Tomato Juice Supplementation Influences the Gene Expression Related to Steatosis in Rats
Abstract
1. Introduction
2. Materials and Methods
2.1. Tomato Juice
2.2. Animals and Experimental Design
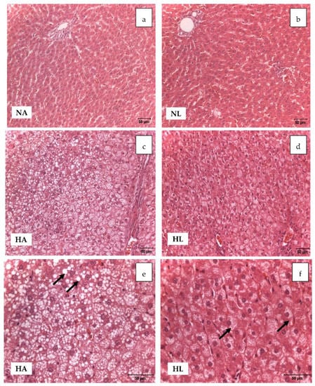
2.3. Histopathological Examination
2.4. Biochemical Parameters of Plasma
2.5. Determination of Biomarkers of Oxidative Stress
2.6. Analysis of Lycopene by High-Performance Liquid Chromatography (HPLC)
2.7. Study of the Expression of Genes Involved in Fatty Liver Disease
2.8. Analysis of Liver Metabolites by HPLC-Mass Spectrometry (MS)
2.9. Statistical Analysis
3. Results
3.1. Weight Gain, Volume of Feed Consumed, and Excreta
3.2. Contents of Lycopene and Its Isomers in the Liver
3.3. Histopathological Examination and Biochemical Parameters
3.4. Expression of Genes in the Rat Liver
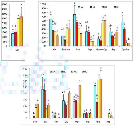
3.5. Intracellular Levels of Liver Metabolites
4. Discussion
4.1. Steatosis Hallmarks
4.2. Changes in Gene Expression Related to Fatty Liver
4.3. Changes in Liver Metabolites
5. Conclusions
Author Contributions
Funding
Acknowledgments
Conflicts of Interest
References
- Zelber-Sagi, S.; Salomone, F.; Mlynarsky, L. The Mediterranean dietary pattern as the diet of choice for non-alcoholic fatty liver disease: Evidence and plausible mechanisms. Liver Int. 2017, 37, 936–949. [Google Scholar] [CrossRef] [PubMed]
- Anstee, Q.M.; Targher, G.; Day, C.P. Progression of NAFLD to diabetes mellitus, cardiovascular disease or cirrhosis. Nat. Rev. Gastroenterol. Hepatol. 2013, 10, 330–344. [Google Scholar] [CrossRef] [PubMed]
- Murillo, A.G.; DiMarco, D.M.; Fernandez, M.L. The potential of non-provitamin A carotenoids for the prevention and treatment of non-alcoholic fatty liver disease. Biology 2016, 5, 42. [Google Scholar] [CrossRef] [PubMed]
- Fabbrini, E.; Magkos, F. Hepatic steatosis as a marker of metabolic dysfunction. Nutrients 2015, 7, 4995–5019. [Google Scholar] [CrossRef] [PubMed]
- European Association for the Study of the Liver, European Association for the Study of Diabetes, European Association for the Study of Obesity. EASL-EASD-EASO clinical practice guidelines for the management of non-alcoholic fatty liver disease. J. Hepatol. 2016, 64, 1388–1402. [Google Scholar] [CrossRef] [PubMed]
- Bernal, C.; Martín-Pozuelo, G.; Lozano, A.B.; Sevilla, A.; García-Alonso, J.; Cánovas, M.; Periago, M.J. Lipid biomarkers and metabolic effects of lycopene from tomato juice on liver of rats with induced hepatic steatosis. J. Nutr. Biochem. 2013, 24, 1870–1881. [Google Scholar] [CrossRef] [PubMed]
- Jiang, W.; Guo, M.H.; Hai, X. Hepatoprotective and antioxidant effects of lycopene on non-alcoholic fatty liver disease in rat. World J. Gastroenterol. 2016, 22, 10180–10188. [Google Scholar] [CrossRef] [PubMed]
- Suárez, M.; Boqué, N.; del Bas, J.M.; Mayneris-Perxachs, J.; Arola, L.; Caimari, A. Mediterranean diet and multi-ingredient-based interventions for the management of non-alcoholic fatty liver disease. Nutrients 2017, 9, 1052. [Google Scholar] [CrossRef] [PubMed]
