Effects of Maternal Fish Oil and/or 5-Methyl-Tetrahydrofolate Supplementation during Pregnancy on Offspring Brain Resting-State at 10 Years Old: A Follow-Up Study from the NUHEAL Randomized Controlled Trial
Abstract
1. Introduction
2. Materials and Methods
2.1. Study Design
2.2. Sample Size
2.3. Resting-State fMRI Experimental Procedure (Primary Outcome)
2.3.1. Independent Component Analyses
2.3.2. Imaging Data Acquisition and Pre-Processing
2.4. Neuropsychological Assessment (Secondary Outcome)
2.5. Statistical Analyses
2.5.1. Resting-State fMRI
2.5.2. Neuropsychological Outcomes
3. Results
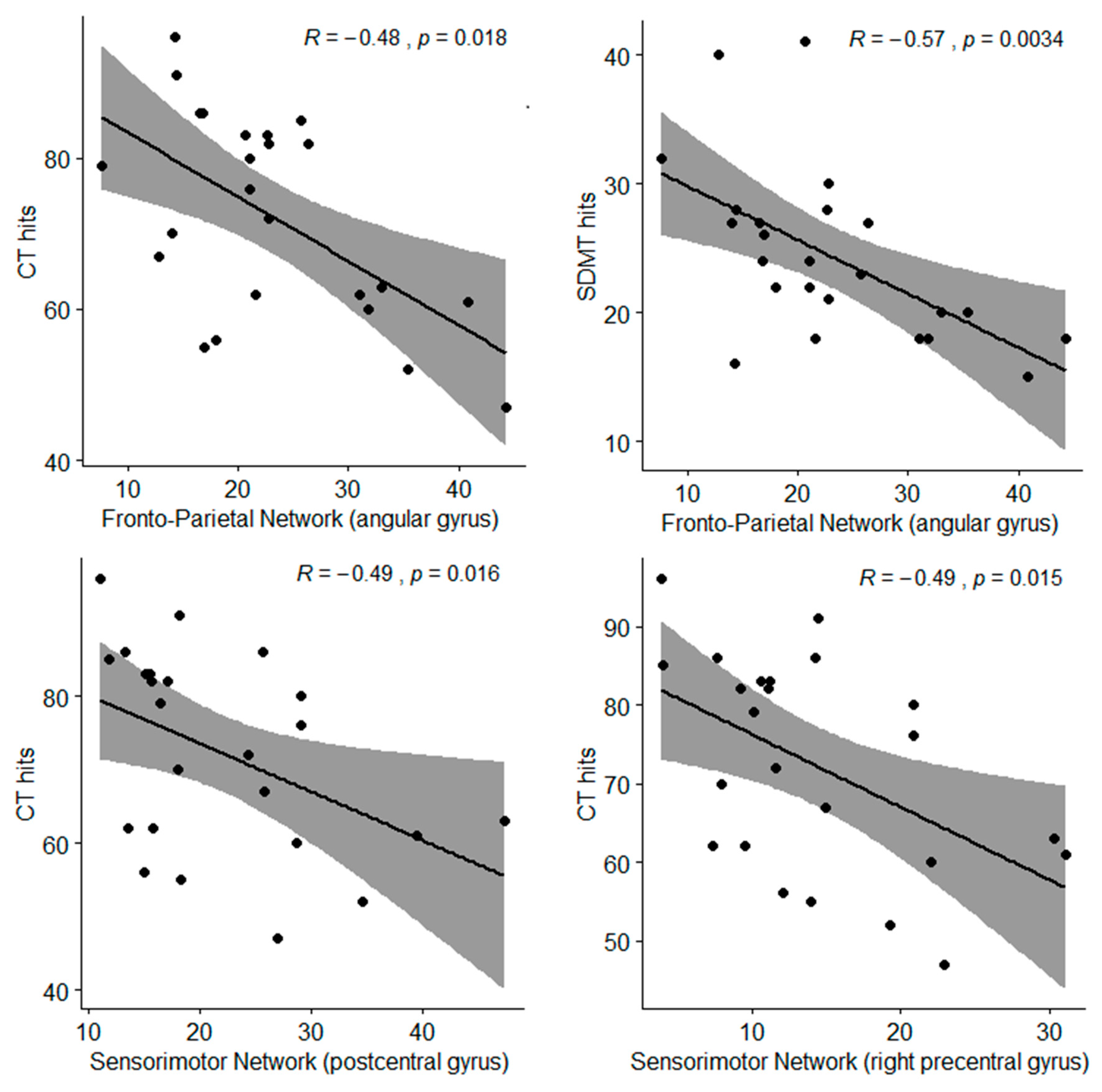
3.1. Resting-State fMRI Results
3.2. Neuropsychological Outcomes and RSN Scores
4. Discussion
5. Conclusions
Author Contributions
Funding
Acknowledgments
Conflicts of Interest
Abbreviations
| 5-MTHF | 5-methyl-tetrahydrofolate |
| CCTT | Children’s Colors Trail Test |
| CPTBL7 | Continuous Performance Test Block7 |
| CT | Cancellation Test |
| DHA | Docosahexanoic acid |
| DH | Dominant Hand |
| DMN | Default Mode Network |
| EPA | Eicosapentaenoic acid |
| FO | Fish Oil |
| FPN | Fronto-Parietal Network |
| HDT | Hungry Donkey Task |
| HVOT | Hooper Visual Organization Test |
| K-ABC-II | Matrix Analogies Test |
| LC-PUFAs | long-chain polyunsaturated fatty acids |
| NDH | Non Dominant Hand |
| NNB | NUTRIMENTHE Neuropsychological Battery |
| NUHEAL | NUtraceuticals for a HEALthier life |
| RAVLT | Rey Auditory Verbal Learning Test |
| ROT | Recall of Object Test |
| rsfMRI | Resting-state functional magnetic resonance imaging |
| RSN | Resting-State Network |
| SDMT | Symbol Digit Modalities Test |
| SMN | SensoriMotor Network |
References
- Cusick, S.E.; Georgieff, M.K. The role of nutrition in brain development: The Golden opportunity of the “first 1000 days”. J. Pediatr. 2016, 175, 16–21. [Google Scholar] [CrossRef]
- Wachs, T.D.; Georgieff, M.; Cusick, S.; Mcewen, B.S. Issues in the timing of integrated early interventions: Contributions from nutrition, neuroscience, and psychological research. Ann. N. Y. Acad. Sci. 2014, 1308, 89–106. [Google Scholar] [CrossRef]
- Georgieff, M.K.; Ramel, S.E.; Cusick, S.E. Nutritional influences on brain development. Acta Paediatr. Int. J. Paediatr. 2018, 107, 1310–1321. [Google Scholar] [CrossRef]
- Elmadfa, I.; Meyer, A.L. Vitamins for the first 1000 days: Preparing for life. Int. J. Vitam. Nutr. Res. 2012, 82, 342–347. [Google Scholar] [CrossRef]
- Cheng, G.; Sha, T.; Gao, X.; Wu, X.; Tian, Q.; Yang, F.; Yan, Y. Effects of maternal prenatal multi-micronutrient supplementation on growth and development until 3 years of age. Int. J. Environ. Res. Public Health 2019, 16, 2744. [Google Scholar] [CrossRef] [PubMed]
- Almeida, D.M.; Jandacek, R.J.; Weber, W.A.; McNamara, R.K. Docosahexaenoic acid biostatus is associated with event-related functional connectivity in cortical attention networks of typically developing children. Nutr. Neurosci. 2016, 20, 246–254. [Google Scholar] [CrossRef] [PubMed]
