Augmented Renal Clearance Following Traumatic Injury in Critically Ill Patients Requiring Nutrition Therapy
Abstract
1. Introduction
2. Materials and Methods
3. Results
4. Discussion
5. Conclusions
Author Contributions
Funding
Institutional Review Board Statement
Informed Consent Statement
Data Availability Statement
Acknowledgments
Conflicts of Interest
Implications
References
- Ronco, C.; Bellomo, R.; Kellum, J. Understanding renal functional reserve. Intensive Care Med. 2017, 43, 917–920. [Google Scholar] [CrossRef] [PubMed]
- Udy, A.A.; Baptista, J.P.; Lim, N.L.; Joynt, G.M.; Jarrett, P.; Wockner, L.; Boots, R.J.; Lipman, J. Augmented renal clearance in the ICU: Results of a multicenter observational study of renal function in critically ill patients with normal plasma creatinine concentrations. Crit. Care Med. 2014, 42, 520–527. [Google Scholar] [CrossRef]
- Udy, A.; Boots, R.; Senthuran, S.; Stuart, J.; Deans, R.; Lassig-Smith, M.; Lipman, J. Augmented creatinine clearance in traumatic brain injury. Anesth. Analg. 2010, 111, 1505–1510. [Google Scholar] [CrossRef] [PubMed]
- Minville, V.; Asehnoune, K.; Ruiz, S.; Breden, A.; Georges, B.; Seguin, T.; Tack, I.; Jaafar, A.; Saivin, S.; Fourcade, O.; et al. Increased creatinine clearance in polytrauma patients with normal serum creatinine: A retrospective observational study. Crit. Care 2011, 15, R49. [Google Scholar] [CrossRef] [PubMed]
- Udy, A.A.; Roberts, J.A.; Shorr, A.F.; Boots, R.J.; Lipman, J. Augmented renal clearance in septic and traumatized patients with normal plasma creatinine concentrations: Identifying at-risk patients. Crit. Care 2013, 17, R35. [Google Scholar] [CrossRef] [PubMed]
- Barletta, J.F.; Mangram, A.J.; Byrne, M.; Hollingworth, A.K.; Sucher, J.F.; Ali-Osman, F.R.; Shirah, G.R.; Dzandu, J.K. The importance of empiric antibiotic dosing in critically ill trauma patients: Are we under-dosing based on augmented renal clearance and inaccurate renal clearance estimates? J. Trauma Acute Care Surg. 2016, 81, 1115–1121. [Google Scholar] [CrossRef]
- Carrie, C.; Lannou, A.; Rubin, S.; De Courson, H.; Petit, L.; Biais, M. Augmented renal clearance in critically ill trauma patients: A pathophysiologic approach using renal vascular index. Anaesth. Crit. Care Pain Med. 2019; 38, 371–375. [Google Scholar] [CrossRef]
- Barletta, J.F.; Mangram, A.J.; Byrne, M.; Sucher, J.F.; Hollingworth, A.K.; Ali-Osman, F.R.; Shirah, G.R.; Haley, M.; Dzandu, J.K. Identifying augmented renal clearance in trauma patients: Validation of the augmented renal clearance in trauma intensive care scoring system. J. Trauma Acute Care Surg. 2017, 82, 665–671. [Google Scholar] [CrossRef]
- Conil, J.M.; Georges, B.; Fourcade, O.; Seguin, T.; Lavit, M.; Samii, K.; Houin, G.; Tack, I.; Saivin, S. Assessment of renal function in clinical practice at the bedside of burn patients. Br. J. Clin. Pharmacol. 2007, 63, 583–594. [Google Scholar] [CrossRef]
