Associations of Dietary ω-3, ω-6 Fatty Acids Consumption with Sleep Disorders and Sleep Duration among Adults
Abstract
1. Introduction
2. Materials and Methods
2.1. Analytic Sample
2.2. Outcomes
2.3. Dietary ω-3 and ω-6 Fatty Acids Consumption
2.4. Covariates
2.5. Statistical Analysis
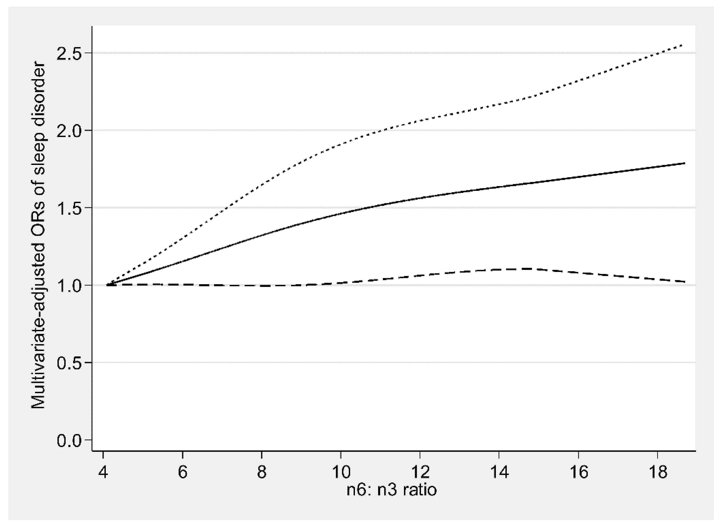
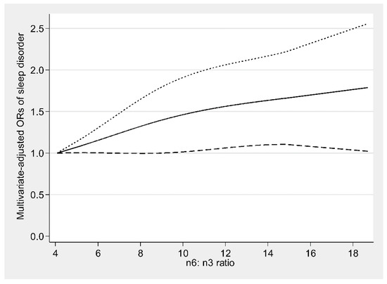
3. Results
4. Discussion
5. Conclusions
Supplementary Materials
Author Contributions
Funding
Institutional Review Board Statement
Informed Consent Statement
Data Availability Statement
Acknowledgments
Conflicts of Interest
References
- Tempesta, D.; Socci, V.; De Gennaro, L.; Ferrara, M. Sleep and emotional processing. Sleep Med. Rev. 2018, 40, 183–195. [Google Scholar] [CrossRef] [PubMed]
- Besedovsky, L.; Lange, T.; Born, J. Sleep and immune function. Pflug. Arch. Eur. J. Physiol. 2012, 463, 121–137. [Google Scholar] [CrossRef]
- Curcio, G.; Ferrara, M.; De Gennaro, L. Sleep loss, learning capacity and academic performance. Sleep Med. Rev. 2006, 10, 323–337. [Google Scholar] [CrossRef]
- Sateia, M.J. International classification of sleep disorders-third edition: Highlights and modifications. Chest 2014, 146, 1387–1394. [Google Scholar] [CrossRef]
- Lu, L.; Wang, S.B.; Rao, W.; Zhang, Q.; Ungvari, G.S.; Ng, C.H.; Kou, C.; Jia, F.J.; Xiang, Y.T. The Prevalence of Sleep Disturbances and Sleep Quality in Older Chinese Adults: A Comprehensive Meta-Analysis. Behav. Sleep Med. 2019, 17, 683–697. [Google Scholar] [CrossRef] [PubMed]
- Kerkhof, G.A. Epidemiology of sleep and sleep disorders in The Netherlands. Sleep Med. 2017, 30, 229–239. [Google Scholar] [CrossRef] [PubMed]
- Sun, J.; Jiang, H.; Wang, W.; Dong, X.; Zhang, D. Associations of Urinary Phytoestrogen Concentrations with Sleep Disorders and Sleep Duration among Adults. Nutrients 2020, 12, 2103. [Google Scholar] [CrossRef]
- Zhong, H.H.; Yu, B.; Luo, D.; Yang, L.Y.; Zhang, J.; Jiang, S.S.; Hu, S.J.; Luo, Y.Y.; Yang, M.W.; Hong, F.F.; et al. Roles of aging in sleep. Neurosci. Biobehav. Rev. 2019, 98, 177–184. [Google Scholar] [CrossRef] [PubMed]
- Suh, S.W.; Han, J.W.; Han, J.H.; Bae, J.B.; Moon, W.; Kim, H.S.; Oh, D.J.; Kwak, K.P.; Kim, B.J.; Kim, S.G.; et al. Sex differences in subjective age-associated changes in sleep: A prospective elderly cohort study. Aging 2020, 12, 21942–21958. [Google Scholar] [CrossRef]
- Luca, G.; Haba Rubio, J.; Andries, D.; Tobback, N.; Vollenweider, P.; Waeber, G.; Marques Vidal, P.; Preisig, M.; Heinzer, R.; Tafti, M. Age and gender variations of sleep in subjects without sleep disorders. Ann. Med. 2015, 47, 482–491. [Google Scholar] [CrossRef]
- Cappuccio, F.P.; Cooper, D.; D’Elia, L.; Strazzullo, P.; Miller, M.A. Sleep duration predicts cardiovascular outcomes: A systematic review and meta-analysis of prospective studies. Eur. Heart J. 2011, 32, 1484–1492. [Google Scholar] [CrossRef]
