Can We Go Beyond Burned Area in the Assessment of Global Remote Sensing Products with Fire Patch Metrics?
Abstract
:1. Introduction
2. Materials and Methods
2.1. Study Area
2.2. Burned Area Dataset
2.3. Fire Patch Identification
2.4. Fire Patch Indices and Spatial Features
2.5. Data Analysis
3. Results
3.1. Patch Overlap between BA Products
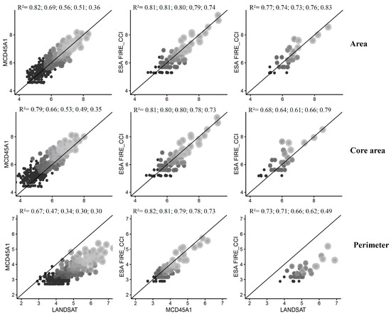
3.2. Patch Metrics Correlations
4. Discussion
4.1. The Small Fires Issue in Global BA Products
4.2. Uncertain Boundaries and Patch Size Underestimation
4.3. Accurate Ellipse Features for Large Fires Only
4.4. Implications for Pyrogeography and DGVM Benchmarking
5. Conclusions
Acknowledgments
Author Contributions
Conflicts of Interest
Appendix A



| Size | Shape | Orientation | Area (ha) | Comparison | |||||||
|---|---|---|---|---|---|---|---|---|---|---|---|
| Area | Core Area | Perimeter | Eccentricity | Shape Index | Fractal Dimension | X Sigma | Y Sigma | Theta | |||
| R2 | 0.82 ** | 0.79 *** | 0.67 *** | 0.03 * | 0.41 *** | 0.07 *** | 0.64 *** | 0.72 *** | 0.28 *** | >90 | LANDSAT × MCD45A1 | 
| 0.69 *** | 0.66 *** | 0.47 *** | 0.06 | 0.36 *** | 0.05 | 0.46 *** | 0.49 *** | 0.47 *** | >270 | ||
| 0.56 *** | 0.53 *** | 0.34 *** | 0.30 *** | 0.50 *** | 0.24 ** | 0.32 *** | 0.32 *** | 0.46 *** | >450 | ||
| 0.51 *** | 0.49 ** | 0.30 *** | 0.49 ** | 0.53 ** | 0.24 | 0.29 *** | 0.22 ** | 0.82 *** | >630 | ||
| 0.36 * | 0.35 | 0.30 ** | 0.63 * | 0.62 * | 0.41 | 0.29 ** | 0.11 | 0.86 *** | >900 | ||
| S | 0.91 *** | 0.87 *** | 0.61 *** | 0.22 * | 0.07 *** | 0.11 *** | 0.74 *** | 0.88 *** | 0.49 *** | >90 | |
| 0.85 *** | 0.81 *** | 0.52 *** | 0.24 | 0.06 *** | 0.12 | 0.63 *** | 0.78 *** | 0.59 *** | >270 | ||
| 0.73 *** | 0.69 *** | 0.40 *** | 0.54 *** | 0.06 *** | 0.24 ** | 0.53 *** | 0.55 *** | 0.62 *** | >450 | ||
| 0.66 *** | 0.61 ** | 0.38 *** | 0.66 ** | 0.06 ** | 0.29 | 0.54 *** | 0.39 ** | 0.96 *** | >630 | ||
| 0.55 * | 052 *** | 0.38 ** | 0.65 * | 0.07 * | 0.43 | 0.52 ** | 0.33 NS | 1.08 *** | >900 | ||
| R2 | 0.81 *** | 0.81 *** | 0.82 *** | 0.08 *** | 0.51 *** | 0.34 *** | 0.77 *** | 0.79 *** | 0.24 *** | >90 | MCD45A1 × ESA FIRE_CCI | 
| 0.81 *** | 0.80 *** | 0.81 *** | 0.14 *** | 0.49 *** | 0.33 *** | 0.78 *** | 0.77 *** | 0.27 *** | >270 | ||
| 0.80 *** | 0.80 *** | 0.79 *** | 0.201 *** | 0.46 *** | 0.38 *** | 0.79 *** | 0.76 *** | 0.34 *** | >450 | ||