- Yilmaz, B.; Sahin, K.; Bilen, H.; Bahcecioglu, I.H.; Bilir, B.; Ashraf, S.; Halazun, K.H.; Kucuk, O. Carotenoids and non-alcoholic fatty liver disease. Hepatobiliary Surg. Nutr. 2015, 4, 161–171. [Google Scholar] [CrossRef] [PubMed]
- Martín-Pozuelo, G.; Navarro-González, I.; González-Barrio, R.; Santaella, M.; García-Alonso, J.; Hidalgo, N.; Gómez-Gallego, C.; Ros, G.; Periago, M.J. The effect of tomato juice supplementation on biomarkers and gene expression related to lipid metabolism in rats with induced hepatic steatosis. Eur. J. Nutr. 2014, 54, 933–944. [Google Scholar] [CrossRef] [PubMed]
- Navarro-González, I.; García-Alonso, J.; Periago, M.J. Bioactive compounds of tomato: Cancer chemopreventive effects and influence on the transcriptome in hepatocytes. J. Funct. Foods 2018, 42, 271–280. [Google Scholar] [CrossRef]
- Sharoni, Y.; Linnewiel-Hermoni, K.; Khanin, M.; Salman, H.; Veprik, A.; Danilenko, M.; Levy, J. Carotenoids and apocarotenoids in cellular signaling related to cancer: A review. Mol. Nutr. Food Res. 2012, 56, 259–269. [Google Scholar] [CrossRef] [PubMed]
- Wang, Y.X. PPARs: Diverse regulators in energy metabolism and metabolic diseases. Cell Res. 2010, 20, 124–137. [Google Scholar] [CrossRef] [PubMed]
- García-Alonso, F.J.; González-Barrio, R.; Hidalgo, N.; Navarro-González, I.; Masuero, D.; Soini, E.; Vrhovsek, U.; Periago, M.J. A study of the prebiotic-like effects of tomato juice consumption in rats with diet-induced non-alcoholic fatty liver disease (NAFLD). Food Funct. 2017, 8, 3542–3552. [Google Scholar] [CrossRef] [PubMed]
- Periago, M.J.; García-Alonso, J.; Jacob, K.; Olivares, A.B.; José Bernal, M.; Dolores Iniesta, M.; Martínez, C.; Ros, G. Bioactive compounds, folates and antioxidant properties of tomatoes (Lycopersicum esculentum) during vine ripening. Int. J. Food Sci Nutr. 2009, 60, 694–708. [Google Scholar] [CrossRef] [PubMed]
- García-Alonso, F.J.; Bravo, S.; Casas, J.; Pérez-Conesa, D.; Jacob, K.; Periago, M.J. Changes in antioxidant compounds during the shelf life of commercial tomato juices in different packaging materials. J. Agric. Food Chem. 2009, 57, 6815–6822. [Google Scholar] [CrossRef] [PubMed]
- Brunt, E.M.; Janney, C.G.; Di Bisceglie, A.M.; Neuschwander-Tetri, B.A.; Bacon, B.R. Nonalcoholic steatohepatitis: A proposal for grading and staging the histological lesions. Am. J. Gastroenterol. 1999, 94, 2467–2474. [Google Scholar] [CrossRef] [PubMed]
- Friedewald, W.T.; Levy, R.I.; Fredrickson, D.S. Estimation of the concentration of low-density lipoprotein cholesterol in plasma, without use of the preparative ultracentrifuge. Clin. Chem. 1972, 18, 499–502. [Google Scholar] [PubMed]
- Helger, R.; Rindfrey, H.; Hilgenfeldt, J. Direct estimation of creatinine in serum and in urine without deproteinization using a modified Jaffé method. Z. Klin. Chem. Klin. Biochem. 1974, 12, 344–349. [Google Scholar] [PubMed]
