Agreement between an Image-Based Dietary Assessment Method and a Written Food Diary among Adolescents with Type 1 Diabetes
Abstract
1. Introduction
2. Materials and Methods
2.1. Participants and Study Design
2.2. Statistical Analyses
3. Results
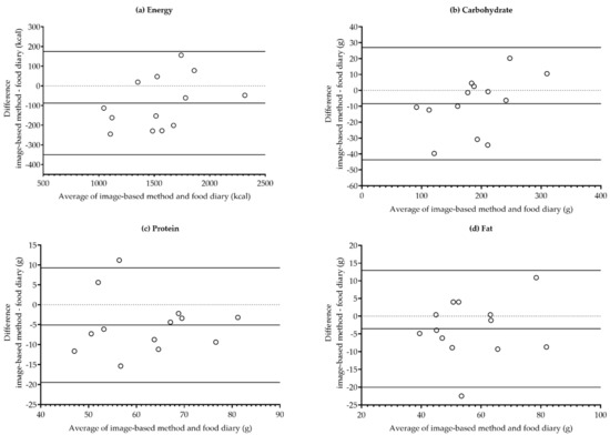
3.1. Energy and Nutrient Intake Estimates
3.2. Experiences of the Image-Based Method
4. Discussion
5. Conclusions
Author Contributions
Funding
Institutional Review Board Statement
Informed Consent Statement
Data Availability Statement
Acknowledgments
Conflicts of Interest
References
- Riccardi, G.; Capaldo, B.; Rivellese, A. Diabetes mellitus. In Human Nutrition, 12th ed.; Geissler, C., Powers, H., Eds.; Churchill Livingstone: Edinburgh, UK, 2011; pp. 425–439. [Google Scholar]
- Thompson, F.; Subar, A. Dietary Assessment Methodology. In Nutrition in the Prevention and Treatment of Disease; Coulston, A., Boushey, C., Ferruzzi, M., Eds.; Elsevier Inc.: San Diego, CA, USA, 2013; pp. 5–46. [Google Scholar]
- Rutishauser, I.H. Dietary Intake Measurements. Public Health Nutr. 2005, 8, 1100–1107. [Google Scholar] [CrossRef] [PubMed]
- Bandini, L.G.; Schoeller, D.A.; Cyr, H.N.; Dietz, W.H. Validity of Reported Energy Intake in Obese and Nonobese Adolescents. Am. J. Clin. Nutr. 1990, 52, 421–425. [Google Scholar] [CrossRef] [PubMed]
- Livingstone, M.B.; Prentice, A.M.; Coward, W.A.; Strain, J.J.; Black, A.E.; Davies, P.S.; Stewart, C.M.; McKenna, P.G.; Whitehead, R.G. Validation of Estimates of Energy Intake by Weighed Dietary Record and Diet History in Children and Adolescents. Am. J. Clin. Nutr. 1992, 56, 29–35. [Google Scholar] [CrossRef] [PubMed]
- Bratteby, L.E.; Sandhagen, B.; Fan, H.; Enghardt, H.; Samuelson, G. Total Energy Expenditure and Physical Activity as Assessed by the Doubly Labeled Water Method in Swedish Adolescents in Whom Energy Intake was Underestimated by 7-D Diet Records. Am. J. Clin. Nutr. 1998, 67, 905–911. [Google Scholar] [CrossRef] [PubMed]
- Murakami, K.; Livingstone, M.B.; Okubo, H.; Sasaki, S. Younger and Older Ages and Obesity are Associated with Energy Intake Underreporting but Not Overreporting in Japanese Boys and Girls Aged 1-19 Years: The National Health and Nutrition Survey. Nutr. Res. 2016, 36, 1153–1161. [Google Scholar] [CrossRef]
- Livingstone, M.B.; Robson, P.J.; Wallace, J.M. Issues in Dietary Intake Assessment of Children and Adolescents. Br. J. Nutr. 2004, 92, 213–322. [Google Scholar] [CrossRef]
- Schap, T.E.; Six, B.L.; Delp, E.J.; Ebert, D.S.; Kerr, D.A.; Boushey, C.J. Adolescents in the United States can Identify Familiar Foods at the Time of Consumption and when Prompted with an Image 14 H Postprandial, but Poorly Estimate Portions. Public Health Nutr. 2011, 14, 1184–1191. [Google Scholar] [CrossRef]
