Single High-Dose Vitamin D Supplementation as an Approach for Reducing Ultramarathon-Induced Inflammation: A Double-Blind Randomized Controlled Trial
Abstract
1. Introduction
2. Materials and Methods
2.1. Experimental Overview
2.2. Participants
| Inclusion criteria | 1. Aged 30 years or older |
| 2. Experienced ultramarathon runner (minimum five starts in distances over 42 km) | |
| 3. Healthy | |
| 4. No additional drug intake or smoking and good health status | |
| 5. No additional vitamin D and antioxidant supplementation | |
| Exclusion criteria | 1. Physically or mentally compromised individuals (currently treated for a psychiatric disorder, or alcohol or substance abuse), unwilling or unable to comply with study evaluations |
| 2. Comorbidities causing severe inflammation: Addison’s disease, allergy, asthma, celiac disease, psoriasis, Raynaud’s disease, rheumatoid arthritis, systemic lupus erythematosus, type 1 diabetes, and other. |
2.3. Ultramarathon Run
2.4. Vitamin D Supplementation
2.5. Sample Collection, and Inflammation Marker and 25(OH)D Measurements
2.6. Statistical Analysis
3. Results
4. Discussion
4.1. IL-6
4.2. IL-15
4.3. Resistin
4.4. IL-10
Author Contributions
Funding
Institutional Review Board Statement
Informed Consent Statement
Data Availability Statement
Acknowledgments
Conflicts of Interest
References
- Carmichael, M.D.; Davis, J.M.; Murphy, E.A.; Brown, A.S.; Carson, J.A.; Mayer, E.P.; Ghaffar, A. Role of brain IL-1β on fatigue after exercise-induced muscle damage. Am. J. Physiol.-Regul. Integr. Comp. Physiol. 2006, 291, R1344–R1348. [Google Scholar] [CrossRef] [PubMed]
- Nieman, D.C.; Henson, D.A.; Dumke, C.L.; Oley, K.; McAnulty, S.R.; Davis, J.M.; Murphy, E.A.; Utter, A.C.; Lind, R.H.; McAnulty, L.S.; et al. Ibuprofen use, endotoxemia, inflammation, and plasma cytokines during ultramarathon competition. Brain Behav. Immun. 2006, 20, 578–584. [Google Scholar] [CrossRef]
- Peterson, J.M.; Trappe, T.A.; Mylona, E.; White, F.; Lambert, C.P.; Evans, W.J.; Pizza, F.X. Ibuprofen and acetaminophen: Effect on muscle inflammation after eccentric exercise. Med. Sci. Sports Exerc. 2003, 35, 892–896. [Google Scholar] [CrossRef]
- Yin, K.; Agrawal, D.K. Vitamin D and inflammatory diseases. J. Inflamm. Res. 2014, 7, 69–87. [Google Scholar] [CrossRef] [PubMed]
- Chagas, C.E.; Borges, M.C.; Martini, L.A.; Rogero, M.M. Focus on vitamin D, inflammation and type 2 diabetes. Nutrients 2012, 4, 52–67. [Google Scholar] [CrossRef] [PubMed]
