Estimating Daily Reference Evapotranspiration in a Semi-Arid Region Using Remote Sensing Data
Abstract
:1. Introduction
2. Materials and Methods
2.1. Study AREA
2.2. Data Acquisition
2.3. Remote Sensing Data
2.4. Reanalysis Data
2.5. Reference Evapotranspiration (ETₒ) Estimation Methods
3. Results
3.1. Comparison between Meteorological Variables Estimated from Remote Sensing with Station Data
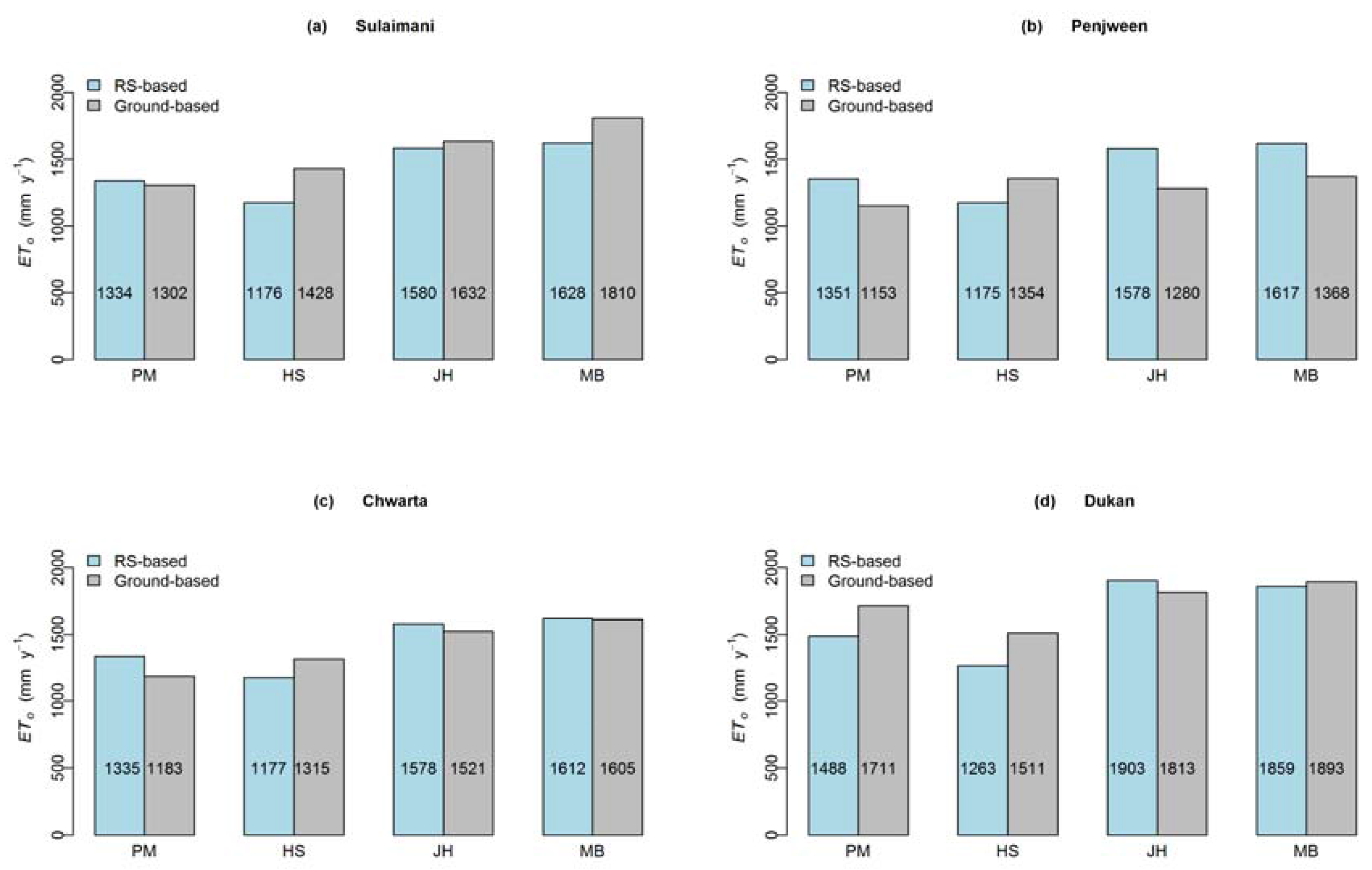
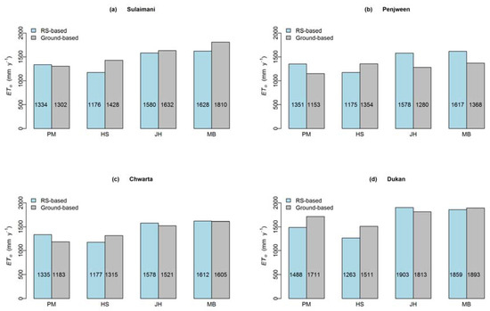
3.2. Comparison between Daily ETₒ-RS and ETₒ-G
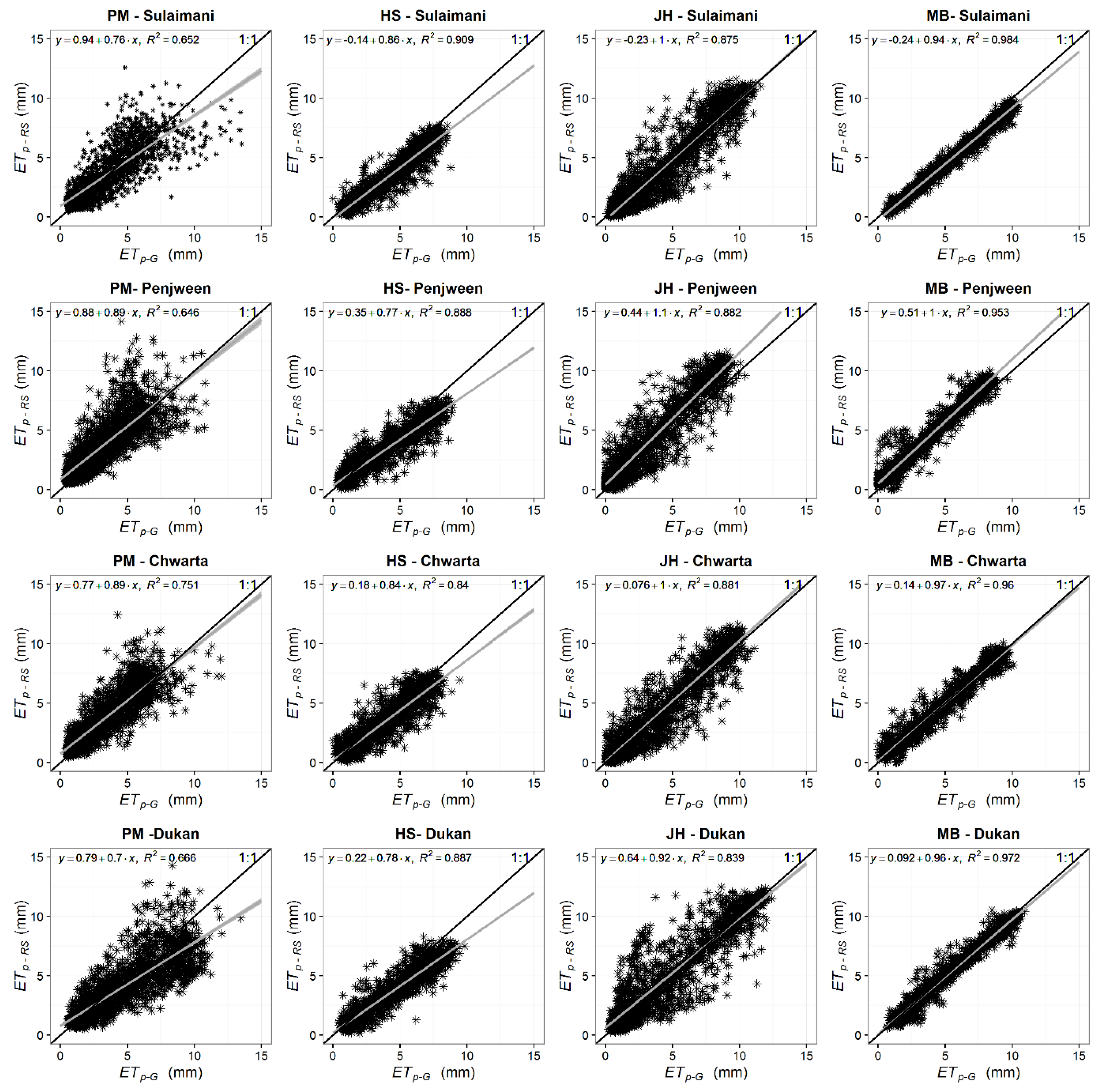
3.3. Cross-Comparison of the ETₒ Methods
4. Discussion
5. Conclusions
Supplementary Materials
Acknowledgments
Author Contributions
Conflicts of Interest
References
- Zhao, L.; Xia, J.; Xu, C.-Y.; Wang, Z.; Sobkowiak, L.; Long, C. Evapotranspiration estimation methods in hydrological models. J. Geogr. Sci. 2013, 23, 359–369. [Google Scholar] [CrossRef]
- Nikam, B.R.; Kumar, P.; Garg, V.; Thakur, P.K.; Aggarwal, S.P. Comparative evaluation of different potential evapotranspiration estimation approaches. Int. J. Res. Eng. Technol. 2014, 3, 543–552. [Google Scholar]
- Pilgrim, D.H.; Chapman, T.G.; Doran, D.G. Problems of rainfall-runoff modelling in arid and semiarid regions. Hydrol. Sci. J. 1988, 33, 379–400. [Google Scholar] [CrossRef]