- McNamara, R.K.; Able, J.; Jandacek, R.; Rider, T.; Tso, P.; Eliassen, J.C.; Alfieri, D.; Weber, W.; Jarvis, K.; Delbello, M.P.; et al. Docosahexaenoic acid supplementation increases prefrontal cortex activation during sustained attention in healthy boys: A placebo-controlled, dose-ranging, functional magnetic resonance imaging study. Am. J. Clin. Nutr. 2010, 91, 1060–1067. [Google Scholar] [CrossRef]
- McNamara, R.K.; Jandacek, R.; Tso, P.; Weber, W.; Chu, W.J.; Strakowski, S.M.; Adler, C.M.; Delbello, M.P. Low docosahexaenoic acid status is associated with reduced indices in cortical integrity in the anterior cingulate of healthy male children: A 1 MRS study. Nutr. Neurosci. 2013, 16, 183–190. [Google Scholar] [CrossRef] [PubMed][Green Version]
- Mcnamara, R.K.; Jandacek, R.; Tso, P.; Blom, T.J.; Welge, J.A.; Strawn, J.R.; Adler, C.M.; Strakowski, S.M.; Delbello, M.P. Adolescents with or at ultra-high risk for bipolar disorder exhibit erythrocyte docosahexaenoic acid and eicosapentaenoic acid deficits: A candidate prodromal risk biomarker. Early Interv. Psychiatry 2016, 10, 203–211. [Google Scholar] [CrossRef] [PubMed]
- Crider, K.S.; Devine, O.; Hao, L.; Dowling, N.F.; Li, S.; Molloy, A.M.; Li, Z.; Zhu, J.; Berry, R.J. Population red blood cell folate concentrations for prevention of neural tube defects: Bayesian model. BMJ 2014, 349, g4554. [Google Scholar] [CrossRef]
- Mattson, M.P.; Shea, T.B. Folate and homocysteine metabolism in neural plasticity and neurodegenerative disorders. Trends Neurosci. 2003, 26, 137–146. [Google Scholar] [CrossRef]
- Pérez-Dueñas, B.; Ormazábal, A.; Toma, C.; Torrico, B.; Cormand, B.; Serrano, M.; Sierra, C.; Grandis, E.D.; Marfa, M.P.; García-Cazorla, A.; et al. Cerebral folate deficiency syndromes in childhood: Clinical, analytical, and etiologic aspects. Arch. Neurol. 2011, 68, 615–621. [Google Scholar] [CrossRef] [PubMed]
- Ramaekers, V.T.; Blau, N. Cerebral folate deficiency. Dev. Med. Child Neurol. 2004, 46, 843–851. [Google Scholar] [CrossRef] [PubMed]
- Raichle, M.E. The restless brain: How intrinsic activity organizes brain function. Philos. Trans. R. Soc. B Biol. Sci. 2015, 370, 20140172. [Google Scholar] [CrossRef] [PubMed]
- Damoiseaux, J.S.; Rombouts, S.A.R.B.; Barkhof, F.; Scheltens, P.; Stam, C.J.; Smith, S.M.; Beckmann, C.F. Consistent resting-state networks across healthy subjects. Proc. Natl. Acad. Sci. USA 2006, 103, 13848–13853. [Google Scholar] [CrossRef]
- Talukdar, T.; Zamroziewicz, M.K.; Zwilling, C.E.; Barbey, A.K. Nutrient biomarkers shape individual differences in functional brain connectivity: Evidence from omega-3 PUFAs. Hum. Brain Mapp. 2019, 40, 1887–1897. [Google Scholar] [CrossRef]
- Martínez-Zaldívar, C.; Azaryah, H.; García-Santos, J.A.; Demmelmair, H.; Altmäe, S.; Reischl, E.; Rzehak, P.; Koletzko, B.; Campoy, C. Early nutrition in combination with polymorphisms in fatty acid desaturase gene cluster modulate fatty acid composition of cheek cells’ glycerophospholipids in school-age children. Br. J. Nutr. 2019, 122, S68–S79. [Google Scholar] [CrossRef]
- Krauss-Etschmann, S.; Shadid, R.; Campoy, C.; Hoster, E.; Demmelmair, H.; Jiménez, M.; Gil, A.; Rivero, M.; Veszprémi, B.; Decsi, T.; et al. Effects of fish-oil and folate supplementation of pregnant women on maternal and fetal plasma concentrations of docosahexaenoic acid and eicosapentaenoic acid: A European randomized multicenter trial. Am. J. Clin. Nutr. 2007, 85, 1392–1400. [Google Scholar]
