Adenosine Receptors Modulate the Exogenous Ketogenic Supplement-Evoked Alleviating Effect on Lipopolysaccharide-Generated Increase in Absence Epileptic Activity in WAG/Rij Rats
Abstract
1. Introduction
2. Materials and Methods
2.1. Animals
2.2. Electrode Implantation
2.3. EEG Recording and Evaluation
2.4. Administration of Exogenous Ketogenic Supplements and Different Drugs
2.5. Treatments and Animal Groups
2.6. Measuring the Level of Blood Glucose and R-βHB, and Body Weight
2.7. Statistical Analysis
3. Results
3.1. Effect of Combined Administration of DPCPX with LPS and SCH58261 with LPS on LPS-Evoked Increase in SWD Number
3.2. Effect of DPCPX and SCH58261 on KEKS Treatment-Evoked Decrease in SWD Number after LPS Administration
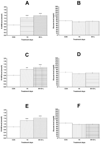
3.3. KEKS-Generated Changes in Blood R-βHB and Glucose Levels and Body Weight
4. Discussion
5. Conclusions
Author Contributions
Funding
Institutional Review Board Statement
Informed Consent Statement
Data Availability Statement
Conflicts of Interest
Abbreviations
| A1R | adenosine A1 receptor |
| A2AR | adenosine A2A receptor |
| AcAc | acetoacetate |
| βHB | beta-hydroxybutyrate |
| COX | cyclooxygenase |
| DMSO | dimethyl sulfoxide |
| DPCPX | 1,3-dipropyl-8-cyclopentylxanthine |
| EEG | electroencephalogram |
| IL-1β | interleukin-1β |
| iNOS | inducible nitric oxide synthase |
| i.p. | intraperitoneal |
| KE | ketone ester |
| KEKS | KE + KS |
| KS | ketone salt |
| LPS | lipopolysaccharide |
| NLRP3 | NOD-like receptor pyrin domain 3 |
| PGE2 | prostaglandin E2 |
| SCH58261 | 7-(2-phenylethyl)-5-amino-2-(2-furyl)-pyrazolo-[4,3-e]-1,2,4-triazolo[1,5-c]pyrimidine |
| SWD | spike-wave discharge |
| TLR4 | Toll-like receptor 4 |
| TNF-α | tumor necrosis factor-α |
| WAG/Rij | Wistar Albino Glaxo/Rijswijk |
References
- Brunengraber, H. Potential of ketone body esters for parenteral and oral nutrition. Nutrition 1997, 13, 233–235. [Google Scholar] [CrossRef]
- Ari, C.; Kovács, Z.; Juhasz, G.; Murdun, C.; Goldhagen, C.R.; Koutnik, A.M.; Poff, A.M.; Kesl, S.L.; D’Agostino, D.P. Exogenous ketone supplements reduce anxiety-related behavior in Sprague-Dawley and Wistar Albino Glaxo/Rijswijk rats. Front. Mol. Neurosci. 2016, 9, 137. [Google Scholar] [CrossRef]
- Kesl, S.L.; Poff, A.M.; Ward, N.P.; Fiorelli, T.N.; Ari, C.; Van Putten, A.J.; Sherwood, J.W.; Arnold, P.; D’Agostino, D.P. Effects of exogenous ketone supplementation on blood ketone, glucose, triglyceride, and lipoprotein levels in Sprague-Dawley rats. Nutr. Metab. (Lond.) 2016, 13, 9. [Google Scholar] [CrossRef]
- Achanta, L.B.; Rae, C.D. β-Hydroxybutyrate in the Brain: One Molecule, Multiple Mechanisms. Neurochem. Res. 2017, 42, 35–49. [Google Scholar] [CrossRef] [PubMed]
- Newman, J.C.; Verdin, E. Ketone bodies as signaling metabolites. Trends Endocrinol. Metab. 2014, 25, 42–52. [Google Scholar] [CrossRef]