- Chahine, M. The hydrological cycle and its influence on climate. Nat. Publ. Group 1992, 359, 373–379. [Google Scholar] [CrossRef]
- Shaw, E.M. Hydrology in Practice; Chapman & Hall London: New York, NY, USA, 1994. [Google Scholar]
- Strugnell, N.; Lucht, W.; Schaaf, C. A global albedo data set derived from AVHRR data for use in climate simulations. Geophys. Res. Lett. 2001, 28, 191–194. [Google Scholar] [CrossRef]
- López-Urrea, R.; de Santa Olalla, F.M.; Fabeiro, C.; Moratalla, A. Testing evapotranspiration equations using lysimeter observations in a semiarid climate. Agric. Water Manag. 2006, 85, 15–26. [Google Scholar] [CrossRef]
- Beaumont, P.; Blake, G.; Wagstaff, J.M. The Middle East: A Geographical Study, 2nd ed.; Routledge: Oxford, UK, 2016. [Google Scholar]
- Allen, R.G.; Pereira, L.S.; Raes, D.; Smith, M. Crop Evapotranspiration-Guidelines for Computing Crop Water Requirements-FAO Irrigation and Drainage Paper 56; FAO: Rome, Italy, 1998; pp. 1–15. [Google Scholar]
- Tabari, H.; Aeini, A.; Talaee, P.H.; Some’e, B.S. Spatial distribution and temporal variation of reference evapotranspiration in arid and semi-arid regions of Iran. Hydrol. Process. 2012, 26, 500–512. [Google Scholar] [CrossRef]