- Pérez-García, M.; Luna, J.D.D.; Torres-Espínola, F.J.; Martínez-Zaldívar, C.; Anjos, T.; Steenweg-De Graaff, J.; Weber, M.; Grote, V.; Gruszfeld, D.; Verduci, E.; et al. Cultural effects on neurodevelopmental testing in children from six European countries: An analysis of nutrimenthe global database. Br. J. Nutr. 2019, 122, S59–S67. [Google Scholar] [CrossRef]
- World Medical Association declaration of Helsinki: Ethical principles for medical research involving human subjects. JAMA J. Am. Med. Assoc. 2013, 310, 2191–2194. [CrossRef]
- Poldrack, R.A.; Baker, C.I.; Durnez, J.; Gorgolewski, K.J.; Matthews, P.M.; Munafò, M.R.; Nichols, T.E.; Poline, J.B.; Vul, E.; Yarkoni, T. Scanning the horizon: Towards transparent and reproducible neuroimaging research. Nat. Rev. Neurosci. 2017, 18, 115–126. [Google Scholar] [CrossRef] [PubMed]
- Beckmann, C.F.; Smith, S.M. Probabilistic Independent Component analysis for functional magnetic resonance imaging. IEEE Trans. Med. Imaging 2004, 23, 137–152. [Google Scholar] [CrossRef] [PubMed]
- Beckmann, C.F.; Deluca, M.; Devlin, J.T.; Smith, S.M. Decomposing FMRI data using ICA. Magn. Reson. Imaging 2005, 1, 1–16. [Google Scholar]
- Luca, M.D.; Beckmann, C.F.; Stefano, N.D.; Matthews, P.M.; Smith, S.M. fMRI resting state networks define distinct modes of long-distance interactions in the human brain. Neuroimage 2006, 29, 1359–1367. [Google Scholar] [CrossRef] [PubMed]
- Martino, F.D.; Gentile, F.; Esposito, F.; Balsi, M.; Salle, F.D.; Goebel, R.; Formisano, E. Classification of fMRI independent components using IC-fingerprints and support vector machine classifiers. Neuroimage 2007, 34, 177–194. [Google Scholar] [CrossRef]
- Jenkinson, M.; Beckmann, C.F.; Behrens, T.E.J.; Woolrich, M.W.; Smith, S.M. Review FSL. Neuroimage 2012, 62, 782–790. [Google Scholar] [CrossRef]
- Escribano, J.; Luque, V.; Canals-Sans, J.; Ferré, N.; Koletzko, B.; Grote, V.; Weber, M.; Gruszfeld, D.; Szott, K.; Verduci, E.; et al. Mental performance in 8-year-old children fed reduced protein content formula during the 1st year of life: Safety analysis of a randomised clinical trial. Br. J. Nutr. 2019, 122, S22–S30. [Google Scholar] [CrossRef]
- Gispert-Llaurado, M.; Perez-Garcia, M.; Escribano, J.; Closa-Monasterolo, R.; Luque, V.; Grote, V.; Weber, M.; Torres-Espínola, F.J.; Czech-Kowalska, J.; Verduci, E.; et al. Fish consumption in mid-childhood and its relationship to neuropsychological outcomes measured in 7–9 year old children using a nutrimenthe neuropsychological battery. Clin. Nutr. 2016, 35, 1301–1307. [Google Scholar] [CrossRef]
- Anjos, T.; Altmäe, S.; Emmett, P.; Tiemeier, H.; Closa-Monasterolo, R.; Luque, V.; Wiseman, S.; Pérez-García, M.; Lattka, E.; Demmelmair, H.; et al. Nutrition and neurodevelopment in children: Focus on nutrimenthe project. Eur. J. Nutr. 2013, 52, 1825–1842. [Google Scholar] [CrossRef]
- Filippini, N.; MacIntosh, B.J.; Hough, M.G.; Goodwin, G.M.; Frisoni, G.B.; Smith, S.M.; Matthews, P.M.; Beckmann, C.F.; Mackay, C.E. Distinct patterns of brain activity in young carriers of the APOE-ε4 allele. Proc. Natl. Acad. Sci. USA 2009, 106, 7209–7214. [Google Scholar] [CrossRef]
