Effect of Multi-Strain Probiotic Supplementation on URTI Symptoms and Cytokine Production by Monocytes after a Marathon Race: A Randomized, Double-Blind, Placebo Study
Abstract
1. Background
2. Methods
2.1. Participants
2.2. Experimental Design
2.3. Supplementation
2.4. Determination of VO2Peak
2.5. Blood Collection
2.6. Monocyte Isolation
2.7. Cytokine Production by Monocytes Stimulated by LPS
2.8. Determination of Serum and Plasmatic Parameters
2.9. Determination of Salivary Parameters
2.10. Food Record
2.11. Upper Respiratory Tract Infection Questionnaire (URTIq)
2.12. Statistical Analysis
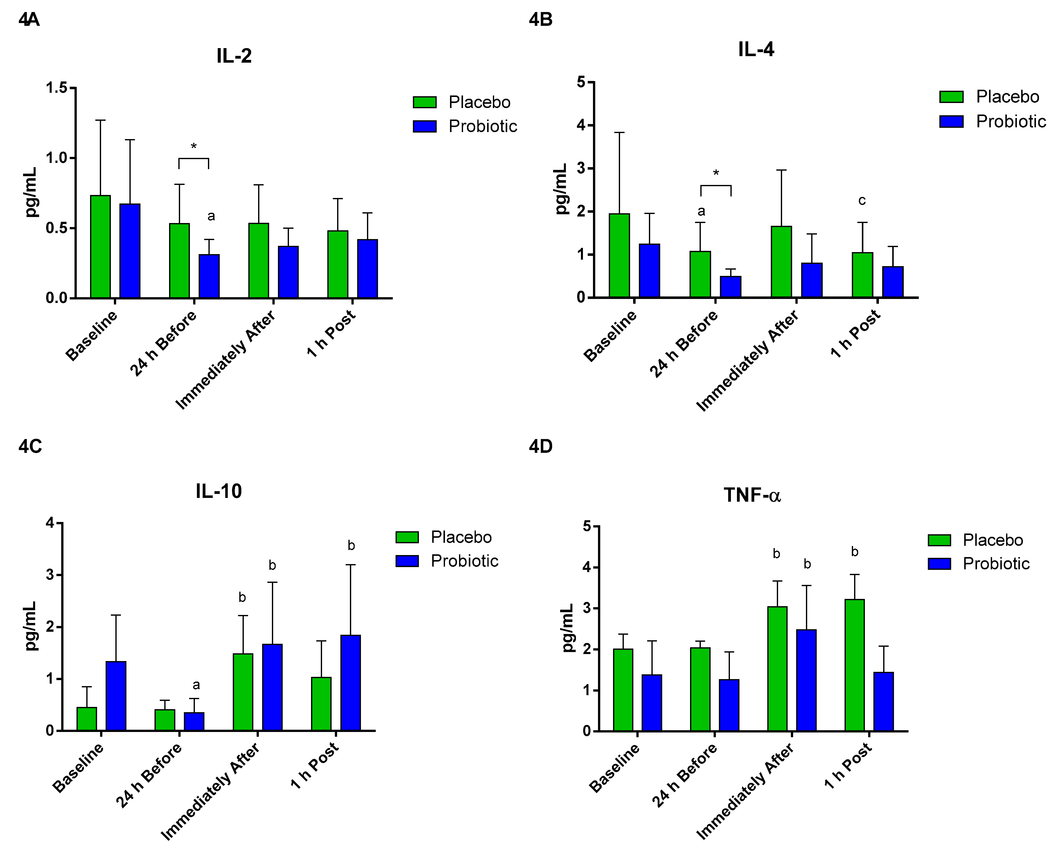
3. Results
4. Discussion
5. Conclusions
6. Study Limitations
Author Contributions
Funding
Institutional Review Board Statement
Informed Consent Statement
Data Availability Statement
Acknowledgments
Conflicts of Interest
Abbreviations
| AFIP | Associação Fundo de Incentivo à Psicofarmacologia |
| BMI | Body Mass Index |
| CFU | Colony-Forming Unit |
| CNPq | Conselho Nacional de Desenvolvimento Científico e Tecnológico |
| CD | Cluster of Differentiation |
| FAPESP | Fundação de Amparo à Pesquisa do Estado de São Paulo |
| FCC | Free and Clarified Consent |
| GLM | General Linear Model |
| HR | Heart Rate |
| IFNg | Interferon-gamma |
| IgA | Immunoglobulin A |
| IL | Interleukin |
| LPS | Lipopolysaccharides |
| LT | Ventilatory Threshold |
| MCP1 | Monocyte Chemotactic Protein 1 |
| REC | Research Ethics Committee |
| ROS | Reactive Oxygen Species |
| PFT | Pulmonary Function Testing |
| SCFAs | Short-Chain Fatty Acids |
| TCV | Total Calorie Value |
| TGF-β | Transforming Growth Factor-β |
| TLR | Toll-Like Receptor |
| TNF | Tumor Necrosis Factor—α |
| UNIFESP | Universidade Federal de São Paulo |
| URT | Upper Respiratory Tract |
| URTI | Upper Respiratory Tract Infection |
| VE | Ventilation |
| VO2 | Oxygen Consumption |
| WURSS | Wisconsin Upper Respiratory Symptom Survey |
References
- Costa, R.J.S.; Snipe, R.; Kitic, C.M.; Gibson, P.R. Systematic review: Exercise-induced gastrointestinal syndrome-implications for health and intestinal disease. Aliment. Pharmacol. Ther. 2017, 46, 246–265. [Google Scholar] [CrossRef] [PubMed]
- Zuhl, M.; Schneider, S.; Lanphere, K.; Conn, C.; Dokladny, K.; Moseley, P. Exercise regulation of intestinal tight junction proteins. Br. J. Sports Med. 2012, 48, 980–986. [Google Scholar] [CrossRef] [PubMed]
- Camus, G.; Poortmans, J.; Nys, M.; Deby-Dupont, G.; Duchateau, J.; Deby, C.; Lamy, M. Mild Endotoxaemia and the Inflammatory Response Induced by a Marathon Race. Clin. Sci. 1997, 92, 415–422. [Google Scholar] [CrossRef]
- Gill, S.K.; Hankey, J.; Wright, A.; Marczak, S.; Hemming, K.; Allerton, D.M.; Ansley-Robson, P.; Costa, R.J.S. The Impact of a 24-h Ultra-Marathon on Circulatory Endotoxin and Cytokine Profile. Int. J. Sports Med. 2015, 36, 688–695. [Google Scholar] [CrossRef]
- Pedersen, B.K.; Bruunsgaard, H. How Physical Exercise Influences the Establishment of Infections. Sports Med. 1995, 19, 393–400. [Google Scholar] [CrossRef] [PubMed]