- Herath, I.K.; Ye, X.; Wang, J.; Bouraima, A.-K. Spatial and temporal variability of reference evapotranspiration and influenced meteorological factors in the Jialing River Basin, China. Theor. Appl. Climatol. 2017, 129, 1–12. [Google Scholar]
- Alemayehu, T.; van Griensven, A.; Senay, G.B.; Bauwens, W. Evapotranspiration Mapping in a Heterogeneous Landscape Using Remote Sensing and Global Weather Datasets: Application to the Mara Basin, East Africa. Remote Sens. 2017, 9, 390. [Google Scholar] [CrossRef]
- Najmaddin, P.M.; Whelan, M.J.; Balzter, H. Application of Satellite-Based Precipitation Estimates to Rainfall-Runoff Modelling in a Data-Scarce Semi-Arid Catchment. Climate 2017, 5, 32. [Google Scholar] [CrossRef]
- Wilby, R.L.; Yu, D. Rainfall and temperature estimation for a data sparse region. Hydrol. Earth Syst. Sci. 2013, 17, 3937–3955. [Google Scholar] [CrossRef]
- Lee, Y.R.; Yoo, J.M.; Jeong, M.J.; Won, Y.I.; Hearty, T.; Shin, D.B. Comparison between MODIS and AIRS/AMSU satellite-derived surface skin temperatures. Atmos. Meas. Tech. 2013, 6, 445–455. [Google Scholar] [CrossRef]
- AIRS Science Team/Joao Texeira. Aqua AIRS Level 3 Daily Standard Physical Retrieval (AIRS + AMSU), Version 006; NASA Goddard Earth Science Data and Information Services Center (GES DISC): Greenbelt, MD, USA, 2013. Available online: https://disc.gsfc.nasa.gov/datasets/AIRX3STD_006/summary (accessed on 18 April 2016).