- Burrows, T.L.; Martin, R.J.; Collins, C.E. A Systematic Review of the Validity of Dietary Assessment Methods in Children when Compared with the Method of Doubly Labeled Water. J. Am. Diet. Assoc. 2010, 110, 1501–1510. [Google Scholar] [CrossRef]
- Livingstone, M.B.; Black, A.E. Markers of the Validity of Reported Energy Intake. J. Nutr. 2003, 13, 895–920. [Google Scholar] [CrossRef]
- Six, B.L.; Schap, T.E.; Zhu, F.M.; Mariappan, A.; Bosch, M.; Delp, E.J.; Ebert, D.S.; Kerr, D.A.; Boushey, C.J. Evidence-Based Development of a Mobile Telephone Food Record. J. Am. Diet. Assoc. 2010, 110, 74–79. [Google Scholar] [CrossRef]
- Vasiloglou, M.F.; Mougiakakou, S.; Aubry, E.; Bokelmann, A.; Fricker, R.; Gomes, F.; Guntermann, C.; Meyer, A.; Studerus, D.; Stanga, Z. A Comparative Study on Carbohydrate Estimation: GoCARB Vs. Dietitians. Nutrients 2018, 10, 741. [Google Scholar] [CrossRef]
- Ladyzynski, P.; Krzymien, J.; Foltynski, P.; Rachuta, M.; Bonalska, B. Accuracy of Automatic Carbohydrate, Protein, Fat and Calorie Counting Based on Voice Descriptions of Meals in People with Type 1 Diabetes. Nutrients 2018, 10, 518. [Google Scholar] [CrossRef]
- Boushey, C.J.; Spoden, M.; Zhu, F.M.; Delp, E.J.; Kerr, D.A. New Mobile Methods for Dietary Assessment: Review of Image-Assisted and Image-Based Dietary Assessment Methods. Proc. Nutr. Soc. 2017, 76, 283–294. [Google Scholar] [CrossRef]
- Ho, D.K.N.; Tseng, S.H.; Wu, M.C.; Shih, C.K.; Atika, A.P.; Chen, Y.C.; Chang, J.S. Validity of Image-Based Dietary Assessment Methods: A Systematic Review and Meta-Analysis. Clin. Nutr. 2020, 39, 2945–2959. [Google Scholar] [CrossRef]
- Kikunaga, S.; Tin, T.; Ishibashi, G.; Wang, D.H.; Kira, S. The Application of a Handheld Personal Digital Assistant with Camera and Mobile Phone Card (Wellnavi) to the General Population in a Dietary Survey. J. Nutr. Sci. Vitaminol. 2007, 53, 109–116. [Google Scholar] [CrossRef]
- Martin, C.K.; Correa, J.B.; Han, H.; Allen, H.R.; Rood, J.C.; Champagne, C.M.; Gunturk, B.K.; Bray, G.A. Validity of the Remote Food Photography Method (RFPM) for Estimating Energy and Nutrient Intake in Near Real-Time. Obesity (Silver Spring) 2012, 20, 891–899. [Google Scholar] [CrossRef] [PubMed]
- Ptomey, L.T.; Willis, E.A.; Honas, J.J.; Mayo, M.S.; Washburn, R.A.; Herrmann, S.D.; Sullivan, D.K.; Donnelly, J.E. Validity of Energy Intake Estimated by Digital Photography Plus Recall in Overweight and Obese Young Adults. J. Acad. Nutr. Diet. 2015, 115, 1392–1399. [Google Scholar] [CrossRef] [PubMed]