- Brownlow, M.L.; Jung, S.H.; Moore, R.J.; Bechmann, N.; Jankord, R. Nutritional Ketosis Affects Metabolism and Behavior in Sprague-Dawley Rats in Both Control and Chronic Stress Environments. Front. Mol. Neurosci. 2017, 10, 129. [Google Scholar] [CrossRef]
- Melø, T.M.; Nehlig, A.; Sonnewald, U. Neuronal-glial interactions in rats fed a ketogenic diet. Neurochem. Int. 2006, 48, 498–507. [Google Scholar] [CrossRef] [PubMed]
- Hashim, S.A.; VanItallie, T.B. Ketone body therapy: From the ketogenic diet to the oral administration of ketone ester. J. Lipid Res. 2014, 55, 1818–1826. [Google Scholar] [CrossRef]
- Kovács, Z.; D’Agostino, D.P.; Ari, C. Anxiolytic Effect of Exogenous Ketone Supplementation Is Abolished by Adenosine A1 Receptor Inhibition in Wistar Albino Glaxo/Rijswijk Rats. Front. Behav. Neurosci. 2018, 12, 29. [Google Scholar] [CrossRef] [PubMed]
- D’Agostino, D.; Pilla, R.; Held, H.; Landon, C.; Puchowicz, M.; Brunengraber, H.; Ari, C.; Arnold, P.; Dean, J.B. Therapeutic ketosis with ketone ester delays central nervous system oxygen toxicity seizures in rats. Am. J. Physiol.-Regul. Integr. Comp. Physiol. 2013, 304, 829–836. [Google Scholar] [CrossRef]
- Kovács, Z.; D’Agostino, D.P.; Dobolyi, A.; Ari, C. Adenosine A1 Receptor Antagonism Abolished the Anti-seizure Effects of Exogenous Ketone Supplementation in Wistar Albino Glaxo Rijswijk Rats. Front. Mol. Neurosci. 2017, 10, 235. [Google Scholar] [CrossRef]
- Ari, C.; Poff, A.M.; Held, H.E.; Landon, C.S.; Goldhagen, C.R.; Mavromates, N.; D’Agostino, D.P. Metabolic therapy with Deanna Protocol supplementation delays disease progression and extends survival in amyotrophic lateral sclerosis (ALS) mouse model. PLoS ONE 2014, 9, e103526. [Google Scholar] [CrossRef] [PubMed]
- Tefera, T.W.; Wong, Y.; Barkl-Luke, M.E.; Ngo, S.T.; Thomas, N.K.; McDonald, T.S.; Borges, K. Triheptanoin Protects Motor Neurons and Delays the Onset of Motor Symptoms in a Mouse Model of Amyotrophic Lateral Sclerosis. PLoS ONE 2016, 11, e0161816. [Google Scholar] [CrossRef]
- Henderson, S.T.; Vogel, J.L.; Barr, L.J.; Garvin, F.; Jones, J.J.; Costantini, L.C. Study of the ketogenic agent AC-1202 in mild to moderate Alzheimer’s disease: A randomized, double-blind, placebo-controlled, multicenter trial. Nutr. Metab. (Lond.) 2009, 6, 31. [Google Scholar] [CrossRef] [PubMed]
- Kashiwaya, Y.; Takeshima, T.; Mori, N.; Nakashima, K.; Clarke, K.; Veech, R.L. D-beta-hydroxybutyrate protects neurons in models of Alzheimer’s and Parkinson’s disease. Proc. Natl. Acad. Sci. USA 2000, 97, 5440–5444. [Google Scholar] [CrossRef]
- Youm, Y.H.; Nguyen, K.Y.; Grant, R.W.; Goldberg, E.L.; Bodogai, M.; Kim, D.; D’Agostino, D.; Planavsky, N.; Lupfer, C.; Kanneganti, T.D.; et al. The ketone metabolite β-hydroxybutyrate blocks NLRP3 inflammasome-mediated inflammatory disease. Nat. Med. 2015, 21, 263–269. [Google Scholar] [CrossRef]
- Kovács, Z.; Czurkó, A.; Kékesi, K.A.; Juhász, G. Intracerebroventricularly administered lipopolysaccharide enhances spike-wave discharges in freely moving WAG/Rij rats. Brain Res. Bull. 2011, 85, 410–416. [Google Scholar] [CrossRef]