| 0.79 *** | 0.78 *** | 0.78 *** | 0.23 *** | 0.48 *** | 0.46 *** | 0.79 *** | 0.73 *** | 0.61 *** | >630 | ||
| 0.74 *** | 0.73 *** | 0.73 *** | 0.40 *** | 0.36 *** | 0.31 ** | 0.79 *** | 0.67 *** | 0.70 *** | >900 | ||
| S | 0.85 *** | 0.84 *** | 0.90 *** | 0.27 *** | 0.53 *** | 0.54 *** | 0.82 *** | 0.84 *** | 0.52 *** | >90 | |
| 0.84 *** | 0.84 *** | 0.91 *** | 0.33 *** | 0.51 *** | 0.52 *** | 0.87 *** | 0.82 *** | 0.54 *** | >270 | ||
| 0.85 *** | 0.85 *** | 0.93 *** | 0.51 *** | 0.48 *** | 0.54 *** | 0.93 *** | 0.80 *** | 0.57 *** | >450 | ||
| 0.87 *** | 0.87 *** | 0.95 *** | 0.50 *** | 0.47 *** | 0.57 *** | 0.98 *** | 0.79 *** | 0.70 *** | >630 | ||
| 0.85 *** | 0.85 *** | 0.92 *** | 0.65 *** | 0.41 *** | 0.49 ** | 1.03 *** | 0.74 *** | 0.79 *** | >900 | ||
| R2 | 0.77 *** | 0.68 *** | 0.73 *** | 0.12 ** | 0.28 *** | 0.09 * | 0.69 *** | 0.59 *** | 0.46 *** | >90 | LANDSAT × ESA FIRE_CCI | 
| 0.74 *** | 0.64 *** | 0.71 *** | 0.17 ** | 0.25 *** | 0.08 | 0.69 *** | 0.56 *** | 0.46 *** | >270 | ||
| 0.73 *** | 0.61 *** | 0.66 *** | 0.13 | 0.16 | 0.03 | 0.70 *** | 0.56 ** | 0.17NS | >450 | ||
| 0.76 *** | 0.66 *** | 0.62 ** | 0.38 | 0.09 | 0.01 | 0.79 *** | 0.90 *** | 0.46 * | >630 | ||
| 0.83 *** | 0.79 *** | 0.49 | 0.32 | 0.00 | 0.28 | 0.79 ** | 0.88 ** | 0.69 * | >900 | ||
| S | 0.90 *** | 0.84 *** | 0.62 *** | 0.26 ** | 0.05 *** | 0.15 * | 0.86 *** | 0.72 *** | 0.69 *** | >90 | |
| 0.86 *** | 0.80 *** | 0.61 *** | 0.33 ** | 0.05 *** | 0.15 | 0.83 *** | 0.70 *** | 0.68 *** | >270 | ||
| 0.78 *** | 0.68 *** | 0.61 *** | 0.28 | 0.04 | 0.11 | 0.79 *** | 0.69 ** | 0.36 | >450 | ||
| 0.64 *** | 0.53 *** | 0.68 ** | 0.45 | 0.04 | 0.07 | 0.69 *** | 0.90 *** | 0.69 * | >630 | ||
| 0.61 *** | 0.53 *** | 0.69 | 0.43 | −0.0004 | −0.70 | 0.62 ** | 0.90 ** | 0.92 * | >900 | ||
References
- Yue, C.; Ciais, P.; Zhu, D.; Wang, T.; Peng, S.S.; Piao, S.L. How have past fire disturbances contributed to the current carbon balance of boreal ecosystems? Biogeosciences 2016, 13, 675–690. [Google Scholar] [CrossRef]
- Hao, W.M.; Liu, M.H. Spatial and temporal distribution of tropical biomass burning. Glob. Biogeochem. Cycles 1994, 8, 495–503. [Google Scholar] [CrossRef]
- Mouillot, F.; Schultz, M.G.; Yue, C.; Cadule, P.; Tansey, K.; Ciais, P.; Chuvieco, C. Ten years of global burned area products from spaceborne remote sensing—A review: Analysis of user needs and recommendations for future developments. Int. J. Appl. Earth Obs. Geoinf. 2014, 26, 64–79. [Google Scholar] [CrossRef]