- Nieman, D.C. Marathon Training and Immune Function. Sports Med. 2007, 37, 412–415. [Google Scholar] [CrossRef]
- Hoffman-Goetz, L.; Pedersen, B.K. Exercise and the immune system: A model of the stress response? Immunol. Today 1994, 15, 382–387. [Google Scholar] [CrossRef]
- Nieman, D.C. Exercise Immunology: Practical Applications. J. Sports Med. 1997, 18, 91–100. [Google Scholar] [CrossRef] [PubMed]
- Kakanis, M.; Peake, J.; Hooper, S.; Gray, B.; Marshall-Gradisnik, S. The open window of susceptibility to infection after acute exercise in healthy young male elite athletes. J. Sci. Med. Sport 2010, 13, e85–e86. [Google Scholar] [CrossRef]
- Ginhoux, F.; Jung, S. Monocytes and macrophages: Developmental pathways and tissue homeostasis. Nat. Rev. Immunol. 2014, 14, 392–404. [Google Scholar] [CrossRef] [PubMed]
- Van Furth, R. Human monocytes and cytokines. Res. Immunol. 1998, 149, 719–720. [Google Scholar] [CrossRef]
- Rossol, M.; Heine, H.; Meusch, U.; Quandt, D.; Klein, C.; Sweet, M.J.; Hauschildt, S. LPS-induced Cytokine Production in Human Monocytes and Macrophages. Crit. Rev. Immunol. 2011, 31, 379–446. [Google Scholar] [CrossRef]
- Suzuki, K.; Nakaji, S.; Yamada, M.; Liu, Q.; Kurakake, S.; Okamura, N.; Kumae, T.; Umeda, T.; Sugawara, K. Impact of a Competitive Marathon Race on Systemic Cytokine and Neutrophil Responses. Med. Sci. Sports Exerc. 2003, 35, 348–355. [Google Scholar] [CrossRef] [PubMed]
- Gleeson, M.; Pyne, D.B.; Elkington, L.J.; Hall, S.T.; Attia, J.R.; Oldmeadow, C.; Wood, L.G.; Callister, R. Developing a multi-component immune model for evaluating the risk of respiratory illness in athletes. Exerc. Immunol. Rev. 2017, 23, 52. Available online: www.ncbi.hlm.nih.gov/SNP/ (accessed on 18 February 2021). [PubMed]
- Gleeson, M. Nutritional Support to Maintain Proper Immune Status during Intense Training. Issues Complement. Feed. 2013, 75, 85–97. [Google Scholar] [CrossRef]
- Gleeson, M. Dosing and Efficacy of Glutamine Supplementation in Human Exercise and Sport Training. J. Nutr. 2008, 138, 2045S–2049S. [Google Scholar] [CrossRef]
- Nieman, D.C. Immunonutrition support for athletes. Nutr. Rev. 2008, 66, 310–320. [Google Scholar] [CrossRef] [PubMed]
- Ball, D. Metabolic and endocrine response to exercise: Sympathoadrenal integration with skeletal muscle. J. Endocrinol. 2015, 224, R79–R95. [Google Scholar] [CrossRef]
- Bermon, S.; Castell, L.M.; Calder, P.C.; Bishop, N.C.; Blomstrand, E.; Mooren, F.C.; Krüger, K.; Kavazis, A.N.; Quindry, J.C.; Senchina, D.S.; et al. Consensus Statement Immunonutrition and Exercise. Exerc. Immunol. Rev. 2017, 23, 8–50. Available online: https://pubmed.ncbi.nlm.nih.gov/28224969/ (accessed on 7 December 2020). [PubMed]
- Yang, H.; Liu, A.; Zhang, M.; Ibrahim, S.A.; Pang, Z.; Leng, X.; Ren, F. Oral Administration of Live Bifidobacterium Substrains Isolated from Centenarians Enhances Intestinal Function in Mice. Curr. Microbiol. 2009, 59, 439–445. [Google Scholar] [CrossRef]
- Gill, H.S.; Rutherfurd, K.J.; Cross, M.L.; Gopal, P.K. Enhancement of immunity in the elderly by dietary supplementation with the probiotic Bifidobacterium lactis HN. Am. J. Clin. Nutr. 2001, 74, 833–839. [Google Scholar] [CrossRef]