- Russo, E.; Andreozzi, F.; Iuliano, R.; Dattilo, V.; Procopio, T.; Fiume, G.; Mimmi, S.; Perrotti, N.; Citraro, R.; Sesti, G.; et al. Early molecular and behavioral response to lipopolysaccharide in the WAG/Rij rat model of absence epilepsy and depressive-like behavior, involves interplay between AMPK, AKT/mTOR pathways and neuroinflammatory cytokine release. Brain Behav. Immun. 2014, 42, 157–168. [Google Scholar] [CrossRef]
- Kovács, Z.; D’Agostino, D.P.; Diamond, D.M.; Ari, C. Exogenous Ketone Supplementation Decreased the Lipopolysaccharide-Induced Increase in Absence Epileptic Activity in Wistar Albino Glaxo Rijswijk Rats. Front. Mol. Neurosci. 2019, 12, 45. [Google Scholar] [CrossRef]
- Coenen, A.M.; Van Luijtelaar, E.L. Genetic animal models for absence epilepsy: A review of the WAG/Rij strain of rats. Behav. Genet. 2003, 33, 635–655. [Google Scholar] [CrossRef]
- Meeren, H.K.; Pijn, J.P.; Van Luijtelaar, E.L.; Coenen, A.M.; Lopes da Silva, F.H. Cortical focus drives widespread corticothalamic networks during spontaneous absence seizures in rats. J. Neurosci. 2002, 22, 1480–1495. [Google Scholar] [CrossRef]
- Vezzani, A.; Maroso, M.; Balosso, S.; Sanchez, M.A.; Bartfai, T. IL-1 receptor/Toll-like receptor signaling in infection, inflammation, stress and neurodegeneration couples hyperexcitability and seizures. Brain Behav. Immun. 2011, 25, 1281–1289. [Google Scholar] [CrossRef] [PubMed]
- Kovács, Z.; Kékesi, K.A.; Szilágyi, N.; Abrahám, I.; Székács, D.; Király, N.; Papp, E.; Császár, I.; Szego, E.; Barabás, K.; et al. Facilitation of spike-wave discharge activity by lipopolysaccharides in Wistar Albino Glaxo/Rijswijk rats. Neuroscience 2006, 140, 731–742. [Google Scholar] [CrossRef]
- Sayyah, M.; Javad-Pour, M.; Ghazi-Khansari, M. The bacterial endotoxin lipopolysaccharide enhances seizure susceptibility in mice: Involvement of proinflammatory factors: Nitric oxide and prostaglandins. Neuroscience 2003, 122, 1073–1080. [Google Scholar] [CrossRef] [PubMed]
- Wang, Y.S.; White, T.D. The bacterial endotoxin lipopolysaccharide causes rapid inappropriate excitation in rat cortex. J. Neurochem. 1999, 72, 652–660. [Google Scholar] [CrossRef]
- Almeida, C.G.; de Mendonça, A.; Cunha, R.A.; Ribeiro, J.A. Adenosine promotes neuronal recovery from reactive oxygen species induced lesion in rat hippocampal slices. Neurosci. Lett. 2003, 339, 127–130. [Google Scholar] [CrossRef]
- van der Putten, C.; Zuiderwijk-Sick, E.A.; van Straalen, L.; de Geus, E.D.; Boven, L.A.; Kondova, I.; IJzerman, A.P.; Bajramovic, J.J. Differential expression of adenosine A3 receptors controls adenosine A2A receptor-mediated inhibition of TLR responses in microglia. J. Immunol. 2009, 182, 7603–7612. [Google Scholar] [CrossRef] [PubMed]