- Giglio, L.; Randerson, J.T.; Werf, G.R. Analysis of daily, monthly, and annual burned area using the fourth generation global fire emissions database (GFED4). J. Geophys. Res. Biogeosci. 2013, 118, 317–328. [Google Scholar] [CrossRef]
- Hantson, S.; Arneth, A.; Harrison, S.P.; Kelley, D.I.; Prentice, I.C.; Rabin, S.S.; Archibald, S.; Mouillot, F.; Arnold, S.R.; Artaxo, P.; et al. The status and challenge of global fire modelling. Biogeosciences 2016, 13, 3359–3375. [Google Scholar] [CrossRef]
- Padilla, M.; Stehman, S.V.; Ramo, R.; Corti, D.; Hantson, S.; Oliva, P.; Alonso, I.C.; Bradlev, A.V.; Tansey, K.; Mota, B.; et al. Comparing the accuracies of remote sensing global burned area products using stratified random sampling and estimation. Remote Sens. Environ. 2015, 160, 114–121. [Google Scholar] [CrossRef]
- Randerson, J.T.; Chen, Y.; van der Werf, G.R.; Rogers, B.M.; Morton, D.C. Global burned area and biomass burning emissions from small fires. J. Geophys. Res. Biogeosci. 2012, 117, 21456–22202. [Google Scholar] [CrossRef]
- Loepfe, L.; Rodrigo, A.; Lloret, F. Two thresholds determine climatic control of forest fire size in Europe and North Africa. Reg. Environ. Change 2014, 14, 1395–1404. [Google Scholar] [CrossRef]
- Archibald, S.; Roy, D.P. Identifying individual fires from satellite-derived burned area data. In Proceedings of the IEEE International Geoscience and Remote Sensing Symposium, Cape Town, South Africa, 12–17 July 2009. [CrossRef]
- Hantson, S.; Pueyo, S.; Chuvieco, E. Global fire size distribution is driven by human impact and climate. Glob. Ecol. Biogeogr. 2015, 24, 77–86. [Google Scholar] [CrossRef]
- Yue, C.; Ciais, P.; Cadule, P.; Thonicke, K.; Archibald, S.; Poulter, B.; Hao, W.M.; Hantson, S.; Mouillot, F.; Friedlingstein, P.; et al. Modelling the role of fires in the terrestrial carbon balance by incorporating SPITFIRE into the global vegetation model ORCHIDEE–Part 1: Simulating historical global burned area and fire regime. Geosci. Model Dev. 2014, 7, 2747–2767. [Google Scholar] [CrossRef]
- Rothermel, R.C. A Mathematical Model for Predicting Fire Spread in Wildland Fuels; US Department of Agriculture, Forest Service, Intermountain Forest and Range Experiment Station: Ogden, UT, USA, 1972.
