Four-Component Model-Based Decomposition for Ship Targets Using PolSAR Data
Abstract
:1. Introduction
2. Four-Component Scattering Model
2.1. Coherency Matrix
2.2. Cross-Polarized Scattering Model
2.3. Volume Scattering Model
2.4. Double-Bounce and Surface Scattering Model
3. Decomposition Method
4. Experimental Results and Discussion
4.1. SAR Data and Comparative Methods
- S4R: a four-component decomposition method developed by Sato et al. [21] that incorporates the matrix rotation and extended volume scattering model. The matrix rotation leads to and minimizes the cross-polarized power () generated by dipole scattering plus dihedral scattering. The extended volume scattering model is used to account for the HV scattering power generated by the oriented structures.
- C4G: a four-component decomposition method proposed by Chen [24] that generalizes the odd- and double-bounce scattering models to fit the cross-polarization and off-diagonal terms by separating their independent orientation angles. A general decomposition framework is proposed that utilizes all elements of a coherency matrix. The residual minimization criterion is used for model inversion.
- IC4G: The original C4G has nine equations (refer to Equation (27) in [24]), but ten unknown parameters if the imaginary part of is considered. To make the nonlinear least squares optimization problem have a determined solution, Chen et al. neglected the imaginary part of considering that can be approximated as a real value for most natural surfaces. However, as mentioned earlier, the imaginary part of should be considered to improve the decomposition accuracy. In order to satisfy a determined equation system when considering the imaginary part of , an improved version is herein proposed that contains the additional constraint that equals the total power of four components. With this additional equation, we can obtain all of those ten parameters following the original decomposition framework.
- P4C: the proposed four-component decomposition method for ships. It has the ability to discriminate HV scattering power generated by oriented scatterers from that by volume scatterers to mitigate the volume scattering power overestimation. It also emphasizes that the reflection asymmetry term should exist in all cases and takes both real and imaginary parts of and of the observed coherency matrix into account to measure the reflection asymmetry completely.
4.2. Analysis of the Ship Scattering Mechanism
4.3. Reflection Asymmetry Description
4.4. Ship Detection by SM-Based Metrics
5. Conclusions
- (1)
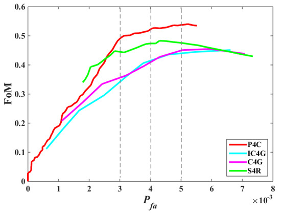
- The comprehensive comparative experiments demonstrate that the proposed cross-polarized scattering component can mitigate the overestimation of volume scattering effectively by discriminating the scattering power generated by the oriented scatterers, such as dihedral corners and oriented wires from volume scattering power. This cross-polarized scattering component can also completely describe the reflection asymmetry by accounting for both the real and imaginary parts of the observed coherency matrix to retain the information lost by the existing helix matrix-based methods. This characteristics makes the proposed method capable of presenting a more accurate interpretation of the SMs of ships.
- (2)
- Based on the proposed decomposition method and an analysis of the difference of SMs between ships and sea clutter, a novel ship detection metric defined as is proposed. The experiments prove that the proposed ship detection metric can effectively enhance the signal-to-clutter ratio (SCR) and improve the detection performance. The average gain evaluated by pixel-level for the existing methods is more than compared to S4R and even more than compared to IC4G and C4G.
