Combined Impact of a Faster Self-Reported Eating Rate and Higher Dietary Energy Intake Rate on Energy Intake and Adiposity
Abstract
1. Introduction
2. Materials and Methods
2.1. Study Population
2.2. Assessment of Self-Reported Eating Rate (SRER), Diet and Body Composition
2.3. Statistical Analysis
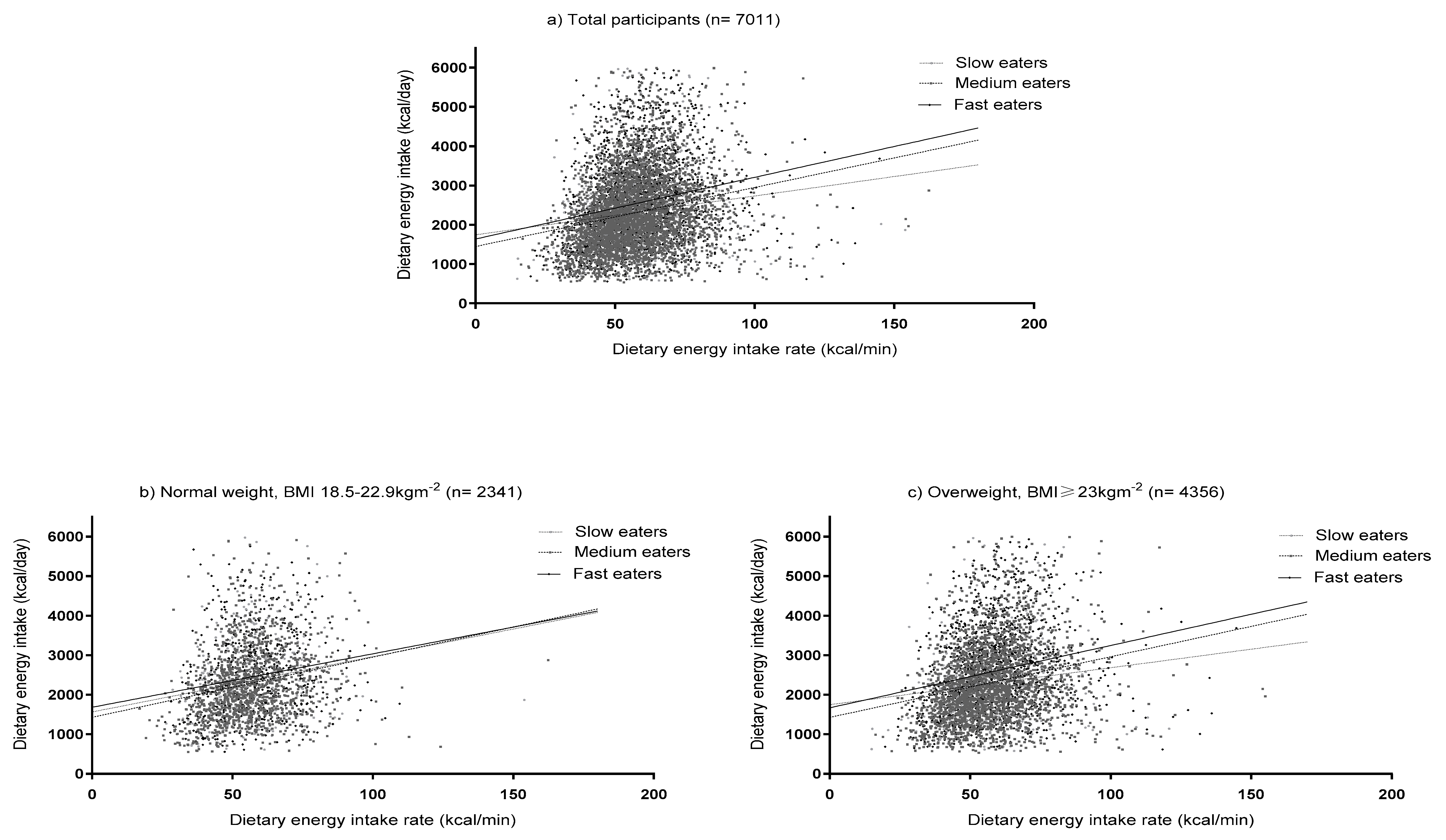
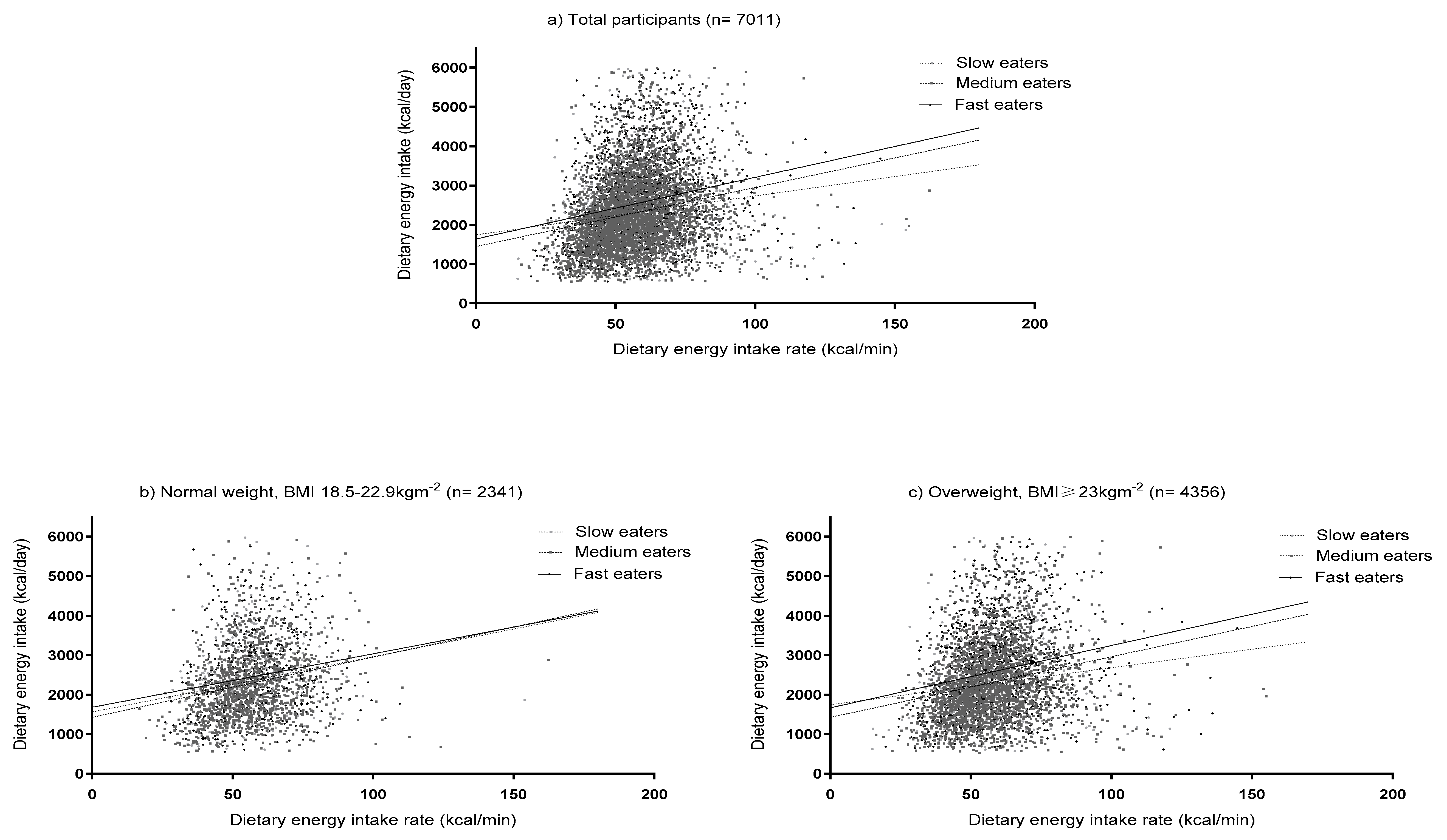
3. Results
4. Discussion
5. Conclusions
Author Contributions
Funding
Acknowledgments
Conflicts of Interest
References
- Robinson, E.; Almiron-Roig, E.; Rutters, F.; de Graaf, C.; Forde, C.G.; Tudur Smith, C.; Nolan, S.J.; Jebb, S.A. A systematic review and meta-analysis examining the effect of eating rate on energy intake and hunger. Am. J. Clin. Nutr. 2014, 100, 123–151. [Google Scholar] [CrossRef]
- Ohkuma, T.; Hirakawa, Y.; Nakamura, U.; Kiyohara, Y.; Kitazono, T.; Ninomiya, T. Association between eating rate and obesity: A systematic review and meta-analysis. Int. J. Obes. 2015, 39, 1589. [Google Scholar] [CrossRef]
- Teo, P.S.; van Dam, R.M.; Whitton, C.; Tan, L.W.L.; Forde, C.G. Association between self-reported eating rate, energy intake, and cardiovascular risk factors in a multi-ethnic Asian population. Nutrients 2020, 12, 1080. [Google Scholar] [CrossRef] [PubMed]
- Llewellyn, C.H.; van Jaarsveld, C.H.; Boniface, D.; Carnell, S.; Wardle, J. Eating rate is a heritable phenotype related to weight in children. Am. J. Clin. Nutr. 2008, 88, 1560–1566. [Google Scholar] [CrossRef] [PubMed]
- Forde, C.G.; Fogel, A.; McCrickerd, K. Children’s eating behaivors and energy intake: Overlapping influences and opportunities for intervention. In Nestle Nutrition Institute Workshop Series; Karger Press: Basel, Switzerland, 2019; Volume 91, pp. 55–67. [Google Scholar]
- Henry, C.J.; Ponnalagu, S.; Bi, X.; Forde, C. Does basal metabolic rate drive eating rate? Physiol. Behav. 2018, 189, 74–77. [Google Scholar] [CrossRef] [PubMed]
- Fogel, A.; Fries, L.R.; McCrickerd, K.; Goh, A.T.; Quah, P.L.; Chan, M.J.; Toh, J.Y.; Chong, Y.-S.; Tan, K.H.; Yap, F.; et al. Oral processing behaviours that promote children’s energy intake are associated with parent-reported appetitive traits: Results from the GUSTO cohort. Appetite 2018, 126, 8–15. [Google Scholar] [CrossRef] [PubMed]