- Nichols, T.E.; Holmes, A.P. Nonparametric permutation tests for functional neuroimaging: A primer with examples. Hum. Brain Mapp. 2002, 15, 1–25. [Google Scholar] [CrossRef] [PubMed]
- Santarnecchi, E.; Galli, G.; Polizzotto, N.R.; Rossi, A.; Rossi, S. Efficiency of weak brain connections support general cognitive functioning. Hum. Brain Mapp. 2014, 35, 4566–4582. [Google Scholar] [CrossRef] [PubMed]
- Li, L.; Abutalebi, J.; Zou, L.; Yan, X.; Liu, L.; Feng, X.; Wang, R.; Guo, T.; Ding, G. Bilingualism alters brain functional connectivity between “control” regions and “language” regions: Evidence from bimodal bilinguals. Neuropsychologia 2015, 71, 236–247. [Google Scholar] [CrossRef]
- Sun, X.; Li, L.; Ding, G.; Wang, R.; Li, P. Effects of language proficiency on cognitive control: Evidence from resting-state functional connectivity. Neuropsychologia 2019, 129, 263–275. [Google Scholar] [CrossRef] [PubMed]
- Pasquale, F.d.; Penna, S.D.; Snyder, A.Z.; Marzetti, L.; Pizzella, V.; Romani, G.L.; Corbetta, M. A cortical core for dynamic integration of functional networks in the resting human brain. Neuron 2012, 74, 753–764. [Google Scholar] [CrossRef] [PubMed]
- Gottlieb, J. From thought to action: The parietal cortex as a bridge between perception, action, and cognition. Neuron 2007, 53, 9–16. [Google Scholar] [CrossRef]
- Chand, G.B.; Wu, J.; Hajjar, I.; Qiu, D. Interactions of the salience network and its subsystems with the default-mode and the central-executive networks in normal aging and mild cognitive impairment. Brain Connect. 2017, 7, 401–412. [Google Scholar] [CrossRef]
- Chenji, S.; Jha, S.; Lee, D.; Brown, M.; Seres, P.; Mah, D.; Kalra, S. Investigating default mode and sensorimotor network connectivity in amyotrophic lateral sclerosis. PLoS ONE 2016, 11, e0157443. [Google Scholar] [CrossRef]
- Smith, S.M.; Fox, P.T.; Miller, K.L.; Glahn, D.C.; Fox, P.M.; Mackay, C.E.; Filippini, N.; Watkins, K.E.; Toro, R.; Laird, A.R.; et al. Correspondence of the brain’s functional architecture during activation and rest. Proc. Natl. Acad. Sci. USA 2009, 106, 13040–13045. [Google Scholar] [CrossRef]
- Milnik, A.; Nowak, I.; Müller, N.G. Attention-dependent modulation of neural activity in primary sensorimotor cortex. Brain Behav. 2013, 3, 54–66. [Google Scholar] [CrossRef]
- Afif, A.; Trouillas, J.; Mertens, P. Development of the sensorimotor cortex in the human fetus: A morphological description. Surg. Radiol. Anat. 2015, 37, 153–160. [Google Scholar] [CrossRef] [PubMed]
- Mulder, K.A.; Elango, R.; Innis, S.M. Fetal DHA inadequacy and the impact on child neurodevelopment: A follow-up of a randomised trial of maternal DHA supplementation in pregnancy. Br. J. Nutr. 2018, 119, 271–279. [Google Scholar] [CrossRef] [PubMed]
- Rosales, F.J.; Reznick, J.S.; Zeisel, S.H. Understanding the role of nutrition in the brain and behavioral development of toddlers and preschool children: Identifying and addressing methodological barriers. Nutr. Neurosci. 2009, 12, 190–202. [Google Scholar] [CrossRef] [PubMed]