- D’Alimonte, I.; D’Auro, M.; Citraro, R.; Biagioni, F.; Jiang, S.; Nargi, E.; Buccella, S.; Di Iorio, P.; Giuliani, P.; Ballerini, P.; et al. Altered distribution and function of A2A adenosine receptors in the brain of WAG/Rij rats with genetic absence epilepsy, before and after appearance of the disease. Eur. J. Neurosci. 2009, 30, 1023–1035. [Google Scholar] [CrossRef]
- Kovács, Z.; Kékesi, K.A.; Juhász, G.; Dobolyi, A. The antiepileptic potential of nucleosides. Curr. Med. Chem. 2014, 21, 788–821. [Google Scholar] [CrossRef][Green Version]
- Sharma, A.K.; Rani, E.; Waheed, A.; Rajput, S.K. Pharmacoresistant epilepsy: A current update on non-conventional pharmacological and non-pharmacological interventions. J. Epilepsy Res. 2015, 5, 1–8. [Google Scholar] [CrossRef]
- Brunner, B.; Rauch, E.; Ari, C.; D’Agostino, D.P.; Kovács, Z. Enhancement of Ketone Supplements-Evoked Effect on Absence Epileptic Activity by Co-Administration of Uridine in Wistar Albino Glaxo Rijswijk Rats. Nutrients 2021, 13, 234. [Google Scholar] [CrossRef]
- Paxinos, G.; Watson, C. The Rat Brain Stereotaxic Coordinates; Academic Press: Orlando, FL, USA, 1998; ISBN 978-0125476171. [Google Scholar]
- Sitnikova, E.; van Luijtelaar, G. Electroencephalographic precursors of spike-wave discharges in a genetic rat model of absence epilepsy: Power spectrum and coherence EEG analyses. Epilepsy Res. 2009, 84, 159–171. [Google Scholar] [CrossRef]
- Kovács, Z.; Dobolyi, A.; Juhász, G.; Kékesi, K.A. Lipopolysaccharide induced increase in seizure activity in two animal models of absence epilepsy WAG/Rij and GAERS rats and Long Evans rats. Brain Res. Bull. 2014, 104, 7–18. [Google Scholar] [CrossRef][Green Version]
- Kovács, Z.; Slézia, A.; Bali, Z.K.; Kovács, P.; Dobolyi, A.; Szikra, T.; Hernádi, I.; Juhász, G. Uridine modulates neuronal activity and inhibits spike-wave discharges of absence epileptic Long Evans and Wistar Albino Glaxo/Rijswijk rats. Brain Res. Bull. 2013, 97, 16–23. [Google Scholar] [CrossRef] [PubMed]
- Kovács, Z.; Czurkó, A.; Kékesi, K.A.; Juhász, G. The effect of intraperitoneally administered dimethyl sulfoxide on absence-like epileptic activity of freely moving WAG/Rij rats. J. Neurosci. Methods 2011, 197, 133–136. [Google Scholar] [CrossRef]
- Levy, M.; Thaiss, C.A.; Elinav, E. Taming the inflammasome. Nat. Med. 2015, 21, 213–215. [Google Scholar] [CrossRef] [PubMed]
- Patel, M.N.; Carroll, R.G.; Galván-Peña, S.; Mills, E.L.; Olden, R.; Triantafilou, M.; Wolf, A.I.; Bryant, C.E.; Triantafilou, K.; Masters, S.L. Inflammasome Priming in Sterile Inflammatory Disease. Trends Mol. Med. 2017, 23, 165–180. [Google Scholar] [CrossRef]
- Bae, H.R.; Kim, D.H.; Park, M.H.; Lee, B.; Kim, M.J.; Lee, E.K.; Chung, K.W.; Kim, S.M.; Im, D.S.; Chung, H.Y. β-Hydroxybutyrate suppresses inflammasome formation by ameliorating endoplasmic reticulum stress via AMPK activation. Oncotarget 2016, 7, 66444–66454. [Google Scholar] [CrossRef] [PubMed]
- Fu, S.P.; Li, S.N.; Wang, J.F.; Li, Y.; Xie, S.S.; Xue, W.J.; Liu, H.M.; Huang, B.X.; Lv, Q.K.; Lei, L.C.; et al. BHBA suppresses LPS-induced inflammation in BV-2 cells by inhibiting NF-κB activation. Mediat. Inflamm. 2014, 2014, 983401. [Google Scholar] [CrossRef]