- Fogel, A.; McCrickerd, K.; Fries, L.R.; Goh, A.T.; Quah, P.L.; Chan, M.J.; Toh, J.Y.; Chong, Y.S.; Tan, K.H.; Yap, F.; et al. Eating in the absence of hunger: Stability over time and associations with eating behaviours and body composition in children. Physiol. Behav. 2018, 192, 82–89. [Google Scholar] [CrossRef] [PubMed]
- Fogel, A.; McCrickerd, K.; Goh, A.T.; Fries, L.R.; Chong, Y.-S.; Tan, K.H.; Yap, F.; Shek, L.P.; Meaney, M.J.; Cai, S.; et al. Associations between inhibitory control, eating behaviours and adiposity in 6-year-old children. Int. J. Obes. 2019, 43, 1344–1353. [Google Scholar] [CrossRef] [PubMed]
- Forde, C.G.; Leong, C.; Chia-Ming, E.; McCrickerd, K. Fast or slow-foods? Describing natural variations in oral processing characteristics across a wide range of Asian foods. Food Funct. 2017, 8, 595–606. [Google Scholar] [CrossRef]
- Viskaal-van Dongen, M.; Kok, F.J.; de Graaf, C. Eating rate of commonly consumed foods promotes food and energy intake. Appetite 2011, 56, 25–31. [Google Scholar] [CrossRef]
- Mourao, D.M.; Bressan, J.; Campbell, W.W.; Mattes, R.D. Effects of food form on appetite and energy intake in lean and obese young adults. Int. J. Obes. 2007, 31, 1688–1695. [Google Scholar] [CrossRef] [PubMed]
- Forde, C.G.; van Kuijk, N.; Thaler, T.; de Graaf, C.; Martin, N. Oral processing characteristics of solid savoury meal components, and relationship with food composition, sensory attributes and expected satiation. Appetite 2013, 60, 208–219. [Google Scholar] [CrossRef] [PubMed]
- Ferriday, D.; Bosworth, M.L.; Godinot, N.; Martin, N.; Forde, C.G.; Van Den Heuvel, E.; Appleton, S.L.; Mercer Moss, F.J.; Rogers, P.J.; Brunstrom, J.M. Variation in the oral processing of everyday meals is associated with fullness and meal size: A potential nudge to reduce energy intake? Nutrients 2016, 8, 315. [Google Scholar] [CrossRef] [PubMed]
- Van den Boer, J.; Werts, M.; Siebelink, E.; de Graaf, C.; Mars, M. The availability of slow and fast calories in the dutch diet: The current situation and opportunities for interventions. Foods 2017, 6, 87. [Google Scholar] [CrossRef] [PubMed]
- Forde, C.G.; Mars, M.; DeGraaf, K. Ultra-processing or oral processing? A role for energy density and eating rate in moderating energy intake from processed foods. Nutr. Res. Rev. 2020, 4, nzaa019. [Google Scholar] [CrossRef] [PubMed]
