelidakis, A.; Theocharis, S.; Giaginis, C. Clinical Value of Nutritional Status in Cancer: What is its Impact and how it Affects Disease Progression and Prognosis? Nutr. Cancer 2017, 69, 1151–1176. [Google Scholar] [CrossRef]
- Garla, P.; Waitzberg, D.L.; Tesser, A. Nutritional Therapy in Gastrointestinal Cancers. Gastroenterol. Clin. N. Am. 2018, 47, 231–242. [Google Scholar] [CrossRef]
- Steenhagen, E.; van Vulpen, J.K.; van Hillegersberg, R.; May, A.M.; Siersema, P.D. Nutrition in peri-operative esophageal cancer management. Expert Rev. Gastroenterol. Hepatol. 2017, 11, 663–672. [Google Scholar] [CrossRef] [Green Version]
- Arends, J.; Bachmann, P.; Baracos, V.; Barthelemy, N.; Bertz, H.; Bozzetti, F.; Fearonf, K.; Hütterer, E.; Isenring, E.; Kaasa, S.; et al. ESPEN guidelines on nutrition in cancer patients. Clin. Nutr. 2017, 36, 11–48. [Google Scholar] [CrossRef] [Green Version]
- Grivennikov, S.I.; Greten, F.R.; Karin, M. Immunity, inflammation, and cancer. Cell 2010, 140, 883–899. [Google Scholar] [CrossRef] [Green Version]
- Coussens, L.M.; Werb, Z. Inflammation and cancer. Nature 2002, 420, 860–867. [Google Scholar] [CrossRef]
- Smyth, M.J.; Cretney, E.; Kershaw, M.H.; Hayakawa, Y. Cytokines in cancer immunity and immunotherapy. Immunol. Rev. 2004, 202, 275–293. [Google Scholar] [CrossRef]
- Bunt, S.K.; Sinha, P.; Clements, V.K.; Leips, J.; Ostrand-Rosenberg, S. Inflammation induces myeloid-derived suppressor cells that facilitate tumor progression. J. Immunol. 2006, 176, 284–290. [Google Scholar] [CrossRef] [Green Version]
- Guthrie, G.J.; Charles, K.A.; Roxburgh, C.S.; Horgan, P.G.; McMillan, D.C.; Clarke, S.J. The systemic inflammation-based neutrophil-lymphocyte ratio: Experience in patients with cancer. Crit. Rev. Oncol. Hematol. 2013, 88, 218–230. [Google Scholar] [CrossRef]
- Chen, M.F.; Chen, P.T.; Kuan, F.C.; Chen, W.C. The Predictive Value of Pretreatment Neutrophil-To-Lymphocyte Ratio in Esophageal Squamous Cell Carcinoma. Ann. Surg. Oncol. 2019, 26, 190–199. [Google Scholar] [CrossRef]
- Chen, M.F.; Chen, P.T.; Lu, M.S.; Lin, P.Y.; Chen, W.C.; Lee, K.D. IL-6 expression predicts treatment response and outcome in squamous cell carcinoma of the esophagus. Mol. Cancer 2013, 12, 1–12. [Google Scholar] [CrossRef] [Green Version]
- Martin, L.; Lagergren, P. Long-term weight change after oesophageal cancer surgery. Br. J. Surg. 2009, 96, 1308–1314. [Google Scholar] [CrossRef] [PubMed]
- Laine, A.; Iyengar, P.; Pandita, T.K. The role of inflammatory pathways in cancer-associated cachexia and radiation resistance. Mol. Cancer Res. 2013, 11, 967–972. [Google Scholar] [CrossRef] [PubMed] [Green Version]
- Soldati, L.; Di Renzo, L.; Jirillo, E.; Ascierto, P.A.; Marincola, F.M.; De Lorenzo, A. The influence of diet on anti-cancer immune responsiveness. J. Transl. Med. 2018, 16, 1–18. [Google Scholar] [CrossRef]
- Kim, J.M.; Sung, M.K. The Efficacy of Oral Nutritional Intervention in Malnourished Cancer Patients: A Systemic Review. Clin. Nutr. Res. 2016, 5, 219–236. [Google Scholar] [CrossRef] [PubMed] [Green Version]
- Detsky, A.S.; Baker, J.P.; Johnston, N.; Whittaker, S.; Mendelson, R.A.; Jeejeebhoy, K.N. What is subjective global assessment of nutritional status? JPEN J. Parenter. Enter. Nutr. 1987, 11, 8–13. [Google Scholar] [CrossRef] [Green Version]