- Rollo, M.E.; Ash, S.; Lyons-Wall, P.; Russell, A.W. Evaluation of a Mobile Phone Image-Based Dietary Assessment Method in Adults with Type 2 Diabetes. Nutrients 2015, 7, 4897–4910. [Google Scholar] [CrossRef] [PubMed]
- Prinz, N.; Bohn, B.; Kern, A.; Pungel, D.; Pollatos, O.; Holl, R.W. Feasibility and Relative Validity of a Digital Photo-Based Dietary Assessment: Results from the Nutris-Phone Study. Public Health Nutr. 2019, 22, 1160–1167. [Google Scholar] [CrossRef]
- Higgins, J.A.; LaSalle, A.L.; Zhaoxing, P.; Kasten, M.Y.; Bing, K.N.; Ridzon, S.E.; Witten, T.L. Validation of Photographic Food Records in Children: Are Pictures really Worth a Thousand Words? Eur. J. Clin. Nutr. 2009, 63, 1025–1033. [Google Scholar] [CrossRef]
- Matthiessen, T.B.; Steinberg, F.M.; Kaiser, L.L. Convergent Validity of a Digital Image-Based Food Record to Assess Food Group Intake in Youth. J. Am. Diet. Assoc. 2011, 111, 756–761. [Google Scholar] [CrossRef]
- Davison, B.K.; Quigg, R.; Skidmore, P.M.L. Pilot Testing a Photo-Based Food Diary in Nine- to Twelve- Year Old- Children from Dunedin, New Zealand. Nutrients 2018, 10, 240. [Google Scholar] [CrossRef]
- Nicklas, T.; Saab, R.; Islam, N.G.; Wong, W.; Butte, N.; Schulin, R.; Liu, Y.; Apolzan, J.W.; Myers, C.A.; Martin, C.K. Validity of the Remote Food Photography Method Against Doubly Labeled Water among Minority Preschoolers. Obesity (Silver Spring) 2017, 25, 1633–1638. [Google Scholar] [CrossRef]
- Kouvari, M.; Mamalaki, E.; Bathrellou, E.; Poulimeneas, D.; Yannakoulia, M.; Panagiotakos, D.B. The Validity of Technology-Based Dietary Assessment Methods in Childhood and Adolescence: A Systematic Review. Crit. Rev. Food Sci. Nutr. 2020, 61, 1–16. [Google Scholar] [CrossRef]
- Boushey, C.J.; Kerr, D.A.; Wright, J.; Lutes, K.D.; Ebert, D.S.; Delp, E.J. Use of Technology in Children’s Dietary Assessment. Eur. J. Clin. Nutr. 2009, 63, 50–57. [Google Scholar] [CrossRef] [PubMed]
- Lehtisalo, J.; Lindström, J.; Nieminen, R.; Paturi, M. Annoskuvakirja Ruokapäiväkirjan Täyttämisen Tueksi, 3th ed.; Juvenes Print Oy—Suomen Yliopistopaino Oy: Tampere, Finland, 2014. [Google Scholar]
- Nissinen, K.; Sillanpää, H.; Korkalo, L.; Roos, E.; Erkkola, M. Annoskuvakirja Lasten Ruokamäärien Arviointiin, 2th ed.; Dieettimedia Oy: Helsinki, Finland, 2016. [Google Scholar]
- Nissinen, K.; Korkalo, L.; Vepsäläinen, H.; Mäkiranta, P.; Koivusilta, L.; Roos, E.; Erkkola, M. Accuracy in the Estimation of Children’s Food Portion Sizes Against a Food Picture Book by Parents and Early Educators. J. Nutr. Sci. 2018, 7, 35. [Google Scholar] [CrossRef] [PubMed]