- Conil, J.M.; Georges, B.; Fourcade, O.; Seguin, T.; Houin, G.; Saivin, S. Intermittent administration of ceftazidime to burns patients: Influence of glomerular filtration. Int. J. Clin. Pharmacol. Ther. 2007, 45, 133–142. [Google Scholar] [CrossRef]
- Jacobs, A.; Taccone, F.S.; Roberts, J.A.; Jacobs, F.; Cotton, F.; Wolff, F.; Creteur, J.; Vincent, J.-L.; Hites, M. Beta-lactam dosage regimens in septic patients with augmented renal clearance. Antimicrob. Agents Chemother. 2018, 62. [Google Scholar] [CrossRef]
- Claus, B.O.; Hoste, E.A.; Colpaert, K.; Robays, H.; Decruyenaere, J.; De Waele, J.J. Augmented renal clearance is a common finding with worse clinical outcome in critically ill patients receiving antimicrobial therapy. J. Crit. Care 2013, 28, 695–700. [Google Scholar] [CrossRef]
- Baptista, J.P.; Sousa, E.; Martins, P.J.; Pimentel, J.M. Augmented renal clearance in septic patients and implications for vancomycin optimisation. Int. J. Antimicrob. Agents 2012, 39, 420–423. [Google Scholar] [CrossRef]
- Brown, K.A.; Dickerson, R.N.; Morgan, L.M.; Alexander, K.H.; Minard, G.; Brown, R.O. A new graduated dosing regimen for phosphorus replacement in patients receiving nutrition support. J. Parenter. Enteral Nutr. 2006, 30, 209–214. [Google Scholar] [CrossRef] [PubMed]
- Dickerson, R.N.; Gervasio, J.M.; Sherman, J.J.; Kudsk, K.A.; Hickerson, W.L.; Brown, R.O. A comparison of renal phosphorus regulation in thermally injured and multiple trauma patients receiving specialized nutrition support. J. Parenter. Enteral Nutr. 2001, 25, 152–159. [Google Scholar] [CrossRef]
- Dickerson, R.N.; Morgan, L.G.; Cauthen, A.D.; Alexander, K.H.; Croce, M.A.; Minard, G.; Brown, R.O. Treatment of acute hypocalcemia in critically ill multiple-trauma patients. J. Parenter. Enteral Nutr. 2005, 29, 436–441. [Google Scholar] [CrossRef]
- Dickerson, R.N.; Morgan, L.M.; Croce, M.A.; Minard, G.; Brown, R.O. Treatment of moderate to severe acute hypocalcemia in critically ill trauma patients. J. Parenter. Enteral Nutr. 2007, 31, 228–233. [Google Scholar] [CrossRef]
- Johnston, C.T.; Maish, G.O., 3rd; Minard, G.; Croce, M.A.; Dickerson, R.N. Evaluation of an intravenous potassium dosing algorithm for hypokalemic critically ill patients. J. Parenter. Enteral Nutr. 2017, 41, 796–804. [Google Scholar] [CrossRef]
- Sacks, G.S.; Brown, R.O.; Dickerson, R.N.; Bhattacharya, S.; Lee, P.-D.; Mowatt-Larssen, C.; Ilardi, G.; Kudsk, K.A. Mononuclear blood cell magnesium content and serum magnesium concentration in critically ill hypomagnesemic patients after replacement therapy. Nutrition 1997, 13, 303–308. [Google Scholar] [CrossRef]
- Sacks, G.S.; Walker, J.; Dickerson, R.N.; Kudsk, K.A.; Brown, R.O. Observations of hypophosphatemia and its management in nutrition support. Nutr. Clin. Pract. 1994, 9, 105–108. [Google Scholar] [CrossRef]
- Carrie, C.; Chadefaux, G.; Sauvage, N.; Courson, H.d.; Petit, L.; Nouette-Gaulain, K.; Pereira, B.; Biais, M. Increased beta-Lactams dosing regimens improve clinical outcome in critically ill patients with augmented renal clearance treated for a first episode of hospital or ventilator-acquired pneumonia: A before and after study. Crit. Care 2019, 23, 379. [Google Scholar] [CrossRef]