- Mateos, R.; Lecumberri, E.; Ramos, S.; Goya, L.; Bravo, L. Determination of malondialdehyde (MDA) by high-performance liquid chromatography in serum and liver as a biomarker for oxidative stress. Application to a rat model for hypercholesterolemia and evaluation of the effect of diets rich in phenolic antioxidants from fruits. J. Chromatogr. B 2005, 827, 76–82. [Google Scholar] [CrossRef]
- Bensadoun, A.; Weinstein, D. Assay of proteins in the presence of interfering materials. Anal. Biochem. 1976, 70, 241–250. [Google Scholar] [CrossRef]
- Seybold, C.; Fröhlich, K.; Bitsch, R.; Otto, K.; Böhm, V. Changes in contents of carotenoids and vitamin E during tomato processing. J. Agric. Food Chem. 2004, 52, 7005–7010. [Google Scholar] [CrossRef] [PubMed]
- Oikawa, A.; Otsuka, T.; Jikumaru, Y.; Yamaguchi, S.; Matsuda, F.; Nakabayashi, R.; Takashina, T.; Isuzugawa, K.; Saito, K.; Shiratake, K. Effects of freeze-drying of samples on metabolite levels in metabolome analyses. J. Sep. Sci. 2011, 34, 3561–3657. [Google Scholar] [CrossRef] [PubMed]
- Benjamini, Y.; Hochberg, Y. Controlling the false discovery rate-a practical and powerful approach to multiple testing. J. R. Stat. Soc. Ser. B Methodol. 1995, 57, 289–300. [Google Scholar]
- León-Goñi, A.C.; Blanco, D.; Peña, A.; Ronda, M.; González, B.O.; Arteaga, M.E.; Bada, A.M.; González, Y.; Mancebo, A. Hematological and biochemical parameters in Sprague Dawley laboratory rats breed in CENPALAB, Cenp: SPRD. Rev. Electron. Vet. 2011, 12, 1–10. [Google Scholar]
- Goossens, N.; Jornayvaz, F.R. Translational Aspects of Diet and Non-Alcoholic Fatty Liver Disease. Nutrients 2017, 9, 1077. [Google Scholar] [CrossRef] [PubMed]
- Moreira, E.A.M.; Fagundes, R.L.M.; Wilhelm, D.; Neves, D.; Sell, F.; Bellisle, F.; Kupek, E. Effects of diet energy level and tomato powder consumption on antioxidant status in rats. Clin. Nutr. 2005, 24, 1038–1046. [Google Scholar] [CrossRef] [PubMed]
- Ahmed, U.; Redgrave, T.G.; Oates, P.S. Effect of dietary fat to produce non-alcoholic fatty liver in the rat. J. Gastroenterol. Hepatol. 2009, 24, 1463–1471. [Google Scholar] [CrossRef] [PubMed]
- Maiani, G.; Periago-Castón, M.J.; Catasta, G.; Toti, E.; Cambrodón, I.G.; Bysted, A.; Granado-Lorencio, F.; Olmedilla-Alonso, B.; Knuthsen, P.; Valoti, M.; et al. Carotenoids: Actual knowledge on food sources, intakes, stability and bioavailability and their protective role in humans. Mol. Nutr. Food Res. 2009, 53, S194–S218. [Google Scholar] [CrossRef] [PubMed]
- Wang, X.D. Lycopene metabolism and its biological significance. Am. J. Clin. Nutr. 2012, 96, 1214S–1222S. [Google Scholar] [CrossRef] [PubMed]
- Mordente, A.; Guantario, B.; Meucci, E.; Silvestrini, A.; Lombardi, E.; Martorana, G.E.; Giardina, B.; Böhm, V. Lycopene and cardiovascular diseases: An update. Curr. Med. Chem. 2011, 18, 1146–1163. [Google Scholar] [CrossRef] [PubMed]