- Jablonski, K.L.; Chonchol, M.; Pierce, G.L.; Walker, A.E.; Seals, D.R. 25-Hydroxyvitamin D deficiency is associated with inflammation-linked vascular endothelial dysfunction in middle-aged and older adults. Hypertension 2011, 57, 63–69. [Google Scholar] [CrossRef] [PubMed]
- Dattola, A.; Silvestri, M.; Bennardo, L.; Passante, M.; Scali, E.; Patruno, C.; Nisticò, S.P. Role of Vitamins in Skin Health: A Systematic Review. Curr. Nutr. Rep. 2020, 9, 226–235. [Google Scholar] [CrossRef] [PubMed]
- Choi, M.; Park, H.; Cho, S.; Lee, M. Vitamin D3 supplementation modulates inflammatory responses from the muscle damage induced by high-intensity exercise in SD rats. Cytokine 2013, 63, 27–35. [Google Scholar] [CrossRef]
- Mieszkowski, J.; Stankiewicz, B.; Kochanowicz, A.; Niespodziński, B.; Kowalik, T.; Żmijewski, M.; Kowalski, K.; Rola, R.; Bieńkowski, T.; Antosiewicz, J. Ultra-Marathon-Induced Increase in Serum Levels of Vitamin D Metabolites: A Double-Blind Randomized Controlled Trial. Nutrients 2020, 12, 3629. [Google Scholar] [CrossRef]
- Cooper, K.H. A Means of Assessing Maximal Oxygen Intake. Jama 1968, 203, 201–204. [Google Scholar] [CrossRef]
- Faul, F.; Erdfelder, E.; Lang, A.G.; Buchner, A. G*Power 3: A flexible statistical power analysis program for the social, behavioral, and biomedical sciences. Behav. Res. Methods 2007, 39, 175–191. [Google Scholar] [CrossRef]
- Sun, X.; Cao, Z.B.; Taniguchi, H.; Tanisawa, K.; Higuchi, M. Effect of an Acute Bout of Endurance Exercise on Serum 25(OH)D Concentrations in Young Adults. J. Clin. Endocrinol. Metab. 2017, 102, 3937–3944. [Google Scholar] [CrossRef] [PubMed]
- Willis, K.S.; Smith, D.T.; Broughton, K.S.; Larson-Meyer, D.E. Vitamin D status and biomarkers of inflammation in runners. Open Access J. Sports. Med. 2012, 3, 35–42. [Google Scholar] [CrossRef]
- Carrillo, A.E.; Flynn, M.G.; Pinkston, C.; Markofski, M.M.; Jiang, Y.; Donkin, S.S.; Teegarden, D. Vitamin D supplementation during exercise training does not alter inflammatory biomarkers in overweight and obese subjects. Eur. J. Appl. Physiol. 2012, 112, 3045–3052. [Google Scholar] [CrossRef]
- Kotch, C.; Barrett, D.; Teachey, D.T. Tocilizumab for the treatment of chimeric antigen receptor T cell-induced cytokine release syndrome. Expert. Rev. Clin. Immunol. 2019, 15, 813–822. [Google Scholar] [CrossRef]