- Ovaskainen, M.L.; Paturi, M.; Reinivuo, H.; Hannila, M.L.; Sinkko, H.; Lehtisalo, J.; Pynnönen-Polari, O.; Männistö, S. Accuracy in the Estimation of Food Servings Against the Portions in Food Photographs. Eur. J. Clin. Nutr. 2008, 62, 674–681. [Google Scholar] [CrossRef] [PubMed]
- Koo, T.K.; Li, M.Y. A Guideline of Selecting and Reporting Intraclass Correlation Coefficients for Reliability Research. J. Chiropr. Med. 2016, 15, 155–163. [Google Scholar] [CrossRef]
- Saari, A.; Sankilampi, U.; Hannila, M.L.; Kiviniemi, V.; Kesseli, K.; Dunkel, L. New Finnish Growth References for Children and Adolescents Aged 0 to 20 Years: Length/Height-for-Age, Weight-for-Length/Height, and Body Mass Index-for-Age. Ann. Med. 2011, 43, 235–248. [Google Scholar] [CrossRef]
- Wang, J.S.; Hsieh, R.H.; Tung, Y.T.; Chen, Y.H.; Yang, C.; Chen, Y.C. Evaluation of a Technological Image-Based Dietary Assessment Tool for Children during Pubertal Growth: A Pilot Study. Nutrients 2019, 11, 2527. [Google Scholar] [CrossRef]
- Poslusna, K.; Ruprich, J.; de Vries, J.H.; Jakubikova, M.; van’t Veer, P. Misreporting of Energy and Micronutrient Intake Estimated by Food Records and 24 Hour Recalls, Control and Adjustment Methods in Practice. Br. J. Nutr. 2009, 101, 73–85. [Google Scholar] [CrossRef] [PubMed]
- Martin, C.K.; Han, H.; Coulon, S.M.; Allen, H.R.; Champagne, C.M.; Anton, S.D. A Novel Method to Remotely Measure Food Intake of Free-Living Individuals in Real Time: The Remote Food Photography Method. Br. J. Nutr. 2009, 101, 446–456. [Google Scholar] [CrossRef] [PubMed]

| Boys (n = 4) | Girls (n = 9) | Total (n = 13) | |
|---|---|---|---|
| Age (years), median (IQR) | 15.5 (3.3) | 15.0 (2.0) | 15.0 (2.0) |
| Height (cm), median (IQR) | 164.9 (21.3) | 161.7 (10.0) | 162.1 (11.5) |
| Weight (kg), median (IQR) | 53.3 (40.8) | 56.4 (6.9) | 55.4 (7.8) |
| Diabetes duration (years), median (IQR) | 9.1 (8.2) | 5.4 (9.9) | 8.0 (8.9) |
| HbA1c (%) 1, median (IQR) | 8.5 (3.0) | 8.0 (1.0) | 8.0 (1.0) |
| Normal weight 2, n (%) | 2 (50) | 6 (67) | 8 (62) |
| Daily mobile phone camera use, n (%) | 1 (25) | 5 (56) | 6 (46) |
| Boys (n = 4) | Girls (n = 9) | Total (n = 13) | ||||
|---|---|---|---|---|---|---|
| Energy and Nutrients | Image-Based Method | Food Diary | Image-Based Method | Food Diary | Image-Based Method | Food Diary 1 |
| Energy (kcal), median (IQR) | 1413 (962) | 2351 (852) | 1549 (611) | 1592 (509) | 1455 (586) | 1750 (784) |
| Protein (g), median (IQR) | 65.5 (27.8) | 84.6 (23.5) | 59.3 (16.7) | 64.4 (17.8) | 59.3 (18.2) | 69.3 (29.8) |
| Carbohydrates (g), median (IQR) | 183.3 (159.2) | 266.9 (171.0) | 185.9 (96.2) | 181.4 (87.8) | 185.9 (93.6) | 225.7 (72.6) ** |
| Fat (g), median (IQR) | 44.9 (27.0) | 86.5 (39.8) | 54.5 (18.9) | 50.5 (21.1) | 52.7 (19.5) | 63.9 (34.3) |