- Hall, K.D.; Ayuketah, A.; Brychta, R.; Cai, H.; Cassimatis, T.; Chen, K.Y.; Chung, S.T.; Costa, E.; Courville, A.; Darcey, V.; et al. Ultra-processed diets cause excess calorie intake and weight gain: An inpatient randomized controlled trial of ad-libitum food intake. Cell Metab. 2019, 30, 67–77. [Google Scholar] [CrossRef]
- Teo, P.S.; van Dam, R.M.; Whitton, C.; Tan, L.W.L.; Forde, C.G. Consumption of foods with higher energy intake rates is associated with greater energy intake, adiposity and cardiovascular risk factors in adults. J. Nutr. 2020, in press. [Google Scholar]
- Tan, K.H.X.; Tan, L.W.L.; Sim, X.; Tai, E.S.; Lee, J.J.-M.; Chia, K.S.; van Dam, R.M. Cohort profile: The Singapore Multi-Ethnic Cohort (MEC) study. Int. J. Epidemiol. 2018, 47, 699–699j. [Google Scholar] [CrossRef]
- Nang, E.E.; Gitau Ngunjiri, S.A.; Wu, Y.; Salim, A.; Tai, E.S.; Lee, J.; Van Dam, R.M. Validity of the International Physical Activity Questionnaire and the Singapore Prospective Study Program physical activity questionnaire in a multiethnic urban Asian population. BMC Med. Res. Methodol. 2011, 11, 141. [Google Scholar] [CrossRef]
- Otsuka, R.; Tamakoshi, K.; Yatsuya, H.; Murata, C.; Sekiya, A.; Wada, K.; Zhang, H.M.; Matsushita, K.; Sugiura, K.; Takefuji, S.; et al. Eating fast leads to obesity: Findings based on self-administered questionnaires among middle-aged Japanese men and women. J. Epidemiol. 2006, 16, 117–124. [Google Scholar] [CrossRef]
- Petty, A.J.; Melanson, K.J.; Greene, G.W. Self-reported eating rate aligns with laboratory measured eating rate but not with free-living meals. Appetite 2013, 63, 36–41. [Google Scholar] [CrossRef] [PubMed]
- van den Boer, J.H.; Kranendonk, J.; van de Wiel, A.; Feskens, E.J.; Geelen, A.; Mars, M. Self-reported eating rate is associated with weight status in a Dutch population: A validation study and a cross-sectional study. Int. J. Behav. Nutr. Phys. Act. 2017, 14, 121. [Google Scholar] [CrossRef]
- Whitton, C.; Ho, J.C.Y.; Tay, Z.; Rebello, S.A.; Lu, Y.; Ong, C.N.; van Dam, R.M. Relative validity and reproducibility of a food frequency questionnaire for assessing dietary intakes in a multi-ethnic Asian population using 24-h dietary recalls and biomarkers. Nutrients 2017, 9, 1059. [Google Scholar] [CrossRef] [PubMed]