- Dickerson, R.N.; Pitts, S.L.; Maish, G.O., 3rd; Schroeppel, T.J.; Magnotti, L.J.; Croce, M.A.; Minard, G.; Brown, R.O. A reappraisal of nitrogen requirements for patients with critical illness and trauma. J. Trauma Acute Care Surg. 2012, 73, 549–557. [Google Scholar] [CrossRef] [PubMed]
- Sharpe, J.P.; Magnotti, L.J.; Weinberg, J.A.; Swanson, J.M.; Schroeppel, T.J.; Clement, L.P.; Wood, G.C.; Fabian, T.C.; Croce, M.A. Adherence to an established diagnostic threshold for ventilator-associated pneumonia contributes to low false-negative rates in trauma patients. J. Trauma Acute Care Surg. 2015, 78, 468–474. [Google Scholar] [CrossRef] [PubMed]
- Baker, S.P.; O’Neill, B.; Haddon, W.; Long, W.B., Jr. The injury severity score: A method for describing patients with multiple injuries and evaluating emergency care. J. Trauma 1974, 14, 187–196. Available online: https://www.ncbi.nlm.nih.gov/pubmed/4814394 (accessed on 14 May 2021). [CrossRef] [PubMed]
- Vincent, J.L.; Moreno, R.; Takala, J.; Willatts, S.; de Mendonca, A.; Bruining, H.; Reinhart, C.K.; Suter, P.M.; Thijs, L.G. The SOFA (Sepsis-related Organ Failure Assessment) score to describe organ dysfunction/failure. On behalf of the Working Group on Sepsis-Related Problems of the European Society of Intensive Care Medicine. Intensive Care Med. 1996, 22, 707–710. Available online: https://www.ncbi.nlm.nih.gov/pubmed/8844239 (accessed on 14 May 2021). [CrossRef] [PubMed]
- Cockcroft, D.W.; Gault, M.H. Prediction of creatinine clearance from serum creatinine. Nephron 1976, 16, 31–41. [Google Scholar] [CrossRef]
- Mosteller, R.D. Simplified calculation of body-surface area. N. Engl. J. Med. 1987, 317, 1098. [Google Scholar] [CrossRef]
- Dickerson, R.N.; Mitchell, J.N.; Morgan, L.M.; Maish, G.O., 3rd; Croce, M.A.; Minard, G.; Brown, R.O. Disparate response to metoclopramide therapy for gastric feeding intolerance in trauma patients with and without traumatic brain injury. J. Parenter. Enteral Nutr. 2009, 33, 646–655. [Google Scholar] [CrossRef]
- Dickerson, R.N.; Medling, T.L.; Smith, A.C.; Maish, G.O., 3rd; Croce, M.A.; Minard, G.; Brown, R.O. Hypocaloric, high-protein nutrition therapy in older vs younger critically ill patients with obesity. J. Parenter. Enteral Nutr. 2013, 37, 342–351. [Google Scholar] [CrossRef]
- Buckley, C.T.; Van Matre, E.T.; Fischer, P.E.; Minard, G.; Dickerson, R.N. Improvement in protein delivery for critically ill patients requiring high-dose propofol therapy and enteral nutrition. Nutr. Clin. Pract. 2021, 36, 212–218. [Google Scholar] [CrossRef]
- Cogle, S.V.; Smith, S.E.; Maish, G.O.; Minard, G.; Croce, M.A.; Dickerson, R.N. Sliding scale regular human insulin for identifying critically ill patients who require intensive insulin therapy and for glycemic control in those with mild to moderate hyperglycemia. J. Pharm. Nutr. Sci. 2017, 7, 106–115. [Google Scholar] [CrossRef]