- Drager, L.F.; McEvoy, R.D.; Barbe, F.; Lorenzi-Filho, G.; Redline, S. Sleep Apnea and Cardiovascular Disease: Lessons From Recent Trials and Need for Team Science. Circulation 2017, 136, 1840–1850. [Google Scholar] [CrossRef]
- Lowe, C.J.; Safati, A.; Hall, P.A. The neurocognitive consequences of sleep restriction: A meta-analytic review. Neurosci. Biobehav. Rev. 2017, 80, 586–604. [Google Scholar] [CrossRef]
- Shan, Z.; Ma, H.; Xie, M.; Yan, P.; Guo, Y.; Bao, W.; Rong, Y.; Jackson, C.L.; Hu, F.B.; Liu, L. Sleep duration and risk of type 2 diabetes: A meta-analysis of prospective studies. Diabetes Care 2015, 38, 529–537. [Google Scholar] [CrossRef] [PubMed]
- Zhai, L.; Zhang, H.; Zhang, D. Sleep duration and depression among adults: A meta-analysis of prospective studies. Depress. Anxiety 2015, 32, 664–670. [Google Scholar] [CrossRef] [PubMed]
- Noorwali, E.; Hardie, L.; Cade, J. Fruit and Vegetable Consumption and Their Polyphenol Content Are Inversely Associated with Sleep Duration: Prospective Associations from the UK Women’s Cohort Study. Nutrients 2018, 10, 1803. [Google Scholar] [CrossRef]
- Valtonen, M.; Niskanen, L.; Kangas, A.P.; Koskinen, T. Effect of melatonin-rich night-time milk on sleep and activity in elderly institutionalized subjects. Nord. J. Psychiatry 2005, 59, 217–221. [Google Scholar] [CrossRef]
- Clark, I.; Landolt, H.P. Coffee, caffeine, and sleep: A systematic review of epidemiological studies and randomized controlled trials. Sleep Med. Rev. 2017, 31, 70–78. [Google Scholar] [CrossRef]
- Cherasse, Y.; Urade, Y. Dietary Zinc Acts as a Sleep Modulator. Int. J. Mol. Sci. 2017, 18, 2334. [Google Scholar] [CrossRef]
- Meyer, B.J.; Mann, N.J.; Lewis, J.L.; Milligan, G.C.; Sinclair, A.J.; Howe, P.R. Dietary intakes and food sources of omega-6 and omega-3 polyunsaturated fatty acids. Lipids 2003, 38, 391–398. [Google Scholar] [CrossRef] [PubMed]
- Lohner, S.; Fekete, K.; Marosvölgyi, T.; Decsi, T. Gender differences in the long-chain polyunsaturated fatty acid status: Systematic review of 51 publications. Ann. Nutr. Metab. 2013, 62, 98–112. [Google Scholar] [CrossRef]
- Kim, H.; Enrione, E.B.; Narayanan, V.; Li, T.; Campa, A. Gender Differences in the Associations of Plasma Pyridoxal 5’-Phosphate with Plasma Polyunsaturated Fatty Acids among US Young and Middle-Aged Adults: NHANES 2003–2004. Nutrients 2021, 13, 477. [Google Scholar] [CrossRef]
- Shahidi, F.; Ambigaipalan, P. Omega-3 Polyunsaturated Fatty Acids and Their Health Benefits. Annu. Rev. Food Sci. Technol. 2018, 9, 345–381. [Google Scholar] [CrossRef] [PubMed]
- Decoeur, F.; Benmamar-Badel, A.; Leyrolle, Q.; Persillet, M.; Layé, S.; Nadjar, A. Dietary N-3 PUFA deficiency affects sleep-wake activity in basal condition and in response to an inflammatory challenge in mice. Brain Behav. Immun. 2020, 85, 162–169. [Google Scholar] [CrossRef] [PubMed]
