Soil Carbon Stock and Particle Size Fractions in the Central Amazon Predicted from Remotely Sensed Relief, Multispectral and Radar Data
Abstract
:1. Introduction
2. Materials and Methods
2.1. Study Area
2.2. Soil Data
2.3. Remote Sensing Covariate Data
2.4. Prediction Methods
3. Results
3.1. Descriptive Statistics and Linear Regression Models
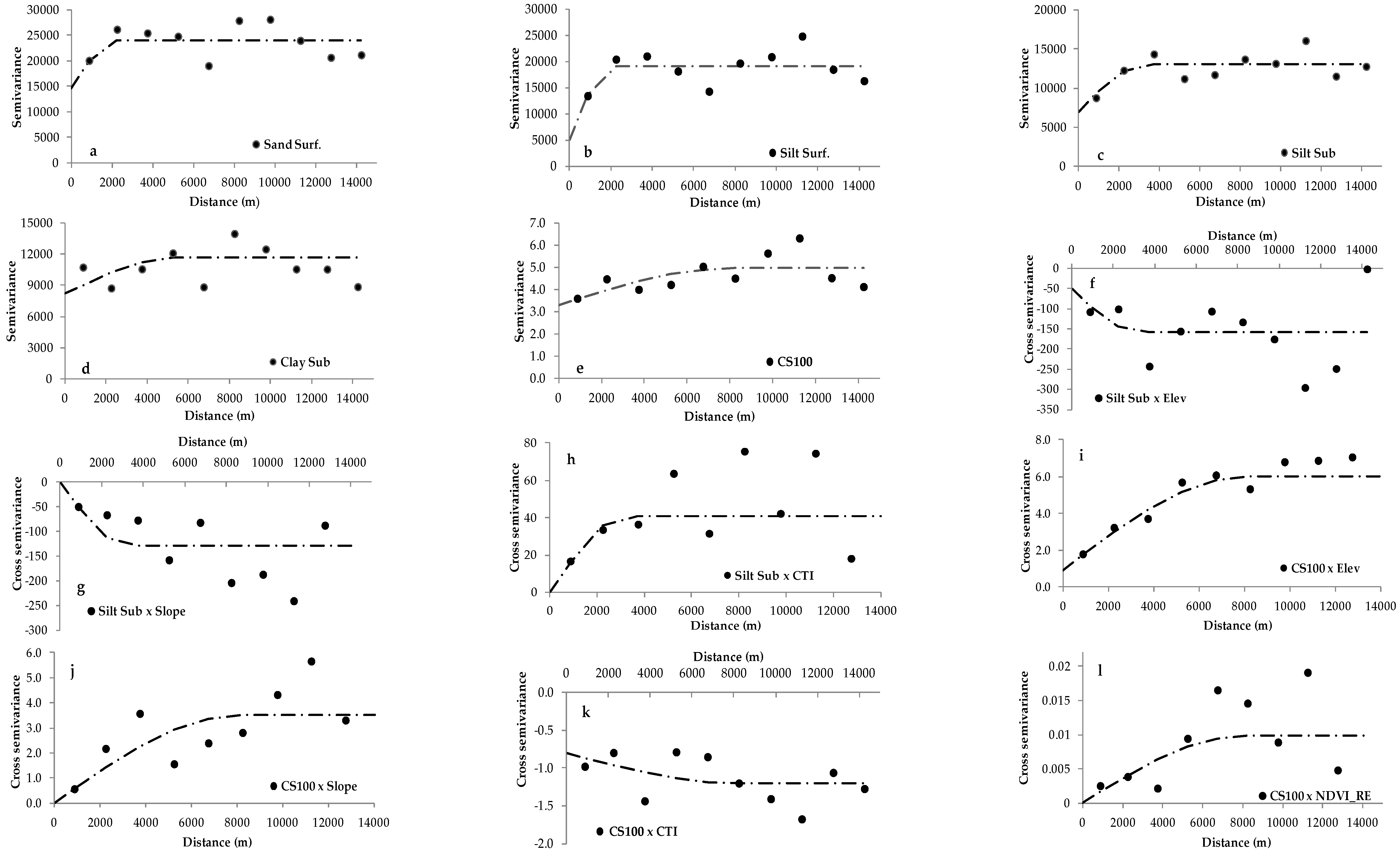
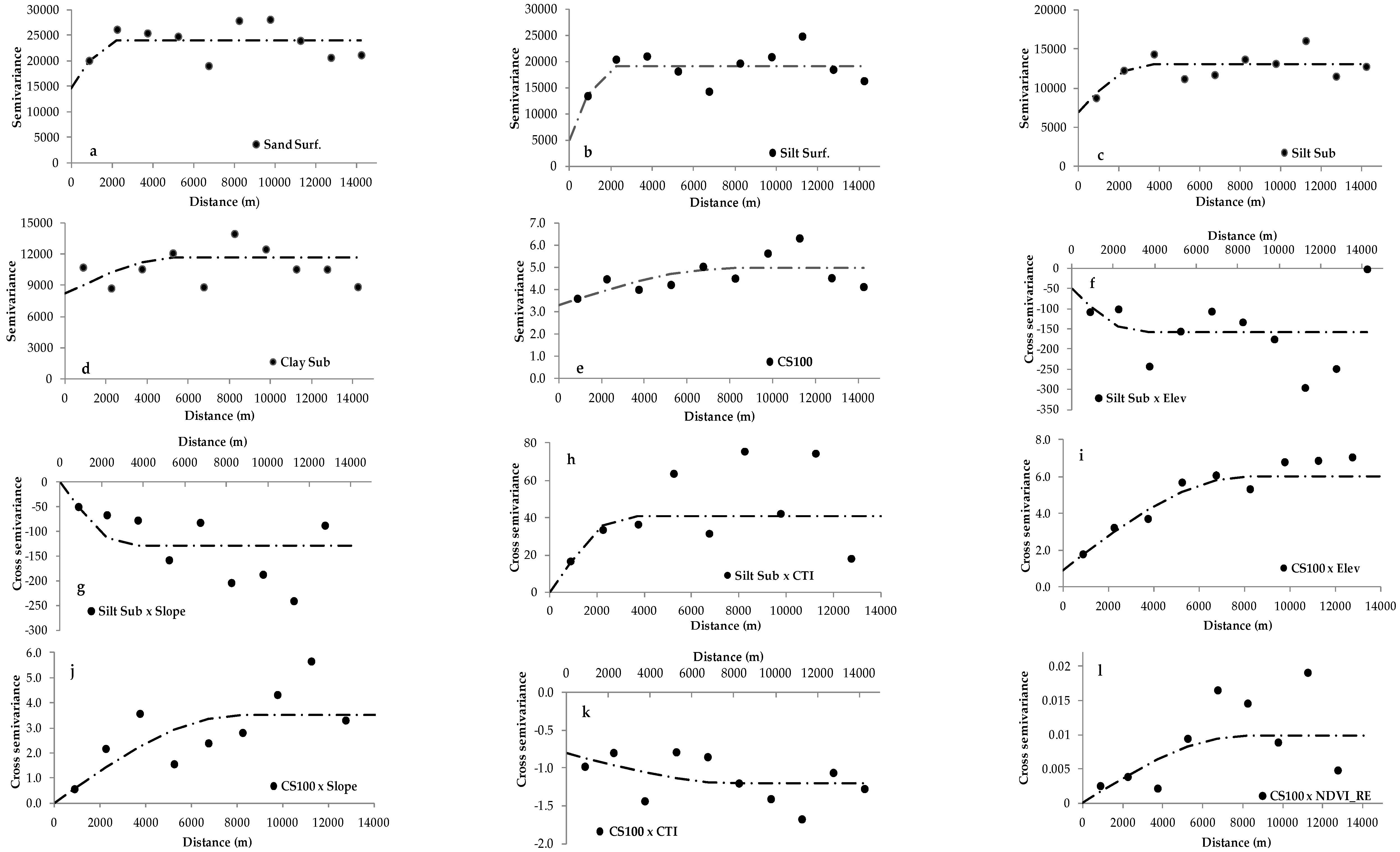
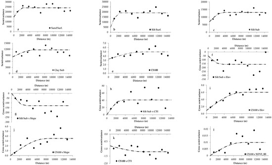
3.2. Geostatistical Analysis
4. Discussion
4.1. Potential of Using Multispectral and Radar Data as Covariates
4.2. Performance of the Different Prediction Methods
5. Conclusions
Acknowledgments
Author Contributions
Conflicts of Interest
References
- Departamento Nacional de Produção Mineral. Projeto RADAMBRASIL; Departamento Nacional de Produção Mineral: Rio de Janeiro, Brazil, 1973–1987.
