Semi-Analytical Retrieval of the Diffuse Attenuation Coefficient in Large and Shallow Lakes from GOCI, a High Temporal-Resolution Satellite
Abstract
1. Introduction
2. Materials and Methods
2.1. In-Situ Measurement
2.1.1. Study Area
2.1.2. Measurements of the Optical Properties and SPM
2.2. Satellite Data and Preprocessing
2.3. Accuracy Assessment
3. Model Kd(490)
3.1. Calibration
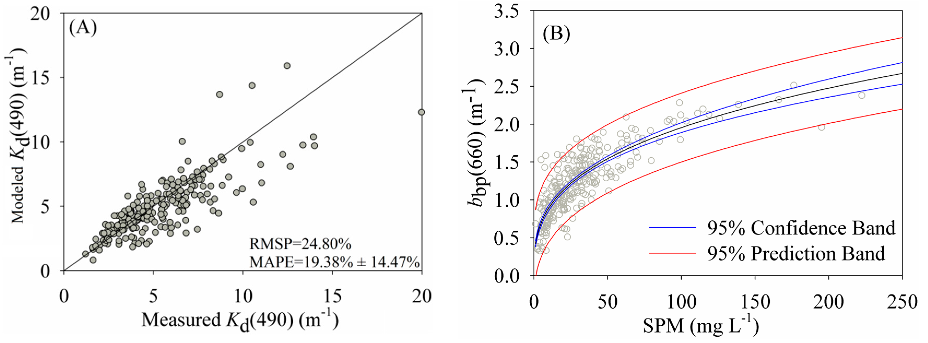
3.2. Model Validation by the In-Situ and Match-Up Measurements
3.3. Comparison with the Exist Kd(490) Model for GOCI
4. Results and Discussion
4.1. Short-Term Observation of Kd(490) from GOCI
4.2. Comparison of MODIS-Derived and GOCI-Derived Kd(490)
4.3. Wind-Driven Variation of Kd(490) from GOCI-Derived Kd(490)
5. Conclusions
Acknowledgments
Author Contributions
Conflicts of Interest
References
- Kirk, J.T.O. Dependence of relationship between inherent and apparent optical properties of water on solar altitude. Limnol. Oceanogr. 1984, 29, 350–356. [Google Scholar] [CrossRef]
- Preisendorfer, R.W. Hydrologic Optics, vol. 1. Introduction. Available online: http://udspace.udel.edu/handle/19716/1577 (accessed on 20 May 2017).
- Lee, Z.P.; Darecki, M.; Carder, K.L.; Davis, C.; Stramski, D.; Rhea, W.J. Diffuse attenuation coefficient of downwelling irradiance: Anevaluation of remote sensing methods. J. Geophys. Res. 2005, 110. [Google Scholar] [CrossRef]
- Lee, Z.; Hu, C.M.; Shang, S.; Du, K.; Lewis, M.; Arnone, R.; Brewin, R. Penetration of UV-Visible solar light in the global oceans: Insights from ocean color remote sensing. J. Geophys. Res. 2013, 118, 4241–4255. [Google Scholar] [CrossRef]
- Shi, K.; Zhang, Y.L.; Liu, X.H.; Wang, M.Z.; Qin, B.Q. Remote sensing of diffuse attenuation coefficient of photosynthetically active radiation in Lake Taihu using MERIS data. Remote Sens. Environ. 2014, 140, 365–377. [Google Scholar] [CrossRef]
- Song, K.S.; Ma, J.H.; Wen, Z.D.; Fang, C.; Shang, Y.X.; Zhao, Y.; Wang, M.; Du, J. Remote estimation of Kd(PAR) using MODIS and Landsat imagery for turbid inland waters in northeast China. ISPRS J. Photogramm. Remote Sens. 2017, 123, 159–172. [Google Scholar] [CrossRef]
- Zhang, Y.L.; Liu, X.H.; Yin, Y.; Wang, M.Z.; Qin, B.Q. A simple optical model to estimate diffuse attenuation coefficient of photosynthetically active radiation in an extremely turbid lake from surface reflectance. Opt. Express 2012, 20, 20482–20493. [Google Scholar] [CrossRef] [PubMed]
- Read, J.S.; Rose, K.C.; Winslow, L.A.; Read, E.K. A method for estimating the diffuse attenuation coefficient (KdPAR) from paired temperature sensors. Limnol. Oceanogr. Methods 2015, 13, 53–61. [Google Scholar] [CrossRef]
- Wang, M.H.; Son, S.H.; Lawrence, W.; Harding, J. Retrieval of diffuse attenuation coefficient in the Chesapeake Bay and turbid ocean regions for satellite ocean color applications. J. Geophys. Res. 2009, 114. [Google Scholar] [CrossRef]
- Wang, M.H.; Ahn, J.H.; Jiang, L.; Shi, W.; Son, S.H.; Park, Y.J.; Ryu, J.H. Ocean color products from the Korean Geostationary Ocean Color Imager (GOCI). Opt. Express 2013, 21, 3835–3849. [Google Scholar] [CrossRef] [PubMed]
- Yu, X.L.; Salama, M.S.; Shen, F.; Verhoef, W. Retrieval of the diffuse attenuation coefficient from GOCI images using the 2SeaColor model: A case study in the Yangtze Estuary. Remote Sens. Environ. 2016, 175, 109–119. [Google Scholar] [CrossRef]
- Zhang, T.L.; Fell, F. An empirical algorithm for determining the diffuse attenuation coefficient Kd in clear and turbid waters from spectral remote sensing reflectance. Limnol. Oceanogr. Methods 2007, 5, 457–462. [Google Scholar] [CrossRef]