| SFA (g), mean (SD) | 18.1 (5.5) | 28.1 (1.9) | 20.4 (6.0) | 22.2 (6.6) | 19.7 (5.8) | 24.0 (6.2) * |
| MUFA (g), median (IQR) | 16.8 (10.0) | 30.9 (15.2) | 19.7 (8.3) | 17.3 (9.5) | 18.5 (7.8) | 24.0 (14.1) * |
| PUFA (g), median (IQR) | 8.4 (5.1) | 13.7 (14.9) | 8.3 (7.0) | 10.0 (6.9) | 8.3 (5.6) | 11.2 (6.4) ** |
| Sucrose (g), median (IQR) | 33.0 (29.9) | 26.8 (85.8) | 38.7 (35.3) | 36.9 (32.0) | 38.7 (33.1) | 30.6 (32.0) *** |
| Fiber (g), median (IQR) | 8.1 (2.4) | 12.4 (8.0) | 12.5 (6.0) | 13.1 (8.5) | 12.0 (6.0) | 13.1 (6.9) ** |
| Water-insoluble fiber (g), median (IQR) | 5.9 (2.1) | 9.3 (6.0) | 9.3 (4.6) | 9.6 (5.9) | 8.7 (4.2) | 9.6 (5.3) ** |
| Polysaccharides (g), median (IQR) | 2.3 (0.5) | 3.4 (2.0) | 3.0 (2.9) | 3.3 (3.1) | 2.6 (1.3) | 3.3 (1.8) *** |
| Vitamin A (µg), mean (SD) | 717.1(923.8) | 954.7 (954.8) | 509.3 (252.1) | 579.5 (346.6) | 573.0 (515.5) | 694.9 (583.5) *** |
| Vitamin B1 (mg), median (IQR) | 1.1 (0.5) | 1.5 (0.6) | 0.9 (0.3) | 1.1 (0.3) | 0.9 (0.4) | 1.2 (0.4) * |
| Vitamin B3 (mg), median (IQR) | 23.2 (2.6) | 34.7 (27.2) | 22.6 (5.8) | 25.3 (8.1) | 22.9 (3.6) | 26.2 (11.0) |
| Folate (µg), median (IQR) | 154.8 (117.4) | 233.0 (248.0) | 148.0 (101.8) | 176.1 (107.5) | 151.0 (101.8) | 177.0 (144.0) *** |
| Vitamin B6 (mg), median (IQR) | 1.6 (0.6) | 2.2 (2.6) | 1.5 (0.4) | 1.6 (0.4) | 1.5 (0.5) | 1.7 (0.6) |
| Vitamin B2 (mg), median (IQR) | 1.9 (1.4) | 2.1 (1.8) | 1.5 (0.8) | 1.7 (0.7) | 1.6 (0.8) | 1.8 (0.9) *** |
| Vitamin B12 (µg), median (IQR) | 4.7 (6.6) | 4.9 (9.6) | 3.4 (1.1) | 3.6 (2.5) | 3.6 (1.7) | 4.0 (2.2) *** |
| Vitamin C (mg), median (IQR) | 47.2 (33.4) | 47.5 (148.1) | 67.6 (112.8) | 74.9 (142.9) | 61.4 (44.1) | 70.6 (144.0) *** |
| Vitamin D (µg), mean (SD) | 7.3 (2.9) | 8.8 (3.3) | 7.6 (4.6) | 7.8 (4.4) | 7.5 (4.1) | 8.1 (4.0) *** |
| Vitamin E (mg), median (IQR) | 5.9 (1.5) | 9.2 (7.2) | 7.8 (5.0) | 7.9 (6.1) | 6.8 (3.8) | 7.9 (5.5) ** |
| Sodium (mg), mean (SD) | 2100 (458.9) | 3147 (416.4) | 2107 (695.0) | 2142 (593.3) | 2105 (612.1) | 2451 (715.0) * |
| Magnesium (mg), median (IQR) | 239.3 (97.3) | 302.4 (98.1) | 247.1 (70.2) | 263.2 (79.2) | 247.1 (69.0) | 283.9 (67.1) * |
| Potassium (mg), median (IQR) | 2748 (1103) | 4065 (1768) | 2631 (1080) | 3149 (1229) | 2713 (1011) | 3354 (1119) |
| Calcium (mg), mean (SD) | 988.0 (509.3) | 1149 (468.9) | 951.9 (310.1) | 1051 (329.3) | 963 (359.5) | 1081 (359.8) ** |
| Iron (mg), mean (SD) | 7.3 (1.0) | 10.8 (3.3) | 8.2 (2.6) | 9.0 (2.3) | 7.9 (2.2) | 9.5 (2.6) |
| Copper (mg), median (IQR) | 0.8 (0.6) | 1.1 (1.0) | 0.9 (0.4) | 1.0 (0.6) | 0.9 (0.4) | 1.0 (0.5) ** |