- Clancy, R.L.; Gleeson, M.; Cox, A.; Callister, R.; Dorrington, M.; D’Este, C.; Pang, G.; Pyne, D.; Fricker, P.; Henriksson, A. Reversal in fatigued athletes of a defect in interferon secretion after administration of Lactobacillus acidophilus. Br. J. Sports Med. 2006, 40, 351–354. [Google Scholar] [CrossRef] [PubMed]
- Olivares, M.; Díaz-Ropero, M.P.; Gómez, N.; Sierra, S.; Lara-Villoslada, F.; Martín, R.; Rodríguez, J.M.; Xaus, J. Dietary deprivation of fermented foods causes a fall in innate immune response. Lactic acid bacteria can counteract the immunological effect of this deprivation. J. Dairy Res. 2006, 73, 492–498. [Google Scholar] [CrossRef]
- Aneway, C.A., Jr.; Medzhitov, R. INNATEIMMUNERECOGNITION. Annu. Rev. Immunol. 2002, 20, 197–216. [Google Scholar] [CrossRef]
- Bermon, S.; Petriz, B.; Kajeniene, A.; Prestes, J.; Castell, L.; Franco, O.L. The microbiota: An exercise immunology perspective. Exerc. Immunol. Rev. 2015, 21, 70–79. [Google Scholar]
- Markowiak, P.; Ślizewska, K. Effects of probiotics, prebiotics, and synbiotics on human health. Nutrients 2017, 9, 1021. [Google Scholar] [CrossRef]
- Pyne, D.B.; West, N.P.; Cox, A.J.; Cripps, A.W. Probiotics supplementation for athletes—Clinical and physiological effects. Eur. J. Sport Sci. 2015, 15, 63–72. [Google Scholar] [CrossRef] [PubMed]
- Moreira, A.; Kekkonen, R.; Korpela, R.; Delgado, L.; Haahtela, T. Allergy in marathon runners and effect of Lactobacillus GG supplementation on allergic inflammatory markers. Respir. Med. 2007, 101, 1123–1131. [Google Scholar] [CrossRef] [PubMed]
- Kekkonen, R.A.; Vasankari, T.J.; Vuorimaa, T.; Haahtela, T.; Julkunen, I.; Korpela, R. The Effect of Probiotics on Respiratory Infections and Gastrointestinal Symptoms during Training in Marathon Runners. Int. J. Sport Nutr. Exerc. Metab. 2007, 17, 352–363. [Google Scholar] [CrossRef]
- O’Brien, K.; Stewart, L.K.; Forney, L.; Aryana, K.J.; Prinyawiwatkul, W.; Boeneke, C. The effects of postexercise consumption of a kefir beverage on performance and recovery during intensive endurance training. J. Dairy Sci. 2015, 98, 7446–7449. [Google Scholar] [CrossRef]
- Marshall, H.; Chrismas, B.C.R.; Suckling, C.A.; Roberts, J.D.; Foster, J.; Taylor, L. Chronic probiotic supplementation with or without glutamine does not influence the eHsp72 response to a multi-day ultra-endurance exercise event. Appl. Physiol. Nutr. Metab. 2017, 42, 876–883. [Google Scholar] [CrossRef]
- Lamprecht, M.; Bogner, S.; Schippinger, G.; Steinbauer, K.; Fankhauser, F.; Hallstroem, S.; Schuetz, B.; Greilberger, J.F. Probiotic supplementation affects markers of intestinal barrier, oxidation, and inflammation in trained men; a randomized, double-blinded, placebo-controlled trial. J. Int. Soc. Sports Nutr. 2012, 9, 45. [Google Scholar] [CrossRef]
- Cox, A.J.; Pyne, D.B.; Saunders, P.U.; Fricker, P.A. Oral administration of the probiotic Lactobacillus fermentum VRI-003 and mucosal immunity in endurance athletes. Br. J. Sports Med. 2010, 44, 222–226. [Google Scholar] [CrossRef]