- Ceddia, M.B.; Villela, A.L.O.; Pinheiro, E.F.M.; Wendroth, O. Spatial variability of soil carbon stock in the Urucu river basin, Central Amazon-Brazil. Sci. Total Environ. 2015, 526, 58–69. [Google Scholar] [CrossRef] [PubMed]
- Moore, I.D.; Grayson, B.R.; Ladson, A.R. Digital terrain modeling: A review of hydrological, geomorphological, and biological applications. Hydrol. Process. 1991, 5, 3–30. [Google Scholar] [CrossRef]
- Sumfleth, K.; Duttmann, R. Prediction of soil property distribution in paddy soil landscapes using terrain data and satellite information as indicators. Ecol. Indic. 2008, 8, 485–501. [Google Scholar] [CrossRef]
- Mulder, V.L.; Bruin, S.; Schaepman, M.E.; Mayr, T.R. The use of remote sensing in soil and terrain mapping—A review. Geoderma 2011, 162, 1–19. [Google Scholar] [CrossRef]
- Shabou, M.; Mougenot, B.; Chabaane, Z.L.; Walter, C.; Boulet, G.; Aissa, N.B.; Zribi, M. Soil clay content mapping using a time series of Landsat TM data in semi-arid lands. Remote Sens. 2015, 7, 6059–6078. [Google Scholar] [CrossRef]
- McBratney, A.B.; Mendonça Santos, M.L.; Minasny, B. On digital soil mapping. Geoderma 2003, 117, 3–52. [Google Scholar] [CrossRef]
- Dubois, P.C.; van Zyl, J.; Engman, T. Measuring soil moisture with imaging radar. IEEE Trans. Geosci. Remote Sens. 1995, 33, 915–926. [Google Scholar] [CrossRef]
- Singh, D.; Kathpalia, A. An efficient modeling with GA approach to retrieve soil texture, moisture and roughness from ERS-2 SAR data. Prog. Electromagn. Res. 2007, 77, 121–136. [Google Scholar] [CrossRef]
- Departamento Nacional de Produção Mineral. Projeto RADAMBRASIL. Folha SB. 20 Purus: Geologia, geomorfologia, pedologia, vegetação e uso potencial da terra; Departamento Nacional de Produção Mineral: Rio de Janeiro, Brazil, 1978.
- Embrapa. Sistema Brasileiro de Classificação de Solos, 3rd ed.; Embrapa: Brasília, Brazil, 2013. [Google Scholar]
- Soil Survey Staff. Keys to Soil Taxonomy, 12th ed.Natural Resources Conservation Service, United States Department of Agriculture: Washington, DC, USA, 2014.
- Walkley, A.; Black, I.A. An examination of the Degtjareff method for determining soil organic matter and a proposed modification of the chromic acid titration method. Soil Sci. 1934, 37, 29–38. [Google Scholar] [CrossRef]
- Embrapa. Manual de Métodos de Análise de Solo, 2nd ed.Centro Nacional de Pesquisa de Solos: Rio de Janeiro, Brazil, 1997.
- Batjes, N.H. Effects of mapped variation in soil conditions on estimates of soil carbon and nitrogen stocks for South America. Geoderma 2000, 97, 135–144. [Google Scholar] [CrossRef]
- Metternicht, G.I.; Zinck, J.A. Remote sensing of soil salinity: Potentials and constraints. Remote Sens. Environ. 2003, 85, 1–20. [Google Scholar] [CrossRef]
- Hutchinson, M.F. A new procedure for gridding elevation and stream line data with automatic removal of spurious pits. J. Hydrol. 1989, 106, 211–232. [Google Scholar] [CrossRef]
- ArcGIS, version 9.3; ESRI (Environmental Systems Research Institute): Redlands, CA, USA, 2006.