- Cary, G.J.; Keane, R.E.; Gardner, R.H.; Lavorel, S.; Flannigan, M.D.; Davies, I.D.; Li, C.; Lenihan, J.M.; Rupp, T.S.; Mouillot, F. Comparison of the sensitivity of landscape-fire-succession models to variation in terrain, fuel pattern, climate and weather. Landsc. Ecol. 2006, 21, 121–137. [Google Scholar] [CrossRef]
- Barros, A.M.G.; Pereira, J.M.C.; Lund, U.J. Identifying geographical patterns of wildfire orientation: A watershed based analysis. For. Ecol. Manage. 2012, 264, 98–107. [Google Scholar] [CrossRef]
- Barros, A.M.G.; Pereira, J.M.C.; Moritz, M.A.; Stephens, S.L. Spatial characterization of wildfire orientation patterns in California. Forests 2013, 4, 197–217. [Google Scholar] [CrossRef]
- Oliveira, S.L.J.; Campagnolo, M.L.; Price, O.F.; Edwards, A.C.; Smith, J.R.; Pereira, J.M.C. Ecological implications of fine scale fire patchiness and severity in tropical savannas of northern Australia. Fire Ecol. 2015, 11, 10–31. [Google Scholar] [CrossRef]
- Roman-Cuesta, R.M.; Gracia, M.; Retana, J. Factors influencing the formation of unburned forest islands within the perimeter of a large forest fire. For. Ecol. Manage. 2009, 258, 71–80. [Google Scholar] [CrossRef]
- O’Neill, R.V.; Krummel, J.R.; Gardner, R.H.; Sugihara, G.; Jackson, B.; Angelis, D.L.; Milne, B.T.; Turner, M.G.; Zygmut, B.; Chistensen, S.W.; et al. Indices of landscape pattern. Landsc. Ecol. 1988, 1, 153–162. [Google Scholar]
- Takaoka, S.; Sasa, K. Landform effects on fire behavior and post fire regeneration in the mixed forests of northern Japan. Ecol. Res. 1996, 11, 339–349. [Google Scholar] [CrossRef]
- Padilla, M.; Stehman, S.V.; Litago, J.; Chuvieco, E. Assessing the temporal stability of the accuracy of a time series of burned area products. Remote Sens. 2014, 6, 2050–2068. [Google Scholar] [CrossRef]
- Roy, D.P.; Boschetti, L.; Justice, C.O.; Ju, J. The collection 5 MODIS burned area product—Global evaluation by comparison with the MODIS active fire product. Remote Sens. Environ. 2008, 112, 3690–3707. [Google Scholar] [CrossRef]
- Chuvieco, E.; Yue, C.; Heil, A.; Mouillot, F.; Alonso-Canas, I.; Padilla, M.; Pereira, J.M.; Oom, D.; Tansey, K. A new global burned area product for climate assessment of fire impacts. Glob. Ecol. Biogeogr. 2016, 25, 619–629. [Google Scholar] [CrossRef]
- Viergever, M. Plano Estadual de Controle de Queimadas e Combate a Incêndios Florestais. Governo do Estado do Tocantins: Brasilia, Brazil, 2009. Available online: http://www.fundoamazonia.gov.br/ FundoAmazonia/export/sites/default/site_pt/Galerias/Arquivos/Publicacoes/Plano_Estadual_do_Tocantins.pdf (accessed on 5 June 2016). [Google Scholar]
- Jarvis, A.; Reuter, H.I.; Nelson, A.; Guevara, E. Hole-Filled Seamless SRTM Data V4; International Centre for Tropical Agriculture (CIAT): Palmira, Colombia, 2008. [Google Scholar]
- ESA—European Space Agency. CCI Land Cover Product User Guide Version 2.4; ESA: Paris, France, 2014. [Google Scholar]
- Instituto Brasileiro de Geografia e Estatística. Available online: http://www.ibge.gov.br/ (accessed on 5 June 2016).
- Instituto Nacional de Pesquisas Espaciais. Available online: http://www.inpe.br/ (accessed on 5 June 2016).
- Ministério do Meio Ambiente. Available online: http://www.mma.gov.br/ (accessed on 5 June 2016).