- Bellia, A.; Garcovich, C.; D’Adamo, M.; Lombardo, M.; Tesauro, M.; Donadel, G.; Gentileschi, P.; Lauro, D.; Federici, M.; Lauro, R.; et al. Serum 25-hydroxyvitamin D levels are inversely associated with systemic inflammation in severe obese subjects. Intern. Emerg. Med. 2013, 8, 33–40. [Google Scholar] [CrossRef]
- Żebrowska, A.; Sadowska-Krępa, E.; Stanula, A.; Waśkiewicz, Z.; Łakomy, O.; Bezuglov, E.; Nikolaidis, P.T.; Rosemann, T.; Knechtle, B. The effect of vitamin D supplementation on serum total 25(OH) levels and biochemical markers of skeletal muscles in runners. J. Int. Soc. Sports Nutr. 2020, 17, 1–10. [Google Scholar] [CrossRef]
- Girgis, C.M.; Mokbel, N.; Cha, K.M.; Houweling, P.J.; Abboud, M.; Fraser, D.R.; Mason, R.S.; Clifton-Bligh, R.J.; Gunton, J.E. The vitamin D receptor (VDR) is expressed in skeletal muscle of male mice and modulates 25-hydroxyvitamin D (25OHD) uptake in myofibers. Endocrinology 2014, 155, 3227–3237. [Google Scholar] [CrossRef]
- Nieman, D.C.; Davis, J.M.; Henson, D.A.; Walberg-Rankin, J.; Shute, M.; Dumke, C.L.; Utter, A.C.; Vinci, D.M.; Carson, J.A.; Brown, A.; et al. Carbohydrate ingestion influences skeletal muscle cytokine mRNA and plasma cytokine levels after a 3-h run. J. Appl. Physiol. 2003, 94, 1917–1925. [Google Scholar] [CrossRef]
- Ostrowski, K.; Hermann, C.; Bangash, A.; Schjerling, P.; Nielsen, J.N.; Pedersen, B.K. A trauma-like elevation of plasma cytokines in humans in response to treadmill running. J. Physiol. 1998, 513, 889–894. [Google Scholar] [CrossRef]
- Ahmad, R.; El Bassam, S.; Cordeiro, P.; Menezes, J. Requirement of TLR2-mediated signaling for the induction of IL-15 gene expression in human monocytic cells by HSV-1. Blood 2008, 112, 2360–2368. [Google Scholar] [CrossRef]
- Sadeghi, K.; Wessner, B.; Laggner, U.; Ploder, M.; Tamandl, D.; Friedl, J.; Zügel, U.; Steinmeyer, A.; Pollak, A.; Roth, E.; et al. Vitamin D3 down-regulates monocyte TLR expression and triggers hyporesponsiveness to pathogen-associated molecular patterns. Eur. J. Immunol. 2006, 36, 361–370. [Google Scholar] [CrossRef]
- Huang, X.; Yang, Z. Resistin’s, obesity and insulin resistance: The continuing disconnect between rodents and humans. J. Endocrinol. Investig. 2016, 39, 607–615. [Google Scholar] [CrossRef]
- Barnes, K.M.; Miner, J.L. Role of resistin in insulin sensitivity in rodents and humans. Curr. Protein Pept. Sci. 2009, 10, 96–107. [Google Scholar] [CrossRef]
