Doppler Spectrum-Based NRCS Estimation Method for Low-Scattering Areas in Ocean SAR Images
Abstract
:1. Introduction
2. Spectral-Based NRCS Estimation Method for Low-Scattering Areas in SAR Images
2.1. The Principle of the Proposed Method
2.1.1. Analysis of Doppler Spectrum Composition
2.1.2. Methods and Solutions to Estimate the NRCS from the Doppler Spectrum
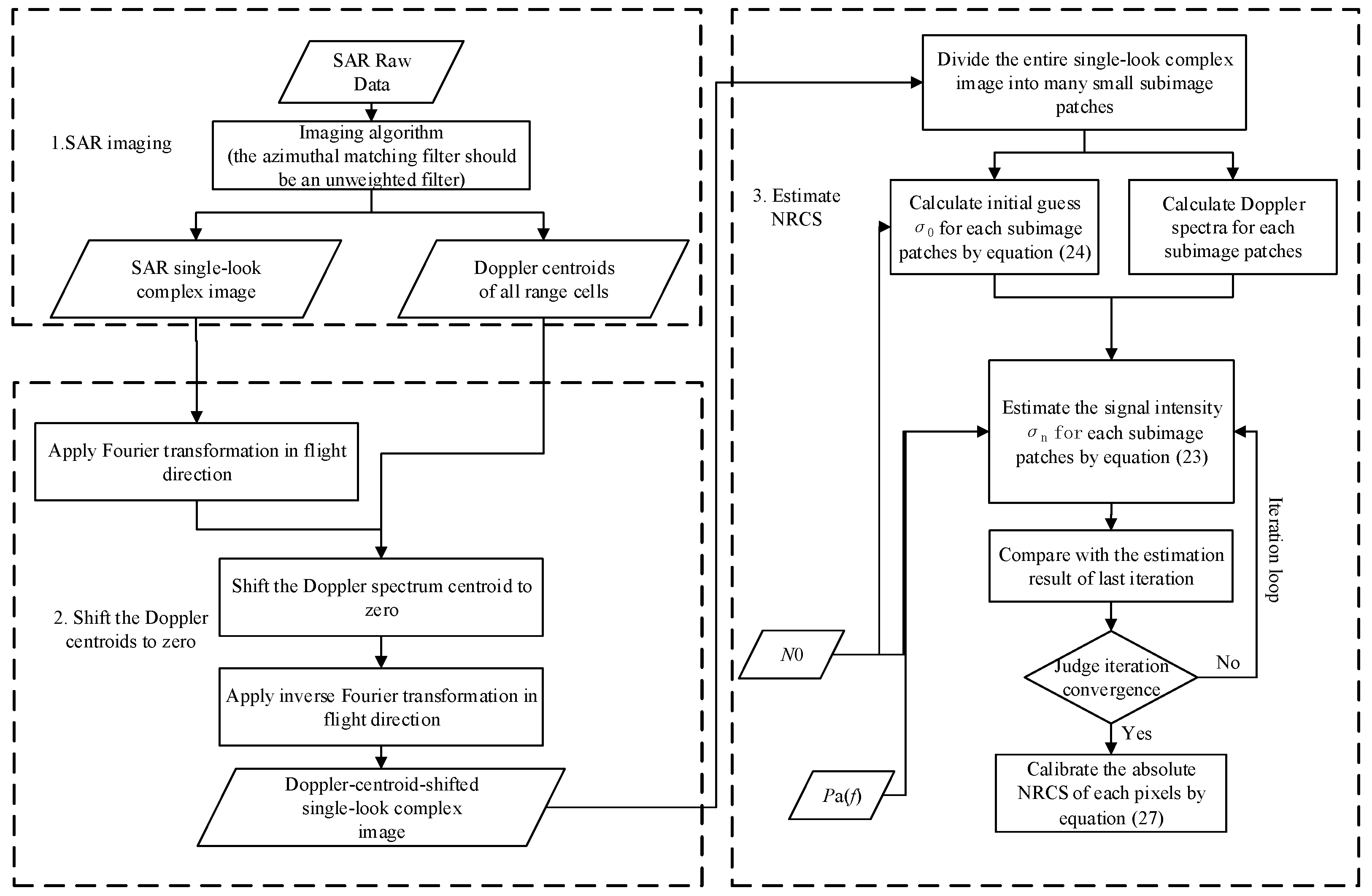
2.2. Algorithm Flow Chart and Summary
3. Validation of the Proposed Estimation Method
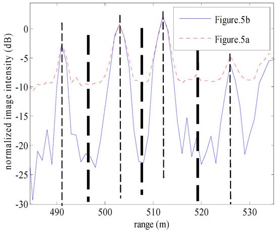
3.1. Example 1: Qualitative Analysis for the Estimation Method in Low NRCS
3.2. Example 2: Quantitative Analysis for the Estimation Method in Low NRCS
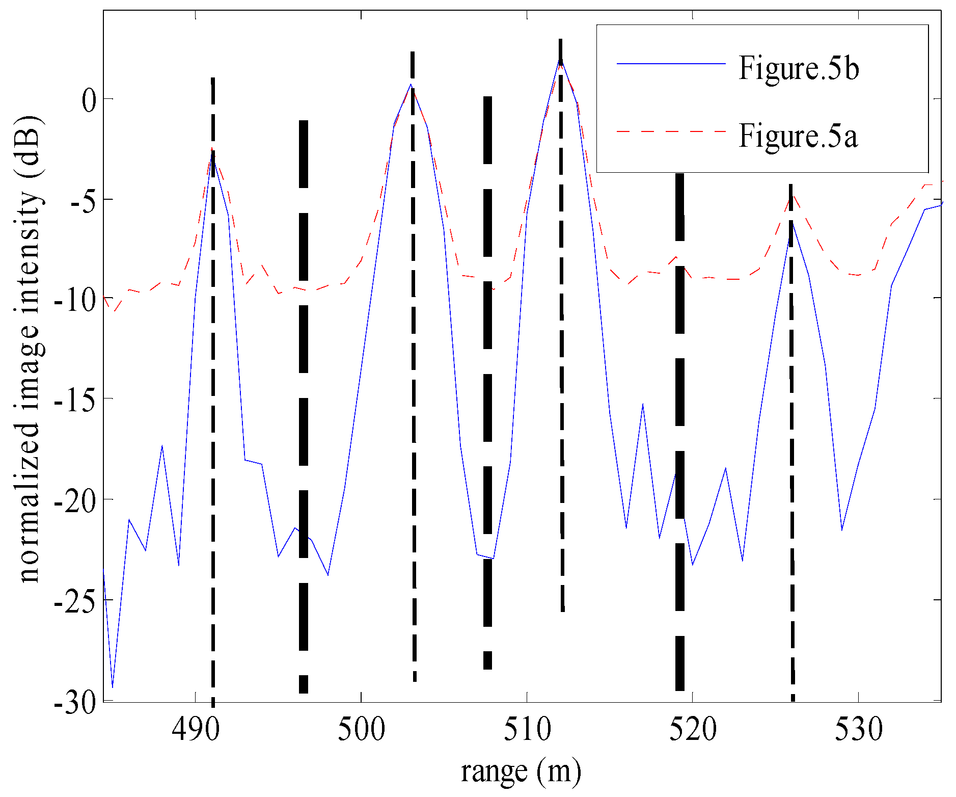
3.3. Example 3: Validation of the Azimuthal Ambiguity Analysis
4. Discussion
The Comparative Simulation Analysis of Estimation Accuracy for Different NRCS Estimation Methods
5. Conclusions
Acknowledgments
Author Contributions
Conflicts of Interest
Appendix A. The Jacobian Matrix of the Derived Function
References
- Kerbaol, V.; Collard, F. SAR-derived coastal and marine applications: From research to operational products. IEEE J. Ocean. Eng. 2005, 30, 472–486. [Google Scholar] [CrossRef]
- Solberg, A.S.; Storvik, G.; Solberg, R.; Volden, E. Automatic detection of oil spills in ERS SAR images. IEEE Trans. Geosci. Remote Sens. 1999, 37, 1916–1924. [Google Scholar] [CrossRef]
- Wei, Z. Synthetic Aperture Radar Satellite; Sciences Press: Beijing, China, 2001. (In Chinese) [Google Scholar]
- Massonnet, D.; Souyris, J.-C. Imaging with Synthetic Aperture Radar; CRC Press: Boca Raton, FL, USA, 2008. [Google Scholar]
- Lukowski, T.; St-Jean, R.; Hawkins, R.; Draper, K.; Hamm, P.; Teany, L. Ers-1 SAR Calibration Studies: Preparation for Radarsat. In Proceedings of the International Geoscience and Remote Sensing Symposium, Better Understanding of Earth Environment, Tokyo, Japan, 18–21 August 1993.