- West, N.P.; Pyne, D.B.; Cripps, A.W.; Hopkins, W.G.; Eskesen, D.C.; Jairath, A.; Christophersen, C.T.; Conlon, M.A.; Fricker, P.A. Lactobacillus fermentum (PCC®) supplementation and gastrointestinal and respiratory-tract illness symptoms: A randomised control trial in athletes. Nutr. J. 2011, 10, 30. [Google Scholar] [CrossRef] [PubMed]
- Gleeson, M.; Bishop, N.C.; Oliveira, M.; Tauler, P. Daily Probiotic’s (Lactobacillus casei Shirota) Reduction of Infection Incidence in Athletes. Int. J. Sport Nutr. Exerc. Metab. 2011, 21, 55–64. [Google Scholar] [CrossRef] [PubMed]
- Michalickova, D.; Minic, R.; Dikic, N.; Andjelkovic, M.; Kostic-Vucicevic, M.; Stojmenovic, T.; Nikolic, I.; Djordjevic, B. Lactobacillus helveticus Lafti L10 supplementation reduces respiratory infection duration in a cohort of elite athletes: A randomized, double-blind, placebo-controlled trial. Appl. Physiol. Nutr. Metab. 2016, 41, 782–789. [Google Scholar] [CrossRef] [PubMed]
- Zhang, H.; Yeh, C.; Jin, Z.; Ding, L.; Liu, B.Y.; Zhang, L.; Dannelly, H.K. Prospective study of probiotic supplementation results in immune stimulation and improvement of upper respiratory infection rate. Synth. Syst. Biotechnol. 2018, 3, 113–120. [Google Scholar] [CrossRef]
- Pugh, J.N.; Sparks, A.S.; Doran, D.A.; Fleming, S.C.; Langan-Evans, C.; Kirk, B.; Fearn, R.; Morton, J.P.; Close, G.L. Four weeks of probiotic supplementation reduces GI symptoms during a marathon race. Eur. J. Appl. Phys. 2019, 119, 1491–1501. [Google Scholar] [CrossRef] [PubMed]
- Windmueller, H.G.; Spaeth, A.E. Uptake and Metabolism of Plasma Glutamine by the Small Intestine. J. Biol. Chem. 1974, 249, 5070–5079. [Google Scholar] [CrossRef]
- Cooney, D.; Davis, R.; Van Atta, G. A spectrophotometric method for the simultaneous measurement of l-glutamine and l-asparagine in biological materials. Anal. Biochem. 1971, 40, 312–326. [Google Scholar] [CrossRef]
- Usui, T.; Yoshikawa, T.; Orita, K.; Ueda, S.-Y.; Katsura, Y.; Fujimoto, S.; Yoshimura, M. Changes in salivary antimicrobial peptides, immunoglobulin A and cortisol after prolonged strenuous exercise. Eur. J. Appl. Physiol. 2011, 111, 2005–2014. [Google Scholar] [CrossRef] [PubMed]
- Barrett, B.; Locken, K.; Maberry, R.; Schwamman, J.; Brown, R.; Bobula, J.; Stauffacher, E.A. The Wisconsin Upper Respiratory Symptom Survey (WURSS): A New Research Instrument for Assessing the Common Cold. J. Fam. Pract. 2002, 51, 265. [Google Scholar] [PubMed]
- Moreira, A.; Cavazzoni, P.B. Monitorando o treinamento através do Wisconsin upper respiratory symptom survey-21 e daily analysis of life demands in athletes nas versões em língua Portuguesa. Rev. Educ. Física/UEM 2009, 20, 109–119. [Google Scholar] [CrossRef][Green Version]
- Haywood, B.A.; Black, K.E.; Baker, D.; McGarvey, J.; Healey, P.; Brown, R.C. Probiotic supplementation reduces the duration and incidence of infections but not severity in elite rugby union players. J. Sci. Med. Sport 2014, 17, 356–360. [Google Scholar] [CrossRef] [PubMed]