- Dickerson, R.N.; Swiggart, C.E.; Morgan, L.M.; Maish, G.O., 3rd; Croce, M.A.; Minard, G.; Brown, R.O. Safety and efficacy of a graduated intravenous insulin infusion protocol in critically ill trauma patients receiving specialized nutritional support. Nutrition 2008, 24, 536–545. [Google Scholar] [CrossRef]
- Dickerson, R.N.; Wilson, V.C.; Maish, G.O., 3rd; Croce, M.A.; Minard, G.; Brown, R.O. Transitional NPH insulin therapy for critically ill patients receiving continuous enteral nutrition and intravenous regular human insulin. J. Parenter. Enteral Nutr. 2013, 37, 506–516. [Google Scholar] [CrossRef] [PubMed]
- Stevens, L.A.; Coresh, J.; Greene, T.; Levey, A.S. Assessing kidney function-measured and estimated glomerular filtration rate. N. Engl. J. Med. 2006, 354, 2473–2483. [Google Scholar] [CrossRef] [PubMed]
- Carrie, C.; Rubin, S.; Sioniac, P.; Breilh, D.; Biais, M. The kinetic glomerular filtration rate is not interchangeable with measured creatinine clearance for prediction of piperacillin underexposure in critically ill patients with augmented renal clearance. Crit. Care 2018, 22, 177. [Google Scholar] [CrossRef] [PubMed]
- Carrie, C.; Petit, L.; d’Houdain, N.; Sauvage, N.; Cottenceau, V.; Lafitte, M.; Foumenteze, C.; Hisz, Q.; Menu, D.; Legeron, R.; et al. Association between augmented renal clearance, antibiotic exposure and clinical outcome in critically ill septic patients receiving high doses of beta-lactams administered by continuous infusion: A prospective observational study. Int. J. Antimicrob. Agents 2018, 51, 443–449. [Google Scholar] [CrossRef] [PubMed]
- Dickerson, R.N. Hypocaloric, high-protein nutrition therapy for critically ill patients with obesity. Nutr. Clin. Pract. 2014, 29, 786–791. [Google Scholar] [CrossRef] [PubMed]
- Minkute, R.; Briedis, V.; Steponaviciute, R.; Vitkauskiene, A.; Maciulaitis, R. Augmented renal clearance-an evolving risk factor to consider during the treatment with vancomycin. J. Clin. Pharm. Ther. 2013, 38, 462–467. [Google Scholar] [CrossRef]
- Loirat, P.; Rohan, J.; Baillet, A.; Beaufils, F.; David, R.; Chapman, A. Increased glomerular filtration rate in patients with major burns and its effect on the pharmacokinetics of tobramycin. N. Engl. J. Med. 1978, 299, 915–919. [Google Scholar] [CrossRef]
- Lipman, J.; Wallis, S.C.; Boots, R.J. Cefepime versus cefpirome: The importance of creatinine clearance. Anesth. Analg. 2003, 97, 1149–1154. [Google Scholar] [CrossRef]
- Carrie, C.; Legeron, R.; Petit, L.; Ollivier, J.; Cottenceau, V.; d’Houdain, N.; Boyer, P.; Lafitte, M.; Xuereb, F.; Sztark, F.; et al. Higher than standard dosing regimen are needed to achieve optimal antibiotic exposure in critically ill patients with augmented renal clearance receiving piperacillin-tazobactam administered by continuous infusion. J. Crit. Care 2018, 48, 66–71. [Google Scholar] [CrossRef] [PubMed]