- Majozi, N.P.; Salama, M.S.; Bernard, S.; Harper, D.M.; Habte, M.G. Remote sensing of euphotic depth in shallow tropical inland waters of Lake Naivasha using MERIS data. Remote Sens. Environ. 2014, 148, 178–189. [Google Scholar] [CrossRef]
- Zhang, G.; Stramski, D.; Reynolds, R.A. Evaluation of the QAA algorithm for estimating the inherent optical properties from remote sensing reflectance in Arctic waters. In Proceedings of the 2010 Ocean Sciences Meeting, Portland, OR, USA, 22–26 February 2010. [Google Scholar]
- Chen, J.; Cui, T.W.; Tang, J.W.; Song, Q.J. Remote sensing of diffuse attenuation coefficient using MODIS imagery of turbid coastal waters: A case study in Bohai Sea. Remote Sens. Environ. 2014, 140, 78–93. [Google Scholar] [CrossRef]
- Mueller, J.L. SeaWiFS algorithm for the diffuse attenuation coefficient, K(490), using water-leaving radiances at 490 and 555 nm. SeaWiFS Postlaunch Calibration Valid. Anal. 2000, 3, 24–27. [Google Scholar]
- Wang, M.H.; Shi, W.; Tang, J.W. Water property monitoring and assessment for China’s inland Lake Taihu from MODIS-Aqua measurements. Remote Sens. Environ. 2011, 115, 841–854. [Google Scholar] [CrossRef]
- Saulquin, B.; Hamdi, A.; Gohin, F.; Populus, J.; Mangin, A.; d’Andona, O.F. Estimation of the diffuse attenuation coefficient KdPAR using MERIS and application to seabed habitat mapping. Remote Sens. Environ. 2015, 128, 224–233. [Google Scholar] [CrossRef]
- Lee, Z.P.; Carder, K.L.; Robert, A.A. Deriving inherent optical properties from water color: A multiband quasi-analytical algorithm for optically deep waters. Appl. Opt. 2002, 41, 5755–5772. [Google Scholar] [CrossRef] [PubMed]
- Doron, M.; Babin, M.; Mangin, A.; Hembise, O. Estimation of light penetration, and horizontal and vertical visibility in oceanic and coastal waters from surface reflectance. J. Geophys. Res. 2007, 112. [Google Scholar] [CrossRef]
- Ma, R.H.; Pan, D.L.; Duan, H.T.; Song, Q.J. Absorption and scattering properties of water body in Taihu Lake, China: Backscattering. Int. J. Remote Sens. 2009, 30, 2321–2335. [Google Scholar] [CrossRef]
- Huang, C.C.; Li, Y.M.; Yang, H.; Sun, D.Y.; Yu, Z.Y.; Zhang, Z.; Chen, X.; Xu, L.J. Detection of algal bloom and factors influencing its formation in Taihu Lake from 2000 to 2011 by MODIS. Environ. Earth Sci. 2014, 71, 3705–3714. [Google Scholar] [CrossRef]
- Huang, C.C.; Shi, K.; Yang, H.; Li, Y.M.; Zhu, A.X.; Sun, D.Y.; Xu, L.J.; Zou, J.; Chen, X. Satellite observation of hourly dynamic characteristics of algae with Geostationary Ocean Color Imager (GOCI) data in Lake Taihu. Remote Sens. Environ. 2015, 159, 278–287. [Google Scholar] [CrossRef]
- Guanter, L.; Ruiz-Verdú, A.; Odermatt, D.; Giardino, C.; Simis, S.; Estellés, V.; Heege, T.; Domínguez-Gómez, J.A.; Moreno, J. Atmospheric correction of ENVISAT/MERIS data over inland waters: Validation for European lakes. Remote Sens. Environ. 2010, 114, 467–480. [Google Scholar] [CrossRef]
- Liu, G.; Li, Y.M.; Lv, H.; Wang, S.; Du, C.G.; Huang, C.C. An improved land target-based atmospheric correction method for Lake Taihu. IEEE Sel. Top. Appl. Earth Obs. Remote Sens. 2016, 9, 793–803. [Google Scholar] [CrossRef]
- Budhiman, S.; Salama, M.S.; Vekerdy, Z.; Verhoef, W. Deriving optical properties of Mahakam Delta coastal waters, Indonesia using in situ measurements and ocean color model inversion. ISPRS J. Photogramm. Remote Sens. 2012, 68, 157–169. [Google Scholar] [CrossRef]
- Huang, C.C.; Yao, L.; Huang, T.; Zhang, M.L.; Zhu, A.X.; Yang, H. Wind and rainfall regulation of the diffuse attenuation coefficient in large, shallow lakes from long-term MODIS observations using a semi-analytical model. J. Geophys. Res. Atmos. 2017, 122. [Google Scholar] [CrossRef]