- He, K.; Liu, K.; Daviglus, M.L.; Jenny, N.S.; Mayer-Davis, E.; Jiang, R.; Steffen, L.; Siscovick, D.; Tsai, M.; Herrington, D. Associations of dietary long-chain n-3 polyunsaturated fatty acids and fish with biomarkers of inflammation and endothelial activation (from the Multi-Ethnic Study of Atherosclerosis [MESA]). Am. J. Cardiol. 2009, 103, 1238–1243. [Google Scholar] [CrossRef] [PubMed]
- Yehuda, S.; Rabinovitz, S.; Mostofsky, D.I. Essential fatty acids and sleep: Mini-review and hypothesis. Med. Hypotheses 1998, 50, 139–145. [Google Scholar] [CrossRef]
- Madore, C.; Leyrolle, Q.; Morel, L.; Rossitto, M.; Greenhalgh, A.D.; Delpech, J.C.; Martinat, M.; Bosch-Bouju, C.; Bourel, J.; Rani, B.; et al. Essential omega-3 fatty acids tune microglial phagocytosis of synaptic elements in the mouse developing brain. Nat. Commun. 2020, 11, 6133. [Google Scholar] [CrossRef]
- Del Brutto, O.H.; Mera, R.M.; Ha, J.E.; Gillman, J.; Zambrano, M.; Castillo, P.R. Dietary fish intake and sleep quality: A population-based study. Sleep Med. 2016, 17, 126–128. [Google Scholar] [CrossRef] [PubMed]
- Montgomery, P.; Burton, J.R.; Sewell, R.P.; Spreckelsen, T.F.; Richardson, A.J. Fatty acids and sleep in UK children: Subjective and pilot objective sleep results from the DOLAB study—A randomized controlled trial. J. Sleep Res. 2014, 23, 364–388. [Google Scholar] [CrossRef]
- Irmisch, G.; Schläfke, D.; Gierow, W.; Herpertz, S.; Richter, J. Fatty acids and sleep in depressed inpatients. ProstaglandinsLeukot. Essent. Fat. Acids 2007, 76, 1–7. [Google Scholar] [CrossRef] [PubMed]
- Scorza, F.A.; Cavalheiro, E.A.; Scorza, C.A.; Galduróz, J.C.; Tufik, S.; Andersen, M.L. Sleep Apnea and Inflammation—Getting a Good Night’s Sleep with Omega-3 Supplementation. Front. Neurol. 2013, 4, 193. [Google Scholar] [CrossRef]
- Tang, J.; Yan, Y.; Zheng, J.S.; Mi, J.; Li, D. Association between Erythrocyte Membrane Phospholipid Fatty Acids and Sleep Disturbance in Chinese Children and Adolescents. Nutrients 2018, 10, 344. [Google Scholar] [CrossRef] [PubMed]
- Cheruku, S.R.; Montgomery-Downs, H.E.; Farkas, S.L.; Thoman, E.B.; Lammi-Keefe, C.J. Higher maternal plasma docosahexaenoic acid during pregnancy is associated with more mature neonatal sleep-state patterning. Am. J. Clin. Nutr. 2002, 76, 608–613. [Google Scholar] [CrossRef] [PubMed]
- Hysing, M.; Kvestad, I.; Kjellevold, M.; Kolden Midtbø, L.; Graff, I.E.; Lie, Ø.; Hurum, H.; Stormark, K.M.; Øyen, J. Fatty Fish Intake and the Effect on Mental Health and Sleep in Preschool Children in FINS-KIDS, a Randomized Controlled Trial. Nutrients 2018, 10, 1478. [Google Scholar] [CrossRef]
- Cornu, C.; Remontet, L.; Noel-Baron, F.; Nicolas, A.; Feugier-Favier, N.; Roy, P.; Claustrat, B.; Saadatian-Elahi, M.; Kassaï, B. A dietary supplement to improve the quality of sleep: A randomized placebo controlled trial. BMC Complement. Altern. Med. 2010, 10, 29. [Google Scholar] [CrossRef] [PubMed]