- McCrickerd, K.; Forde, C.G. Consistency of eating rate, oral processing behaviours and energy intake across meals. Nutrients 2017, 9, 891. [Google Scholar] [CrossRef] [PubMed]
- McCrickerd, K.; Lim, C.M.; Leong, C.; Chia, E.M.; Forde, C.G. Texture-based differences in eating rate reduce the impact of increased energy density and large portions on meal size in adults. J. Nutr. 2017, 147, 1208–1217. [Google Scholar] [CrossRef] [PubMed]
- McCrickerd, K.; Forde, C.G. Sensory influences on food intake control: Moving beyond palatability. Obes. Rev. 2016, 17, 18–29. [Google Scholar] [CrossRef] [PubMed]
- Faith, M.S.; Diewald, L.K.; Crabbe, S.; Burgess, B.; Berkowitz, R.I. Reduced eating pace (RePace) Behavioral intervention for children prone to or with obesity: Does the turtle win the race? Obesity 2019, 27, 121–129. [Google Scholar] [CrossRef]
- Galhardo, J.; Hunt, L.P.; Lightman, S.L.; Sabin, M.A.; Bergh, C.; Sodersten, P.; Shield, J.P. Normalizing eating behavior reduces body weight and improves gastrointestinal hormonal secretion in obese adolescents. J. Clin. Endocrinol. Metab. 2012, 97, E193–E201. [Google Scholar] [CrossRef]
- Hamilton-Shield, J.; Goodred, J.; Powell, L.; Thorn, J.; Banks, J.; Hollinghurst, S.; Montgomery, A.; Turner, K.; Sharp, D. Changing eating behaviours to treat childhood obesity in the community using Mandolean: The Community Mandolean randomised controlled trial (ComMando)--a pilot study. Health Technol. Asses. 2014, 18, i–xxiii, 1–75. [Google Scholar] [CrossRef]
- Hall, K.D. Did the food environment cause the obesity epidemic? Obes. Silver Spring 2018, 26, 11–13. [Google Scholar] [CrossRef]
- Public Health England. Calorie Reduction: The Scope and Ambition for Action. Available online: https://assets.publishing.service.gov.uk/government/uploads/system/uploads/attachment_data/file/800675/Calories_Evidence_Document.pdf (accessed on 15 September 2020).
- Tey, S.L.; Chia, E.M.; Forde, C.G. Impact of dose-response calorie reduction or supplementation of a covertly manipulated lunchtime meal on energy compensation. Physiol. Behav. 2016, 165, 15–21. [Google Scholar] [CrossRef] [PubMed]