- Hantson, S.; Padilla, M.; Corti, D.; Chuvieco, E. Strengths and weaknesses of MODIS hotspots to characterize global fire occurrence. Remote Sens. Environ. 2013, 131, 152–159. [Google Scholar] [CrossRef]
- Bastarrika, A.; Alvarado, M.; Artano, K.; Martinez, M.; Mesanza, A.; Torre, L.; Ramo, R.; Chuvieco, E. BAMS: A tool for supervised burned area mapping using Landsat data. Remote Sens. 2014, 6, 12360–12380. [Google Scholar] [CrossRef]
- Padilla, M.; Chuvieco, E.; Hantson, S.; Theis, R.; Sandow, C. ESA FIRE CCI Product Validation Plan. 2011. Available online: http://www.esa-fire-cci.org/webfm_send/241 (accessed on 23 December 2016).
- Boschetti, L.; Roy, D.; Justice, C. International Global Burned Area Satellite Product Validation Protocol Part I—Production and Standardization of Validation Reference Data; Committee on Earth Observation Satellites: Maryland, MD, USA, 2009. [Google Scholar]
- Roy, D.P.; Boschetti, L. Southern Africa validation of the MODIS, L3JRC and GlobCarbon burned-area products. IEEE Trans. Geosci. Remote Sens. 2009, 47, 1032–1044. [Google Scholar] [CrossRef]
- Hijmans, R.J. Raster: Geographic Data Analysis and Modeling. R Package Version 2.2-31. Available online: http://CRAN.R-project.org/package=raster/ (accessed on 3 March 2016).
- Pebesma, E.J.; Bivand, R.S. Classes and Methods for Spatial Data in R. R News 5 (2). Available online: http://cran.r-project.org/doc/Rnews/ (accessed on 3 March 2016).
- McGarigal, K.; Marks, B.J. FRAGSTATS: Spatial Pattern Analysis Program for Quantifying Landscape Structure V.2; USDA Forest Service: Portland, OR, USA, 1995.
- Vanderwal, J.; Falconi, L.; Januchowski, S.; Shoo, L.; Storlie, C. Species Distribution Modelling Tools (SDMTools): Tools for Processing daTa Associated with Species Distribution Modelling Exercises. R Package Version 1.1-20. Available online: http://CRAN.R-project.org/package=SDMTools/ (accessed on 3 March 2016).
- Bui, R.; Buliung, R.N.; Remmel, T.K. Aspace: A Collection of Functions for Estimating Centrographic Statistics and Computational Geometries for Spatial Point Patterns. R Package Version 3.2. Available online: http://CRAN.R-project.org/package=aspace (accessed on 3 March 2016).
- Boschetti, L.; Roy, D.P.; Justice, C.O.; Humber, M.L. MODIS Landsat fusion for large area 30m burned area mapping. Remote Sens. Environ. 2015, 161, 27–42. [Google Scholar] [CrossRef]
- Libonati, R.; DaCamara, C.C.; Setzer, A.W.; Morelli, F.; Melchiori, A.E. An algorithm for burned area detection in the Brazilian Cerrado using 4 µm MODIS imagery. Remote Sens. 2015, 7, 15782–15803. [Google Scholar] [CrossRef]
- Vilar, L.; Camia, A.; San-Miguel-Ayanz, J. A comparison of remote sensing products and forest fire statistics for improving fire information in Mediterranean Europe. Eur. J. Remote Sens. 2015, 48, 345–364. [Google Scholar] [CrossRef]
- Levin, N.; Heimowitz, A. Mapping spatial and temporal patterns of Mediterranean wildfires from MODIS. Remote Sens. Environ. 2012, 126, 12–26. [Google Scholar] [CrossRef]
- Li, J.; Song, Y.; Huang, X.; Mengmeng, L. Comparison of burned areas in mainland China derived from MCD45A1 and data recorded in yearbooks from 2001 to 2011. Int. J. Wildland Fire 2014, 24, 103–113. [Google Scholar] [CrossRef]