- Cohen, L.S.; Joffe, H.; Guthrie, K.A.; Ensrud, K.E.; Freeman, M.; Carpenter, J.S.; Learman, L.A.; Newton, K.M.; Reed, S.D.; Manson, J.E.; et al. Efficacy of omega-3 for vasomotor symptoms treatment: A randomized controlled trial. Menopause N. Y. 2014, 21, 347–354. [Google Scholar] [CrossRef] [PubMed]
- Hansen, A.L.; Dahl, L.; Olson, G.; Thornton, D.; Graff, I.E.; Frøyland, L.; Thayer, J.F.; Pallesen, S. Fish consumption, sleep, daily functioning, and heart rate variability. J. Clin. Sleep Med. JCSM Off. Publ. Am. Acad. Sleep Med. 2014, 10, 567–575. [Google Scholar] [CrossRef]
- Zhao, M.; Tuo, H.; Wang, S.; Zhao, L. The Effects of Dietary Nutrition on Sleep and Sleep Disorders. Mediat. Inflamm. 2020, 2020, 3142874. [Google Scholar] [CrossRef] [PubMed]
- Sri Kantha, S.; Matsumura, H.; Kubo, E.; Kawase, K.; Takahata, R.; Serhan, C.N.; Hayaishi, O. Effects of prostaglandin D2, lipoxins and leukotrienes on sleep and brain temperature of rats. ProstaglandinsLeukot. Essent. Fat. Acids 1994, 51, 87–93. [Google Scholar] [CrossRef]
- Zipf, G.; Chiappa, M.; Porter, K.S.; Ostchega, Y.; Lewis, B.G.; Dostal, J. National health and nutrition examination survey: Plan and operations, 1999–2010. Vital Health Stat. Ser. 1 Programs Collect. Proced. 2013, 56, 1–37. [Google Scholar]
- Chen, J.; Sun, B.; Zhang, D. Association of Dietary n3 and n6 Fatty Acids Intake with Hypertension: NHANES 2007–2014. Nutrients 2019, 11, 1232. [Google Scholar] [CrossRef]
- Beydoun, H.A.; Beydoun, M.A.; Jeng, H.A.; Zonderman, A.B.; Eid, S.M. Bisphenol-A and Sleep Adequacy among Adults in the National Health and Nutrition Examination Surveys. Sleep 2016, 39, 467–476. [Google Scholar] [CrossRef]
- Willett, W.; Stampfer, M.J. Total energy intake: Implications for epidemiologic analyses. Am. J. Epidemiol. 1986, 124, 17–27. [Google Scholar] [CrossRef] [PubMed]
- Krueger, P.M.; Friedman, E.M. Sleep duration in the United States: A cross-sectional population-based study. Am. J. Epidemiol. 2009, 169, 1052–1063. [Google Scholar] [CrossRef] [PubMed]
- Wu, W.; Zhao, A.; Szeto, I.M.; Wang, Y.; Meng, L.; Li, T.; Zhang, J.; Wang, M.; Tian, Z.; Zhang, Y. Diet quality, consumption of seafood and eggs are associated with sleep quality among Chinese urban adults: A cross-sectional study in eight cities of China. Food Sci. Nutr. 2019, 7, 2091–2102. [Google Scholar] [CrossRef] [PubMed]
- Katagiri, R.; Asakura, K.; Kobayashi, S.; Suga, H.; Sasaki, S. Low intake of vegetables, high intake of confectionary, and unhealthy eating habits are associated with poor sleep quality among middle-aged female Japanese workers. J. Occup. Health 2014, 56, 359–368. [Google Scholar] [CrossRef]