Acknowledgments
Author Contributions
Conflicts of Interest
References
- Brusch, S.; Lehner, S.; Fritz, T.; Soccorsi, M.; Soloviev, A.; van Schie, B. Ship surveillance with TerraSAR-X. IEEE Trans. Geosci. Remote Sens. 2011, 49, 1092–1103. [Google Scholar] [CrossRef]
- Crisp, D.J. The State-of-the-art in Ship Detection in Synthetic Aperture Radar Imagery; Defence Science and Technology Organisation Salisbury (Australia) Info Sciences Lab: Canberra, Astralia, 2004. [Google Scholar]
- El-Darymli, K.; McGuire, P.; Power, D.; Moloney, C. Target detection in synthetic aperture radar imagery: A state-of-the-art survey. J. Appl. Remote Sens. 2013, 7, 071598. [Google Scholar] [CrossRef]
- Stasolla, M.; Mallorquí, J.J.; Margarit, G.; Santamaria, C.; Walker, N. A Comparative Study of Operational Vessel Detectors for Maritime Surveillance Using Satellite-Borne Synthetic Aperture Radar. IEEE J. Sel. Top. Appl. Earth Obs. Remote Sens. 2016, 9, 2687–2701. [Google Scholar] [CrossRef]
- Margarit, G.; Tabasco, A. Ship Classification in Single-Pol SAR Images Based on Fuzzy Logic. IEEE Trans. Geosci. Remote Sens. 2011, 49, 3129–3138. [Google Scholar] [CrossRef]
- Zhang, H.; Tian, X.; Wang, C.; Wu, F.; Zhang, B. Merchant vessel classification based on scattering component analysis for COSMO-SkyMed SAR images. IEEE Geosci. Remote Sens. Lett. 2013, 10, 1275–1279. [Google Scholar] [CrossRef]
- Xing, X.; Ji, K.; Zou, H.; Chen, W.; Sun, J. Ship Classification in TerraSAR-X Images With Feature Space Based Sparse Representation. IEEE Geosci. Remote Sens. Lett. 2013, 10, 1562–1566. [Google Scholar] [CrossRef]
- Lang, H.; Zhang, J.; Zhang, X.; Meng, J. Ship Classification in SAR Image by Joint Feature and Classifier Selection. IEEE Geosci. Remote Sens. Lett. 2016, 13, 212–216. [Google Scholar] [CrossRef]
- Novak, L.M.; Irving, W.W. Optimal Polarimetric Processing for Enhanced Target Detection. IEEE Trans. Aerosp. Electron. Syst. 1993, 29, 234–244. [Google Scholar] [CrossRef]
- Chen, J.; Chen, Y.; Yang, J. Ship detection using polarization cross-entropy. IEEE Geosci. Remote Sens. Lett. 2009, 6, 723–727. [Google Scholar] [CrossRef]
- Wang, N.; Shi, G.; Liu, L.; Zhao, L.; Kuang, G. Polarimetric SAR target detection using the reflection symmetry. IEEE Geosci. Remote Sens. Lett. 2012, 9, 1104–1108. [Google Scholar] [CrossRef]
- Marino, A. A notch filter for ship detection with polarimetric SAR data. IEEE J. Sel. Top. Appl. Earth Obs. Remote Sens. 2013, 6, 1219–1232. [Google Scholar] [CrossRef]
- Wang, J.; Huang, W.; Yang, J.; Chen, P.; Zhang, H. Polarization scattering characteristics of some ships using polarimetric SAR images. In Proceedings of the SPIE Remote Sensing. International Society for Optics and Photonics, Prague, Czech Republic, 19 September 2011; p. 81790W. [Google Scholar]
- Freeman, A.; Durden, S.L. A three-component scattering model for polarimetric SAR data. IEEE Trans. Geosci. Remote Sens. 1998, 36, 963–973. [Google Scholar] [CrossRef]
- Sugimoto, M.; Ouchi, K.; Nakamura, Y. On the novel use of model-based decomposition in SAR polarimetry for target detection on the sea. Remote Sens. Lett. 2013, 4, 843–852. [Google Scholar] [CrossRef]
- Yamaguchi, Y.; Sato, A.; Boerner, W.M.; Sato, R.; Yamada, H. Four-component scattering power decomposition with rotation of coherency matrix. IEEE Trans. Geosci. Remote Sens. 2011, 49, 2251–2258. [Google Scholar] [CrossRef]
- Yamaguchi, Y.; Moriyama, T.; Ishido, M.; Yamada, H. Four-component scattering model for polarimetric SAR image decomposition. IEEE Trans. Geosci. Remote Sens. 2005, 43, 1699–1706. [Google Scholar] [CrossRef]
- Moriyama, T.; Uratsuka, S.; Umehara, T.; Maeno, H. Polarimetric SAR image analysis using model fit for urban structures. IEICE Trans. Commun. 2005, 88, 1234–1243. [Google Scholar] [CrossRef]
- Chen, S.W.; Ohki, M.; Shimada, M.; Sato, M. Deorientation effect investigation for model-based decomposition over oriented built-up areas. IEEE Geosci. Remote Sens. Lett. 2013, 10, 273–277. [Google Scholar] [CrossRef]