- Sunderman, S.O.; Weiberg, P.J. Remote sensing approaches for reconstructing fire perimeters and burn severity mosaics in desert spring ecosystems. Remote Sens. Environ. 2011, 115, 2384–2389. [Google Scholar] [CrossRef]
- Oliveras, I.; Anderson, L.O.; Malhi, Y. Application of remote sensing to understanding fire regimes and biomass burning emissions of the tropical Andes. Glob. Biogeochem. Cycles. 2014, 28, 480–496. [Google Scholar] [CrossRef]
- Cardozo, F.S.; Pereira, G.; Shimabukuro, Y.E.; Moraes, E.C. Analysis and assessment of the spatial and temporal distribution of burned areas in the Amazon forest. Remote Sens. 2014, 6, 8002–8025. [Google Scholar] [CrossRef]
- Bradley, A.V.; Millington, A.C. Spatial and temporal scale issues in determining biomass burning regimes in Bolivia and Peru. Int. J. Remote Sens. 2006, 27, 2221–2253. [Google Scholar] [CrossRef]
- Anaya, J.A.; Chuvieco, E. Accuracy assessment of burned area products in the Orinoco basin. Photogramm. Eng. Remote Sens. 2012, 78, 53–60. [Google Scholar] [CrossRef]
- Hardtke, L.A.; Blanco, P.D.; del Valle, H.F.; Metternicht, G.I.; Sione, W.F. Semi automated mapping of burned areas in semiarid ecosystems using MODIS time series imagery. Int. J. Appl. Earth Obs. Geoinf. 2015, 38, 25–35. [Google Scholar] [CrossRef]
- Araujo, F.M.; Ferreira, L.G. Satellite base automated burned area detection: A performance assessment of the MODIS MCD45A1 in the Brazilian savanna. Int. J. Appl. Earth Obs. Geoinf. 2015, 36, 94–102. [Google Scholar] [CrossRef]
- Chang, D.; Song, Y. Comparison of L3JRC and MODIS global burned area products 2000 to 2007. J. Geophys. Res. Atmos. 2009, 114, 2156–2202. [Google Scholar] [CrossRef]
- Giglio, L.; van der Werf, G.R.; Randerson, J.T.; Collatz, G.J.; Kasibhatla, P. Global estimation of burned area using MODIS active fire observations. Atmos. Chem. Phys. 2006, 6, 957–974. [Google Scholar] [CrossRef]
- Silva, J.M.N.; Sa, A.C.L.; Pereira, J.M.C. Comparison of burned area estimates derived from SPOT VEGETATION and Landsat ETM+ data in Africa: Influence of spatial pattern and vegetation type. Remote Sens. Environ. 2005, 96, 188–201. [Google Scholar] [CrossRef]
- Sa, A.C.L.; Pereira, J.M.C.; Gardner, R.H. Analysis of the relationship between spatial pattern and spectral detectability of areas burned in southern Africa using satellite data. Int. J. Remote Sens. 2007, 28, 3583–3601. [Google Scholar] [CrossRef]
- Andison, D.W. The influence of wildfire boundary delineation on our understanding of burning patterns in the Alberta foothills. Can. J. For. Res. 2012, 42, 1253–1263. [Google Scholar] [CrossRef]
- Kolden, C.A.; Lutz, J.A.; Key, C.H.; Kane, J.T.; van Wagtendonk, J.W. Mapped versus actual burned area within wildfire perimeters: Characterizing the unburned. For. Ecol. Manage. 2012, 286, 38–47. [Google Scholar] [CrossRef]
- Baker, W.L. The landscape ecology of large disturbances in the design and management of nature reserves. Landsc. Ecol. 1992, 7, 181–194. [Google Scholar] [CrossRef]