- Jensen, C.L.; Voigt, R.G.; Llorente, A.M.; Peters, S.U.; Prager, T.C.; Zou, Y.L.; Rozelle, J.C.; Turcich, M.R.; Fraley, J.K.; Anderson, R.E.; et al. Effects of early maternal docosahexaenoic acid intake on neuropsychological status and visual acuity at five years of age of breast-fed term infants. J. Pediatr. 2010, 157, 900–905. [Google Scholar] [CrossRef] [PubMed]
- Helland, I.B.; Smith, L.; Saarem, K.; Saugstad, O.D.; Drevon, C.A. Maternal supplementation with very-long-chain n-3 fatty acids during pregnancy and lactation augments children’s IQ at 4 years of age. Pediatrics 2003, 111, e39–e44. [Google Scholar] [CrossRef]
- Lauritzen, L.; Jorgensen, M.H.; Olsen, S.F.; Straarup, E.M.; Michaelsen, K.F. Maternal fish oil supplementation in lactation: Effect on developmental outcome in breast-fed infants. Reprod. Nutr. Dev. 2005, 45, 535–547. [Google Scholar] [CrossRef]
- Cheatham, C.L.; Nerhammer, A.S.; Asserhøj, M.; Michaelsen, K.F.; Lauritzen, L. Fish oil supplementation during lactation: Effects on cognition and behavior at 7 years of age. Lipids 2011, 46, 637–645. [Google Scholar] [CrossRef]
- Ostadrahimi, A.; Mohammad-Alizadeh, S.; Mirghafourvand, M.; Farshbaf-Khalili, S.; Jafarilar-Agdam, N.; Farshbaf-Khalili, A. The effect of fish oil supplementation on maternal and neonatal outcomes: A triple-blind, randomized controlled trial. J. Perinat. Med. 2017, 45, 1069–1077. [Google Scholar] [CrossRef]
- Dunstan, J.A.; Simmer, K.; Dixon, G.; Prescott, S.L. Cognitive assessment of children at age 2 1/2 years after maternal fish oil supplementation in pregnancy: A randomised controlled trial. Arch. Dis. Child. Fetal Neonatal Ed. 2008, 93, 45–50. [Google Scholar] [CrossRef]
- Makrides, M.; Gibson, R.A.; McPhee, A.J.; Yell, L.; Quinlivan, J.; Ryan, P. Effect of DHA supplementation during pregnancy on maternal depression and neurodevelopment of young children: A randomized controlled trial. Obstet. Gynecol. Surv. 2011, 66, 79–81. [Google Scholar] [CrossRef]
- Brei, C.; Stecher, L.; Brunner, S.; Ensenauer, R.; Heinen, F.; Wagner, P.D.; Hermsdörfer, J.; Hauner, H. Impact of the n-6: N-3 long-chain PUFA ratio during pregnancy and lactation on offspring neurodevelopment: 5-year follow-up of a randomized controlled trial. Eur. J. Clin. Nutr. 2017, 71, 1114–1120. [Google Scholar] [CrossRef] [PubMed]
- Meldrum, S.; Dunstan, J.A.; Foster, J.K.; Simmer, K.; Prescott, S.L. Maternal fish oil supplementation in pregnancy: A 12 year follow-up of a randomised controlled trial. Nutrients 2015, 7, 2061–2067. [Google Scholar] [CrossRef] [PubMed]
- Ars, C.L.; Nijs, I.M.; Marroun, H.E.; Muetzel, R.; Schmidt, M.; Graaff, J.S.-D.; Lugt, A.V.D.; Jaddoe, V.W.; Hofman, A.; Steegers, E.A.; et al. Prenatal folate, homocysteine and Vitamin B12 levels and child brain volumes, cognitive development and psychological functioning: The Generation R Study. Br. J. Nutr. 2019, 122, S1–S9. [Google Scholar] [CrossRef] [PubMed]
- Catena, A.; Angela Muñoz-Machicao, J.; Torres-Espínola, F.J.; Martínez-Zaldívar, C.; Diaz-Piedra, C.; Gil, A.; Haile, G.; Gyorei, E.; Molloy, A.M.; Decsi, T.; et al. Folate and long-chain polyunsaturated fatty acid supplementation during pregnancy has long-term effects on the attention system of 8.5-y-old offspring: A randomized controlled trial. Am. J. Clin. Nutr. 2016, 103, 115–127. [Google Scholar] [CrossRef]