| Iodine (µg), mean (SD) | 188.6 (65.6) | 240.7 (99.0) | 177.1 (53.7) | 195.0 (53.3) | 180.6 (55.0) | 209.0 (69.5) ** |
| Salt (mg), median (IQR) | 5410 (1802) | 7897 (2589) | 5613 (3450) | 5720 (2669) | 5613 (2313) | 6470 (3539) * |
| Phosphorus (mg), median (IQR) | 1207 (715.7) | 1482 (647.6) | 1094 (491.1) | 1268 (485.9) | 1141 (488.3) | 1304 (502.4) ** |
| Selenium (µg), median (IQR) | 57.9 (18.9) | 65.8 (43.0) | 50.2 (12.1) | 54.2 (19.1) | 51.4 (15.6) | 61.9 (18.3) * |
| Zinc (mg), median (IQR) | 9.1 (3.1) | 11.0 (5.1) | 8.3 (2.5) | 9.0 (1.1) | 8.7 (2.5) | 9.2 (2.3) |
| Energy and Nutrients | Image−Based Method | Food Diary | Difference 2 | ICC | p−Value 3 |
|---|---|---|---|---|---|
| Energy (kcal), mean (SD) | 1501 (381) | 1589 (330) | −88 (−166, −8) * | 0.91 (0.66–0.97) | <0.001 |
| Protein (g), mean (SD) | 59.6 (11.0) | 64.7 (11.1) | −5.1 (−9.4, −0.8) * | 0.72 (0.24–0.91) | <0.001 |
| Carbohydrates (g), mean (SD) | 184.0 (64.4) | 192.4 (55.9) | −8.4 (−19.0, 2.3) | 0.95 (0.84–0.99) | <0.001 |
| Fat (g), mean (SD) | 54.8 (14.3) | 58.4 (13.0) | −3.5 (−8.5, 1.4) | 0.80 (0.48–0.94) | <0.001 |
| SFA (g), mean (SD) | 19.7 (5.8) | 21.8 (6.0) | −2.1 (−4.4, 0.2) | 0.76 (0.36–0.92) | <0.001 |
| MUFA (g), mean (SD) | 19.4 (5.9) | 20.3 (5.4) | −0.9 (−3.2, 1.3) | 0.79 (0.45–0.93) | <0.001 |
| PUFA (g), mean (SD) | 9.4 (3.7) | 10.0 (3.4) | −0.6 (−1.6, 0.4) | 0.88 (0.67–0.96) | <0.001 |
| Sucrose (g), median (IQR) | 38.7 (33.1) | 33.4 (32.0) | −0.5 (3.1) | 0.99 (0.96–1.00) | <0.001 |
| Fiber (g), mean (SD) | 12.7 (6.1) | 13.5 (5.9) | −0.9 (−1.7, 0.0) * | 0.96 (0.86–0.99) | <0.001 |
| Water−insoluble fiber (g), mean (SD) | 9.2 (4.2) | 9.8 (4.0) | −0.6 (−1.2, 0.0) | 0.96 (0.86–0.99) | <0.001 |
| Polysaccharide (g), median (IQR) | 2.6 (1.3) | 2.7 (1.4) | 0.3 (0.5) * | 0.95 (0.76–0.99) | <0.001 |
| Vitamin A (µg), mean (SD) | 573 (515) | 660 (527) | −87 (−175, 2) | 0.95 (0.82–0.99) | <0.001 |
| Vitamin B1 (mg), mean (SD) | 1.0 (0.2) | 1.1 (0.2) | −0.1 (−0.2, 0.0) * | 0.76 (0.24–0.93) | <0.001 |
| Vitamin B3 (mg), mean (SD) | 22.1 (3.0) | 24.4 (4.4) | −2.3 (−4.0, −0.6) * | 0.61 (0.06–0.87) | 0.002 |
| Folate (µg), mean (SD) | 183.5 (83.4) | 200.3 (78.0) | 16.9 (−33.3, −0.4) * | 0.93 (0.73–0.98) | <0.001 |
| Vitamin B6 (mg), mean (SD) | 1.5 (0.3) | 1.6 (0.3) | −0.1 (−0.2, −0.1) * | 0.85 (0.16–0.96) | <0.001 |
| Vitamin B2 (mg), mean (SD) | 1.7 (0.6) | 1.7 (0.4) | 0.0 (−0.2, 0.1) | 0.90 (0.70–0.97) | <0.001 |
| Vitamin B12 (µg), median (IQR) | 3.6 (1.7) | 3.9 (1.9) | 0.5 (0.7) * | 0.91 (0.71–0.97) | <0.001 |
| Vitamin C (mg), median (IQR) | 61.4 (44.1) | 70.6 (96.6) | 6.0 (26.2) | 0.91 (0.75–0.97) | <0.001 |
| Vitamin D (µg), mean (SD) | 7.5 (4.1) | 7.3 (3.5) | 0.2 (−0.5, 0.9) | 0.95 (0.85–0.99) | <0.001 |