- Komada, Y.; Narisawa, H.; Ueda, F.; Saito, H.; Sakaguchi, H.; Mitarai, M.; Suzuki, R.; Tamura, N.; Inoue, S.; Inoue, Y. Relationship between Self-Reported Dietary Nutrient Intake and Self-Reported Sleep Duration among Japanese Adults. Nutrients 2017, 9, 134. [Google Scholar] [CrossRef]
- Uauy, R.; Hoffman, D.R.; Peirano, P.; Birch, D.G.; Birch, E.E. Essential fatty acids in visual and brain development. Lipids 2001, 36, 885–895. [Google Scholar] [CrossRef] [PubMed]
- Li, H.; Liu, D.; Zhang, E. Effect of fish oil supplementation on fatty acid composition and neurotransmitters of growing rats. Wei Sheng Yan Jiu J. Hyg. Res. 2000, 29, 47–49. [Google Scholar]
- Cespuglio, R. Serotonin: Its place today in sleep preparation, triggering or maintenance. Sleep Med. 2018, 49, 31–39. [Google Scholar] [CrossRef]
- Kheirandish-Gozal, L.; Gozal, D.; Pépin, J.L. Inflammation in sleep debt and sleep disorders. Mediat. Inflamm. 2015, 2015, 343265. [Google Scholar] [CrossRef]
- Patterson, E.; Wall, R.; Fitzgerald, G.F.; Ross, R.P.; Stanton, C. Health implications of high dietary omega-6 polyunsaturated Fatty acids. J. Nutr. Metab. 2012, 2012, 539426. [Google Scholar] [CrossRef]
- Bagga, D.; Wang, L.; Farias-Eisner, R.; Glaspy, J.A.; Reddy, S.T. Differential effects of prostaglandin derived from omega-6 and omega-3 polyunsaturated fatty acids on COX-2 expression and IL-6 secretion. Proc. Natl. Acad. Sci. USA 2003, 100, 1751–1756. [Google Scholar] [CrossRef] [PubMed]
- Yehuda, S.; Rabinovtz, S.; Carasso, R.L.; Mostofsky, D.I. Essential fatty acids preparation (SR-3) improves Alzheimer’s patients quality of life. Int. J. Neurosci. 1996, 87, 141–149. [Google Scholar] [CrossRef] [PubMed]
- Currenti, W.; Godos, J.; Castellano, S.; Mogavero, M.P.; Ferri, R.; Caraci, F.; Grosso, G.; Galvano, F. Time restricted feeding and mental health: A review of possible mechanisms on affective and cognitive disorders. Int. J. Food Sci. Nutr. 2020, 1–11. [Google Scholar] [CrossRef]
- Hock, C.; Heese, K.; Hulette, C.; Rosenberg, C.; Otten, U. Region-specific neurotrophin imbalances in Alzheimer disease: Decreased levels of brain-derived neurotrophic factor and increased levels of nerve growth factor in hippocampus and cortical areas. Arch. Neurol. 2000, 57, 846–851. [Google Scholar] [CrossRef] [PubMed]
- Guarnieri, B.; Adorni, F.; Musicco, M.; Appollonio, I.; Bonanni, E.; Caffarra, P.; Caltagirone, C.; Cerroni, G.; Concari, L.; Cosentino, F.I.; et al. Prevalence of sleep disturbances in mild cognitive impairment and dementing disorders: A multicenter Italian clinical cross-sectional study on 431 patients. Dement. Geriatr. Cogn. Disord. 2012, 33, 50–58. [Google Scholar] [CrossRef]
- Ma, Y.; Liang, L.; Zheng, F.; Shi, L.; Zhong, B.; Xie, W. Association Between Sleep Duration and Cognitive Decline. JAMA Netw. Open 2020, 3, e2013573. [Google Scholar] [CrossRef]
- Lin, Y.-H.; Brown, J.A.; DiMartino, C.; Dahms, I.; Salem, N., Jr.; Hibbeln, J.R. Differences in long chain polyunsaturates composition and metabolism in male and female rats. Prostaglandins Leukot. Essent. Fat. Acids 2016, 113, 19–27. [Google Scholar] [CrossRef]