- Lukowski, T.; Hawkins, R.; Moucha, R.; Khandelwal, T.; Neeson, I. Spaceborne SAR calibration studies: Ers-1. In Proceedings of the International Geoscience and Remote Sensing Symposium, Surface and Atmospheric Remote Sensing: Technologies, Data Analysis and Interpretation, Pasadena, CA, USA, 8–12 August 1994.
- Rosich, B.; Meadows, P. Absolute Calibration of ASAR Level 1 Products Generated with PF-ASAR; ESA Document; European Space Agency: Frascati, Italy, 2004. [Google Scholar]
- Laur, H.; Bally, P.; Meadows, P.; Sánchez, J.; Schättler, B.; Lopinto, E.; Esteban, D. ERS SAR Calibration: Derivation of σ0 in ESA ERS SAR PRI Products; ESA/ESRIN, ES-TN-RS-PM-HL09; European Space Agency/ESRIN: Frascati, Italy, 2003. [Google Scholar]
- Lavalle, M.; Wright, T. Absolute Radiometric and Polarimetric Calibration of Alos Palsar Products; European Space Agency: Paris, France, 2009. [Google Scholar]
- RADARSAT International. Radarsat-1 Data Product Specification; RADARSAT International: Richmond, BC, Canada, 2004. [Google Scholar]
- Cumming, I.G.; Wong, F.H. Digital Processing of Synthetic Aperture Radar Data; Artech House: London, UK, 2005. [Google Scholar]
- Zhang, X. Modern Signal Processing; Tsinghua University Press: Beijing, China, 2002. (In Chinese) [Google Scholar]
- Sage, A.P.; Melsa, J.L. Estimation Theory with Applications to Communications and Control; DTIC Document; McGraw-Hill Book Co.: New York, NY, USA, 1971. [Google Scholar]
- Gao, G. Statistical modeling of SAR images: A survey. Sensors 2010, 10, 775–795. [Google Scholar] [CrossRef] [PubMed]
- Bamler, R. Doppler frequency estimation and the cramer-rao bound. IEEE Trans. Geosci. Remote Sens. 1991, 29, 385–390. [Google Scholar] [CrossRef]
- Madsen, S.N. Estimating the Doppler centroid of SAR data. IEEE Trans. Aerosp. Electron. Syst. 1989, 25, 134–140. [Google Scholar] [CrossRef]
- Bamler, R.; Runge, H. Prf-ambiguity resolving by wavelength diversity. IEEE Trans. Geosci. Remote Sens. 1991, 29, 997–1003. [Google Scholar] [CrossRef]
- Wong, F.; Cumming, I.G. A combined SAR Doppler centroid estimation scheme based upon signal phase. IEEE Trans. Geosci. Remote Sens. 1996, 34, 696–707. [Google Scholar] [CrossRef]
- Chang, C.-Y.; Curlander, J.C. Application of the multiple PRF technique to resolve Doppler centroid estimation ambiguity for spaceborne SAR. IEEE Trans. Geosci. Remote Sens. 1992, 30, 941–949. [Google Scholar] [CrossRef]
- Chapron, B.; Collard, F.; Ardhuin, F. Direct measurements of ocean surface velocity from space: Interpretation and validation. J. Geophys. Res. Oceans 2005, 110, 691–706. [Google Scholar] [CrossRef]