- West, N.P.; Horn, P.L.; Pyne, D.B.; Gebski, V.J.; Lahtinen, S.J.; Fricker, P.A.; Cripps, A.W. Probiotic supplementation for respiratory and gastrointestinal illness symptoms in healthy physically active individuals. Clin. Nutr. 2014, 33, 581–587. [Google Scholar] [CrossRef] [PubMed]
- Gupta, V.; Garg, R. Probiotics. Indian J. Med. Microbiol. 2009, 27, 202–209. [Google Scholar] [CrossRef]
- Ursell, L.K.; Metcalf, J.L.; Parfrey, L.W.; Knight, R. Defining the human microbiome. Nutr. Rev. 2012, 70, S38–S44. [Google Scholar] [CrossRef]
- Hemarajata, P.; Versalovic, J. Effects of probiotics on gut microbiota: Mechanisms of intestinal immunomodulation and neuromodulation. Ther. Adv. Gastroenterol. 2013, 6, 39–51. [Google Scholar] [CrossRef]
- Singh, R.K.; Chang, H.-W.; Yan, D.; Lee, K.M.; Ucmak, D.; Wong, K.; Abrouk, M.; Farahnik, B.; Nakamura, M.; Zhu, T.H.; et al. Influence of diet on the gut microbiome and implications for human health. J. Transl. Med. 2017, 15, 1–17. [Google Scholar] [CrossRef]
- Swanson, K.S.; Gibson, G.R.; Hutkins, R.; Reimer, R.A.; Reid, G.; Verbeke, K.; Scott, K.P.; Holscher, H.D.; Azad, M.B.; Delzenne, N.M.; et al. The International Scientific Association for Probiotics and Prebiotics (ISAPP) consensus statement on the definition and scope of synbiotics. Nat. Rev. Gastroenterol. Hepatol. 2020, 17, 687–701. [Google Scholar] [CrossRef]
- Zheng, D.; Liwinski, T.; Elinav, E. Interaction between microbiota and immunity in health and disease. Cell Res. 2020, 30, 492–506. [Google Scholar] [CrossRef]
- Wosinska, L.; Cotter, P.D.; O’Sullivan, O.; Guinane, C. The Potential Impact of Probiotics on the Gut Microbiome of Athletes. Nutrients 2019, 11, 2270. [Google Scholar] [CrossRef]
- Lacy, P.; Stow, J.L. Cytokine release from innate immune cells: Association with diverse membrane trafficking pathways. Blood 2011, 118, 9–18. [Google Scholar] [CrossRef] [PubMed]
- Danis, V.A.; Millington, M.; Hyland, V.J.; Grennan, D. Cytokine production by normal human monocytes: Inter-subject variation and relationship to an IL-1 receptor antagonist (IL-1Ra) gene polymorphism. Clin. Exp. Immunol. 1995, 99, 303–310. [Google Scholar] [CrossRef]
- Guha, M.; Mackman, N. LPS induction of gene expression in human monocytes. Cell. Signal. 2001, 13, 85–94. [Google Scholar] [CrossRef]
- Triantafilou, M.; Triantafilou, K. Lipopolysaccharide recognition: CD14, TLRs and the LPS-activation cluster. Trends Immunol. 2002, 23, 301–304. [Google Scholar] [CrossRef]
- Scheller, J.; Chalaris, A.; Schmidt-Arras, D.; Rose-John, S. The pro- and anti-inflammatory properties of the cytokine interleukin-Biochim. Biophys. Acta (BBA) Mol. Cell Res. 2011, 1813, 878–888. [Google Scholar] [CrossRef]
- Gleeson, M.; Bishop, N.C.; Stensel, D.J.; Lindley, M.R.; Mastana, S.S.; Nimmo, M.A. The anti-inflammatory effects of exercise: Mechanisms and implications for the prevention and treatment of disease. Nat. Rev. Immunol. 2011, 11, 607–610. [Google Scholar] [CrossRef]
- Yang, J.; Zhang, L.; Yu, C.; Yang, X.-F.; Wang, H. Monocyte and macrophage differentiation: Circulation inflammatory monocyte as biomarker for inflammatory diseases. Biomark. Res. 2014, 2, 1. [Google Scholar] [CrossRef] [PubMed]