- Choi, S.H.; Ginsberg, H.N. Increased very low density lipoprotein secretion, hepatic steatosis, and insulin resistance. Trends Endocrinol. Metab. 2011, 22, 353–363. [Google Scholar] [CrossRef] [PubMed]
- Musso, G.; Gambino, R.; Cassader, M. Recent insights into hepatic lipid metabolism in non-alcoholic fatty liver disease (NAFLD). Prog. Lipid Res. 2009, 48, 1–26. [Google Scholar] [CrossRef] [PubMed]
- Sookoian, S.; Castaño, G.O.; Burgueño, A.L.; Rosselli, M.S.; Gianotti, T.F.; Mallardi, P.; Martino, J.S.; Pirola, C.J. Circulating levels and hepatic expression of molecular mediators of atherosclerosis in nonalcoholic fatty liver disease. Atherosclerosis 2010, 209, 585–591. [Google Scholar] [CrossRef] [PubMed]
- Kohjima, M.; Enjoji, M.; Higuchi, N.; Kato, M.; Kotoh, K.; Yoshimoto, T.; Fujino, T.; Yada, M.; Yada, R.; Harada, N.; et al. Re-evaluation of fatty acid metabolism-related gene expression in nonalcoholic fatty liver disease. Int. J. Mol. Med. 2007, 20, 351–358. [Google Scholar] [CrossRef] [PubMed]
- Xu, C.; Wang, G.; Hao, Y.; Zhi, J.; Zhang, L.; Chang, C. Correlation analysis between gene expression profile of rat liver tissues and high-fat emulsion-induced nonalcoholic fatty liver. Dig. Dis. Sci. 2011, 56, 2299–2308. [Google Scholar] [CrossRef] [PubMed]
- Auguet, T.; Berlanga, A.; Guiu-Jurado, E.; Martinez, S.; Porras, J.A.; Aragonès, G.; Sabench, F.; Hernandez, M.; Aguilar, C.; Sirvent, J.J.; et al. Altered Fatty Acid Metabolism-Related Gene Expression in Liver from Morbidly Obese Women with Non-Alcoholic Fatty Liver Disease. Int. J. Mol. Sci. 2014, 15, 22173–22187. [Google Scholar] [CrossRef] [PubMed]
- Yvan-Charvet, L.; Wang, N.; Tall, A.R. The role of HDL, ABCA1 and ABCG1 transporters in cholesterol efflux and immune responses. Arterioscler. Thromb. Vasc. Biol. 2010, 30, 139–143. [Google Scholar] [CrossRef] [PubMed]
- Mashek, D.G.; McKenzie, M.A.; Van Horn, C.G.; Coleman, R.A. Rat long chain acyl-CoA synthetase 5 increases fatty acid uptake and partitioning to cellular triacylglycerol in McArdle-RH7777 cells. J. Biol. Chem. 2006, 281, 945–950. [Google Scholar] [CrossRef] [PubMed]
- Zammit, V.A. Hepatic triacylglycerol synthesis and secretion: DGAT2 as the link between glycaemia and triglyceridaemia. Biochem. J. 2013, 451, 1–12. [Google Scholar] [CrossRef] [PubMed]
- Murdoch, S.J.; Breckenridge, W.C. Influence of lipoprotein lipase and hepatic lipase on the transformation of VLDL and HDL during lipolysis of VLDL. Atherosclerosis 1995, 118, 193–212. [Google Scholar] [CrossRef]
- Mason, T.M. The role of factors that regulate the synthesis and secretion of very-low-density lipoprotein by hepatocytes. Crit. Rev. Clin. Lab. Sci. 1998, 35, 461–487. [Google Scholar] [CrossRef] [PubMed]
- Fabbrini, E.; Sullivan, S.; Klein, S. Obesity and nonalcoholic fatty liver disease: Biochemical, metabolic, and clinical implications. Hepatology 2010, 51, 679–689. [Google Scholar] [CrossRef] [PubMed]