- Meier, D.C.; Fiorino, S.T. Application of Satellite- and NWP-Derived Wind Profiles to Military Airdrop Operations. J. Appl. Meteorol. Climatol. 2016, 55, 2197–2209. [Google Scholar] [CrossRef]
- Zhang, Y.Q.; Chiew, F.H.S.; Zhang, L.; Leuning, R.; Cleugh, H.A. Estimating catchment evaporation and runoff using MODIS leaf area index and the Penman-Monteith equation. Water Resour. Res. 2008, 44, 1–15. [Google Scholar] [CrossRef]
- Mu, Q.; Jones, L.A.; Kimball, J.S.; McDonald, K.C.; Running, S.W. Satellite assessment of land surface evapotranspiration for the pan-Arctic domain. Water Resour. Res. 2009, 45. [Google Scholar] [CrossRef]
- Rahimi, S.; Gholami Sefidkouhi, M.A.; Raeini-Sarjaz, M.; Valipour, M. Estimation of actual evapotranspiration by using MODIS images (a case study: Tajan catchment). Arch. Agron. Soil Sci. 2014, 61, 695–709. [Google Scholar] [CrossRef]
- Peng, J.; Loew, A.; Chen, X.; Ma, Y.; Su, Z. Comparison of satellite-based evapotranspiration estimates over the Tibetan Plateau. Hydrol. Earth Syst. Sci. 2016, 20, 3167–3182. [Google Scholar] [CrossRef]
- Mu, Q.; Zhao, M.; Running, S.W. Brief Introduction to MODIS Evapotranspiration Data Set (MOD16); University of Montana: Missoula, MT, USA, 2014; pp. 1–4. [Google Scholar]
- Global Modeling and Assimilation Office (GMAO). MERRA-2 tavgM_2d_flx_Nx: 2d, Monthly Mean, Time-Averaged, Single-Level, Assimilation, Surface Flux Diagnostics V5.12.4; Goddard Earth Sciences Data and Information Services Center (GES DISC): Greenbelt, MD, USA, 2015. [CrossRef]
- McNally, A. FLDAS Noah Land Surface Model L4 daily 0.1 × 0.1 Degree for Southern Africa (GDAS and RFE2) V001; NASA/GSFC/HSL: Greenbelt, MD, USA, 2016. Available online: https://disc.gsfc.nasa.gov/datacollection/FLDAS_NOAH01_A_SA_D_001.html (accessed on 25 January 2017).
- Jasinski, M. NCA-LDAS Noah-3.3 Land Surface Model L4 Daily 0.125 × 0.125 Degree V001; NASA/GSFC/HSL: Greenbelt, MD, USA, 2016. Available online: https://disc.sci.gsfc.nasa.gov/uui/datasets/NCALDAS_NOAH0125_D_001/summary (accessed on 24 January 2017).
- Qader, S.H.; Dash, J.; Atkinson, P.M.; Galiano, V.R. Classification of Vegetation Type in Iraq Using Satellite-Based Phenological Parameters. IEEE J. 2016, 43, 1–23. [Google Scholar] [CrossRef]
- Food and Agriculture Organization (FAO). Country Pasture/forage Resource Profiles. Rome, Italy, 2016. Available online: http://www.fao.org/geonetwork/srv/en/main.home?uuid=ba4526fd-cdbf-4028-a1bd-5a559c4bff38 (accessed on 9 January 2016).