- Mallampalli, M.P.; Carter, C.L. Exploring sex and gender differences in sleep health: A Society for Women’s Health Research Report. J Womens Health Larchmt 2014, 23, 553–562. [Google Scholar] [CrossRef]





| Characteristics | No Sleep Disorders | Sleep Disorders | p Value |
|---|---|---|---|
| Number of subjects (%) a | 16,779 (91.64) | 1531 (8.36) | |
| Age (year) (%) a | <0.001 | ||
| 18–44 | 7493 (44.61) | 445 (29.07) | |
| 45–59 | 3942 (23.47) | 486 (31.74) | |
| ≥60 | 5362 (31.92) | 600 (39.19) | |
| Sex (%) a | 0.028 | ||
| Male | 8189 (48.81) | 792 (51.73) | |
| Female | 8590 (51.19) | 739 (48.27) | |
| Race/ethnicity (%) a | <0.001 | ||
| Mexican American | 2573 (15.33) | 133 (8.69) | |
| Other Hispanic | 1675 (9.98) | 163 (10.65) | |
| Non-Hispanic white | 7433 (44.30) | 813 (53.10) | |
| Non-Hispanic black | 3561 (21.22) | 340 (22.21) | |
| Other races | 1537 (9.16) | 82 (5.36) | |
| Educational level (%) a | 0.041 | ||
| <high school | 4269 (25.47) | 347 (22.66) | |
| High school | 3914 (23.35) | 359 (23.45) | |
| >high school | 8579 (51.18) | 825 (53.89) | |
| Annual household income (%) a | <0.001 | ||
| Below $20,000 | 3430 (21.31) | 401 (27.06) | |
| $20,000 and over | 12,667 (78.69) | 1081 (72.94) | |
| Work physical activity (%) a | 0.303 | ||
| Vigorous | 3047 (18.16) | 264 (17.25) | |
| Moderate | 3629 (21.63) | 314 (20.52) | |
| Other | 10,099 (60.20) | 952 (62.22) | |
| Recreational physical activity (%) a | <0.001 | ||
| Vigorous | 3765 (22.44) | 233 (15.22) | |
| Moderate | 4527 (29.68) | 371 (24.23) | |
| Other | 8487 (50.58) | 927 (60.55) | |
| Body mass index (%) a | <0.001 | ||
| <25 kg/m2 | 5244 (31.25) | 225 (14.70) | |
| 25 to <30 kg/m2 | 5526 (32.93) | 362 (23.64) | |
| ≥30 kg/m2 | 6009 (35.81) | 944 (61.66) | |
| Marital status (%) a | 0.338 | ||
| Married/Cohabitation | 9439 (59.56) | 879 (58.29) | |
| Windowed/Living alone | 6410 (40.44) | 629 (41.71) | |
| Depressive symptoms (%) a | 1532 (8.86) | 361 (24.68) | <0.001 |
| Diabetes (%) a | 2689 (16.03) | 475 (31.03) | <0.001 |
| Hypertension (%) a | 7933 (47.28) | 977 (63.81) | <0.001 |
| Smoke at least 100 cigarettes in life (%) a | 7017 (43.56) | 665 (56.05) | <0.001 |
| Had at least 12 alcohol drink a year (%) a | 11,150 (71.82) | 1080 (73.67) | 0.131 |
| Caffeine intake (mg/d) b | 91 (167) | 115 (195) | <0.001 |
| Total energy(kcal/day) b | 1900 (1007) | 1896 (941) | 0.559 |
| ω-3 fatty acid(mg/kcal/day) b | 0.77 (0.42) | 0.77 (0.42) | 0.836 |
| ω-6 fatty acid(mg/kcal/day) b | 7.19 (3.32) | 7.38 (3.41) | <0.001 |
| ω-6: ω-3 ratio b | 9.08 (3.17) | 9.23 (3.26) | 0.001 |
| Cases/Participants | Crude | Model 1 a | Model 2 b | |
|---|---|---|---|---|
| Adjusted ω-3 (mg/kcal/day) | ||||
