Red Blood Cell Folate Likely Overestimated in Australian National Survey: Implications for Neural Tube Defect Risk
Abstract
1. Introduction
2. Materials and Methods
2.1. Participants
2.2. Procedures
2.3. Measurement of Red Cell Folate
2.4. Data Analyses
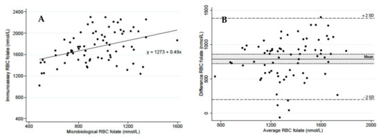
3. Results
4. Discussion
5. Conclusions
Author Contributions
Funding
Conflicts of Interest
References
- Prevention of neural tube defects: Results of the Medical Research Council Vitamin Study. MRC Vitamin Study Research Group. Lancet 1991, 338, 131–137.
- Berry, R.J.; Li, Z.; Erickson, J.D.; Li, S.; Moore, C.A.; Wang, H.; Mulinare, J.; Zhao, P.; Wong, L.Y.; Gindler, J.; et al. Prevention of neural-tube defects with folic acid in China. China-U.S. Collaborative Project for Neural Tube Defect Prevention. N. Engl. J. Med. 1999, 341, 1485–1490. [Google Scholar] [CrossRef] [PubMed]
- Bower, C.; Eades, S.; Payne, J.; D’Antoine, H.; Stanley, F. Trends in neural tube defects in Western Australia in Indigenous and non-Indigenous populations. Paediatr. Perinat. Epidemiol. 2004, 18, 277–280. [Google Scholar] [CrossRef] [PubMed]
- National Health and Medical Research Council. Report of the expert panel on folate fortification. In Proceedings of the 117th Session of the NHMRC, Sydney, Australia, 1–2 June 1994; Australian Government Publishing: Canberra, Australia, 1995. [Google Scholar]
- Australian Institute of Health and Welfare. Monitoring the Health Impacts of Mandatory Folic Acid and Iodine Fortification; Cat. no. PHE 208; Australian Institute of Health and Welfare: Canberra, Australia, 2016.
- World Health Organization. Guideline: Optimal Serum and Red Blood Cell Folate Concentrations in Women of Reproductive Age for Prevention of Neural Tube Defects; World Health Organization: Geneva, Switzerland, 2015. [Google Scholar]
- Daly, L.E.; Kirke, P.N.; Molloy, A.; Weir, D.G.; Scott, J.M. Folate levels and neural tube defects: Implications for prevention. JAMA 1995, 274, 1698–1702. [Google Scholar] [CrossRef] [PubMed]
- Australian Bureau of Statistics. 4364.0.55.006—Australian Health Survey: Biomedical Results for Nutrients, 2011–2012. Available online: https://www.abs.gov.au/ausstats/abs@.nsf/Lookup/436A7408D5C591EDCA257C3D000D7F7B?opendocumen (accessed on 20 February 2020).
- Pfeiffer, C.M.; Hughes, J.P.; Lacher, D.A.; Bailey, R.L.; Berry, R.J.; Zhang, M.; Yetley, E.A.; Rader, J.I.; Sempos, C.T.; Johnson, C.L. Estimation of trends in serum and RBC folate in the U.S. population from pre- to postfortification using assay-adjusted data from the NHANES 1988–2010. J. Nutr. 2012, 142, 886–893. [Google Scholar] [CrossRef] [PubMed]
- Zhang, M.; Sternberg, M.R.; Pfeiffer, C.M. Harmonizing the Calibrator and Microorganism Used in the Folate Microbiological Assay Increases the Comparability of Serum and Whole-Blood Folate Results in a CDC Round-Robin Study. J. Nutr. 2018, 148, 807–817. [Google Scholar] [CrossRef] [PubMed]
- Colapinto, C.K.; Tremblay, M.S.; Aufreiter, S.; Bushnik, T.; Pfeiffer, C.M.; O’Connor, D.L. The direction of the difference between Canadian and American erythrocyte folate concentrations is dependent on the assay method employed: A comparison of the Canadian Health Measures Survey and National Health and Nutrition Examination Survey. Br. J. Nutr. 2014, 112, 1873–1881. [Google Scholar] [CrossRef] [PubMed]
- Golding, P.H. Severe experimental folate deficiency in a human subject—A longitudinal investigation of red-cell folate immunoassay errors as megaloblastic anaemia develops. Springerplus 2014, 3, 441. [Google Scholar] [CrossRef] [PubMed]
- Pfeiffer, C.F.Z.; Zhang, M. Folate analytical methodology. In Folate in Health and Disease; Bailey, L., Ed.; CRC Press; Taylor & Francis Group: New York, NY, USA, 2010; pp. 517–574. [Google Scholar]
- Roche Diagnostics International Ltd. Elecsys® Folate RBC Electrochemiluminescence Immunoassay (ECLIA) for the In Vitro Quantitative Determination of Folate in Erythrocytes (Red Blood Cells, RBC); Roche Diagnostics International Ltd.: Rotkreuz, Switzerland, 2014; Available online: https://diagnostics.roche.com/content/dam/diagnostics/ch/de/gesundheitsthemen/anaemia/Anemia_Factsheet_FolateRBC.pdf (accessed on 15 April 2020).