- Zhao, G.; Zhou, S.; Davie, A.; Su, Q. Effects of moderate and high intensity exercise on T1/T2 balance. Exerc. Immunol. Rev. 2012, 18, 97–113. [Google Scholar]
- Peake, J.M.; Della Gatta, P.; Suzuki, K.; Nieman, D. Cytokine expression and secretion by skeletal muscle cells: Regulatory mechanisms and exercise effects. Exerc. Immunol. Rev. 2015, 21, 8–25. [Google Scholar]
- Ostrowski, K.; Rohde, T.; Asp, S.; Schjerling, P.; Pedersen, B.K. Pro- and anti-inflammatory cytokine balance in strenuous exercise in humans. J. Physiol. 1999, 515, 287–291. [Google Scholar] [CrossRef]
- Nieman, D.C.; Henson, D.A.; Smith, L.L.; Utter, A.C.; Vinci, D.M.; Davis, J.M.; Kaminsky, D.E.; Shute, M. Cytokine changes after a marathon race. J. Appl. Physiol. 2001, 91, 109–114. [Google Scholar] [CrossRef] [PubMed]
- Steensberg, A.; Toft, A.D.; Bruunsgaard, H.; Sandmand, M.; Halkjær-Kristensen, J.; Pedersen, B.K. Strenuous exercise decreases the percentage of type 1 T cells in the circulation. J. Appl. Physiol. 2001, 91, 1708–1712. [Google Scholar] [CrossRef]
- Lancaster, G.I.; Halson, S.L.; Khan, Q.; Drysdale, P.; Wallace, F.; Jeukendrup, A.E.; Drayson, M.T.; Gleeson, M. Effects of acute exhaustive exercise and chronic exercise training on type 1 and type 2 T lymphocytes. Exerc. Immunol. Rev. 2004, 10, 91–106. [Google Scholar] [PubMed]
- Walsh, N.P.; Gleeson, M.; Shephard, R.J.; Gleeson, M.; Woods, J.A.; Bishop, N.; Fleshner, M.; Green, C.; Pedersen, B.K.; Hoffman-Goete, L.; et al. Position Statement Part one: Immune function and exercise CONSENSUS STATEMENT. Exerc. Immunol. Rev. 2011, 17, 6–63. [Google Scholar]
- Malek, T.R. The main function of IL-2 is to promote the development of T regulatory cells. J. Leukoc. Biol. 2003, 74, 961–965. [Google Scholar] [CrossRef] [PubMed]
- Castell, L.M.; Newsholme, E.A.; Poortmans, J.R. Does glutamine have a role in reducing infections in athletes? Eur. J. Appl. Physiol. Occup. Physiol. 1996, 73, 488–490. [Google Scholar] [CrossRef]
- Walsh, N.P.; Blannin, A.K.; Robson, P.J.; Gleeson, M. Glutamine, Exercise and Immune Function. Sports Med. 1998, 26, 177–191. [Google Scholar] [CrossRef] [PubMed]
- Newsholme, E.A.; Crabtree, B.; Ardawi, M.S.M. The role of high rates of glycolysis and glutamine utilization in rapidly dividing cells. Biosci. Rep. 1985, 5, 393–400. [Google Scholar] [CrossRef]
- Åkerström, T.C.A.; Pedersen, B.K. Strategies to Enhance Immune Function for Marathon Runners. Sports Med. 2007, 37, 416–419. [Google Scholar] [CrossRef]
- Murphy, C.; Newsholme, P. Importance of glutamine metabolism in murine macrophages and human monocytes to L-arginine biosynthesis and rates of nitrite or urea production. Clin. Sci. 1998, 95, 397–407. [Google Scholar] [CrossRef]
- Castell, L.M. Glutamine Supplementation In Vitro and In Vivo, in Exercise and in Immunodepression. Sports Med. 2003, 33, 323–345. [Google Scholar] [CrossRef]
- Reeds, P.J.; Burrin, D.G. Glutamine and the Bowel. J. Nutr. 2001, 131, 2505S–2508S. [Google Scholar] [CrossRef]