- Udy, A.A.; Jarrett, P.; Lassig-Smith, M.; Stuart, J.; Starr, T.; Dunlop, R.; Deans, R.; Roberts, J.A.; Senthuran, S.; Boots, R.; et al. Augmented clearance in traumatic brain injury: A single-center observational study of atrial natriuretic peptide, cardiac output, and creatinine clearance. J. Neurotrauma 2017, 34, 137–144. [Google Scholar] [CrossRef]
- Morbitzer, K.A.; Jordan, J.D.; Dehne, K.A.; Durr, E.A. Olm-Shipman CM, Rhoney DH. Enhanced renal clearance in patients with hemorrhagic stroke. Crit. Care Med. 2019, 47, 800–808. [Google Scholar] [CrossRef]
- Sharma, A.; Mucino, M.J.; Ronco, C. Renal functional reserve and renal recovery after acute kidney injury. Nephron Clin. Pract. 2014, 127, 94–100. [Google Scholar] [CrossRef]
- Bosch, J.P.; Saccaggi, A.; Lauer, A.; Ronco, C.; Belledonne, M.; Glabman, S. Renal functional reserve in humans. Effect of protein intake on glomerular filtration rate. Am. J. Med. 1983, 75, 943–950. [Google Scholar] [CrossRef]
- Bengoa, J.M.; Sitrin, M.D.; Wood, R.J.; Rosenberg, I.H. Amino acid-induced hypercalciuria in patients on total parenteral nutrition. Am. J. Clin. Nutr. 1983, 38, 264–269. [Google Scholar] [CrossRef]
- Fliser, D.; Zeier, M.; Nowack, R.; Ritz, E. Renal functional reserve in healthy elderly subjects. J. Am. Soc. Nephrol. 1993, 3, 1371–1377. Available online: http://www.ncbi.nlm.nih.gov/pubmed/8439649 (accessed on 14 May 2021). [CrossRef]
- Doig, G.S.; Simpson, F.; Bellomo, R.; Heighes, P.T.; Sweetman, E.A.; Chesher, D.; Pollock, C.; Davies, A.; Botha, J.; Harrigan, P.; et al. Intravenous amino acid therapy for kidney function in critically ill patients: A randomized controlled trial. Intensive Care Med. 2015, 41, 1197–1208. [Google Scholar] [CrossRef]
- Levey, A.S.; Coresh, J.; Greene, T.; Stevens, L.A.; Zhang, Y.; Hendriksen, S.; Kusek, J.W.; Lente, F.V. Using standardized serum creatinine values in the modification of diet in renal disease study equation for estimating glomerular filtration rate. Ann. Intern. Med. 2006, 145, 247–254. [Google Scholar] [CrossRef]
- Dickerson, R.N.; Maish, G.O., 3rd; Croce, M.A.; Minard, G.; Brown, R.O. Influence of aging on nitrogen accretion during critical illness. J. Parenter. Enteral Nutr. 2015, 39, 282–290. [Google Scholar] [CrossRef] [PubMed]
- Heymsfield, S.B.; Arteaga, C.; McManus, C.; Smith, J.; Moffitt, S. Measurement of muscle mass in humans: Validity of the 24-hour urinary creatinine method. Am. J. Clin. Nutr. 1983, 37, 478–494. [Google Scholar] [CrossRef]
- Lindsey, K.A.; Brown, R.O.; Maish, G.O., 3rd; Croce, M.A.; Minard, G.; Dickerson, R.N. Influence of traumatic brain injury on potassium and phosphorus homeostasis in critically ill multiple trauma patients. Nutrition 2010, 26, 784–790. [Google Scholar] [CrossRef] [PubMed]



| Variable | with ARC | without ARC | p |
|---|---|---|---|
| N | 102 | 101 | - |
| Male/Female, n/n | 87/15 | 68/33 | 0.004 |
| Race, AA/White/Other | 36/57/9 | 34/60/7 | 0.209 |
| Admitting diagnosis | |||
| MVC | 75 | 64 | |
| GSW/KSW | 14 | 14 | |
| Assault/Fall | 8 | 15 | |