- Molloy, A.M.; Scott, J.M. Microbiological assay for serum, plasma, and red cell folate using cryopreserved, microtiter plate method. Methods Enzymol. 1997, 281, 43–53. [Google Scholar] [PubMed]
- O’Broin, S.; Kelleher, B. Microbiological assay on microtitre plates of folate in serum and red cells. J. Clin. Pathol. 1992, 45, 344–347. [Google Scholar] [CrossRef] [PubMed]
- Garrett, G.S.; Bailey, L.B. A public health approach for preventing neural tube defects: Folic acid fortification and beyond. Ann. N. Y. Acad. Sci. 2018, 1414, 47–58. [Google Scholar] [CrossRef] [PubMed]
- Crider, K.S.; Devine, O.; Hao, L.; Dowling, N.F.; Li, S.; Molloy, A.M.; Li, Z.; Zhu, J.; Berry, R.J. Population red blood cell folate concentrations for prevention of neural tube defects: Bayesian model. BMJ 2014, 349, g4554. [Google Scholar] [CrossRef] [PubMed]

© 2020 by the authors. Licensee MDPI, Basel, Switzerland. This article is an open access article distributed under the terms and conditions of the Creative Commons Attribution (CC BY) license (http://creativecommons.org/licenses/by/4.0/).
Share and Cite
Hunt, S.E.; Netting, M.J.; Sullivan, T.R.; Best, K.P.; Houghton, L.A.; Makrides, M.; Muhlhausler, B.S.; Green, T.J. Red Blood Cell Folate Likely Overestimated in Australian National Survey: Implications for Neural Tube Defect Risk. Nutrients 2020, 12, 1283. https://doi.org/10.3390/nu12051283
Hunt SE, Netting MJ, Sullivan TR, Best KP, Houghton LA, Makrides M, Muhlhausler BS, Green TJ. Red Blood Cell Folate Likely Overestimated in Australian National Survey: Implications for Neural Tube Defect Risk. Nutrients. 2020; 12(5):1283. https://doi.org/10.3390/nu12051283
Chicago/Turabian StyleHunt, Shannon E., Merryn J. Netting, Thomas R. Sullivan, Karen P. Best, Lisa A. Houghton, Maria Makrides, Beverly S. Muhlhausler, and Tim J. Green. 2020. "Red Blood Cell Folate Likely Overestimated in Australian National Survey: Implications for Neural Tube Defect Risk" Nutrients 12, no. 5: 1283. https://doi.org/10.3390/nu12051283
APA StyleHunt, S. E., Netting, M. J., Sullivan, T. R., Best, K. P., Houghton, L. A., Makrides, M., Muhlhausler, B. S., & Green, T. J. (2020). Red Blood Cell Folate Likely Overestimated in Australian National Survey: Implications for Neural Tube Defect Risk. Nutrients, 12(5), 1283. https://doi.org/10.3390/nu12051283