- Mamus, R.T.; Dos Santos, M.G.; Campbell, B.; Kreider, R. Biochemical Effects of Carbohydrate Supplementation in a Simulated Competition of Short Terrestrial Duathlon. J. Int. Soc. Sports Nutr. 2006, 3, 6. [Google Scholar] [CrossRef]
- Gunzer, W.; Konrad, M.; Pail, E. Exercise-Induced Immunodepression in Endurance Athletes and Nutritional Intervention with Carbohydrate, Protein and Fat—What Is Possible, What Is Not? Nutrients 2012, 4, 1187–1212. [Google Scholar] [CrossRef]
- Gleeson, M.; McDonald, W.A.; Cripps, A.W.; Pyne, D.B.; Clancy, R.L.; Fricker, P.A. The effect on immunity of long-term intensive training in elite swimmers. Clin. Exp. Immunol. 1995, 102, 210–216. [Google Scholar] [CrossRef] [PubMed]
- Gleeson, M.; McDonald, W.A.; Pyne, D.B.; Cripps, A.W.; Francis, J.L.; Fricker, P.A.; Clancy, R.L. Salivary IgA levels and infection risk in elite swimmers. Med. Sci. Sports Exerc. 1999, 31, 67–73. [Google Scholar] [CrossRef] [PubMed]
- Nieman, D.C.; Henson, D.A.; Dumke, C.L.; Lind, R.H.; Shooter, L.R.; Gross, S.J. Relationship between salivary IgA secretion and upper respiratory tract infection following a 160-km race. J. Sports Med. Phys. Fit. 2006, 46, 158–162. Available online: https://europepmc.org/article/med/16596116 (accessed on 18 February 2021).
- Ihalainen, J.K.; Schumann, M.; Häkkinen, K.; Mero, A.A. Mucosal immunity and upper respiratory tract symptoms in recreational endurance runners. Appl. Physiol. Nutr. Metab. 2016, 41, 96–102. [Google Scholar] [CrossRef] [PubMed]







| Authors | Probiotic | Dose | Time | Results |
|---|---|---|---|---|
| Moreira et al., 2007 | L. GG (LGG) | 3 × 108 CFU | 12 weeks | ↔ prevention allergic markers |
| Kekkonen et al., 2007 | L. GG (LGG) | 4 × 1010 CFU | 12 weeks | ↔ symptoms respiratory infections |
| Cox et al., 2010 | L. fermentum VRI-003 | 1.26 × 1010 CFU | 16 weeks | ↓ incidence ↓ severity URTI |
| West et al., 2011 | L. fermentum VRI-003 | 1 × 109 CFU | 11 weeks | ↓ incidence GI symptoms ↓ incidence URTI |
| Gleeson et al., 2011 | L. casei shirota LcS | 6.5 × 109 CFU | 16 weeks | ↓ frequency URTI |
| Lamprecht et al., 2012 | B. bifidum W23 B. lactis W51 E. faecium W54 L.acidophilus W22 L. brevis W63 L. lactis W58 | 1 × 1010 CFU | 14 weeks | Benefits on intestinal permeability |
| West et al., 2014 | B. animalis subsp. lactis Bl-04 | 2 × 109 CFU | 23 weeks | ↓ risk URTI |
| Haywood et al., 2014 | L. gasseri B. bifidum B. longum | 2.6 × 109 CFU 0.2 × 109 CFU 0.2 × 109 CFU | 4 weeks | ↓ incidence ↔ severity URTI |
| Michalickova et al., 2016 | L. helveticus lafit L10 | 2 × 1010 CFU | 14 weeks | ↓ duration ↓ symptoms URTI |
| Zhang et al., 2018 | L. paracasei L. casei 431 L. fermentium PCC | 3 × 107 CFU 3 × 107 CFU 3 × 106 CFU | 12 weeks | ↓ symptoms ↓ risk URTI |
| Variable | Placebo n = 7 | Probiotic n = 7 | p-Value |
|---|---|---|---|
| Age (years) | 38.28 ± 3.09 | 41.57 ± 3.20 | 0.075 |
| Race Time (min) | 243.0 ± 33.73 | 252.87 ± 39.77 | 0.62 |
| Average Speed (km/h) | 10.73 ± 1.53 | 10.41 ± 1.48 | 0.70 |
| Body Mass (kg) | 78.43 ± 8.40 | 71.24 ± 3.55 | 0.059 |
| Height (cm) | 179.36 ± 5.23 | 175.82 ± 3.01 | 0.14 |