- Van der Leij, F.R.; Bloks, V.W.; Grefhorst, A.; Hoekstra, J.; Gerding, A.; Kooi, K.; Gerbens, F.; te Meerman, G.; Kuipers, F. Gene expression profiling in livers of mice after acute inhibition of β-oxidation. Genomics 2007, 90, 680–689. [Google Scholar] [CrossRef] [PubMed]
- Lu, R.H.; Zhou, Y.; Yuan, X.C.; Liang, X.F.; Fang, L.; Bai, X.L.; Wang, M.; Zhao, Y.H. Effects of glucose, insulin and triiodothyroxine on leptin and leptin receptor expression and the effects of leptin on activities of enzymes related to glucose metabolism in grass carp (Ctenopharyngodon idella) hepatocytes. Fish Physiol. Biochem. 2015, 41, 981–989. [Google Scholar] [CrossRef] [PubMed]
- Min, H.K.; Kapoor, A.; Fuchs, M.; Mirshahi, F.; Zhou, H.; Maher, J.; Kellum, J.; Warnick, R.; Contos, M.J.; Sanyal, A.J. Increased hepatic synthesis and dysregulation of cholesterol metabolism is associated with the severity of nonalcoholic fatty liver disease. Cell Metab. 2012, 15, 665–674. [Google Scholar] [CrossRef] [PubMed]
- Moussa, M.; Gouranton, E.; Gleize, B.; Yazidi, C.E.; Niot, I.; Besnard, P.; Borel, P.; Landrier, J.F. CD36 is involved in lycopene and lutein uptake by adipocytes and adipose tissue cultures. Mol. Nutr. Food Res. 2011, 55, 578–584. [Google Scholar] [CrossRef] [PubMed]
- Armstrong, E.H.; Goswami, D.; Griffin, P.R.; Noy, N.; Ortlund, E.A. Structural basis for ligand regulation of the fatty acid-binding protein 5, peroxisome proliferator-activated receptor β/δ (FABP5-PPARβ/δ) signaling pathway. J. Biol. Chem. 2014, 289, 14941–14954. [Google Scholar] [CrossRef] [PubMed]
- Tainaka, T.; Shimada, Y.; Kuroyanagi, J.; Zang, L.; Oka, T.; Nishimura, Y.; Nishimura, N.; Tanaka, T. Transcriptome analysis of anti-fatty liver action by Campari tomato using a zebrafish diet-induced obesity model. Nutr. Metab. 2011, 8, 88. [Google Scholar] [CrossRef] [PubMed]
- Xu, J.Y.; Li, Z.P.; Zhang, L.; Ji, G. Recent insights into farnesoid X receptor in non-alcoholic fatty liver disease. World J. Gastroenterol. 2014, 20, 13493–13500. [Google Scholar] [CrossRef] [PubMed]
- Aydemir, G.; Kasiri, Y.; Bartók, E.M.; Birta, E.; Fröhlich, K.; Böhm, V.; Mihaly, J.; Rühl, R. Lycopene supplementation restores vitamin A deficiency in mice and possesses thereby partial pro-vitamin A activity transmitted via RAR signaling. Mol. Nutr. Food Res. 2016, 60, 2413–2420. [Google Scholar] [CrossRef] [PubMed]
- Narayanasamy, S.; Sun, J.; Pavlovicz, R.E.; Eroglu, A.; Rush, C.E.; Sunkel, B.D.; Li, C.; Harrison, E.H.; Curley, R.W., Jr. Synthesis of apo-13-and apo-15-lycopenoids, cleavage products of lycopene that are retinoic acid antagonists. J. Lipid Res. 2017, 58, 1021–1029. [Google Scholar] [CrossRef] [PubMed]
- Chen, K.T.; Pernelle, K.; Tsai, Y.H.; Wu, Y.H.; Hsieh, J.Y.; Liao, K.H.; Guguen-Guillouzo, C.; Wang, H.W. Liver X receptor α (LXRα/NR1H3) regulates differentiation of hepatocyte-like cells via reciprocal regulation of HNF4α. J. Hepatol. 2014, 61, 1276–1286. [Google Scholar] [CrossRef] [PubMed]