- Dobó, M.; Czeizel, A.E. Long-term somatic and mental development of children after periconceptional multivitamin supplementation. Eur. J. Pediatr. 1998, 157, 719–723. [Google Scholar] [CrossRef]
- Tamura, T.; Goldenberg, R.L.; Chapman, V.R.; Johnston, K.E.; Ramey, S.L.; Nelson, K.G. Folate status of mothers during pregnancy and mental and psychomotor development of their children at five years of age. Pediatrics 2005, 116, 703–708. [Google Scholar] [CrossRef]



| Domain | Function | Test |
|---|---|---|
| Memory | Visual Episodic Memory | Recall of Objects Test (ROT) |
| Verbal Memory | Rey Auditory Verbal Learning Test (RAVLT) | |
| Attention | Sustained and Focused Attention | Continuous Performance Test (CPT) |
| Spatial Attention | Pair Cancellation Test (W-M) | |
| Motor | Visio-Motor Coordination | Grooved Pegboard Test (GPT) |
| Perception | Visio-Perceptual Integration | Hooper Visual Organization Test (HVOT) |
| Language | Semantic Fluency | Categorical Fluency Test (F-A-S-Animals) |
| Verbal Comprehension | Token Test II (NEPSY-II) | |
| Processing Speed | Processing Speed | Symbol Digit Modalities Test (SDMT) |
| Executive Functions | Impulsivity/Inhibition | Stroop Color and Word Test |
| Update | Reversal Digits Subtest | |
| Matrix Analogies Test-(K-ABC-II) | ||
| Flexibility/Shifting | Children’s Color Trail Test (CCTT) | |
| Decision Making | Hungry Donkey Task (HDT) |
| FO (n = 19) | 5-MTHF (n = 10) | Placebo (n = 14) | FO + 5-MTHF (n = 14) | |
|---|---|---|---|---|
| Mothers’ characteristics | ||||
| Age, years | 29.68 (4.73) | 34.15 (5.77) | 31.86 (3.25) | 30.68 (4.81) |
| BMI (20 w), kg/m2 | 25.96 (3.67) | 24.87 (2.13) | 25.63 (2.47) | 26.40 (2.89) |
| BMI (30 w), kg/m2 | 28.47 (4.19) | 26.64 (2.07) | 27.50 (2.50) | 28.46 (2.59) |
| BMI (delivery), kg/m2 | 29.98 (4.58) | 27.81 (2.05) | 29.08 (3.08) | 29.39 (2.86) |
| Weight gain, kg | 10.64 (3.65) | 7.67 (3.31) | 8.86 (3.16) | 7.25 (4.61) |
| Relative weight gain, % | 15.45 (5.14) | 12.08 (6.30) | 13.49 (5.15) | 10.99 (7.33) |
| Education * | ||||
| Mother | 8 (42.1) | 2 (50.00) | 4 (50.00) | 4 (44.45) |
| Father | 11 (57.9) | 2 (50.00) | 4 (50.00) | 5 (55.55) |
| Parity, n (%) | ||||
| 0 | 13 (68.42) | 5 (50.0) | 7 (50.0) | 6 (42.86) |
| ≥1 | 6 (31.58) | 5 (50.0) | 7 (50.0) | 8 (57.14) |
| Smoking (20 w), n (%) | 5 (26.32) | 1 (10.0) | 0 (0.0) | 4 (28.57) |
| Gravidity risk at 20 w, n (%) | ||||
| No risk factors | 3 (15.79) | 3 (30.0) | 5 (38.46) | 3 (21.43) |
| ≥1 risk factor | 16 (84.21) | 7 (70.0) | 8 (61.54) | 11 (78.57) |
| Delivery risk | ||||
| No risk factors | 6 (31.58) | 4 (40.0) | 7 (53.85) | 5 (35.71) |
| ≥1 risk factor | 13 (68.42) | 6 (60.0) | 6 (46.15) | 9 (64.29) |
| Children’s characteristics | ||||
| Age, years | 9.67 (0.26) | 9.76 (0.20) | 9.75 (0.19) | 9.69 (0.22) |
| BMI, kg/m2 | 19.45 (4.22) | 17.64 (2.60) | 17.76 (2.87) | 19.08 (2.87) |
| Sex, n (%) | ||||
| Female | 8 (42.11) | 7 (70.0) | 3 (21.43) | 6 (42.86) |
| Male | 11 (57.89) | 3 (30.0) | 11 (78.57) | 8 (57.14) |