| Other | 5 | 5 | 0.462 |
| Age, years | 36 ± 15 | 54 ± 17 | 0.001 |
| Weight, kg | 91 ± 22 | 97 ± 27 | 0.014 |
| Height, cm | 177 ± 9 | 174 ± 11 | 0.009 |
| Body mass index, kg/m2 | 29 ± 16 | 32 ± 8 | 0.003 |
| Body surface area, m2 | 2.10 ± 0.27 | 2.15 ± 0.31 | 0.083 |
| Injury severity score | 30 ± 11 | 26 ± 12 | 0.015 |
| SOFA score | 5.6 ± 1.8 | 5.9 ± 2.4 | 0.445 |
| Ventilator dependent, n (%) | 97 (95%) | 95 (94%) | 0.987 |
| Severe traumatic brain injury, n (%) | 34 (33%) | 9 (9%) | 0.001 |
| History of diabetes mellitus, n (%) | 8 (8%) | 21 (21%) | 0.015 |
| Corticosteroids, n (%) | 13 (13%) | 13 (13%) | 0.855 |
| Vasopressors, n (%) | 12 (12%) | 21 (21%) | 0.120 |
| Neuromuscular blockers, n (%) | 6 (6%) | 11 (11%) | 0.301 |
| Beta adrenergic blockers, n (%) | 53 (52%) | 47 (47%) | 0.941 |
| Propofol, n (%) | 40 (39%) | 20 (20%) | 0.004 |
| Serum albumin, g/dL | 2.6 ± 0.5 | 2.4 ± 0.4 | 0.001 |
| Serum prealbumin, mg/dL | 7.0 ± 3.6 | 6.7 ± 4.1 | 0.460 |
| Serum C-reactive protein, mg/dL | 21.3 ± 8.1 | 19.8 ± 9.4 | 0.259 |
| Serum glucose *, mg/dL | 126 ± 31 | 135 ± 35 | 0.026 |
| White blood cell count *, cells/mm3 | 12.5 ± 4.9 | 12.8 ± 5.6 | 0.999 |
| Serum 25-hydroxy vitamin D, ng/mL | 19.9 ± 7.4 | 19.3 ± 6.5 | 0.593 |
| Arterial pH * | 7.42 ± 0.05 | 7.41 ± 0.06 | 0.105 |
| Heart rate *, bpm | 122 ± 29 | 115 ± 21 | 0.027 |
| Minute ventilation *, L/minl | 13.1 ± 5.0 | 13.3 ± 5.0 | 0.937 |
| Maximum temperature *, °F | 101.7 ± 1.3 | 101.3 ± 1.5 | 0.181 |
| Variable | with ARC | without ARC | p |
|---|---|---|---|
| N | 102 | 101 | - |
| PN/EN/both | 4/87/11 | 5/76/20 | 0.177 |
| Nutrition therapy duration, d | 16.5 ± 9.5 | 20.1 ± 13.2 | 0.027 |
| Protein intake, g/d * | 110 ± 62 | 98 ± 60 | 0.165 |
| Protein intake g/kg/d * | 1.4 ± 0.8 | 1.4 ± 0.8 | 0.122 |
| Caloric intake, Kcals/d * | 1237 ± 765 | 1088 ± 754 | 0.232 |
| Caloric intake, Kcals/kg/d * | 16 ± 10 | 15 ± 10 | 0.634 |
| NBAL, g/d * | −10.8 ± 13.0 | −6.2 ± 9.2 | 0.004 |
| Hospital day of mCrCl, d | 7 ± 3 | 8 ± 4 | 0.086 |
| Variable | with ARC | without ARC | p |
|---|---|---|---|
| N | 102 | 101 | - |
| Survived, n (%) | 96 (94%) | 89 (87%) | 0.209 |
| Sepsis, n (%) | 56 (55%) | 47 (46%) | 0.293 |
| Pneumonia, n (%) | 54 (53%) | 37 (36%) | 0.028 |
| Antibiotic days, d | 9 ± 7 | 10 ± 9 | 0.330 |
| Ventilator days, d | 18 ± 18 | 20 ± 19 | 0.977 |
| ICU length of stay, d | 22 ± 16 | 24 ± 19 | 0.505 |
| Hospital length of stay, d | 35 ± 23 | 42 ± 38 | 0.217 |
| Variable | with ARC | without ARC | p |
|---|---|---|---|
| N | 102 | 101 | - |
| Hospital day of mCrCl, d | 7 ± 3 | 8 ± 4 | 0.086 |
| Serum creatinine, mg/dL | 0.7 ± 0.2 | 0.9 ± 0.2 | 0.001 |
| Serum urea nitrogen, mg/dL | 16 ± 2 | 23 ± 12 | 0.001 |
| Urine output, mL/d | 3045 ± 1194 | 2305 ± 1195 | 0.001 |
| Urine output, mL/kg/h | 1.67 ± 0.69 | 1.36 ± 0.73 | 0.002 |
| mCrCl, mL/min | 255 ± 76 | 135 ± 37 | 0.001 |
| mCrCl mL/min/1.73 m2 | 210 ± 38 | 109 ± 27 | 0.001 |