- Babeu, J.P.; Boudreau, F. Hepatocyte nuclear factor 4-alpha involvement in liver and intestinal inflammatory networks. World J. Gastroenterol. 2014, 20, 22–30. [Google Scholar] [CrossRef] [PubMed]
- Baciu, C.; Pasini, E.; Angeli, M.; Schwenger, K.; Afrin, J.; Humar, A.; Fischer, S.; Patel, K.; Allard, J.; Bhat, M. Systematic integrative analysis of gene expression identifies HNF4A as the central gene in pathogenesis of non-alcoholic steatohepatitis. PLoS ONE 2017, 12, e0189223. [Google Scholar] [CrossRef] [PubMed]
- Ip, B.C.; Liu, C.; Lichtenstein, A.H.; von Lintig, J.; Wang, X.D. Lycopene and apo-10´-lycopenoic acid have differential mechanisms of protection against hepatic steatosis in β-carotene-9´,10´-oxygenase knockout male mice. J. Nutr. 2015, 145, 268–276. [Google Scholar] [CrossRef] [PubMed]
- Xie, Z.; Li, H.; Wang, K.; Lin, J.; Wang, Q.; Zhao, G.; Jia, W.; Zhang, Q. Analysis of transcriptome and metabolome profiles alterations in fatty liver induced by high-fat diet in rat. Metabolism 2010, 59, 554–560. [Google Scholar] [CrossRef] [PubMed]
- Kim, H.J.; Kim, J.H.; Noh, S.; Hur, H.J.; Sung, M.J.; Hwang, J.T.; Park, J.H.; Yang, H.J.; Kim, M.S.; Kwon, D.Y.; et al. Metabolomic analysis of livers and serum from high-fat diet induced obese mice. J. Proteome Res. 2011, 10, 722–731. [Google Scholar] [CrossRef] [PubMed]
- Jobgen, W.; Fu, W.J.; Gao, H.; Li, P.; Meininger, C.J.; Smith, S.B.; Spencer, T.E.; Wu, G. High fat feeding and dietary L-arginine supplementation differentially regulate gene expression in rat white adipose tissue. Amino Acids 2009, 37, 187–198. [Google Scholar] [CrossRef] [PubMed]
- Tan, B.; Li, X.; Yin, Y.; Wu, Z.; Liu, C.; Tekwe, C.D.; Wu, G. Regulatory roles for L-arginine in reducing white adipose tissue. Front. Biosci. 2012, 17, 2237–2246. [Google Scholar] [CrossRef]
- Ai, Y.; Sun, Z.; Peng, C.; Liu, L.; Xiao, X.; Li, J. Homocysteine Induces Hepatic Steatosis Involving ER Stress Response in High Methionine Diet-Fed Mice. Nutrients 2017, 9, 346. [Google Scholar] [CrossRef] [PubMed]
- Bravo, E.; Palleschi, S.; Aspichueta, P.; Buqué, X.; Rossi, B.; Cano, A.; Napolitano, M.; Ochoa, B.; Botham, K.M. High fat diet-induced non alcoholic fatty liver disease in rats is associated with hyperhomocysteinemia caused by down regulation of the transsulphuration pathway. Lipids Health Dis. 2011, 10, 60. [Google Scholar] [CrossRef] [PubMed]
- García-Cañaveras, J.C.; Donato, M.T.; Castell, J.V.; Lahoz, A. A Comprehensive untargeted metabonomic analysis of human steatotic liver tissue by RP and HILIC chromatography coupled to mass spectrometry reveals important metabolic alterations. J. Proteome Res. 2011, 10, 4825–4834. [Google Scholar] [CrossRef] [PubMed]
- Leal, M.; Shimada, A.; Ruíz, F.; González de Mejía, E. Effect of lycopene on lipid peroxidation and glutathione-dependent enzymes induced by T-2 toxin in vivo. Toxicol. Lett. 1999, 109, 1–10. [Google Scholar] [CrossRef]
- Jamshidzadeh, A.; Baghban, M.; Azarpira, N.; Mohammadi-Bardbori, A.; Niknahad, H. Effects of tomato extract on oxidative stress induced toxicity in different organs of rats. Food Chem. Toxicol. 2008, 46, 3612–3615. [Google Scholar] [CrossRef] [PubMed]