- Park, H.K.; Ahima, R.S. Resistin in rodents and humans. Diabetes Metab. J. 2013, 37, 404–414. [Google Scholar] [CrossRef]
- Steppan, C.M.; Brown, E.J.; Wright, C.M.; Bhat, S.; Banerjee, R.R.; Dai, C.Y.; Enders, G.H.; Silberg, D.G.; Wen, X.; Wu, G.D.; et al. A family of tissue-specific resistin-like molecules. Proc. Natl. Acad. Sci. USA 2001, 98, 502–506. [Google Scholar] [CrossRef]
- Tripathi, D.; Kant, S.; Pandey, S.; Ehtesham, N.Z. Resistin in metabolism, inflammation, and disease. FEBS J. 2020, 287, 3141–3149. [Google Scholar] [CrossRef]
- Vella, C.A.; Allison, M.A.; Cushman, M.; Jenny, N.S.; Miles, M.P.; Larsen, B.; Lakoski, S.G.; Michos, E.D.; Blaha, M.J. Physical Activity and Adiposity-related Inflammation: The MESA. Med. Sci. Sports Exerc. 2017, 49, 915–921. [Google Scholar] [CrossRef] [PubMed]
- Marcelino-Rodríguez, I.; Almeida Gonzalez, D.; Alemán-Sánchez, J.J.; Brito Díaz, B.; Rodríguez Pérez, M.D.C.; Gannar, F.; Domínguez Coello, S.; Cuevas Fernández, F.J.; Cabrera de León, A. Inverse association of resistin with physical activity in the general population. PLoS ONE 2017, 12, e0182493. [Google Scholar] [CrossRef] [PubMed]
- Roupas, N.D.; Mamali, I.; Maragkos, S.; Leonidou, L.; Armeni, A.K.; Markantes, G.K.; Tsekouras, A.; Sakellaropoulos, G.C.; Markou, K.B.; Georgopoulos, N.A. The effect of prolonged aerobic exercise on serum adipokine levels during an ultra-marathon endurance race. Hormones (Athens) 2013, 12, 275–282. [Google Scholar] [CrossRef] [PubMed]
- Kocot, J.; Dziemidok, P.; Kiełczykowska, M.; Kurzepa, J.; Szcześniak, G.; Musik, I. Is There Any Relationship between Plasma 25-Hydroxyvitamin D₃, Adipokine Profiles and Excessive Body Weight in Type 2 Diabetic Patients? Int. J. Environ. Res. Public Health 2017, 15, 19. [Google Scholar] [CrossRef]
- Al-Daghri, N.M.; Al-Attas, O.S.; Alokail, M.S.; Alkharfy, K.M.; Al-Othman, A.; Draz, H.M.; Yakout, S.M.; Al-Saleh, Y.; Al-Yousef, M.; Sabico, S.; et al. Hypovitaminosis D associations with adverse metabolic parameters are accentuated in patients with Type 2 diabetes mellitus: A body mass index-independent role of adiponectin? J. Endocrinol. Investig. 2011, 36, 1–6. [Google Scholar] [CrossRef]
- Matilainen, J.M.; Rasänen, A.; Gynther, P.; Vaisänen, S. The genes encoding cytokines IL-2, IL-10 and IL-12B are primary 1α,25(OH)2D3 target genes. J. Steroid Biochem. Mol. Biol. 2010, 121, 142–145. [Google Scholar] [CrossRef]