- Kalivas, D.P.; Petropoulos, G.P.; Athanasiou, I.M.; Kollias, V.J. An intercomparison of burnt area estimates derived from key operational products: The Greek wildland fires of 2005–2007. Nonlinear Proc. Geophys. 2013, 20, 397–409. [Google Scholar] [CrossRef]
- Wu, J.G. Effects of changing scale on landscape pattern analysis: Scaling relations. Landsc. Ecol. 2004, 19, 125–138. [Google Scholar] [CrossRef]
- Archibald, S.; Scholes, R.J.; Roy, D.P.; Roberts, G.; Boschetti, L. Southern African fire regimes as revealed by remote sensing. Int. J. Wildland Fire 2010, 19, 861–878. [Google Scholar] [CrossRef]
- Fletcher, I.N.; Aragao, L.E.O.C.; Lima, A.; Shimabukuro, Y.; Friedlingstein, P. Fractal properties of forest fires in Amazonia as a basis for modelling pan tropical burnt area. Biogeosciences 2014, 11, 1449–1459. [Google Scholar] [CrossRef]
- Violle, C.; Reich, P.B.; Pacala, S.W.; Enquist, B.J.; Kattge, J. The emergence and promise of functional biogeography. Proc. Natl. Acad. Sci. USA 2014, 111, 13690–13696. [Google Scholar] [CrossRef] [PubMed]
- Oom, D.; Silva, P.C.; Bistinas, I.; Pereira, J.M.C. Highlighting biome specific sensitivity of fire size distributions to time-gap parameters using a new algorithm for fire event individuation. Remote Sens. 2016, 8. [Google Scholar] [CrossRef]
- Duff, T.J.; Chong, D.M.; Tolhurst, K.G. Quantifying spatio temporal differences between fire shapes: Estimating fire travel paths for the improvement of dynamic spread models. Environ. Model. Softw. 2013, 46, 33–43. [Google Scholar] [CrossRef]
- Cansler, C.A.; McKenzie, D. Climate, fire size and biophysical setting control fire severity and spatial pattern in the northern Cascade Range, USA. Ecol. Appl. 2014, 24, 1037–1056. [Google Scholar] [CrossRef] [PubMed]
- Catchpole, E.A.; Alexander, M.E.; Gill, A.M. Elliptical-fire perimeter and area-intensity distributions. Can. J. For. Res. 1992, 22, 968–972. [Google Scholar] [CrossRef]
- Collins, B.M.; Kelly, M.; van Wagtendonk, J.W.; Stephens, S.L. Spatial patterns of large natural fires in Sierra Nevada wilderness areas. Landsc. Ecol. 2007, 22, 545–557. [Google Scholar] [CrossRef]
- Mansuy, N.; Boulanger, Y.; Terrier, A.; Gauthier, S.; Robitaille, A.; Bergeron, Y. Spatial attributes of fire regime in eastern Canada: Influences of regional landscape physiography and climate. Landsc. Ecol. 2014, 29, 1157–1170. [Google Scholar] [CrossRef]
- Veraverbeke, S.; Sedano, F.; Hook, S.J.; Randerson, J.T.; Jin, Y.; Rogers, B.M. Mapping the daily progression of large wildland fire using MODIS active fire data. Int. J. Wildland Fire 2014, 23, 655–667. [Google Scholar] [CrossRef]
- Mangeon, S.; Field, R.; Fromm, M.; McHugh, C.; Voulgarakis, A. Satellite versus ground-based estimated of burned area: A comparison between MODIS based burned area and fire agency reports over North America in 2007. Anthropocene Rev. 2015, 3, 76–92. [Google Scholar] [CrossRef]






| Burned Area Dataset | Satellite, Sensor | Temporal and Spatial Resolution | Temporal Series Used | Reference | Server Download | 
|---|---|---|---|---|---|
| LANDSAT | LANDSAT 1 5, Thematic Mapper (TM) LANDSAT 7 Enhanced Thematic Mapper (ETM+) | 15 days, 30 m | 2002–2009 | [30] | https://glovis.usgs.gov | 