| Vitamin E (mg), mean (SD) | 7.2 (2.4) | 8.0 (2.9) | −0.7 (−1.5, 0.0) | 0.87 (0.58–0.96) | <0.001 |
| Sodium (mg), mean (SD) | 2105 (612) | 2196 (540) | −91 (−281, 100) | 0.85 (0.59–0.95) | <0.001 |
| Magnesium (mg), mean (SD) | 251.7 (69.1) | 263.5 (56.9) | −11.8 (−29.6, 6.1) | 0.88 (0.67–0.96) | <0.001 |
| Potassium (mg), median (IQR) | 2713 (1011) | 2818 (1085) | 70 (551) * | 0.85 (0.46–0.96) | <0.001 |
| Calcium (mg), mean (SD) | 963 (360) | 986 (321) | −23 (−127, 81) | 0.88 (0.66–0.96) | <0.001 |
| Iron (mg), mean (SD) | 7.9 (2.2) | 8.6 (1.9) | −0.7 (−1.5, 0.1) | 0.75 (0.37–0.92) | 0.001 |
| Copper (mg), mean (SD) | 0.9 (0.3) | 1.0 (0.3) | −0.1 (−0.1, 0.0) | 0.89 (0.68–0.97) | <0.001 |
| Iodine (µg), mean (SD) | 180.6 (55.0) | 189.0 (50.4) | −8.4 (−24.9, 8.1) | 0.86 (0.63–0.96) | <0.001 |
| Salt (mg), mean (SD) | 5328 (1529) | 5559 (1370) | −230 (−715, 254) | 0.85 (0.59–0.95) | <0.001 |
| Phosphorus (mg), mean (SD) | 1181 (306) | 1244 (249) | −63 (−137, 11) | 0.89 (0.66–0.97) | <0.001 |
| Selenium (µg), mean (SD) | 50.0 (8.8) | 54.7 (10.0) | −4.7 (−9.0, −0.4) * | 0.65 (0.16–0.88) | 0.002 |
| Zinc (mg), mean (SD) | 8.4 (1.5) | 9.0 (1.1) | −0.6 (−1.2, 0.0) * | 0.69 (0.23–0.89) | 0.001 |
Publisher’s Note: MDPI stays neutral with regard to jurisdictional claims in published maps and institutional affiliations. |
© 2021 by the authors. Licensee MDPI, Basel, Switzerland. This article is an open access article distributed under the terms and conditions of the Creative Commons Attribution (CC BY) license (https://creativecommons.org/licenses/by/4.0/).
Share and Cite
Heikkilä, L.; Vanhala, M.; Korpelainen, R.; Tossavainen, P. Agreement between an Image-Based Dietary Assessment Method and a Written Food Diary among Adolescents with Type 1 Diabetes. Nutrients 2021, 13, 1319. https://doi.org/10.3390/nu13041319
Heikkilä L, Vanhala M, Korpelainen R, Tossavainen P. Agreement between an Image-Based Dietary Assessment Method and a Written Food Diary among Adolescents with Type 1 Diabetes. Nutrients. 2021; 13(4):1319. https://doi.org/10.3390/nu13041319
Chicago/Turabian StyleHeikkilä, Laura, Marja Vanhala, Raija Korpelainen, and Päivi Tossavainen. 2021. "Agreement between an Image-Based Dietary Assessment Method and a Written Food Diary among Adolescents with Type 1 Diabetes" Nutrients 13, no. 4: 1319. https://doi.org/10.3390/nu13041319
APA StyleHeikkilä, L., Vanhala, M., Korpelainen, R., & Tossavainen, P. (2021). Agreement between an Image-Based Dietary Assessment Method and a Written Food Diary among Adolescents with Type 1 Diabetes. Nutrients, 13(4), 1319. https://doi.org/10.3390/nu13041319