| Predicted CrCl (Cockcroft–Gault), mL/min/1.73 m2 | 193 ± 55 * | 125 ± 44 ** | 0.001 |
| Variable | r | p |
|---|---|---|
| Age, years | −0.429 | 0.001 |
| Sex, male | 0.248 | 0.001 |
| Weight, kg | −0.146 | 0.037 |
| Height, cm | 0.186 | 0.008 |
| Body mass index, kg/m2 | −0.247 | 0.001 |
| Severe traumatic brain injury | −0.199 | 0.004 |
| Diabetes mellitus | −0.142 | 0.043 |
| Pneumonia | 0.185 | 0.008 |
| Injury severity score | 0.142 | 0.047 |
| APACHE II score | −0.186 | 0.008 |
| Serum creatinine, mg/dL | −0.499 | 0.001 |
| Serum urea nitrogen, mg/dL | −0.381 | 0.001 |
| Urine output, mL/d | 0.342 | 0.001 |
| Urine output, mL/kg/h | 0.247 | 0.001 |
| Variable | Odds Ratio | p |
|---|---|---|
| Male sex | 8.59 (2.69, 27.41) | 0.001 |
| Age, years | 0.95 (0.93, 0.98) | 0.001 |
| African American race | 2.73 (1.06, 7.01) | 0.037 |
| Severe traumatic brain injury | 4.14 (1.33, 12.90) | 0.014 |
| Protein intake, g/kg/d | 2.06 (1.09, 3.91) | 0.027 |
| Nitrogen balance, g/d | 0.91 (0.86, 0.95) | 0.001 |
| Serum creatinine, mg/dL | 0.00 (0.00, 0.00) | 0.001 |
| WBC, cells/mm3 | 0.928 (0.85, 1.01) | 0.096 |
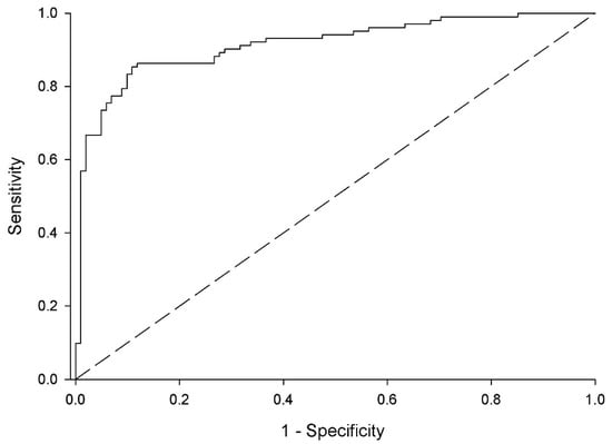
| Model Score | Sensitivity | Specificity | Positive Predictive Value | Negative Predictive Value |
|---|---|---|---|---|
| −0.77 (mean) | 92% | 68% | 75% | 90% |
| −1.15 (95% CI) | 86% | 87% | 87% | 86% |
| −0.06 (95% CI) | 67% | 97% | 96% | 75% |
Publisher’s Note: MDPI stays neutral with regard to jurisdictional claims in published maps and institutional affiliations. |
© 2021 by the authors. Licensee MDPI, Basel, Switzerland. This article is an open access article distributed under the terms and conditions of the Creative Commons Attribution (CC BY) license (https://creativecommons.org/licenses/by/4.0/).
Share and Cite
Dickerson, R.N.; Crawford, C.N.; Tsiu, M.K.; Bujanowski, C.E.; Van Matre, E.T.; Swanson, J.M.; Filiberto, D.M.; Minard, G. Augmented Renal Clearance Following Traumatic Injury in Critically Ill Patients Requiring Nutrition Therapy. Nutrients 2021, 13, 1681. https://doi.org/10.3390/nu13051681
Dickerson RN, Crawford CN, Tsiu MK, Bujanowski CE, Van Matre ET, Swanson JM, Filiberto DM, Minard G. Augmented Renal Clearance Following Traumatic Injury in Critically Ill Patients Requiring Nutrition Therapy. Nutrients. 2021; 13(5):1681. https://doi.org/10.3390/nu13051681
Chicago/Turabian StyleDickerson, Roland N., Christin N. Crawford, Melissa K. Tsiu, Cara E. Bujanowski, Edward T. Van Matre, Joseph M. Swanson, Dina M. Filiberto, and Gayle Minard. 2021. "Augmented Renal Clearance Following Traumatic Injury in Critically Ill Patients Requiring Nutrition Therapy" Nutrients 13, no. 5: 1681. https://doi.org/10.3390/nu13051681
APA StyleDickerson, R. N., Crawford, C. N., Tsiu, M. K., Bujanowski, C. E., Van Matre, E. T., Swanson, J. M., Filiberto, D. M., & Minard, G. (2021). Augmented Renal Clearance Following Traumatic Injury in Critically Ill Patients Requiring Nutrition Therapy. Nutrients, 13(5), 1681. https://doi.org/10.3390/nu13051681