| <0.65 | 514/6105 | 1.00 (ref) | 1.00 (ref) | 1.00 (ref) |
| 0.65 to <0.91 | 501/6102 | 1.00 (0.84–1.19) | 0.97 (0.81–1.16) | 0.98 (0.80–1.21) |
| ≥0.91 | 516/6103 | 0.91 (0.76–1.09) | 0.84 (0.70–1.02) | 0.85 (0.70–1.03) |
| Adjusted ω-6 (mg/kcal/day) | ||||
| <6.18 | 450/6104 | 1.00 (ref) | 1.00 (ref) | 1.00 (ref) |
| 6.18 to <8.32 | 522/6103 | 1.19 (0.98–1.45) | 1.18 (0.96–1.44) | 1.30 (1.04–1.62) * |
| ≥8.32 | 559/6103 | 1.15 (0.93–1.43) | 1.09 (0.87–1.36) | 1.07 (0.83–1.36) |
| ω-6:ω-3 ratio | ||||
| <8.19 | 451/6104 | 1.00 (ref) | 1.00 (ref) | 1.00 (ref) |
| 8.18–10.15 | 535/6104 | 1.42 (1.17–1.73) ** | 1.48 (1.21–1.81) ** | 1.42 (1.13–1.78) ** |
| ≥10.15 | 545/6102 | 1.35 (1.12–1.64) ** | 1.42 (1.17–1.73) ** | 1.36 (1.08–1.70) ** |
| Model 2 a | |||
|---|---|---|---|
| Very Short Sleep (<5 h/Night) | Short Sleep (5–<7 h/Night) | Long Sleep (≥9 h/Night) | |
| Adjusted ω-3 (mg/kcal/day) | |||
| <0.66 | 1.00 (ref) | 1.00 (ref) | 1.00 (ref) |
| 0.66 to <0.93 | 0.79 (0.61–1.02) | 0.98 (0.85–1.13) | 0.81 (0.68–0.98) * |
| ≥0.93 | 0.61 (0.46–0.80) ** | 0.83 (0.73–0.95) ** | 0.96 (0.78–1.18) |
| Adjusted ω-6 (mg/kcal/day) | |||
| <6.27 | 1.00 (ref) | 1.00 (ref) | 1.00 (ref) |
| 6.27 to <8.42 | 0.67 (0.52–0.87) ** | 0.92 (0.81–1.04) | 0.88 (0.73–1.06) |
| ≥8.42 | 0.57 (0.45–0.73) ** | 0.88 (0.77–1.01) | 0.99 (0.82–1.21) |
| ω-6:ω-3 ratio | |||
| <8.19 | 1.00 (ref) | 1.00 (ref) | 1.00 (ref) |
| 8.18–10.15 | 0.99 (0.80–1.24) | 1.06 (0.94–1.18) | 0.80 (0.66–1.01) |
| ≥10.15 | 1.08 (0.87–1.34) | 1.07 (0.95–1.19) | 0.90 (0.72–1.13) |
Publisher’s Note: MDPI stays neutral with regard to jurisdictional claims in published maps and institutional affiliations. |
© 2021 by the authors. Licensee MDPI, Basel, Switzerland. This article is an open access article distributed under the terms and conditions of the Creative Commons Attribution (CC BY) license (https://creativecommons.org/licenses/by/4.0/).
Share and Cite
Luo, J.; Ge, H.; Sun, J.; Hao, K.; Yao, W.; Zhang, D. Associations of Dietary ω-3, ω-6 Fatty Acids Consumption with Sleep Disorders and Sleep Duration among Adults. Nutrients 2021, 13, 1475. https://doi.org/10.3390/nu13051475
Luo J, Ge H, Sun J, Hao K, Yao W, Zhang D. Associations of Dietary ω-3, ω-6 Fatty Acids Consumption with Sleep Disorders and Sleep Duration among Adults. Nutrients. 2021; 13(5):1475. https://doi.org/10.3390/nu13051475
Chicago/Turabian StyleLuo, Jia, Honghan Ge, Jing Sun, Kangyu Hao, Wenqin Yao, and Dongfeng Zhang. 2021. "Associations of Dietary ω-3, ω-6 Fatty Acids Consumption with Sleep Disorders and Sleep Duration among Adults" Nutrients 13, no. 5: 1475. https://doi.org/10.3390/nu13051475
APA StyleLuo, J., Ge, H., Sun, J., Hao, K., Yao, W., & Zhang, D. (2021). Associations of Dietary ω-3, ω-6 Fatty Acids Consumption with Sleep Disorders and Sleep Duration among Adults. Nutrients, 13(5), 1475. https://doi.org/10.3390/nu13051475