- Petersen, A.M.W.; Pedersen, B.K. The anti-inflammatory effect of exercise. J. Appl. Physiol. 2005, 98, 1154–1162. [Google Scholar] [CrossRef]
- Agrawal, S.; Gollapudi, S.; Su, H.F.; Gupta, S. Leptin Activates Human B Cells to Secrete TNF-α, IL-6, and IL-10 via JAK2/STAT3 and p38MAPK/ERK1/2 Signaling Pathway. J. Clin. Immunol. 2011, 31, 472–478. [Google Scholar] [CrossRef]
- West, N.R.; Hegazy, A.N.; Owens, B.M.J.; Bullers, S.J.; Linggi, B.; Buonocore, S.; Coccia, M.; Görtz, D.; This, S.; Stockenhuber, K.; et al. Oncostatin M drives intestinal inflammation and predicts response to tumor necrosis factor-neutralizing therapy in patients with inflammatory bowel disease. Nat. Med. 2017, 23, 579–589. [Google Scholar] [CrossRef]
- Hunt, L.C.; White, J. The Role of Leukemia Inhibitory Factor Receptor Signaling in Skeletal Muscle Growth, Injury and Disease. Adv. Exp. Med. Biol. 2016, 900, 45–59. [Google Scholar] [CrossRef]


| Variable | Supplemented Group (N = 16) | Control Group (N = 19) | p | Effect Size (η2) |
|---|---|---|---|---|
| Mean ± SD | Mean ± SD | |||
| Age (years) | 42.40 ± 7.59 | 39.48 ± 6.89 | 0.21 | 0.04 |
| Body height (cm) | 175.20 ± 4.34 * | 179.67 ± 4.64 | 0.01 | 0.17 |
| Body mass | 72.51 ± 6.71 | 76.19 ± 5.25 | 0.07 | 0.08 |
| Body mass index (kg/m2) | 23.24 ± 2.78 | 24.45 ± 1.19 | 0.11 | 0.06 |
| Fat mass (%) | 12.13 ± 3.89 | 12.85 ± 4.42 | 0.36 | 0.03 |
| Number of Training Units Per Week | CR 1 (Km) | CR 2 (Km) | CROSS 1 (Km) | CROSS 2 (Km) | Speed (Km) | ||
|---|---|---|---|---|---|---|---|
| General preparation period | Mean | 5.00 | 60.94 | 11.58 | 7.58 | 3.91 | 0.88 |
| SD | 0.83 | 16.29 | 4.21 | 2.78 | 2.88 | 0.60 | |
| Pre-start preparation period | Mean | 5.70 | 67.39 | 13.52 | 14.38 | 5.7 | 1.57 |
| SD | 0.85 | 11.96 | 2.60 | 4.35 | 2.65 | 0.59 |
| Variable | Supplemented Group (N = 16) | Control Group (N = 19) | P | Effect Size (η2) |
|---|---|---|---|---|
| Mean ± SD | Mean ± SD | |||
| VO2max (mL × kg−1 × min−1) | 53.73 ± 6.04 | 54.40 ± 5.68 | 0.74 | <0.01 |
| Distance (km) | 2.908 ± 0.263 | 2.939 ± 0.254 | 0.75 | <0.01 |
| Distance | Supplemented Group (N = 16) | Control Group (N = 19) | p | Effect Size (η2) |
|---|---|---|---|---|
| Mean ± SD (hh:mm:ss) ± (hh:mm:ss) | Mean ± SD (hh:mm:ss) ± (hh:mm:ss) | |||
| 10 km | 01:18:49 ± 00:09:28 | 01:19:28 ± 00:10:32 | 0.74 | <0.01 |
| 32 km | 05:02:36 ± 01:06:45 | 04:44:09 ± 00:59:51 | 0.32 | 0.03 |
| 64 km | 10:15:03 ± 01:30:26 | 09:47:07 ± 00:59:51 | 0.27 | 0.04 |