- Chasen, M.R.; Bhargava, R. A rehabilitation program for patients with gastroesophageal cancer—A pilot study. Support. Care Cancer. 2010, 18 (Suppl. 2), 35–40. [Google Scholar] [CrossRef]
- Bauer, J.; Capra, S.; Ferguson, M. Use of the scored Patient-Generated Subjective Global Assessment (PG-SGA) as a nutrition assessment tool in patients with cancer. Eur. J. Clin. Nutr. 2002, 56, 779–785. [Google Scholar] [CrossRef]
- Jager-Wittenaar, H.; Ottery, F.D. Assessing nutritional status in cancer: Role of the Patient-Generated Subjective Global Assessment. Curr. Opin. Clin. Nutr. Metab. Care 2017, 20, 322–329. [Google Scholar] [CrossRef] [PubMed] [Green Version]
- Chen, P.T.; Hsieh, C.C.; Wu, C.T.; Yen, T.C.; Lin, P.Y.; Chen, W.C.; Chen, M.F. 1alpha, 25-Dihydroxyvitamin D3 Inhibits Esophageal Squamous Cell Carcinoma Progression by Reducing IL6 Signaling. Mol. Cancer Ther. 2015, 14, 1365–1375. [Google Scholar] [CrossRef] [PubMed] [Green Version]
- Chen, C.H.; Hsieh, C.C.; Chang, C.S.; Chen, M.F. A Retrospective Analysis of Dose Distribution and Toxicity in Patients with Left Breast Cancer Treated with Adjuvant Intensity-Modulated Radiotherapy: Comparison with Three-Dimensional Conformal Radiotherapy. Cancer Manag. Res. 2020, 12, 9173–9182. [Google Scholar] [CrossRef]
- Yu, K.; Zhou, X.R.; He, S.L. A multicentre study to implement nutritional risk screening and evaluate clinical outcome and quality of life in patients with cancer. Eur. J. Clin. Nutr. 2013, 67, 732–737. [Google Scholar] [CrossRef] [Green Version]
- Pottgen, C.; Stuschke, M. Radiotherapy versus surgery within multimodality protocols for esophageal cancer--a meta-analysis of the randomized trials. Cancer Treat. Rev. 2012, 38, 599–604. [Google Scholar] [CrossRef]
- Dumitru, C.A.; Moses, K.; Trellakis, S.; Lang, S.; Brandau, S. Neutrophils and granulocytic myeloid-derived suppressor cells: Immunophenotyping, cell biology and clinical relevance in human oncology. Cancer Immunol. Immunother. 2012, 61, 1155–1167. [Google Scholar] [CrossRef] [PubMed]
- Yodying, H.; Matsuda, A.; Miyashita, M.; Matsumoto, S.; Sakurazawa, N.; Yamada, M.; Uchida, E. Prognostic Significance of Neutrophil-to-Lymphocyte Ratio and Platelet-to-Lymphocyte Ratio in Oncologic Outcomes of Esophageal Cancer: A Systematic Review and Meta-analysis. Ann. Surg. Oncol. 2016, 23, 646–654. [Google Scholar] [CrossRef] [PubMed]
- Bunt, S.K.; Yang, L.; Sinha, P.; Clements, V.K.; Leips, J.; Ostrand-Rosenberg, S. Reduced inflammation in the tumor microenvironment delays the accumulation of myeloid-derived suppressor cells and limits tumor progression. Cancer Res. 2007, 67, 10019–10026. [Google Scholar] [CrossRef] [Green Version]
- Kitamura, H.; Ohno, Y.; Toyoshima, Y.; Ohtake, J.; Homma, S.; Kawamura, H.; Takahashi, N.; Taketomi, A. Interleukin-6/STAT3 signaling as a promising target to improve the efficacy of cancer immunotherapy. Cancer Sci. 2017, 108, 1947–1952. [Google Scholar] [CrossRef] [PubMed]
- Setrerrahmane, S.; Xu, H. Tumor-related interleukins: Old validated targets for new anti-cancer drug development. Mol. Cancer. 2017, 16, 1–17. [Google Scholar] [CrossRef]