| Parameters | NA | NL | HA | HL |
|---|---|---|---|---|
| Initial body weight (g) | 428 ± 75 a | 432 ± 47 a | 375 ± 18 b | 406 ± 20 b |
| Final body weight (g) | 494 ± 65 | 496 ± 70 | 471 ± 20 | 489 ± 25 |
| Body weight increase (%) | 15.4 | 14.7 | 25.6 | 20.1 |
| Food intake (g/day) | 20 ± 2.6 a | 17.8 ± 1.8 b | 13.1 ±1.9 c | 12.0 ± 4.6 c |
| Food intake (kcal/day) * | 58 | 52 | 59 | 54 |
| Tomato juice or water intake (mL/day) | 25.8 ± 4.3 c | 63.6 ± 13.3 a | 44.3 ± 12.2 b | 78.8 ± 12.6 a |
| Drinks intake (kcal/day) ** | 0 | 16 | 0 | 20 |
| Total intake (kcal/day) | 58 | 68 | 59 | 74 |
| Excreted feces (g/day) | 10.8 ± 1.2 a | 10.3 ± 0.9 a | 2.3 ± 1.4 b | 3.9 ± 1.3 b |
| Excreted urine (mL/day) | 12.2 ± 4.2 c | 19.5 ± 8.5 a,b | 15.4 ± 3.1 b,c | 33.5 ± 13.7 a |
| Lycopene intake (mg/day) | nd | 3.7 ± 0.8 | Nd | 4.6 ± 0.6 |
| Excreted lycopene in feces (mg/day) | nd | 1.57 ± 0.4 | Nd | 1.48 ± 0.2 |
| Apparent lycopene absorption (%) | nd | 55.7 ± 15.3 | Nd | 68.1 ± 11.4 |
| Parameters | NA | NL | HA | HL |
|---|---|---|---|---|
| 6-apo-lycopenal | nd | nd | Nd | nd |
| 8-apo-lycopenal | nd | nd | Nd | nd |
| 12-apo-lycopenal | nd | nd | Nd | nd |
| 9-cis lycopene (µg/g) | nd | 0.54 ± 0.10 | Nd | 0.81 ± 0.15 |
| 13-cis lycopene (µg/g) | nd | 0.51 ± 0.26 * | Nd | 0.25 ± 0.12 |
| Trans-lycopene (µg/g) | nd | 1.71 ± 0.30 | Nd | 3.49 ± 1.79 * |
| Total lycopene (µg/g) | nd | 2.75 ± 0.33 | Nd | 4.55 ± 0.80 * |
| Liver weight (g) | 11.91 ± 1 b | 12.82 ± 1.31 b | 22.74 ± 2.66 a | 24.12 ± 2.72 a |
| Parameters | NA | NL | HA | HL |
|---|---|---|---|---|
| Glucose (mg/dL) | 136 ± 23 | 142 ± 40 | 158 ± 29 | 154 ± 33 |
| Total cholesterol (mg/dL) | 105 ± 24 b,c | 85 ± 20 c | 140 ± 42 a,b | 164 ± 12 a |
| LDL-Cholesterol (mg/dL) | 36 ± 9 b | 39 ± 9 b | 98 ± 28 a | 89 ± 9 a |
| HDL-Cholesterol (mg/dL) | 44 ± 9 | 33 ± 6 | 30 ± 4 | 34 ± 5 |
| VLDL-Cholesterol (mg/dL) | 13 ± 2 b | 11 ± 3 b | 20 ± 4 a | 24 ± 5 a |
| Triglycerides (mg/dL) | 66 ± 17 b | 63 ± 16 b | 98 ± 15 a | 110 ± 12 a |
| ALT (U/L) | 39 ± 5 b | 48 ± 15 b | 80 ± 2 a | 97 ± 29 a |
| AST (U/L) | 65 ± 9 b | 76 ± 14 b | 124 ± 20 a | 132 ± 24 a |
| Urinary isoprostanes (pg/mL) | 940 ± 86 b | 904 ± 55 b | 1303 ± 359 a | 1739 ± 200 a |
| Parameters | NA | NL | HA | HL |
|---|---|---|---|---|
| MDA (nmol/mg of protein) | 0.028 ± 0.003 b | 0.031 ± 0.003 b | 0.10± 0.02 a | 0.12 ± 0.02 a |
| GSH/GSSG | 0.188 ± 0.028 b | 0.252 ± 0.030 a | 0.114 ± 0.022 c | 0.136 ± 0.017 c |
| NAD/NADH | 2.3 ± 0.44 | 2.09 ± 0.49 | 2.76 ± 0.62 | 2.93 ± 0.89 |
| Symbol | Gene Name | NL–NA | HA–NA | HL–NA | HL–HA |
|---|---|---|---|---|---|
| Fatty acid β-oxidation | |||||
| Cpt2 | Carnitine palmitoyltransferase 2 | - | 4.51 | - | - |
| Cpt1a | Carnitine palmitoyltransferase 1a, liver | - | 2.52 | - | - |
| Acox1 | Acyl-coenzyme A oxidase 1, palmitoyl | 1.90 | - | - | - |