- Chen, S.W.; Li, Y.Z.; Wang, X.S.; Xiao, S.P.; Sato, M. Modeling and interpretation of scattering mechanisms in polarimetric synthetic aperture radar: Advances and perspectives. IEEE Signal Process. Mag. 2014, 31, 79–89. [Google Scholar] [CrossRef]
- Sato, A.; Yamaguchi, Y.; Singh, G.; Park, S.E. Four-component scattering power decomposition with extended volume scattering model. IEEE Geosci. Remote Sens. Lett. 2012, 9, 166–170. [Google Scholar] [CrossRef]
- Chen, S.W.; Wang, X.S.; Li, Y.Z.; Sato, M. Adaptive model-based polarimetric decomposition using PolInSAR coherence. IEEE Trans. Geosci. Remote Sens. 2014, 52, 1705–1718. [Google Scholar] [CrossRef]
- Xiang, D.; Ban, Y.; Su, Y. Model-Based Decomposition With Cross Scattering for Polarimetric SAR Urban Areas. IEEE Geosci. Remote Sens. Lett. 2015, 12, 2496–2500. [Google Scholar] [CrossRef]
- Chen, S.W.; Wang, X.S.; Xiao, S.P.; Sato, M. General polarimetric model-based decomposition for coherency matrix. IEEE Trans. Geosci. Remote Sens. 2014, 52, 1843–1855. [Google Scholar] [CrossRef]
- An, W.; Cui, Y.; Yang, J. Three-component model-based decomposition for polarimetric SAR data. IEEE Trans. Geosci. Remote Sens. 2010, 48, 2732–2739. [Google Scholar]
- Yamaguchi, Y.; Yajima, Y.; Yamada, H. A four-component decomposition of POLSAR images based on the coherency matrix. IEEE Geosci. Remote Sens. Lett. 2006, 3, 292–296. [Google Scholar] [CrossRef]
- Nunziata, F.; Migliaccio, M.; Brown, C.E. Reflection symmetry for polarimetric observation of man-made metallic targets at sea. IEEE J. Ocean. Eng. 2012, 37, 384–394. [Google Scholar] [CrossRef]
- Cui, S.; Schwarz, G.; Datcu, M. A Comparative Study of Statistical Models for Multilook SAR Images. IEEE Geosci. Remote Sens. Lett. 2014, 11, 1752–1756. [Google Scholar]
- Krylov, V.A.; Moser, G.; Serpico, S.B.; Zerubia, J. On the method of logarithmic cumulants for parametric probability density function estimation. IEEE Trans. Image Process. 2013, 22, 3791–3806. [Google Scholar] [CrossRef] [PubMed]
- Kullback, S. Letter to the editor: The Kullback-Leibler distance. Am. Stat. 1987, 41, 340–341. [Google Scholar]
- Fawcett, T. An introduction to ROC analysis. Pattern Recognit. Lett. 2006, 27, 861–874. [Google Scholar] [CrossRef]








| Ships | Sea | ||||||||
|---|---|---|---|---|---|---|---|---|---|
| Cross or Helix | 17.52% | 4.18% | 4.09% | 3.96% | 2.61% | 0.25% | 0.28% | 0.29% | |
| Double-bounce | 18.11% | 25.04% | 27.54% | 21.16% | 2.35% | 5.34% | 5.36% | 2.33% | |
| Surface | 50.33% | 49.15% | 43.89% | 39.62% | 93.51% | 91.63% | 91.36% | 93.47% | |
| Volume | 14.04% | 21.63% | 24.48% | 35.26% | 1.54% | 2.78% | 3.00% | 3.91% | |
| Power Difference | 0.00% | −0.08% | −0.15% | 0.08% | 0.00% | 0.41% | 0.41% | 0.42% | |
| 0.494 | 0.343 | 0.353 | 0.443 | |
| 0.525 | 0.406 | 0.396 | 0.474 | |
| 0.537 | 0.445 | 0.451 | 0.475 | |
| Average value | 0.519 | 0.398 | 0.400 | 0.464 |
© 2017 by the authors. Licensee MDPI, Basel, Switzerland. This article is an open access article distributed under the terms and conditions of the Creative Commons Attribution (CC BY) license (http://creativecommons.org/licenses/by/4.0/).
Share and Cite
Xi, Y.; Lang, H.; Tao, Y.; Huang, L.; Pei, Z. Four-Component Model-Based Decomposition for Ship Targets Using PolSAR Data. Remote Sens. 2017, 9, 621. https://doi.org/10.3390/rs9060621
Xi Y, Lang H, Tao Y, Huang L, Pei Z. Four-Component Model-Based Decomposition for Ship Targets Using PolSAR Data. Remote Sensing. 2017; 9(6):621. https://doi.org/10.3390/rs9060621
Chicago/Turabian StyleXi, Yuyang, Haitao Lang, Yunhong Tao, Lin Huang, and Zijun Pei. 2017. "Four-Component Model-Based Decomposition for Ship Targets Using PolSAR Data" Remote Sensing 9, no. 6: 621. https://doi.org/10.3390/rs9060621
APA StyleXi, Y., Lang, H., Tao, Y., Huang, L., & Pei, Z. (2017). Four-Component Model-Based Decomposition for Ship Targets Using PolSAR Data. Remote Sensing, 9(6), 621. https://doi.org/10.3390/rs9060621