- Fu, S.P.; Wang, J.F.; Xue, W.J.; Liu, H.M.; Liu, B.R.; Zeng, Y.L.; Li, S.N.; Huang, B.X.; Lv, Q.K.; Wang, W.; et al. Anti-inflammatory effects of BHBA in both in vivo and in vitro Parkinson’s disease models are mediated by GPR109A-dependent mechanisms. J. Neuroinflammation 2015, 12, 9. [Google Scholar] [CrossRef]
- Graff, E.C.; Fang, H.; Wanders, D.; Judd, R.L. Anti-inflammatory effects of the hydroxycarboxylic acid receptor 2. Metabolism 2016, 65, 102–113. [Google Scholar] [CrossRef] [PubMed]
- Kovács, Z.; Dobolyi, A.; Kékesi, K.A.; Juhász, G. 5’-nucleotidases, nucleosides and their distribution in the brain: Pathological and therapeutic implications. Curr. Med. Chem. 2013, 20, 4217–4240. [Google Scholar] [CrossRef] [PubMed][Green Version]
- Simeone, T.A.; Simeone, K.A.; Stafstrom, C.E.; Rho, J.M. Do ketone bodies mediate the anti-seizure effects of the ketogenic diet? Neuropharmacology 2018, 133, 233–241. [Google Scholar] [CrossRef]
- Andoh, T.; Ishiwa, D.; Kamiya, Y.; Echigo, N.; Goto, T.; Yamada, Y. A1 adenosine receptor-mediated modulation of neuronal ATP-sensitive K channels in rat substantia nigra. Brain Res. 2006, 1124, 55–61. [Google Scholar] [CrossRef] [PubMed]
- Lakatos, R.K.; Dobolyi, Á.; Todorov, M.I.; Kékesi, K.A.; Juhász, G.; Aleksza, M.; Kovács, Z. Guanosine may increase absence epileptic activity by means of A2A adenosine receptors in Wistar Albino Glaxo Rijswijk rats. Brain Res. Bull. 2016, 124, 172–181. [Google Scholar] [CrossRef]
- Kovács, Z.; Kékesi, K.A.; Dobolyi, Á.; Lakatos, R.; Juhász, G. Absence epileptic activity changing effects of non-adenosine nucleoside inosine, guanosine and uridine in Wistar Albino Glaxo Rijswijk rats. Neuroscience 2015, 300, 593–608. [Google Scholar] [CrossRef]
- Germé, K.; Faure, J.B.; Koning, E.; Nehlig, A. Effect of caffeine and adenosine receptor ligands on the expression of spike-and-wave discharges in Genetic Absence Epilepsy Rats from Strasbourg (GAERS). Epilepsy Res. 2015, 110, 105–114. [Google Scholar] [CrossRef]
- Nehlig, A.; Dufour, F.; Klinger, M.; Willing, L.B.; Simpson, I.A.; Vannucci, S.J. The ketogenic diet has no effect on the expression of spike-and-wave discharges and nutrient transporters in genetic absence epilepsy rats from Strasbourg. J. Neurochem. 2009, 109, 207–213. [Google Scholar] [CrossRef][Green Version]
- Pasquini, S.; Contri, C.; Borea, P.A.; Vincenzi, F.; Varani, K. Adenosine and Inflammation: Here, There and Everywhere. Int. J. Mol. Sci. 2021, 22, 7685. [Google Scholar] [CrossRef]
- Martí Navia, A.; Dal Ben, D.; Lambertucci, C.; Spinaci, A.; Volpini, R.; Marques-Morgado, I.; Coelho, J.E.; Lopes, L.V.; Marucci, G.; Buccioni, M. Adenosine Receptors as Neuroinflammation Modulators: Role of A1 Agonists and A2A Antagonists. Cells 2020, 9, 1739. [Google Scholar] [CrossRef]
- Boison, D.; Chen, J.F.; Fredholm, B.B. Adenosine signaling and function in glial cells. Cell Death Differ. 2010, 17, 1071–1182. [Google Scholar] [CrossRef]