- Zaitchik, B.F.; Evans, J.P.; Smith, R.B. Regional Impact of an Elevated Heat Source: The Zagros Plateau of Iran. J. Clim. 2007, 20, 4133–4146. [Google Scholar] [CrossRef]
- R Core Team. R: A Language and Environment for Statistical Computing; R Foundation for Statistical Computing: Vienna, Austria, 2014. [Google Scholar]
- McKinley, S.; Levine, M. Cubic spline interpolation. Coll. Redw. 1998, 45, 1049–1060. [Google Scholar]
- Rienecker, M.M.; Suarez, M.J.; Gelaro, R.; Todling, R.; Bacmeister, J.; Liu, E.; Bosilovich, M.G.; Schubert, S.D.; Takacs, L.; Kim, G.-K.; et al. MERRA: NASA’s Modern-Era Retrospective Analysis for Research and Applications. J. Clim. 2011, 24, 3624–3648. [Google Scholar] [CrossRef]
- Tabari, H.; Grismer, M.E.; Trajkovic, S. Comparative analysis of 31 reference evapotranspiration methods under humid conditions. Irrig. Sci. 2011, 31, 107–117. [Google Scholar] [CrossRef]
- McMahon, T.A.; Peel, M.C.; Lowe, L.; Srikanthan, R.; McVicar, T.R. Estimating actual, potential, reference crop and pan evaporation using standard meteorological data: A pragmatic synthesis. Hydrol. Earth Syst. Sci. 2013, 17, 1331–1363. [Google Scholar] [CrossRef]
- Brutsaert, W. Evaporation into the Atmosphere: Theory, History and Applications; Springer Science & Business Media: Berlin/Heidiberg, Germany, 1982; Volume 1. [Google Scholar]
- Poyen, E.F.B.; Ghosh, A.K. Review on Different Evapotranspiration Empirical Equations. IJAEMS Open Access Int. J. Infogain Publ. 2016, 2, 17–24. [Google Scholar]
- Jensen, M.E.; Burman, R.D.; Allen, R.G. Evapotranspiration and Irrigation Water Requirements; ASCE: New York, NY, USA, 1990; p. 360. [Google Scholar]
- Thornthwaite, C.W. An approach toward a rational classification of climate. Geogr. Rev. 1948, 38, 55–94. [Google Scholar] [CrossRef]
- Hargreaves, G.H.; Samani, Z.A. Reference crop evapotranspiration from ambient air temperature. In Proceedings of the Winter Meeting of the American Society of Agricultural Engineers, Chicago, IL, USA, 17 December 1985. paper no. 85–2517. [Google Scholar]
- Jensen, M.E.; Haise, H.R. Estimating evapotranspiration from solar radiation. In Proceedings of the American Society of Civil Engineers. J. Irrig. Drain. Div. 1963, 89, 15–41. [Google Scholar]
- McGuinness, J.L.; Bordne, E.F. A comparison of lysimeter-derived potential evapotranspiration with computed values. In Technical Bulletin 1452, Agricultural Research Service; US Department of Agriculture: Washington, DC, USA, 1972. [Google Scholar]
- Priestley, C.; Taylor, R. On the assessment of surface heat flux and evaporation using large-scale parameters. Mon. Weather Rev. 1972, 100, 81–92. [Google Scholar] [CrossRef]
- Gong, L.; Xu, C.-Y.; Chen, D.; Halldin, S.; Chen, Y.D. Sensitivity of the Penman–Monteith reference evapotranspiration to key climatic variables in the Changjiang (Yangtze River) basin. J. Hydrol. 2006, 329, 620–629. [Google Scholar] [CrossRef]
- Pandey, P.K.; Dabral, P.P.; Pandey, V. Evaluation of reference evapotranspiration methods for the northeastern region of India. Int. Soil Water Conserv. Res. 2016, 4, 52–63. [Google Scholar] [CrossRef]