- Gessler, P.E.; Moore, I.D.; McKenzie, N.J.; Ryan, P.J. Soil-landscape modeling and spatial prediction of soil attributes. Int. J. Geogr. Inf. Sci. 1995, 9, 421–432. [Google Scholar] [CrossRef]
- Vermote, E.F.D.; Tanré, D.; Deuzé, J.L.; Herman, M.; Morcrete, J.J. Second simulation of the satellite signal in the solar spectrum, 6S: An overview. IEEE Trans. Geosci. Remote Sens. 1997, 35, 675–686. [Google Scholar] [CrossRef]
- Antunes, M.A.H.; Debiasi, P.; Costa, A.R.; Gleriani, J.M. Correção atmosférica de imagens ALOS/AVNIR-2 utilizando o modelo 6S. Rev. Bras. Cartogr. 2012, 64, 531–539. [Google Scholar]
- Rouse, J.W.; Haas, R.H.; Schell, J.A.; Deering, D.W. Monitoring vegetation systems in the great plains with ERTS. In Earth Resources Technology Satellite-1 Symposium; NASA: Washington, DC, USA, 1973; Volume 1, pp. 309–317. [Google Scholar]
- Huete, A.; Justice, C.; Liu, H. Development of vegetation and soil indices for MODIS-EOS. Remote Sens. Environ. 1994, 29, 224–234. [Google Scholar] [CrossRef]
- Huete, A. A soil-adjusted vegetation index (SAVI). Remote Sens. Environ. 1988, 25, 295–309. [Google Scholar] [CrossRef]
- Alaska Satellite Facility Distributed Active Archive Center (ASF DAAC). Available online: https://www.asf.alaska.edu/sar-data/palsar/download-data/ (accessed on 23 March 2016).
- Shimada, M. Model-Based polarimetric SAR calibration method using forest and surface-scattering targets. IEE Trans. Geosci. Remote Sens. 2011, 49, 1712–1733. [Google Scholar] [CrossRef]
- Alaska Satellite Facility. MapReady 3.2.1. Available online: http://www.asf.alaska.edu/sardatacenter/softwaretools (accessed on 15 March 2016).
- Goovaerts, P. Geostatistics for Natural Resource Evaluation; Oxford University Press: New York, NY, USA, 1997; Volume 27, pp. 315–334. [Google Scholar]
- Wackernagel, H. Multivariate Geostatistics: An Introduction with Applications, 3rd ed.; Springer: New York, NY, USA, 2003; p. 387. [Google Scholar]
- Simbahan, G.C.; Dobermann, A.; Goovaerts, P.; Ping, J.; Haddix, M.L. Fine-resolution mapping of soil organic carbon based on multivariate secondary data. Geoderma 2006, 132, 471–489. [Google Scholar] [CrossRef]
- Grunwald, S. Environmental Soil-Landscape Modeling-Geographic Information Technologies and Pedometrics; CRC Press: New York, NY, USA, 2006; pp. 154–196. [Google Scholar]
- R Development Core Team. R: A Language and Environment for Statistical Computing. R Foundation for Statistical Computing: Vienna, Austria, Version 3.1.1; 2014; Available online: http://www.R-project.org (accessed on 24 January 2017).