- Sheth, S.; Brito, R.; Mukherjea, D.; Rybak, L.P.; Ramkumar, V. Adenosine receptors: Expression, function and regulation. Int. J. Mol. Sci. 2014, 15, 2024–2052. [Google Scholar] [CrossRef]
- Synowitz, M.; Glass, R.; Färber, K.; Markovic, D.; Kronenberg, G.; Herrmann, K.; Schnermann, J.; Nolte, C.; van Rooijen, N.; Kiwit, J.; et al. A1 adenosine receptors in microglia control glioblastoma-host interaction. Cancer Res. 2006, 66, 8550–8557. [Google Scholar] [CrossRef] [PubMed]
- Tsutsui, S.; Schnermann, J.; Noorbakhsh, F.; Henry, S.; Yong, V.W.; Winston, B.W.; Warren, K.; Power, C. A1 adenosine receptor upregulation and activation attenuates neuroinflammation and demyelination in a model of multiple sclerosis. J. Neurosci. 2004, 24, 1521–1529. [Google Scholar] [CrossRef]
- Gessi, S.; Merighi, S.; Stefanelli, A.; Fazzi, D.; Varani, K.; Borea, P.A. A(1) and A(3) adenosine receptors inhibit LPS-induced hypoxia-inducible factor-1 accumulation in murine astrocytes. Pharmacol. Res. 2013, 76, 157–170. [Google Scholar] [CrossRef]
- Colella, M.; Zinni, M.; Pansiot, J.; Cassanello, M.; Mairesse, J.; Ramenghi, L.; Baud, O. Modulation of Microglial Activation by Adenosine A2a Receptor in Animal Models of Perinatal Brain Injury. Front. Neurol. 2018, 9, 605. [Google Scholar] [CrossRef] [PubMed]
- Gomes, C.; Ferreira, R.; George, J.; Sanches, R.; Rodrigues, D.I.; Gonçalves, N.; Cunha, R.A. Activation of microglial cells triggers a release of brain-derived neurotrophic factor (BDNF) inducing their proliferation in an adenosine A2A receptor-dependent manner: A2A receptor blockade prevents BDNF release and proliferation of microglia. J. Neuroinflammation 2013, 10, 16. [Google Scholar] [CrossRef]
- Rebola, N.; Simões, A.P.; Canas, P.M.; Tomé, A.R.; Andrade, G.M.; Barry, C.E.; Agostinho, P.M.; Lynch, M.A.; Cunha, R.A. Adenosine A2A receptors control neuroinflammation and consequent hippocampal neuronal dysfunction. J. Neurochem. 2011, 117, 100–111. [Google Scholar] [CrossRef] [PubMed]
- Brambilla, R.; Cottini, L.; Fumagalli, M.; Ceruti, S.; Abbracchio, M.P. Blockade of A2A adenosine receptors prevents basic fibroblast growth factor-induced reactive astrogliosis in rat striatal primary astrocytes. Glia 2003, 43, 190–194. [Google Scholar] [CrossRef]
- Hindley, S.; Herman, M.A.; Rathbone, M.P. Stimulation of reactive astrogliosis in vivo by extracellular adenosine diphosphate or an adenosine A2 receptor agonist. J. Neurosci. Res. 1994, 38, 399–406. [Google Scholar] [CrossRef] [PubMed]
- Fiebich, B.L.; Biber, K.; Lieb, K.; van Calker, D.; Berger, M.; Bauer, J.; Gebicke-Haerter, P.J. Cyclooxygenase-2 expression in rat microglia is induced by adenosine A2a-receptors. Glia 1996, 18, 152–160. [Google Scholar] [CrossRef]
- Saura, J.; Angulo, E.; Ejarque, A.; Casadó, V.; Tusell, J.M.; Moratalla, R.; Chen, J.F.; Schwarzschild, M.A.; Lluis, C.; Franco, R.; et al. Adenosine A2A receptor stimulation potentiates nitric oxide release by activated microglia. J. Neurochem. 2005, 95, 919–929. [Google Scholar] [CrossRef] [PubMed]