| Side | MNI Coordinates | Volume (mm3) | t-Value | |||
|---|---|---|---|---|---|---|
| X | Y | Z | ||||
| Default Mode Network | ||||||
| Angular Gyrus | R | 50 | −62 | 20 | 176 | 4.37 |
| Sensorimotor Network | ||||||
| Postcentral Gyrus | L | −26 | −50 | 60 | 2792 | 3.83 |
| Precentral Gyrus | L | −18 | 2 | 44 | 760 | 4.17 |
| Precentral Gyrus | R | 22 | −2 | 68 | 672 | 3.40 |
| Putamen | L | −22 | 10 | 12 | 336 | 4.23 |
| Fronto-Parietal Network | ||||||
| Angular Gyrus | R | 46 | −58 | 28 | 296 | 4.58 |
| NNB | FO Group (FO and FO + 5-MTHF) n = 33 | No-FO Group (5-MTHF + Placebo) n = 24 | p-Value |
|---|---|---|---|
| SDMT Hits | 24.74 (0.96) | 24.38 (1.38) | 0.812 |
| Grooved DH | 45.03 (2.51) | 40.25 (2.41) | 0.162 |
| Grooved NDH | 54.77 (4.87) | 45.17 (3.42) | 0.101 |
| HVOT Hits | 16.06 (0.59) | 16.62 (0.61) | 0.512 |
| CT Hits | 74.12 (2.7) | 72.33 (2.76) | 0.654 |
| CPT BL7 OMI | 9.35 (1.43) | 9.25 (1.39) | 0.962 |
| ROT Immediate Hits | 5.81 (0.4) | 4.83 (0.34) | 0.065 |
| ROT Delayed Hits | 0.34 (0.15) | 0.25 (0.09) | 0.589 |
| RAVLT Hits Trial 1 | 4.61 (0.25) | 4.5 (0.42) | 0.795 |
| RAVLT Hits Trial 1–5 | 10.29 (0.35) | 9.71 (0.49) | 0.344 |
| RAVLT Delayed Trial | 13.13 (0.3) | 12.83 (0.39) | 0.562 |
| Animals Total Hits | 12.38 (0.63) | 12.5 (0.65) | 0.875 |
| Token Test Total Hits | 20.78 (0.37) | 21.58 (0.58) | 0.255 |
| Stroop Interference | −1.57 (0.87) | −1.47 (1.18) | 0.514 |
| Reversal Digits, Hits | 9.12 (0.41) | 9.46 (0.63) | 0.652 |
| K-ABC-II | 12.75 (0.46) | 13.46 (0.88) | 0.451 |
| CCTT Part 1(s) | 107.94 (5.8) | 108.71 (10.13) | 0.352 |
| HDT Total Hits | 0.81 (3.96) | 0.27 (3.45) | 0.114 |
| NNB | Default Mode Network | Sensorimotor Network | Fronto-Parietal Network | |||||||||
|---|---|---|---|---|---|---|---|---|---|---|---|---|
| Angular Gyrus | Postcentral Gyrus | Precentral Gyrus (L) | Precentral Gyrus (R) | Putamen | Angular Gyrus | |||||||
| FO | No-FO | FO | No-FO | FO | No-FO | FO | No-FO | FO | No-FO | FO | No-FO | |
| SDMT hits s | 0.055 | −0.110 | 0.180 | −0.245 | 0.130 | −0.300 | −0.005 | −0.225 | 0.147 | −0.211 | −0.013 | −0.570 * |
| Grooved DH s | −0.144 | 0.046 | −0.244 | 0.210 | −0.114 | 0.411 | 0.160 | 0.350 | 0.044 | 0.250 | −0.299 | 0.162 |
| Grooved NDH s | 0.043 | −0.079 | −0.349 | 0.082 | −0.189 | 0.240 | −0.197 | 0.183 | 0.066 | 0.161 | −0.280 | 0.223 |
| HVOT Hits s | −0.044 | 0.092 | 0.221 | −0.033 | −0.077 | −0.236 | −0.224 | −0.001 | −0.154 | −0.056 | 0.165 | 0.182 |
| CT Hits s | −0.147 | −0.332 | 0.040 | −0.489 * | 0.109 | −0.228 | −0.26 | −0.491 * | −0.042 | −0.164 | −0.283 | −0.481 * |
| CPT BL7 OMI s | 0.106 | −0.137 | 0.201 | −0.044 | 0.214 | 0.063 | 0.355 | −0.05 | 0.144 | −0.221 | 0.085 | −0.073 |
| ROT Immediate Hits s | 0.219 | −0.138 | 0.237 | −0.231 | −0.114 | −0.274 | −0.067 | −0.282 | −0.224 | 0.026 | −0.060 | −0.362 |
| ROT Delayed Hits s | 0.084 | −0.108 | −0.077 | −0.152 | 0.470 | −0.026 | 0.095 | −0.219 | 0.180 | −0.167 | 0.427 | −0.285 |
| RAVLT Hits Trial−1 p | −0.285 | −0.206 | −0.076 | −0.136 | 0.007 | −0.108 | −0.025 | −0.159 | −0.379 | 0.162 | 0.055 | −0.187 |
| RAVLT Hits Trial-1-5 s | −0.166 | −0.031 | 0.084 | −0.042 | −0.111 | −0.021 | 0.425 | −0.095 | −0.497 | 0.175 | 0.161 | −0.324 |