| BMI (kg/m²) | 24.90 ± 1.81 | 23.08 ± 1.83 | 0.087 |
| Fat Mass (%) | 19.7 ± 6.87 | 14.48 ± 3.63 | 0.10 |
| Free Fat Mass (%) | 80.3 ± 6.87 | 85.5 ± 3.63 | 0.10 |
| Fat Mass (kg) | 16.03 ± 6.29 | 10.95 ± 2.29 | 0.068 |
| Free Fat Mass (kg) | 64.47 ± 8.49 | 60.77 ± 4.27 | 0.32 |
| Variable | Placebo n = 7 | Probiotic n = 7 | p-Value |
|---|---|---|---|
| VO2Peak (kg/mL/min) | 54.53 ± 6.88 | 56.92 ± 8.35 | 0.57 |
| VO2Peak (L/min) | 4.16 ± 0.45 | 4.08 ± 0.70 | 0.79 |
| Maximum Speed (Km/h) | 17.16 ± 1.57 | 17.57 ± 1.27 | 0.60 |
| Maximum HR (Bpm) | 182.16 ± 10.05 | 178.7 ± 3.45 | 0.40 |
| VE Maximum (L/min) | 143.05 ± 21.01 | 139.68 ± 10.52 | 0.71 |
| LT1 VO2 (kg/mL/min) | 41.73 ± 7.58 | 42.80 ± 9.25 | 0.81 |
| LT2 VO2 (kg/mL/min) | 48.88 ± 6.87 | 49.37 ± 8.49 | 0.90 |
| LT1 HR (Bpm) | 154.83 ± 10.44 | 151.71 ± 5.76 | 0.50 |
| LT2 HR (Bpm) | 170.0 ± 7.52 | 163.85 ± 5.89 | 0.11 |
| Placebo n = 7 | Probiotic n = 7 | p-Value | |
|---|---|---|---|
| Kcal | Kcal | ||
| TCV (kcal) | 1994.46 ± 365.73 | 2434.69 ± 505.53 | 0.087 |
| % | % | ||
| Carbohydrate | 47.77 ± 4.27 | 47.88 ± 16.98 | 0.98 |
| Proteins | 18.92 ± 1.62 | 17.53 ± 4.07 | 0.42 |
| Lipids | 33.28 ± 2.76 | 34.56 ± 12.96 | 0.80 |
| Grams | Grams | ||
| Carbohydrate | 237.46 ± 61.11 | 294.52 ± 122.76 | 0.29 |
| Proteins | 92.66 ± 7.10 | 105.95 ± 38.37 | 0.38 |
| Lipids | 74.88 ± 10.65 | 92.52 ± 51.14 | 0.38 |
Publisher’s Note: MDPI stays neutral with regard to jurisdictional claims in published maps and institutional affiliations. |
© 2021 by the authors. Licensee MDPI, Basel, Switzerland. This article is an open access article distributed under the terms and conditions of the Creative Commons Attribution (CC BY) license (https://creativecommons.org/licenses/by/4.0/).
Share and Cite
Tavares-Silva, E.; Caris, A.V.; Santos, S.A.; Ravacci, G.R.; Thomatieli-Santos, R.V. Effect of Multi-Strain Probiotic Supplementation on URTI Symptoms and Cytokine Production by Monocytes after a Marathon Race: A Randomized, Double-Blind, Placebo Study. Nutrients 2021, 13, 1478. https://doi.org/10.3390/nu13051478
Tavares-Silva E, Caris AV, Santos SA, Ravacci GR, Thomatieli-Santos RV. Effect of Multi-Strain Probiotic Supplementation on URTI Symptoms and Cytokine Production by Monocytes after a Marathon Race: A Randomized, Double-Blind, Placebo Study. Nutrients. 2021; 13(5):1478. https://doi.org/10.3390/nu13051478
Chicago/Turabian StyleTavares-Silva, Edgar, Aline Venticinque Caris, Samile Amorin Santos, Graziela Rosa Ravacci, and Ronaldo Vagner Thomatieli-Santos. 2021. "Effect of Multi-Strain Probiotic Supplementation on URTI Symptoms and Cytokine Production by Monocytes after a Marathon Race: A Randomized, Double-Blind, Placebo Study" Nutrients 13, no. 5: 1478. https://doi.org/10.3390/nu13051478
APA StyleTavares-Silva, E., Caris, A. V., Santos, S. A., Ravacci, G. R., & Thomatieli-Santos, R. V. (2021). Effect of Multi-Strain Probiotic Supplementation on URTI Symptoms and Cytokine Production by Monocytes after a Marathon Race: A Randomized, Double-Blind, Placebo Study. Nutrients, 13(5), 1478. https://doi.org/10.3390/nu13051478