- Chakravarty, S.; Herkenham, M. Toll-like receptor 4 on nonhematopoietic cells sustains CNS inflammation during endotoxemia, independent of systemic cytokines. J. Neurosci. 2005, 25, 1788–1796. [Google Scholar] [CrossRef]
- Haskó, G.; Cronstein, B.N. Adenosine: An endogenous regulator of innate immunity. Trends Immunol. 2004, 25, 33–39. [Google Scholar] [CrossRef]
- Brodie, C.; Blumberg, P.M.; Jacobson, K.A. Activation of the A2A adenosine receptor inhibits nitric oxide production in glial cells. FEBS Lett. 1998, 429, 139–142. [Google Scholar] [CrossRef]




| Treatments | Figure 2A (Group 1) | Figure 2B (Group 2) | Figure 2C (Group 3) | |||
|---|---|---|---|---|---|---|
| SWD Number (Mean ± SEM; Level of Significance/p-Value) | ||||||
| 30–90 min | 90–150 min | 30–90 min | 90–150 min | 30–90 min | 90–150 min | |
| Control (CON) | 29.8 ± 3.85 | 29.3 ± 3.71 | 25.3 ± 2.84 | 27.7 ± 3.79 | 33.8 ± 3.23 | 28.0 ± 2.74 |
| LPS (50 µg/kg) | 66.4 ± 6.31 ****/<0.0001 | 88.0 ± 5.55 ****/<0.0001 | - | - | - | - |
| DPCPX (0.2 mg/kg) + LPS (50 µg/kg) | - | - | 52.8 ± 6.78 **/<0.0037 | 77.6 ± 4.71 ****/<0.0001 | - | - |
| SCH58261 (0.5 mg/kg) + LPS (50 µg/kg) | - | - | - | - | 64.5 ± 6.09 ***/0.0009 | 82.0 ± 6.66 ****/<0.0001 |
| Treatments | Figure 3A (Group 4) | Figure 3B (Group 5) | Figure 3C (Group 6) | |||
|---|---|---|---|---|---|---|
| SWD Number (Mean ± SEM; Level of Significance/p-Value) | ||||||
| 30–90 min | 90–150 min | 30–90 min | 90–150 min | 30–90 min | 90–150 min | |
| Control (CON) | 23.8 ± 1.36 | 21.9 ± 1.83 | 19.7 ± 1.98 | 16.4 ± 1.18 | 26.2 ± 1.61 | 19.6 ± 2.44 |
| 1st KEKS treatment (1K) | 19.7 ± 3.38 ns/0.6999 | 16.7 ± 3.56 ns/0.5327 | 22.3 ± 4.19 ns/0.8824 | 21.8 ± 1.89 ns/0.4668 | 22.1 ± 6.18 ns/0.8818 | 20.2 ± 3.46 ns/0.9996 |
| 2nd KEKS treatment (2K) | 15.3 ± 2.49 ns/0.0522 | 13.7 ± 2.70 ns/0.0623 | 14.0 ± 2.07 ns/0.2113 | 11.0 ± 2.46 ns/0.2397 | 13.0 ± 2.58 **/0.0030 | 12.8 ± 2.34 ns/0.1862 |
| 3rd KEKS treatment (3K) | 13.5 ± 1.18 **/0.0015 | 12.8 ± 2.14 **/0.0051 | 10.2 ± 1.99 ns/0.1100 | 15.8 ± 4.71 ns/0.9986 | 16.3 ± 3.38 ns/0.0526 | 13.5 ± 2.25 ns/0.3380 |
| 4th KEKS treatment (4K) | 12.0 ± 2.03 **/0.0021 | 12.3 ± 2.51 */0.0132 | 16.7 ± 4.55 ns/0.8773 | 13.8 ± 2.52 ns/0.9141 | 12.8 ± 2.79 **/0.0020 | 13.2 ± 1.78 ns/0.2007 |
| 5th KEKS treatment (5K) | 12.8 ± 2.30 **/0.0073 | 11.2 ± 2.70 **/0.0089 | 8.8 ± 1.56 */0.0104 | 13.0 ± 3.34 ns/0.6795 | 12.7 ± 3.84 */0.0130 | 10.7 ± 2.75 ns/0.1382 |
| 6th KEKS treatment (6K) | 7.2 ± 0.95 ****/<0.0001 | 8.3 ± 1.78 ****/<0.0001 | 7.8 ± 1.42 ****/<0.0001 | 9.3 ± 1.09 */0.0123 | 11.0 ± 2.01 ****/<0.0001 | 7.2 ± 1.45 **/0.0010 |
| 7th KEKS treatment (7K) | 10.8 ± 1.52 ****/<0.0001 | 8.5 ± 1.73 ****/<0.0001 | 5.7 ± 0.92 ****/<0.0001 | 7.3 ± 0.92 ***/0.0005 | 11.3 ± 0.96 ****/<0.0001 | 9.2 ± 1.01 **/0.001 |