- Moraes, J.L.; Cerri, C.C.; Melillo, J.M.; Kicklighter, D.; Neill, C.; Skole, D.L.; Steudler, P.A. Soil carbon stocks of the Brazilian Amazon Basin. Soil Sci. Soc. Am. J. 1995, 59, 244–247. [Google Scholar] [CrossRef]
- Batjes, N.H.; Dijkshoorn, J.A. Carbon and nitrogen stocks in the soils of the Amazon Region. Geoderma 1999, 89, 273–286. [Google Scholar] [CrossRef]
- Cerri, C.C.; Bernoux, M.; Arrouays, D.; Feigl, B.; Piccolo, M.C. Carbon pools in soils of the Brazilian Amazon. In Global Climate Change and Tropical Ecosystems; Lal, R., Ed.; CRC Press: Boca Raton, FL, USA, 2000; pp. 33–50. [Google Scholar]
- Batjes, N.H. Organic carbon stocks in the soils of Brazil. Soil Use Manag. 2005, 21, 22–24. [Google Scholar] [CrossRef]
- Vasques, G.M.; Grunwald, S.; Comerford, N.B.; Sickman, J.O. Regional modelling of soil carbon at multiple depths within a subtropical watershed. Geoderma 2010, 156, 326–336. [Google Scholar] [CrossRef]
- Zhu, Q.; Lin, H.S. Comparing ordinary kriging and regression kriging for soil properties in contrasting landscapes. Pedosphere 2010, 20, 594–606. [Google Scholar] [CrossRef]
- Vasques, G.M.; Coelho, M.R.; Dart, R.O.; Oliveira, R.P.; Teixeira, W.G. Mapping soil carbon, particle-size fractions, and water retention in tropical dry forest in Brazil. Pesqui. Agropecu. Bras. 2016, 51, 1371–1385. [Google Scholar] [CrossRef]
- Lozano-Garcia, D.F.; Fernandez, R.N.; Johannsen, C.J. Assessment of regional biomass‑soil relationships using vegetation indexes. IEEE Trans. Geosci. Remote Sens. 1991, 29, 331–338. [Google Scholar] [CrossRef]
- Farrar, J.F.; Minchin, P.E.H.; Thorpe, M.R. Carbon import into barley roots: Stimulation by galactose. J. Exp. Bot. 1994, 45, 17–22. [Google Scholar] [CrossRef]
- Mermoz, S.; Rejou-Mechain, M.; Villard, L.; Toan, T.L.; Rossi, V.; Gourlet-Fleury, S. Decrease of L-band SAR backscatter with biomass of dense forests. Remote Sens. Environ. 2015, 159, 307–317. [Google Scholar] [CrossRef]
- Rocchini, D. Effects of spatial and spectral resolution in estimating ecosystem alpha-diversity by satellite imagery. Remote Sens. Environ. 2007, 111, 423–434. [Google Scholar] [CrossRef]
- Samuel-Rosa, A.; Heuvelink, G.B.M.; Vasques, G.M.; Anjos, L.H.C. Do more detailed environmental covariates deliver more accurate soil maps? Geoderma 2015, 243, 214–227. [Google Scholar] [CrossRef]
- Odeh, I.O.A.; McBratney, A.B.; Chittleborough, D.J. Further results on prediction of soil properties from terrain attributes: Heterotpic cokriging and regression-kriging. Geoderma 1995, 67, 215–225. [Google Scholar] [CrossRef]
- Hengl, T.; Heuvelink, G.B.M.; Stein, A. A generic framework for spatial prediction of soil variables based on regression-kriging. Geoderma 2004, 120, 75–93. [Google Scholar] [CrossRef]