- Sabziparvar, A.-A.; Tabari, H.; Aeini, A.; Ghafouri, M. Evaluation of Class A Pan Coefficient Models for Estimation of Reference Crop Evapotranspiration in Cold Semi-Arid and Warm Arid Climates. Water Resour. Manag. 2009, 24, 909–920. [Google Scholar] [CrossRef]
- Tabari, H.; Kisi, O.; Ezani, A.; Hosseinzadeh Talaee, P. SVM, ANFIS, regression and climate based models for reference evapotranspiration modeling using limited climatic data in a semi-arid highland environment. J. Hydrol. 2012, 444–445, 78–89. [Google Scholar] [CrossRef]
- WeiB, M.; Menzel, L. A global comparison of four potential evapotranspiration equations and their relevance to stream flow modelling in semi-arid environments. Adv. Geosci. 2008, 18, 15–23. [Google Scholar]
- Tabari, H. Evaluation of Reference Crop Evapotranspiration Equations in Various Climates. Water Resour. Manag. 2009, 24, 2311–2337. [Google Scholar] [CrossRef]
- Oudin, L.; Hervieu, F.; Michel, C.; Perrin, C.; Andréassian, V.; Anctil, F.; Loumagne, C. Which potential evapotranspiration input for a lumped rainfall–runoff model? J. Hydrol. 2005, 303, 290–306. [Google Scholar] [CrossRef]
- Allen, R.; Smith, M.; Pereira, L.; Raes, D.; Wright, J. Revised FAO Procedures for Calculating Evapotranspiration–Irrigation and Drainage Paper No. 56 with Testing in Idaho. Bridges 2000, 1–10. [Google Scholar] [CrossRef]
- Ferguson, C.R.; Wood, E.F. An Evaluation of Satellite Remote Sensing Data Products for Land Surface Hydrology: Atmospheric Infrared Sounder. J. Hydrometeorol. 2010, 11, 1234–1262. [Google Scholar] [CrossRef]
- Temesgen, B.; Eching, S.; Davidoff, B.; Frame, K. Comparison of some reference evapotranspiration equations for California. J. Irrig. Drain. Eng. 2005, 131, 73–84. [Google Scholar] [CrossRef]
- Bo, H.; Yue-Si, W.; Guang-Ren, L. Properties of Solar Radiation over Chinese Arid and Semi-Arid Areas. Atmos. Ocean. Sci. Lett. 2009, 2, 183–187. [Google Scholar] [CrossRef]
- Baigorria, G.A.; Villegas, E.B.; Trebejo, I.; Carlos, J.F.; Quiroz, R. Atmospheric transmissivity: Distribution and empirical estimation around the central Andes. Int. J. Climatol. 2004, 24, 1121–1136. [Google Scholar] [CrossRef]
- Jensen, D.; Hargreaves, G.; Temesgen, B.; Allen, R. Computation of ETo under nonideal conditions. J. Irrig. Drain. Eng. 1997, 123, 394–400. [Google Scholar] [CrossRef]
- Kashyap, P.; Panda, R. Evaluation of evapotranspiration estimation methods and development of crop-coefficients for potato crop in a sub-humid region. Agric. Water Manag. 2001, 50, 9–25. [Google Scholar] [CrossRef]
- Yoder, R.; Odhiambo, L.; Wright, W. Evaluation of methods for estimating daily reference crop evapotranspiration at a site in the humid southeast United States. Appl. Eng. Agric. 2005, 21, 197–202. [Google Scholar] [CrossRef]
- Trajkovic, S. Hargreaves versus Penman-Monteith under humid conditions. J. Irrig. Drain. Eng. 2007, 133, 38–42. [Google Scholar] [CrossRef]
- Landeras, G.; Ortiz-Barredo, A.; López, J.J. Comparison of artificial neural network models and empirical and semi-empirical equations for daily reference evapotranspiration estimation in the Basque Country (Northern Spain). Agric. Water Manag. 2008, 95, 553–565. [Google Scholar] [CrossRef]