| 8th KEKS treatment (8K) | 6.8 ± 1.01 ****/<0.0001 | 9.5 ± 2.20 ***/0.0002 | 7.5 ± 1.57 ****/<0.0001 | 8.5 ± 0.96 **/0.0054 | 7.8 ± 1.30 ****/<0.0001 | 8.5 ± 0.56 ***/0.0005 |
| 9th KEKS treatment (9K + L) | 29.0 ± 6.16 ns/0.8988 | 25.2 ± 8.26 ns/0.9712 | - | - | - | - |
| 9th KEKS treatment (9K + D + L) | - | - | 49.2 ± 7.31 **/0.0032 | 98.2 ± 6.86 ****/<0.0001 | - | - |
| 9th KEKS treatment (9K + S + L) | - | - | - | - | 19.5 ± 5.71 ns/0.9117 | 46.5 ± 12.79 ns/0.0663 |
| Treatments | Figure 4A,B (Group 4) | Figure 4C,D (Group 5) | Figure 4E,F (Group 6) | |||
|---|---|---|---|---|---|---|
| Blood Level of R-βHB and Glucose (Mean ± SEM; Level of Significance/p-Value) | ||||||
| R-βHB (mmol/L) | Glucose (mg/dL) | R-βHB (mmol/L) | glucose (mg/dL) | R-βHB (mmol/L) | Glucose (mg/dL) | |
| Control (CON) | 0.73 ± 0.03 | 75.83 ± 2.23 | 0.82 ± 0.03 | 76.83 ± 2.27 | 0.80 ± 0.03 | 78.67 ± 3.49 |
| first KEKS treatment (1K) | 1.25 ± 0.06 ****/<0.0001 | 70.17 ± 3.26 ns/0.3827 | 1.23 ± 0.03 ***/0.0006 | 69.17 ± 3.03 ns/0.1336 | 1.25 ± 0.04 ****/<0.0001 | 71.83 ± 2.94 ns/0.2445 |
| 9th KEKS treatment (9K + L) | 1.40 ± 0.05 ****/<0.0001 | 73.17 ± 3.19 ns/0.7992 | - | - | - | - |
| 9th KEKS treatment (9K + D + L) | - | - | 1.38 ± 0.09 ****/<0.0001 | 74.33 ± 2.57 ns/0.7842 | - | - |
| 9th KEKS treatment (9K + S + L) | - | - | - | - | 1.43 ± 0.04 ****/<0.0001 | 72.67 ± 1.98 ns/0.3296 |
Publisher’s Note: MDPI stays neutral with regard to jurisdictional claims in published maps and institutional affiliations. |
© 2021 by the authors. Licensee MDPI, Basel, Switzerland. This article is an open access article distributed under the terms and conditions of the Creative Commons Attribution (CC BY) license (https://creativecommons.org/licenses/by/4.0/).
Share and Cite
Brunner, B.; Ari, C.; D’Agostino, D.P.; Kovács, Z. Adenosine Receptors Modulate the Exogenous Ketogenic Supplement-Evoked Alleviating Effect on Lipopolysaccharide-Generated Increase in Absence Epileptic Activity in WAG/Rij Rats. Nutrients 2021, 13, 4082. https://doi.org/10.3390/nu13114082
Brunner B, Ari C, D’Agostino DP, Kovács Z. Adenosine Receptors Modulate the Exogenous Ketogenic Supplement-Evoked Alleviating Effect on Lipopolysaccharide-Generated Increase in Absence Epileptic Activity in WAG/Rij Rats. Nutrients. 2021; 13(11):4082. https://doi.org/10.3390/nu13114082
Chicago/Turabian StyleBrunner, Brigitta, Csilla Ari, Dominic P. D’Agostino, and Zsolt Kovács. 2021. "Adenosine Receptors Modulate the Exogenous Ketogenic Supplement-Evoked Alleviating Effect on Lipopolysaccharide-Generated Increase in Absence Epileptic Activity in WAG/Rij Rats" Nutrients 13, no. 11: 4082. https://doi.org/10.3390/nu13114082
APA StyleBrunner, B., Ari, C., D’Agostino, D. P., & Kovács, Z. (2021). Adenosine Receptors Modulate the Exogenous Ketogenic Supplement-Evoked Alleviating Effect on Lipopolysaccharide-Generated Increase in Absence Epileptic Activity in WAG/Rij Rats. Nutrients, 13(11), 4082. https://doi.org/10.3390/nu13114082