| Cholesterol transport and metabolism | |||||
| Abca1 | ATP-binding cassette, subfamily A (ABC1), member 1 | - | 2.39 | - | - |
| Hmgcr | 3-hydroxy-3-methylglutaryl-coenzyme A reductase | - | 1.52 | - | - |
| Cd36 | CD36 molecule (thrombospondin receptor) | 5.84 | −3.28 | 4.23 | - |
| Pparg | Peroxisome proliferator-activated receptor gamma | - | 1.64 | - | - |
| Abcg1 | ATP-binding cassette, subfamily G, member 1 | - | 2.43 | - | - |
| Cyp7a1 | Cytochrome P450, family 7, subfamily a, polypeptide 1 | 1.52 | 1.51 | - | - |
| Lepr | Leptin receptor | - | 2.43 | - | - |
| Nr1h2 | Nuclear receptor subfamily 1, group H, member 2 | 1.66 | −1.68 | - | - |
| Nr1h4 | Nuclear receptor subfamily 1, group H, member 4 | - | - | - | 1.80 |
| Srebf2 | Sterol regulatory element binding transcription factor 2 | 2.27 | - | - | - |
| Apob | Apolipoprotein B | −6.43 | 6.80 | −4.66 | - |
| Other lipid transport and metabolism | |||||
| Scd1 | Stearoyl-coenzyme A desaturase 1 | 2.09 | - | - | - |
| Lpl | Lipoprotein lipase | −4.05 | 6.22 | −3.33 | - |
| Acsl5 | Acyl-coa synthetase long-chain family member 5 | −1.64 | 1.90 | - | - |
| Dgat2 | Diacylglycerol O-acyltransferase homolog 2 (mouse) | - | 1.51 | - | - |
| Ppa1 | Pyrophosphatase (inorganic) 1 | - | −2.20 | 3.57 | - |
| Fabp5 | Fatty acid binding protein 5, epidermal | - | - | 2.99 | - |
| Hnf4a | Hepatocyte nuclear factor 4, alpha | - | - | 1.76 | 1.79 |
| IL10 | Interleukin 10 | 2.83 | - | - | - |
© 2018 by the authors. Licensee MDPI, Basel, Switzerland. This article is an open access article distributed under the terms and conditions of the Creative Commons Attribution (CC BY) license (http://creativecommons.org/licenses/by/4.0/).
Share and Cite
Elvira-Torales, L.I.; Navarro-González, I.; González-Barrio, R.; Martín-Pozuelo, G.; Doménech, G.; Seva, J.; García-Alonso, J.; Periago-Castón, M.J. Tomato Juice Supplementation Influences the Gene Expression Related to Steatosis in Rats. Nutrients 2018, 10, 1215. https://doi.org/10.3390/nu10091215
Elvira-Torales LI, Navarro-González I, González-Barrio R, Martín-Pozuelo G, Doménech G, Seva J, García-Alonso J, Periago-Castón MJ. Tomato Juice Supplementation Influences the Gene Expression Related to Steatosis in Rats. Nutrients. 2018; 10(9):1215. https://doi.org/10.3390/nu10091215
Chicago/Turabian StyleElvira-Torales, Laura Inés, Inmaculada Navarro-González, Rocío González-Barrio, Gala Martín-Pozuelo, Guillermo Doménech, Juan Seva, Javier García-Alonso, and María Jesús Periago-Castón. 2018. "Tomato Juice Supplementation Influences the Gene Expression Related to Steatosis in Rats" Nutrients 10, no. 9: 1215. https://doi.org/10.3390/nu10091215
APA StyleElvira-Torales, L. I., Navarro-González, I., González-Barrio, R., Martín-Pozuelo, G., Doménech, G., Seva, J., García-Alonso, J., & Periago-Castón, M. J. (2018). Tomato Juice Supplementation Influences the Gene Expression Related to Steatosis in Rats. Nutrients, 10(9), 1215. https://doi.org/10.3390/nu10091215