- Tabari, H.; Talaee, P.H. Local Calibration of the Hargreaves and Priestley-Taylor Equations for Estimating Reference Evapotranspiration in Arid and Cold Climates of Iran Based on the Penman-Monteith Model. J. Hydrol. Eng. 2011, 16, 837–845. [Google Scholar] [CrossRef]







| Stations | Elevation (m) | Mean Daily Temperature (°C) | Relative Humidity (%) | Rainfall (mm year−1) |
|---|---|---|---|---|
| Dukan | 650 | 23.1 | 44.2 | 586.3 |
| Sulaimani | 885 | 20.1 | 45.2 | 646.7 |
| Chwarta | 1128 | 19.6 | 46.1 | 693.2 |
| Penjween | 1300 | 14 | 57.1 | 951 |
| Station | Variable | RMSE | BIAS (%) | R |
|---|---|---|---|---|
| Sulaimani | 3.5 | −14.2 | 0.97 | |
| RH % | 12.7 | −0.6 | 0.76 | |
| 4.5 | 16.1 | 0.38 | ||
| 1.4 | 27.8 | 0.03 | ||
| Penjween | 5.1 | 28.4 | 0.94 | |
| RH % | 13.8 | −13.4 | 0.72 | |
| 4.3 | 10.2 | 0.45 | ||
| 1.7 | 34.8 | 0.02 | ||
| Chwarta | 3.3 | −0.1 | 0.94 | |
| RH % | 24 | −26 | 0.55 | |
| 4.2 | 9.1 | 0.44 | ||
| 1.5 | 24.5 | 0.03 | ||
| Dukan | 3.2 | −2.8 | 0.95 | |
| RH % | 12.5 | −7.3 | 0.80 | |
| 5.1 | 21.8 | 0.40 | ||
| 1.4 | −47.7 | 0.03 |
| Station | Methods | RMSE (mm day−1) | BIAS (%) | R |
|---|---|---|---|---|
| Sulaimani | PM | 0.99 | 2.5 | 0.80 |
| HS | 1.26 | −17 | 0.95 | |
| JH | 0.82 | −3.2 | 0.93 | |
| MB | 0.65 | −10.5 | 0.99 | |
| Penjween | PM | 1.59 | 17.7 | 0.81 |
| HS | 1 | −13 | 0.94 | |
| JH | 1.46 | 23.2 | 0.93 | |
| MB | 0.92 | 18.2 | 0.97 | |
| Chwarta | PM | 1.26 | 12.8 | 0.86 |
| HS | 0.95 | −10 | 0.92 | |
| JH | 1.19 | 3.7 | 0.93 | |
| MB | 0.57 | 0.3 | 0.97 | |
| Dukan | PM | 1.7 | −13 | 0.81 |
| HS | 1.1 | −19.9 | 0.94 | |
| JH | 1.56 | 5.1 | 0.91 | |
| MB | 0.52 | −1.8 | 0.98 |
| Station | Methods | RMSE (mm day−1) | BIAS (%) | R |
|---|---|---|---|---|
| Sulaimani | HS | 1.3 | −9 | 0.83 |
| JH | 2.1 | 21.4 | 0.83 | |
| MB | 1.6 | 24.5 | 0.85 | |
| Penjween | HS | 1 | −1.9 | 0.88 |
| JH | 2.1 | 37 | 0.88 | |
| MB | 1.7 | 40 | 0.91 | |
| Chwarta | HS | 0.98 | −0.6 | 0.89 |
| JH | 2 | 33.3 | 0.90 | |
| MB | 1.6 | 37 | 0.92 | |
| Dukan | HS | 1.2 | −2.6 | 0.89 |
| JH | 1.8 | 11.2 | 0.89 | |
| MB | 1.81 | 8.6 | 0.92 |
© 2017 by the authors. Licensee MDPI, Basel, Switzerland. This article is an open access article distributed under the terms and conditions of the Creative Commons Attribution (CC BY) license (http://creativecommons.org/licenses/by/4.0/).
Share and Cite
Najmaddin, P.M.; Whelan, M.J.; Balzter, H. Estimating Daily Reference Evapotranspiration in a Semi-Arid Region Using Remote Sensing Data. Remote Sens. 2017, 9, 779. https://doi.org/10.3390/rs9080779
Najmaddin PM, Whelan MJ, Balzter H. Estimating Daily Reference Evapotranspiration in a Semi-Arid Region Using Remote Sensing Data. Remote Sensing. 2017; 9(8):779. https://doi.org/10.3390/rs9080779
Chicago/Turabian StyleNajmaddin, Peshawa M., Mick J. Whelan, and Heiko Balzter. 2017. "Estimating Daily Reference Evapotranspiration in a Semi-Arid Region Using Remote Sensing Data" Remote Sensing 9, no. 8: 779. https://doi.org/10.3390/rs9080779
APA StyleNajmaddin, P. M., Whelan, M. J., & Balzter, H. (2017). Estimating Daily Reference Evapotranspiration in a Semi-Arid Region Using Remote Sensing Data. Remote Sensing, 9(8), 779. https://doi.org/10.3390/rs9080779