- Smethers, A.D.; Roe, L.S.; Sanchez, C.E.; Zuraikat, F.M.; Keller, K.L.; Kling, S.M.R.; Rolls, B.J. Portion size has sustained effects over 5 days in preschool children: A randomized trial. Am. J. Clin. Nutr. 2019, 109, 1361–1372. [Google Scholar] [CrossRef] [PubMed]
- Ello-Martin, J.A.; Roe, L.S.; Ledikwe, J.H.; Beach, A.M.; Rolls, B.J. Dietary energy density in the treatment of obesity: A year-long trial comparing 2 weight-loss diets. Am. J. Clin. Nutr. 2007, 85, 1465–1477. [Google Scholar] [CrossRef] [PubMed]
- Wee, M.S.M.; Goh, A.T.; Stieger, M.; Forde, C.G. Correlation of instrumental texture properties from textural profile analysis (TPA) with eating behaviours and macronutrient composition for a wide range of solid foods. Food Funct. 2018, 9, 5301–5312. [Google Scholar] [CrossRef]
- Forde, C.G.; van Kuijk, N.; Thaler, T.; de Graaf, C.; Martin, N. Texture and savoury taste influences on food intake in a realistic hot lunch time meal. Appetite 2013, 60, 180–186. [Google Scholar] [CrossRef]
- Forde, C.G. From perception to ingestion; the role of sensory properties in energy selection, eating behaviour and food intake. FQAP 2018, 66, 171–177. [Google Scholar]
- Krop, E.M.; Hetherington, M.M.; Nekitsing, C.; Miquel, S.; Postelnicu, L.; Sarkar, A. Influence of oral processing on appetite and food intake-a systematic review and meta-analysis. Appetite 2018, 125, 253–269. [Google Scholar] [CrossRef]
- Ranawana, V.; Leow, M.K.; Henry, C.J. Mastication effects on the glycaemic index: Impact on variability and practical implications. Eur. J. Clin. Nutr. 2014, 68, 137–139. [Google Scholar] [CrossRef]
- Ranawana, V.; Monro, J.A.; Mishra, S.; Henry, C.J.K. Degree of particle size breakdown during mastication may be a possible cause of interindividual glycemic variability. Nutr. Res. 2010, 30, 246–254. [Google Scholar] [CrossRef]

| Low Dietary EIR (N = 2337) (43.2 ± 6.0 kcal/min) | Medium Dietary EIR (N = 2337) (56.3 ± 3.2 kcal/min) | High Dietary EIR (N = 2337) (73.1 ± 11.2 kcal/min) | ||||||||||
|---|---|---|---|---|---|---|---|---|---|---|---|---|
| Slow Eaters (n = 252) | Medium Eaters (n = 1430) | Fast Eaters (n = 655) | p-Trend | Slow Eaters (n = 233) | Medium Eaters (n = 1354) | Fast Eaters (n = 750) | p-Trend | Slow Eaters (n = 226) | Medium Eaters (n = 1363) | Fast Eaters (n = 748) | p-Trend | |