- Kravchenko, A.N.; Robertson, G.P. Can topographical and yield data substantially improve total soil carbon mapping by regression kriging? Agron. J. 2007, 99, 12–17. [Google Scholar] [CrossRef]





| SiBCS | Soil Taxonomy | N | Frequency (%) |
|---|---|---|---|
| Argissolos Amarelos | Oxyaquic Hapludults | 26 | 28 |
| Argissolos Vermelhos | Typic Hapludults | 2 | 2 |
| Argissolos Vermelho-Amarelos | Typic Hapludults | 21 | 22 |
| Argissolos Acinzentados | Typic Endoaquults | 3 | 3 |
| Cambissolos Háplicos | Typic Dystrudepts | 38 | 41 |
| Espodossolos Humilúvicos | Humods | 1 | 1 |
| Neossolos Quartzarênicos | Quartzipsamments | 2 | 2 |
| Planossolos Háplicos | Aquults | 1 | 1 |
| Total | - | 94 | 100 |
| Variables | Set | N | Min | Max | Mean | Median | SD | Skewness | Kurtosis |
|---|---|---|---|---|---|---|---|---|---|
| Sand Surf (g·kg−1) | W | 94 | 182 | 883 | 456 | 435 | 153 | 0.450 | −0.324 |
| Sand Surf (g·kg−1) | T | 70 | 182 | 883 | 454 a | 434 | 154 | 0.445 | −0.077 |
| Sand Surf (g·kg−1) | V | 24 | 249 | 777 | 463 a | 437 | 151 | 0.577 | −0.508 |
| Sand Sub (g·kg−1) | W | 94 | 66 | 855 | 317 | 288 | 145 | 0.709 | 0.431 |
| Sand Sub (g·kg−1) | T | 70 | 66 | 855 | 317 a | 290 | 147 | 0.805 | 1.060 |
| Sand Sub (g·kg−1) | V | 24 | 145 | 600 | 317 a | 259 | 138 | 0.501 | −1.279 |
| Clay Surf (g·kg−1) | W | 94 | 34 | 352 | 173 | 167 | 77 | 0.304 | −0.538 |
| Clay Surf (g·kg−1) | T | 70 | 34 | 352 | 171 a | 165 | 75 | 0.435 | −0.191 |
| Clay Surf (g·kg−1) | V | 24 | 37 | 335 | 180 a | 208 | 83 | −0.035 | −1.147 |
| Clay Sub (g·kg−1) | W | 94 | 13 | 531 | 327 | 334 | 104 | −0.452 | 0.145 |
| Clay Sub (g·kg−1) | T | 70 | 13 | 531 | 321 a | 332 | 102 | −0.414 | 0.524 |
| Clay Sub (g·kg−1) | V | 24 | 121 | 478 | 346 a | 388 | 106 | −0.665 | −0.472 |
| Silt Surf (g·kg−1) | W | 94 | 58 | 707 | 371 | 354 | 134 | 0.164 | −0.376 |
| Silt Surf (g·kg−1) | T | 70 | 58 | 707 | 375 a | 359 | 138 | 0.102 | −0.217 |
| Silt Surf (g·kg−1) | V | 24 | 158 | 627 | 357 a | 339 | 119 | 0.388 | −0.473 |
| Silt Sub (g·kg−1) | W | 94 | 85 | 584 | 333 | 338 | 108 | −0.087 | −0.096 |
| Silt Sub (g·kg−1) | T | 70 | 85 | 584 | 336 a | 342 | 112 | −0.097 | −0.122 |
| Silt Sub (g·kg−1) | V | 24 | 118 | 529 | 325 a | 321 | 94 | −0.158 | −0.036 |
| CS30 (kg·m−2) | W | 94 | 1.54 | 6.44 | 3.44 | 3.22 | 1.11 | 0.606 | −0.071 |
| CS30 (kg·m−2) | T | 70 | 1.54 | 6.44 | 3.47 a | 3.21 | 1.18 | 0.582 | −0.273 |
| CS30 (kg·m−2) | V | 24 | 1.86 | 5.40 | 3.34 a | 3.32 | 0.86 | 0.428 | 0.220 |
| CS100 (kg·m−2) | W | 94 | 3.26 | 11.93 | 7.38 | 7.54 | 2.02 | 0.042 | −0.408 |
| CS100 (kg·m−2) | T | 70 | 3.64 | 11.93 | 7.46 a | 7.68 | 2.09 | 0.059 | −0.479 |