| 100 km | 15:57:07 ± 01:52:45 | 15:45:43 ± 01:42:34 | 0.78 | <0.01 |
| 130 km | 21:07:20 ± 02:12:27 | 19:01:51 ± 02:17:26 | 0.12 | 0.06 |
| 170 km | 29:40:07 ± 02:55:52 | 27:57:05 ± 02:23:56 | 0.16 | 0.05 |
| 215 km | 39:47:07 ± 04:01:08 | 37:35:43 ± 05:00:51 | 0.23 | 0.04 |
| 240 km | 44:46:33 ± 04:59:23 | 42:01:35 ± 05:40:04 | 0.25 | 0.04 |
| Variable | Group | 24 H Before The Run (Mean ± SD) | Immediately after The Run (Mean ± SD) | 24 H after The Run (Mean ± SD) |
|---|---|---|---|---|
| 25(OH)D [ng/mL] | Supplemented Control | 27.50 ± 7.01 26.82 ± 5.22 | 58.13 ± 18.89 †# 41.06 ± 10.58 † | 67.93 ± 25.67 † 49.54 ± 17.76 † |
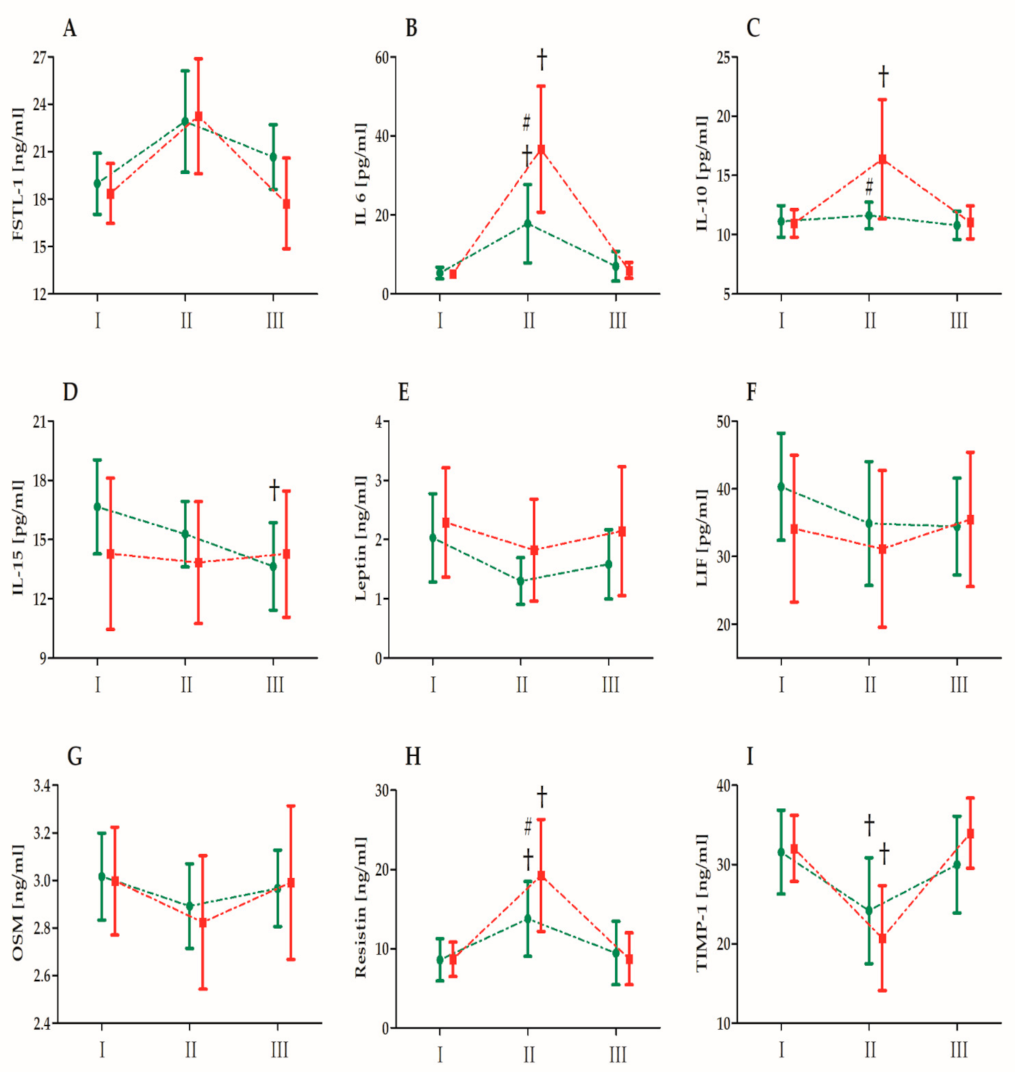
| Variable | Effect | F | Df | P | Effect Size (η2) | Post-Hoc Outcome |
|---|---|---|---|---|---|---|
| FSTL-1 | GR UM GR × UM | 3.26 18.29 1.76 | 1, 33 2, 66 2, 66 | 0.08 0.01 ** 0.18 | 0.09 0.35 0.05 | I, III < II |
| IL-6 | GR UM GR × UM | 5.03 55.84 8.35 | 1, 33 2, 66 2, 66 | 0.03 * 0.01 ** 0.01 ** | 0.19 0.70 0.20 | S < C I, III < II S-I, S-III < S-II C-I, C-III < C-II S-II < C-II |
| IL-10 | GR UM GR × UM | 6.25 13.58 7.37 | 1, 33 2, 66 2, 66 | 0.02 * 0.01 ** 0.01 ** | 0.08 0.62 0.11 | S < C I, III < II C-I, C-III < C-II S-II < C-II |
| IL-15 | GR UM GR × UM | 2.17 3.52 3.61 | 1, 33 2, 66 2, 66 | 0.14 0.03 * 0.03 * | 0.06 0.10 0.10 | I > III S-I > S-III |
| Leptin | GR UM GR × UM | 3.00 8.65 0.63 | 1, 33 2, 66 2, 66 | 0.09 0.01 ** 0.53 | 0.08 0.21 0.02 | I > II |
| LIF | GR UM GR × UM | 2.11 1.79 1.36 | 1, 33 2, 66 2, 66 | 0.15 0.17 0.26 | 0.06 0.05 0.04 | |
| OSM | GR UM GR × UM | 0.11 4.06 0.34 | 1, 33 2, 66 2, 66 | 0.73 0.02* 0.70 | 0.01 0.11 0.01 | I > II |
| Resistin | GR UM GR × UM | 1.20 36.6 4.20 | 1, 33 2, 66 2, 66 | 0.27 0.01 ** 0.02* | 0.03 0.52 0.11 | I, III < II S-I, S-III < S-II C-I, C-III < C-II S-II < C-II |
| TIMP-1 | GR UM GR × UM | 0.07 35.98 4.19 | 1, 33 2, 66 2, 66 | 0.78 0.01 ** 0.02 * | 0.01 0.52 0.11 | I, III > II S-I, S-III > S-II C-I, C-III > C-II |
| Variable | Change | Supplemented Group (n = 16) | Control Group (n = 19) | ||
|---|---|---|---|---|---|
| Δ I–II | Δ I–III | Δ I–II | Δ I–III | ||
| FSTL-1 | Δ I–II | 0.02 | 0.03 | 0.18 | 0.09 |
| Δ I–III | 0.31 | 0.24 | 0.19 | 0.12 | |
| IL-6 | Δ I–II | −0.37 * | −0.34 | −0.33 | −0.26 |
| Δ I–III | 0.03 | −0.01 | −0.12 | −0.12 | |
| IL-10 | Δ I–II | −0.26 | −0.19 | −0.14 | −0.11 |
| Δ I–III | 0.14 | 0.13 | 0.06 | −0.08 | |