| Age, years | 56.9 ± 12.5 ab *** | 54.0 ± 11.9 ab *** | 51.2 ± 12.5 ab *** | <0.001 | 49.5 ± 14.2 | 50.2 ± 12.6 a *** | 47.0 ± 12.2 a *** | <0.001 | 47.9 ± 14.9 | 47.8 ± 12.9 | 44.6 ± 12.4 | <0.001 |
| Sex, % | <0.001 | <0.001 | <0.001 | |||||||||
| Men | 52.4 | 42.8 | 56.8 | 38.6 | 37.9 | 56.3 | 33.6 | 40.1 | 50.4 | |||
| Women | 47.6 | 57.2 | 43.2 | 61.4 | 62.1 | 43.7 | 66.4 | 59.9 | 49.6 | |||
| Ethnic group, % | <0.001 | 0.002 | <0.001 | |||||||||
| Chinese | 71.4 | 74.9 | 77.7 | 71.7 | 70.4 | 77.6 | 62.4 | 61.3 | 72.9 | |||
| Malay | 9.1 | 9.7 | 3.5 | 8.6 | 8.6 | 4.0 | 13.7 | 14.2 | 7.5 | |||
| Indian | 16.3 | 12.1 | 14.8 | 14.2 | 16.0 | 14.4 | 14.6 | 16.4 | 14.4 | |||
| Others | 3.3 | 3.4 | 4.0 | 5.6 | 5.0 | 4.0 | 9.3 | 8.1 | 5.2 | |||
| Dietary energy intake, kcal/day | 2012.8 ± 829.8 ab *** | 1990.5 ± 849.1 ab *** | 2060.9 ± 963.1 ab *** | <0.001 | 2468.8 ± 1068.4 | 2396.7 ± 952.3 a *** | 2669.6 ± 1016.1 | <0.001 | 2470.9 ± 1016.1 | 2554.2 ± 1062.3 | 2773.7 ± 1077.5 | <0.001 |
| Body weight, kg | 62.2 ± 12.5 | 63.9 ± 12.7 a *** | 67.6 ± 13.7 a * | <0.001 | 62.6 ± 15.1 | 65.0 ± 14.3 | 69.0 ± 14.4 | <0.001 | 64.2 ± 14.6 | 65.8 ± 13.9 | 69.8 ± 15.5 | <0.001 |
| BMI, kgm−2 | 23.9 ± 4.4 | 24.5 ± 4.3 a ** | 25.1 ± 4.3 | <0.001 | 23.8 ± 5.0 | 24.8 ± 4.9 | 25.2 ± 4.4 | 0.001 | 24.8 ± 5.3 | 25.1 ± 4.8 | 25.6 ± 4.9 | 0.021 |
| WC, cm | 82.7 ± 11.6 | 83.3 ± 11.1 | 85.4 ± 11.3 | <0.001 | 81.2 ± 13.1 | 83.5 ± 11.9 | 85.4 ± 11.6 | <0.001 | 83.0 ± 13.2 | 83.6 ± 11.7 | 85.5 ± 12.1 | 0.001 |
| General Adiposity (N = 7011) | Abdominal Adiposity (N = 7011) | |||||||||||||||
|---|---|---|---|---|---|---|---|---|---|---|---|---|---|---|---|---|
| Non-Overweight (N = 2655) BMI < 23 kgm−2 | Overweight (N = 4356) BMI ≥ 23 kgm−2 | Non-Overweight (N = 4027) WC ≤ 90 cm (Men); ≤80 cm (Women) | Overweight (N = 2984) WC > 90 cm (Men); >80 cm (Women) | |||||||||||||
| Slow Eaters (n = 343) | Medium Eaters (n = 1606) | Fast Eaters (n = 706) | p-Trend | Slow Eaters (n = 368) | Medium Eaters (n = 2541) | Fast Eaters (n = 1447) | p-Trend | Slow Eaters (n = 456) | Medium Eaters (n = 2366) | Fast Eaters (n = 1205) | p-Trend | Slow Eaters (n = 255) | Medium Eaters (n = 1781) | Fast Eaters (n = 948) | p-Trend | |