| CS100 (kg·m−2) | V | 24 | 3.26 | 10.64 | 7.16 a | 7.19 | 1.75 | −0.213 | −0.252 |
| Target | Covariates | Regression Model | R2adj |
|---|---|---|---|
| Sand Surf | Relief | - | - |
| All variables | 924.43 + 5.83 × Slope − 604.31 × NDVI_L8 | 0.12 | |
| Sand Sub | Relief | - | - |
| All variables | - | - | |
| Silt Surf | Relief | 445.91 − 9.40 × Slope | 0.09 |
| All variables | 130.01 + 490.94 × NDVI_L8 − 9.68 × Slope + 11.59 × BackHH − 18.58 × BackHV | 0.22 | |
| Silt Sub | Relief | - | - |
| All variables | - | - | |
| Clay Surf | Relief | 310.71 − 14.69 × CTI − 75.86 × CurvP | 0.15 |
| All variables | 157.64 + 173.17 × NDVI_L8 − 0.10 × Asp − 48.16 × CurvC − 18.56 × CTI − 61.89 × CurvP − 61.89 × BackHH | 0.19 | |
| Clay Sub | Relief | 431.57 + 0.17 × Asp − 15.75 × CTI | 0.07 |
| All variables | 50.85 + 337.20 × NDVI_L8 − 15.86 × CTI − 14.03 × BackHH | 0.15 | |
| CS30 | Relief | 0.07 + 0.05 × Elev | 0.09 |
| All variables | −0.68 + 0.05 × Elev − 0.12 × BackHH | 0.11 | |
| CS100 | Relief | 4.14 − 0.32 × CTI + 0.10 × Elev | 0.15 |
| All variables | 3.02 − 0.38 × CTI + 0.09 × Elev − 0.25 × BackHH | 0.19 |
| Variables | C0 | C1 | Sill | Range (m) | (%) |
|---|---|---|---|---|---|
| Original variables | |||||
| Sand Surf | 14,656 | 9314 | 23,970 | 2256 | 61.1 |
| Silt Surf | 5000 | 14,000 | 19,000 | 2000 | 26.3 |
| Silt Sub | 6971 | 6042 | 13,013 | 3256 | 53.6 |
| Clay Sub | 8200 | 3500 | 11,700 | 5500 | 70.1 |
| CS100 | 3.70 | 1.30 | 5.0 | 8000 | 74.0 |
| Regression residuals | |||||
| Sand Surf | 15,000 | 6870 | 21,870 | 2000 | 68.6 |
| Silt Surf | 10,000 | 4100 | 14,100 | 3000 | 70.9 |
| Clay Sub | 7000 | 2000 | 9000 | 8000 | 77.8 |
| CS100 | 3.20 | 2.70 | 5.90 | 8200 | 54.2 |
| Silt Sub × secondary variables | |||||
| Elevation | 15 | 35 | 50 | 3256 | 30.0 |
| Slope | 16 | 9 | 25 | 3256 | 64.0 |
| CTI | 2.5 | 0.8 | 3.0 | 3256 | 75.8 |
| NDVI_RE | 0.001 | 0.002 | 0.003 | 3256 | 20.0 |
| NDVI_Ed | 0.0012 | 0.0005 | 0.0017 | 3256 | 72.7 |
| BackHH | 2.5 | 2.2 | 4.7 | 3256 | 53.2 |
| BackHV | 3.7 | 0.9 | 4.6 | 3256 | 80.4 |
| Silt Sub × Elevation | −50.0 | −109.0 | −159.0 | 3256 | 31.4 |
| Silt Sub × Slope | 0.0 | −130.0 | −130.0 | 3256 | 0.0 |
| Silt Sub × CTI | 0.0 | 41.0 | 41.0 | 3256 | 0.0 |
| CS100 × secondary variables | |||||
| Elevation | 20 | 35 | 55 | 8000 | 36.4 |
| Slope | 19 | 6 | 25 | 8000 | 76.0 |
| CTI | 2.5 | 0.8 | 3.3 | 8000 | 75.8 |
| NDVI_RE | 0.001 | 0.002 | 0.000 | 8000 | 33.3 |
| NDVI_Ed | 0.0012 | 0.0005 | 0.0000 | 8000 | 72.7 |
| BackHH | 3.0 | 1.8 | 4.8 | 8000 | 62.5 |
| BackHV | 3.8 | 0.9 | 4.7 | 8000 | 80.9 |
| CS100 × Elevation | 0.9 | 5.1 | 6.0 | 8000 | 15.0 |
| CS100 × Slope | 0.0 | 3.5 | 3.5 | 8000 | 0.0 |
| CS100 × CTI | −0.80 | −0.40 | −1.20 | 8000 | 66.7 |
| CS100 × NDVI_RE | 0.0000 | 0.0098 | 0.0098 | 8000 | 0.0 |