- Baltgalvis, K.A.; Berger, F.G.; Pena, M.M.; Davis, J.M.; Muga, S.J.; Carson, J.A. Interleukin-6 and cachexia in ApcMin/+ mice. Am. J. Physiol. Regul. Integr. Comp. Physiol. 2008, 294, R393–R401. [Google Scholar] [CrossRef] [PubMed] [Green Version]
- Bonetto, A.; Aydogdu, T.; Kunzevitzky, N.; Guttridge, D.C.; Khuri, S.; Koniaris, L.G.; Zimmers, T.A. STAT3 activation in skeletal muscle links muscle wasting and the acute phase response in cancer cachexia. PLoS ONE 2011, 6, e22538. [Google Scholar] [CrossRef] [PubMed] [Green Version]



| No. of Patients | |||
|---|---|---|---|
| PGSGA ≤ 3 | PGSSA > 3 | p Value | |
| patients | 170 | 170 | |
| Age | |||
| Median | 55.6 | 57.3 | 0.110 | 
| Range | 33.8~82.8 | 33.7~82.6 | |
| Differentiation | 0.233 | ||
| WD-MD | 97 | 86 | |
| PD | 73 | 84 | |
| Clinical stage | 0.039 * | ||
| I–II | 47 | 31 | |
| III–IV | 123 | 139 | |
| LN involvement | 0.030 * | ||
| N0-N1 | 91 | 71 | |
| N2–N3 | 79 | 99 | |
| BMI | <0.001 * | ||
| >=18 | 159 | 135 | |
| <18 | 11 | 35 | |
| Tx policy | 0.145 | ||
| Definite CCRT | 137 | 147 | |
| Surgery +/− Tx | 33 | 23 | |
| Response to Neoadjuvant Tx | 0.001 * | ||
| Response | 151 | 127 | |
| No response | 19 | 43 | |
| Loco-regional disease | 0.340 | ||
| Control | 88 | 82 | |
| Failure | 82 | 88 | |
| Distant metastasis | 0.008 * | ||
| Negative | 125 | 102 | |
| Positive | 45 | 68 | |
| Status | 0.002 * | ||
| Alive | 100 | 72 | |
| Dead | 70 | 98 | |
| Variable | HR | 95% CI | p Value | 
|---|---|---|---|
| Age | |||
| <60 | Ref | ||
| >=60 | 1.07 | 0.78–1.48 | 0.68 | 
| Clinical stage | |||
| Stage I–II | Ref | ||
| Stage III–IV | 2.31 | 1.50–3.57 | <0.001 * | 
| PSGGA score | |||
| ≤3 | Ref | ||
| >3 | 1.55 | 1.13–2.15 | 0.007 * | 
| Treatment | |||
| Definite CCRT | Ref | ||
| Pre-op CCRT + surgery | 0.55 | 0.35–0.85 | 0.008 * | 
| Response to CCRT | |||
| Response (+) | Ref | ||
| Poor response | 3.88 | 2.66–5.68 | <0.001 * | 
| Variables | Unweighted Population, No. (%) | Standardized Difference | Weighted Population, % | Standardized Difference | ||||||
|---|---|---|---|---|---|---|---|---|---|---|
| PGSGA ≤ 3 | PGSGA > 3 | PGSGA ≤ 3 | PGSGA > 3 | |||||||
| Total | 170 | 170 | ||||||||
| Age (years) | −0.099 | 0.002 | ||||||||
| <60 | 116 | (68.2) | 108 | (63.5) | 66.3 | 66.3 | ||||
| ≥60 | 54 | (31.8) | 62 | (36.5) | 337 | 33.7 | ||||
| Median (Range) | 55.6 | (33.8–82.8) | 57.3 | (33.7–82.6) | 0.174 | 56.0 | (33.8–82.8) | 56.8 | (33.7–82.6) | 0.080 | 
| Differentiation | −0.130 | −0.001 | ||||||||
| WD-MD | 97 | (57.1) | 86 | (50.6) | 53.3 | 53.2 | ||||
| PD | 73 | (42.9) | 84 | (49.4) | 467 | 46.8 | ||||
| Clinical stage | −0.225 | 0.001 | ||||||||
| I–II | 47 | (27.6) | 31 | (18.2) | 22.8 | 22.9 | ||||
| III–IV | 123 | (72.4) | 139 | (81.8) | 77.2 | 77.1 | ||||
| LN involvement | −0.237 | −0.101 | ||||||||
| N0-N1 | 91 | (53.5) | 71 | (41.8) | 50.3 | 45.3 | ||||
| N2–N3 | 79 | (46.5) | 99 | (58.2) | 49.7 | 54.7 | ||||
| BMI | 0.422 | 0.424 | ||||||||
| <18 | 11 | (6.5) | 35 | (20.6) | 6.4 | 20.5 | ||||
| ≥18 | 159 | (93.5) | 135 | (79.4) | 93.6 | 79.5 | ||||
| Tx policy | 0.159 | −0.008 | ||||||||
| Definite CCRT | 137 | (80.6) | 147 | (86.5) | 83.3 | 83.0 | ||||
| Surgery ± Tx | 33 | (19.4) | 23 | (13.5) | 16.7 | 17.0 | ||||
| Response to Neoadjuvant Tx | −0.372 | −0.372 | ||||||||