| IL-15 | Δ I–II | −0.27 | −0.33 | −0.40 | −0.50 * |
| Δ I–III | −0.41 * | −0.45 * | −0.13 | −0.28 | |
| Leptin | Δ I–II | 0.10 | 0.20 | 0.50 * | 0.58 * |
| Δ I–III | −0.11 | −0.15 | −0.27 | −0.31 | |
| LIF | Δ I–II | 0.14 | 0.20 | 0.37 | 0.47 |
| Δ I–III | −0.19 | −0.18 | −0.06 | −0.13 | |
| Resistin | Δ I–II | −0.12 | −0.08 | 0.14 | 0.08 |
| Δ I–III | 0.17 | 0.21 | 0.26 | 0.33 | |
| OSM | Δ I–II | 0.03 | −0.14 | −0.22 | −0.43 |
| Δ I–III | 0.07 | 0.03 | 0.40 | 0.29 | |
| TIMP-1 | Δ I–II Δ I–III | 0.18 −0.23 | 0.12 −0.22 | −0.07 −0.01 | −0.09 −0.10 |
Publisher’s Note: MDPI stays neutral with regard to jurisdictional claims in published maps and institutional affiliations. |
© 2021 by the authors. Licensee MDPI, Basel, Switzerland. This article is an open access article distributed under the terms and conditions of the Creative Commons Attribution (CC BY) license (https://creativecommons.org/licenses/by/4.0/).
Share and Cite
Mieszkowski, J.; Borkowska, A.; Stankiewicz, B.; Kochanowicz, A.; Niespodziński, B.; Surmiak, M.; Waldziński, T.; Rola, R.; Petr, M.; Antosiewicz, J. Single High-Dose Vitamin D Supplementation as an Approach for Reducing Ultramarathon-Induced Inflammation: A Double-Blind Randomized Controlled Trial. Nutrients 2021, 13, 1280. https://doi.org/10.3390/nu13041280
Mieszkowski J, Borkowska A, Stankiewicz B, Kochanowicz A, Niespodziński B, Surmiak M, Waldziński T, Rola R, Petr M, Antosiewicz J. Single High-Dose Vitamin D Supplementation as an Approach for Reducing Ultramarathon-Induced Inflammation: A Double-Blind Randomized Controlled Trial. Nutrients. 2021; 13(4):1280. https://doi.org/10.3390/nu13041280
Chicago/Turabian StyleMieszkowski, Jan, Andżelika Borkowska, Błażej Stankiewicz, Andrzej Kochanowicz, Bartłomiej Niespodziński, Marcin Surmiak, Tomasz Waldziński, Rafał Rola, Miroslav Petr, and Jędrzej Antosiewicz. 2021. "Single High-Dose Vitamin D Supplementation as an Approach for Reducing Ultramarathon-Induced Inflammation: A Double-Blind Randomized Controlled Trial" Nutrients 13, no. 4: 1280. https://doi.org/10.3390/nu13041280
APA StyleMieszkowski, J., Borkowska, A., Stankiewicz, B., Kochanowicz, A., Niespodziński, B., Surmiak, M., Waldziński, T., Rola, R., Petr, M., & Antosiewicz, J. (2021). Single High-Dose Vitamin D Supplementation as an Approach for Reducing Ultramarathon-Induced Inflammation: A Double-Blind Randomized Controlled Trial. Nutrients, 13(4), 1280. https://doi.org/10.3390/nu13041280