| Variables | ME | RMSE | RI (%) |
|---|---|---|---|
| Ordinary kriging | |||
| CS100 (kg·m−2) | 0.08 | 1.79 | - |
| Sand Surf (g·kg−1) | 4.40 | 198.80 | - |
| Silt Surf (g·kg−1) | 6.26 | 139.61 | - |
| Silt Sub (g·kg−1) | −27.38 | 80.02 | - |
| Clay Sub (g·kg−1) | −33.43 | 127.96 | - |
| Isotopic cokriging | |||
| CS100/Slope (kg·m−2) | 0.24 | 1.70 | 5.0 |
| CS100/Elevation (kg·m−2) | 0.24 | 1.75 | 2.2 |
| CS100/NDVI_RE (kg·m−2) | 0.20 | 1.78 | 0.5 |
| CS100/CTI (kg·m−2) | 0.26 | 1.73 | 3.4 |
| Silt Sub/Slope (g·kg−1) | −17.22 | 83.40 | −4.2 |
| Silt Sub/Elevation (g·kg−1) | −16.62 | 82.15 | −2.7 |
| Silt Sub/NDVI_RE (g·kg−1) | −19.42 | 84.82 | −6.0 |
| Silt Sub/CTI (g·kg−1) | −19.16 | 81.39 | −1.7 |
| Heterotopic cokriging | |||
| CS100/Slope (kg·m−2) | −0.03 | 2.11 | −17.8 |
| CS100/Elevation (kg·m−2) | 0.27 | 1.91 | −6.7 |
| CS100/NDVI_RE (kg·m−2) | 0.28 | 1.74 | 2.8 |
| CS100/CTI (kg·m−2) | 0.16 | 1.89 | −5.6 |
| Silt Sub/Slope (g·kg−1) | −7.40 | 98.78 | −23.4 |
| Silt Sub/Elevation (g·kg−1) | −19.32 | 81.59 | −2.0 |
| Silt Sub/NDVI_RE (g·kg−1) | −18.19 | 83.17 | −3.9 |
| Silt Sub/CTI (g·kg−1) | −29.34 | 83.72 | −4.6 |
| Regression kriging | |||
| CS100 (kg·m−2) | 0.51 | 2.52 | −42 |
| Sand Surf (g·kg−1) | −84.46 | 212.83 | −7.1 |
| Silt Surf (g·kg−1) | 134.80 | 224.69 | −61 |
| Clay Sub (g·kg−1) | −32.32 | 117.54 | 8.2 |
© 2017 by the authors. Licensee MDPI, Basel, Switzerland. This article is an open access article distributed under the terms and conditions of the Creative Commons Attribution (CC BY) license ( http://creativecommons.org/licenses/by/4.0/).
Share and Cite
Ceddia, M.B.; Gomes, A.S.; Vasques, G.M.; Pinheiro, É.F.M. Soil Carbon Stock and Particle Size Fractions in the Central Amazon Predicted from Remotely Sensed Relief, Multispectral and Radar Data. Remote Sens. 2017, 9, 124. https://doi.org/10.3390/rs9020124
Ceddia MB, Gomes AS, Vasques GM, Pinheiro ÉFM. Soil Carbon Stock and Particle Size Fractions in the Central Amazon Predicted from Remotely Sensed Relief, Multispectral and Radar Data. Remote Sensing. 2017; 9(2):124. https://doi.org/10.3390/rs9020124
Chicago/Turabian StyleCeddia, Marcos B., Andréa S. Gomes, Gustavo M. Vasques, and Érika F. M. Pinheiro. 2017. "Soil Carbon Stock and Particle Size Fractions in the Central Amazon Predicted from Remotely Sensed Relief, Multispectral and Radar Data" Remote Sensing 9, no. 2: 124. https://doi.org/10.3390/rs9020124
APA StyleCeddia, M. B., Gomes, A. S., Vasques, G. M., & Pinheiro, É. F. M. (2017). Soil Carbon Stock and Particle Size Fractions in the Central Amazon Predicted from Remotely Sensed Relief, Multispectral and Radar Data. Remote Sensing, 9(2), 124. https://doi.org/10.3390/rs9020124