| Response | 151 | (88.8) | 127 | (74.7) | 88.6 | 74.5 | ||||
| No response | 19 | (11.2) | 43 | (25.3) | 11.4 | 25.5 | ||||
| Variables | OS | LRF | Distant Metastasis | |||
|---|---|---|---|---|---|---|
| HR (95% CI) | p-Value | HR (95% CI) | p-Value | p-Value | ||
| Unweighted | ||||||
| Pre-Tx PG-SGA | ||||||
| ≤3 | Reference | Reference | Reference | |||
| >3 | 1.56 (1.13–2.15) | 0.007 | 1.16 (0.84–1.60) | 0.373 | 1.69 (1.18–2.40) | 0.004 | 
| IPTW-ATE | ||||||
| Pre-Tx PG-SGA | ||||||
| ≤3 | Reference | Reference | Reference | |||
| >3 | 1.55 (1.24–1.95) | <0.001 | 1.14 (0.91–1.43) | 0.259 | 1.68 (1.31–2.14) | <0.001 | 
| No. of Patients | |||
|---|---|---|---|
| Post-Tx_PGSGA ≤3 | Post-Tx_PGSGA >3 | p Value | |
| patients | 208 | 132 | |
| Pre-Tx PGSGAa | <0.001 * | ||
| ≤3 | 139 | 31 | |
| >3 | 69 | 101 | |
| NLR | 0.003 * | ||
| ≤3 | 112 | 49 | |
| >3 | 96 | 83 | |
| BW loss | 0.008 * | ||
| <=5% | 119 | 56 | |
| >5% | 89 | 76 | |
| Tx policy | 0.043 * | ||
| Definite CCRT | 167 | 117 | |
| Surgery/neoadjuvant Tx | 41 | 15 | |
| Response to Neoadjuvant Tx | <0.001 * | ||
| Response | 186 | 92 | |
| No response | 22 | 40 | |
| Change of PGSGA | <0.001 * | ||
| Improvement/no change | 191 | 52 | |
| Deterioration | 17 | 80 | |
| Loco-regional disease | 0.004 | ||
| Control | 117 | 53 | |
| Failure | 91 | 79 | |
| Status | <0.001 * | ||
| Alive | 132 | 40 | |
| Dead | 76 | 92 | |
| Variables | OS | LRF | Distant Metastasis | |||
|---|---|---|---|---|---|---|
| HR (95% CI) | p-Value | HR (95% CI) | p-Value | p-Value | ||
| Unweighted Sample | ||||||
| Post-Tx PG-SGA | ||||||
| ≤3 | Reference a | Reference | Reference | |||
| >3 | 2.59 (1.87–3.56) | <0.001 | 1.96 (1.41–2.73) | <0.001 | 1.92 (1.34–2.74) | <0.001 | 
| IPTW-ATE | ||||||
| Post-Tx PG-SGA | ||||||
| ≤3 | Reference | Reference | Reference | |||
| >3 | 2.66 (2.12–3.32) | <0.001 | 1.95 (1.56–2.44) | <0.001 | 1.92 (1.49–2.46) | <0.001 | 
| Publisher’s Note: MDPI stays neutral with regard to jurisdictional claims in published maps and institutional affiliations. | 
© 2021 by the authors. Licensee MDPI, Basel, Switzerland. This article is an open access article distributed under the terms and conditions of the Creative Commons Attribution (CC BY) license (https://creativecommons.org/licenses/by/4.0/).
Share and Cite
Chen, M.-F.; Hsieh, C.-C.; Chen, P.-T.; Lu, M.-S. Role of Nutritional Status in the Treatment Outcome for Esophageal Squamous Cell Carcinoma. Nutrients 2021, 13, 2997. https://doi.org/10.3390/nu13092997
Chen M-F, Hsieh C-C, Chen P-T, Lu M-S. Role of Nutritional Status in the Treatment Outcome for Esophageal Squamous Cell Carcinoma. Nutrients. 2021; 13(9):2997. https://doi.org/10.3390/nu13092997
Chicago/Turabian StyleChen, Miao-Fen, Ching-Chuan Hsieh, Ping-Tsung Chen, and Ming-Shian Lu. 2021. "Role of Nutritional Status in the Treatment Outcome for Esophageal Squamous Cell Carcinoma" Nutrients 13, no. 9: 2997. https://doi.org/10.3390/nu13092997
APA StyleChen, M.-F., Hsieh, C.-C., Chen, P.-T., & Lu, M.-S. (2021). Role of Nutritional Status in the Treatment Outcome for Esophageal Squamous Cell Carcinoma. Nutrients, 13(9), 2997. https://doi.org/10.3390/nu13092997
 
         
                                                
 
       