| RAVLT Delayed Trial s | 0.145 | −0.233 | −0.043 | 0.138 | 0.022 | 0.228 | −0.198 | 0.155 | −0.121 | 0.357 | 0.077 | 0.029 |
| Animals Total Hits s | 0.072 | −0.209 | −0.271 | −0.206 | 0.112 | 0.151 | −0.503 | −0.147 | −0.019 | 0.439 | −0.105 | −0.371 |
| Token Test Total Hits p | −0.037 | −0.190 | 0.163 | −0.153 | −0.312 | −0.222 | −0.161 | −0.069 | −0.045 | 0.04 | −0.191 | −0.126 |
| Stroop Interference p | 0.267 | −0.253 | 0.369 | −0.315 | 0.042 | −0.394 | 0.017 | −0.200 | 0.120 | −0.247 | 0.002 | 0.047 |
| Reversal Digits, Hits p | −0.221 | 0.139 | −0.081 | −0.038 | −0.108 | −0.188 | −0.149 | −0.118 | −0.165 | 0.011 | −0.520 | −0.136 |
| K-ABC-II s | 0.124 | −0.276 | 0.124 | −0.221 | −0.035 | −0.187 | −0.147 | −0.302 | 0.201 | −0.160 | −0.196 | −0.255 |
| CCTT Part 1 (sec) p | 0.087 | 0.119 | 0.101 | 0.155 | −0.214 | 0.003 | 0.054 | 0.339 | 0.292 | 0.005 | 0.137 | −0.214 |
| HDT Total Hits s | −0.041 | 0.084 | 0.259 | 0.232 | 0.017 | 0.122 | 0.478 | 0.258 | 0.214 | 0.283 | −0.008 | 0.328 |
© 2020 by the authors. Licensee MDPI, Basel, Switzerland. This article is an open access article distributed under the terms and conditions of the Creative Commons Attribution (CC BY) license (http://creativecommons.org/licenses/by/4.0/).
Share and Cite
Azaryah, H.; Verdejo-Román, J.; Martin-Pérez, C.; García-Santos, J.A.; Martínez-Zaldívar, C.; Torres-Espínola, F.J.; Campos, D.; Koletzko, B.; Pérez-García, M.; Catena, A.; et al. Effects of Maternal Fish Oil and/or 5-Methyl-Tetrahydrofolate Supplementation during Pregnancy on Offspring Brain Resting-State at 10 Years Old: A Follow-Up Study from the NUHEAL Randomized Controlled Trial. Nutrients 2020, 12, 2701. https://doi.org/10.3390/nu12092701
Azaryah H, Verdejo-Román J, Martin-Pérez C, García-Santos JA, Martínez-Zaldívar C, Torres-Espínola FJ, Campos D, Koletzko B, Pérez-García M, Catena A, et al. Effects of Maternal Fish Oil and/or 5-Methyl-Tetrahydrofolate Supplementation during Pregnancy on Offspring Brain Resting-State at 10 Years Old: A Follow-Up Study from the NUHEAL Randomized Controlled Trial. Nutrients. 2020; 12(9):2701. https://doi.org/10.3390/nu12092701
Chicago/Turabian StyleAzaryah, Hatim, Juan Verdejo-Román, Cristina Martin-Pérez, José Antonio García-Santos, Cristina Martínez-Zaldívar, Francisco J. Torres-Espínola, Daniel Campos, Berthold Koletzko, Miguel Pérez-García, Andrés Catena, and et al. 2020. "Effects of Maternal Fish Oil and/or 5-Methyl-Tetrahydrofolate Supplementation during Pregnancy on Offspring Brain Resting-State at 10 Years Old: A Follow-Up Study from the NUHEAL Randomized Controlled Trial" Nutrients 12, no. 9: 2701. https://doi.org/10.3390/nu12092701
APA StyleAzaryah, H., Verdejo-Román, J., Martin-Pérez, C., García-Santos, J. A., Martínez-Zaldívar, C., Torres-Espínola, F. J., Campos, D., Koletzko, B., Pérez-García, M., Catena, A., & Campoy, C. (2020). Effects of Maternal Fish Oil and/or 5-Methyl-Tetrahydrofolate Supplementation during Pregnancy on Offspring Brain Resting-State at 10 Years Old: A Follow-Up Study from the NUHEAL Randomized Controlled Trial. Nutrients, 12(9), 2701. https://doi.org/10.3390/nu12092701