| Mean ± SE | Mean ± SE | Mean ± SE | Mean ± SE | |||||||||||||
| Percentage of energy intake (%) | ||||||||||||||||
| Low to Medium EIR foods (0–40 kcal/min) | 48.80 ± 0.72 | 49.52 ± 0.33 | 48.89 ± 0.50 | 0.462 | 50.14 ± 0.69 a ** | 50.30 ± 0.26 a ** | 48.80 ± 0.35 | 0.002 | 49.04 ± 0.62 | 49.46 ± 0.27 | 48.75 ± 0.39 | 0.313 | 50.26 ± 0.83 a ** | 50.75 ± 0.32 a ** | 48.88 ± 0.44 | 0.003 |
| High EIR foods (40–71 kcal/min) | 29.98 ± 0.51 | 29.59 ± 0.24 | 29.50 ± 0.36 | 0.738 | 28.61 ± 0.48 | 28.14 ± 0.19 a ** | 29.21 ± 0.25 | 0.003 | 29.71 ± 0.44 | 29.23 ± 0.19 | 29.55 ± 0.27 | 0.474 | 28.40 ± 0.58 | 28.00 ± 0.22 a * | 29.06 ± 0.31 | 0.018 |
| Very high EIR foods (72–300 kcal/min) | 21.23 ± 0.55 | 20.89 ± 0.25 | 21.61 ± 0.38 | 0.298 | 21.25 ± 0.53 | 21.53 ± 0.20 | 22.03 ± 0.27 | 0.246 | 21.25 ± 0.47 | 21.31 ± 0.21 | 21.71 ± 0.29 | 0.504 | 21.34 ± 0.64 | 21.27 ± 0.24 | 22.06 ± 0.33 | 0.160 |
Publisher’s Note: MDPI stays neutral with regard to jurisdictional claims in published maps and institutional affiliations. |
© 2020 by the authors. Licensee MDPI, Basel, Switzerland. This article is an open access article distributed under the terms and conditions of the Creative Commons Attribution (CC BY) license (http://creativecommons.org/licenses/by/4.0/).
Share and Cite
Teo, P.S.; van Dam, R.M.; Forde, C.G. Combined Impact of a Faster Self-Reported Eating Rate and Higher Dietary Energy Intake Rate on Energy Intake and Adiposity. Nutrients 2020, 12, 3264. https://doi.org/10.3390/nu12113264
Teo PS, van Dam RM, Forde CG. Combined Impact of a Faster Self-Reported Eating Rate and Higher Dietary Energy Intake Rate on Energy Intake and Adiposity. Nutrients. 2020; 12(11):3264. https://doi.org/10.3390/nu12113264
Chicago/Turabian StyleTeo, Pey Sze, Rob M. van Dam, and Ciarán G. Forde. 2020. "Combined Impact of a Faster Self-Reported Eating Rate and Higher Dietary Energy Intake Rate on Energy Intake and Adiposity" Nutrients 12, no. 11: 3264. https://doi.org/10.3390/nu12113264
APA StyleTeo, P. S., van Dam, R. M., & Forde, C. G. (2020). Combined Impact of a Faster Self-Reported Eating Rate and Higher Dietary Energy Intake Rate on Energy Intake and Adiposity. Nutrients, 12(11), 3264. https://doi.org/10.3390/nu12113264