| MCD45A1 | TERRA, MODIS 2 | daily, 500 m | 2002–2009 | [21] | https://lpdaac.usgs.gov | 
| ESA FIRE_CCI | ENVISAT-MERIS 3 | daily, 300 m | 2006–2008 | ESA FIRE CCI project 4 [22] | http://www.esa-fire-cci.org/ | 
| Categories of Patch Metrics | Metrics Names | Definition | Units | 
|---|---|---|---|
| Size | Core area (CA) | Surface area of the internal part of a patch delimited by a boundary located 500m inside its actual boundary | m2 | 
| Area (A) | Surface area of the patch | m2 | |
| Perimeter (P) | length of the perimeter of the patch | m | |
| Shape | Eccentricity (E) | Degree of divergence between a perfect circle (equal to 0) and an elliptical shape (equal to 1) | - | 
| Fractal Dimension (FD) | Two times the ratio between the logarithm of patch perimeter and the logarithm of patch area | - | |
| Shape (SI) | Ratio between the patch perimeter and the square root of patch area | - | |
| Spatial orientation | σX | Half-length of axis along x-axis | m | 
| σY | Half-length of axis along y-axis | m | |
| θ | Sinus of azimuthal angle of the longest axis of the fitted ellipse | - | 
| Global Products Comparisons | Accuracy Measurements | ||
|---|---|---|---|
| OA | OE | CE | |
| MCD45A1 × LANDSAT | 0.97 | 0.62 | 0.64 | 
| ESA FIRE_CCI × LANDSAT | 0.97 | 0.81 | 0.74 | 
| MCD45A1 × ESA FIRE_CCI | 0.97 | 0.49 | 0.71 | 
| Patch Size Class | Global Products Comparisons | |||||
|---|---|---|---|---|---|---|
| MCD45A1 × LANDSAT | MCD45A1 × ESA FIRE_CCI | ESA FIRE_CCI × LANDSAT | ||||
| OE | CE | OE | CE | OE | CE | |
| <90 ha | 0.95 | 0.96 | 0.90 | 0.89 | 0.93 | 0.97 | 
| 90–270 ha | 0.92 | 0.97 | 0.72 | 0.65 | 0.77 | 0.72 | 
| 270–450 ha | 0.73 | 0.69 | 0.40 | 0.42 | 0.70 | 0.68 | 
| 450–630 ha | 0.57 | 0.62 | 0.40 | 0.48 | 0.55 | 0.56 | 
| 630–900 ha | 0.55 | 0.51 | 0.42 | 0.45 | 0.60 | 0.58 | 
| >900 ha | 0.44 | 0.46 | 0.52 | 0.46 | 0.50 | 0.45 | 
© 2016 by the authors; licensee MDPI, Basel, Switzerland. This article is an open access article distributed under the terms and conditions of the Creative Commons Attribution (CC-BY) license (http://creativecommons.org/licenses/by/4.0/).
Share and Cite
Nogueira, J.M.P.; Ruffault, J.; Chuvieco, E.; Mouillot, F. Can We Go Beyond Burned Area in the Assessment of Global Remote Sensing Products with Fire Patch Metrics? Remote Sens. 2017, 9, 7. https://doi.org/10.3390/rs9010007
Nogueira JMP, Ruffault J, Chuvieco E, Mouillot F. Can We Go Beyond Burned Area in the Assessment of Global Remote Sensing Products with Fire Patch Metrics? Remote Sensing. 2017; 9(1):7. https://doi.org/10.3390/rs9010007
Chicago/Turabian StyleNogueira, Joana M. P., Julien Ruffault, Emilio Chuvieco, and Florent Mouillot. 2017. "Can We Go Beyond Burned Area in the Assessment of Global Remote Sensing Products with Fire Patch Metrics?" Remote Sensing 9, no. 1: 7. https://doi.org/10.3390/rs9010007
APA StyleNogueira, J. M. P., Ruffault, J., Chuvieco, E., & Mouillot, F. (2017). Can We Go Beyond Burned Area in the Assessment of Global Remote Sensing Products with Fire Patch Metrics? Remote Sensing, 9(1), 7. https://doi.org/10.3390/rs9010007
 
         
                                                



 
                         
       