- Hu, C.M.; Lee, Z.P.; Ma, R.H.; Yu, K.; Li, D.Q.; Shang, S.L. Moderate Resolution Imaging Spectroradiometer (MODIS) observations of cyanobacteria blooms in Taihu Lake, China. J. Geophys. Res. Oceans 2010, 115, 216–263. [Google Scholar] [CrossRef]
- Qin, B.; Hu, W.; Gao, G.; Luo, L.; Zhang, J. Dynamics of sediment resuspension and the conceptual schema of nutrient release in the large shallow Lake Taihu, China. Chin. Sci. Bull. 2004, 49, 54–64. [Google Scholar] [CrossRef]
- Hawley, N. Response of the benthic nepheloid layer to near-inertial internal waves in southern Lake Michigan. J. Geophys. Res. 2004, 109, 249–260. [Google Scholar] [CrossRef]
- Marti, C.L.; Imberger, J. Exchange between litto-ral and pelagic waters in a stratified lake due to wind-induced motions: Lake Kinneret, Israel. Hydrobiologia 2008, 603, 25–51. [Google Scholar] [CrossRef]
- Valipour, R.; Boegman, L.; Bouffard, D.; Rao, Y.R. Sediment resuspension mechanisms and their contributions to high-turbidity events in a large lake. Limnol. Oceanogr. 2017, 62, 1045–1065. [Google Scholar] [CrossRef]
- Cao, H.S.; Kong, F.X.; Luo, L.C.; Shi, X.L. Effects of wind and wind-induced waves on vertical phytoplankton distribution and surface blooms of Microcystis aeruginosa in Lake Taihu. J. Freshw. Ecol. 2016, 21, 231–238. [Google Scholar] [CrossRef]
- Wynne, T.T.; Stumpf, R.P.; Tomlinson, M.C.; Dyble, J. Characterizing a cyanobacterial bloom in western Lake Erie using satellite imagery and meteorological data. Limnol. Oceanogr. 2010, 55, 2025–2036. [Google Scholar] [CrossRef]
- Binding, C.E.; Greenberg, T.A.; Bukata, R.P. Time series analysis of algal blooms in Lake of the Woods using the MERIS maximum chlorophyll index. J. Plankton Res. 2011, 33, 1847–1852. [Google Scholar] [CrossRef]
- Huang, C.C.; Yang, H.; Zhu, A.X.; Zhang, M.L.; Lü, H.; Huang, T.; Zou, J.; Li, Y.M. Evaluation of the Geostationary Ocean Color Imager (GOCI) to monitor the dynamic characteristics of suspension sediment in Taihu Lake. Int. J. Remote Sens. 2015, 36, 3859–3874. [Google Scholar] [CrossRef]











| Models | Variables | R2 | RMSP | |RE|Max | MAPE |
|---|---|---|---|---|---|
| Model 1 (This study) | Rrs(660)/Rrs(555) | 0.57 | 27.44% | 76.11% | 22.60 ± 15.57% |
| Model 2 [15] | Rrs(667), Rrs(490) | 0.55 | 29.07% | 115.38% | 24.59 ± 16.03% |
| Model 3 [9] | Rrs(488), Rrs(645)/Rrs(488) | 0.41 | 29.60% | 140.09% | 24.28 ± 18.54% |
| Model 4 [11] | (400–800 nm with 10 nm interval) | 0.44 | 33.23% | 175.27% | 31.24 ± 24.16% |
© 2017 by the authors. Licensee MDPI, Basel, Switzerland. This article is an open access article distributed under the terms and conditions of the Creative Commons Attribution (CC BY) license (http://creativecommons.org/licenses/by/4.0/).
Share and Cite
Huang, C.; Yao, L. Semi-Analytical Retrieval of the Diffuse Attenuation Coefficient in Large and Shallow Lakes from GOCI, a High Temporal-Resolution Satellite. Remote Sens. 2017, 9, 825. https://doi.org/10.3390/rs9080825
Huang C, Yao L. Semi-Analytical Retrieval of the Diffuse Attenuation Coefficient in Large and Shallow Lakes from GOCI, a High Temporal-Resolution Satellite. Remote Sensing. 2017; 9(8):825. https://doi.org/10.3390/rs9080825
Chicago/Turabian StyleHuang, Changchun, and Ling Yao. 2017. "Semi-Analytical Retrieval of the Diffuse Attenuation Coefficient in Large and Shallow Lakes from GOCI, a High Temporal-Resolution Satellite" Remote Sensing 9, no. 8: 825. https://doi.org/10.3390/rs9080825
APA StyleHuang, C., & Yao, L. (2017). Semi-Analytical Retrieval of the Diffuse Attenuation Coefficient in Large and Shallow Lakes from GOCI, a High Temporal-Resolution Satellite. Remote Sensing, 9(8), 825. https://doi.org/10.3390/rs9080825