- Hansen, M.W.; Collard, F.; Dagestad, K.; Johannessen, J.A.; Fabry, P.; Chapron, B. Retrieval of sea surface range velocities from envisat asar doppler centroid measurements. IEEE Trans. Geosci. Remote Sens. 2011, 49, 3582–3592. [Google Scholar] [CrossRef]
- Johannessen, J.A.; Chapron, B.; Collard, F.; Kudryavtsev, V.; Mouche, A.; Akimov, D.; Dagestad, K.F. Direct ocean surface velocity measurements from space: Improved quantitative interpretation of ENVISAT ASAR observations. Geophys. Res. Lett. 2008, 35, 113–130. [Google Scholar] [CrossRef]
- Wang, P.; Wang, X.; Chong, J.; Lu, Y. Optimal parameter estimation method of internal solitary waves in SAR images and the Cramér–Rao bound. IEEE Trans. Geosci. Remote Sens. 2016, 54, 3143–3150. [Google Scholar] [CrossRef]













| Satellite | Mode | NESZ (dB) |
|---|---|---|
| ERS-1/2 | −21 to −24 | |
| Envisat | Image | −20 to −22 |
| Wave | −20 to −22 | |
| Alternating Polarization | −19 to −22 | |
| Wide Swath | −21 to −26 | |
| Global Monitoring | −32 to −35 | |
| Radarsat-1 | <−21 | |
| Radarsat-2 | Standard | −31 |
| Fine | −28 | |
| Wide | −23 | |
| ScanSAR narrow | −23 | |
| ScanSAR wide | −23 | |
| JERS-1 | <−20.5 | |
| ALOS/PALSAR | Fine (Swath Width 70 km) | <−23 |
| Fine (Swath Width 60 km) | <−25 | |
| Polarimetry | <−29 | |
| ScanSAR | <−25 | |
| TerraSAR-X | Spotlight (HS) | −23 |
| Spotlight (LS) | −23 | |
| Stripmap | −22 | |
| ScanSAR | −21 |
| Simulation 1 | Simulation 2 | Simulation 3 | |
|---|---|---|---|
| 0.01–0.5 | 0.01–0.5 | 0.01–0.5 | |
| , | 2 | 5 | 10 |
| Simulation repeat number | 400 | 400 | 400 |
| Pixel number used for calculating one Doppler spectrum | 80 | 80 | 80 |
© 2017 by the authors. Licensee MDPI, Basel, Switzerland. This article is an open access article distributed under the terms and conditions of the Creative Commons Attribution (CC BY) license ( http://creativecommons.org/licenses/by/4.0/).
Share and Cite
Meng, H.; Wang, X.; Chong, J.; Wei, X.; Kong, W. Doppler Spectrum-Based NRCS Estimation Method for Low-Scattering Areas in Ocean SAR Images. Remote Sens. 2017, 9, 219. https://doi.org/10.3390/rs9030219
Meng H, Wang X, Chong J, Wei X, Kong W. Doppler Spectrum-Based NRCS Estimation Method for Low-Scattering Areas in Ocean SAR Images. Remote Sensing. 2017; 9(3):219. https://doi.org/10.3390/rs9030219
Chicago/Turabian StyleMeng, Hui, Xiaoqing Wang, Jinsong Chong, Xiangfei Wei, and Weiya Kong. 2017. "Doppler Spectrum-Based NRCS Estimation Method for Low-Scattering Areas in Ocean SAR Images" Remote Sensing 9, no. 3: 219. https://doi.org/10.3390/rs9030219
APA StyleMeng, H., Wang, X., Chong, J., Wei, X., & Kong, W. (2017). Doppler Spectrum-Based NRCS Estimation Method for Low-Scattering Areas in Ocean SAR Images. Remote Sensing, 9(3), 219. https://doi.org/10.3390/rs9030219
