Creating a Regional MODIS Satellite-Driven Net Primary Production Dataset for European Forests
Abstract
:1. Introduction
- (i)
- The MODIS algorithm MOD17 uses remotely sensed satellite-data and climate data to predict spatially and temporally continuous NPP and GPP (Gross Primary Production or carbon assimilation) based on an ecophysiological modelling approach [2]. In addition to satellite reflectance data and climate data, it requires the biophysical properties of land cover types, which are stored in the Biome Property Look-Up Tables (BPLUT) [9].
- (ii)
- National forest inventory data can be used to assess the timber volume stocks as well as volume increment and removal, if repeated observations are available [10]. This terrestrial bottom-up approach collects forest information by measuring sample plots arranged on a systematic grid design across larger areas. In combination with biomass expansion factors or biomass functions, volume or tree information can be converted into biomass or carbon estimates to account for differences in wood densities, the carbon fraction and different allocation into compartments [11,12].
- (iii)
2. Materials and Methods
2.1. MODIS NPP
2.2. Climate Data
2.3. Terrestrial NFI NPP
2.4. Analysis of NPP Results
3. Results
3.1. NPP Estimates across Different Scales
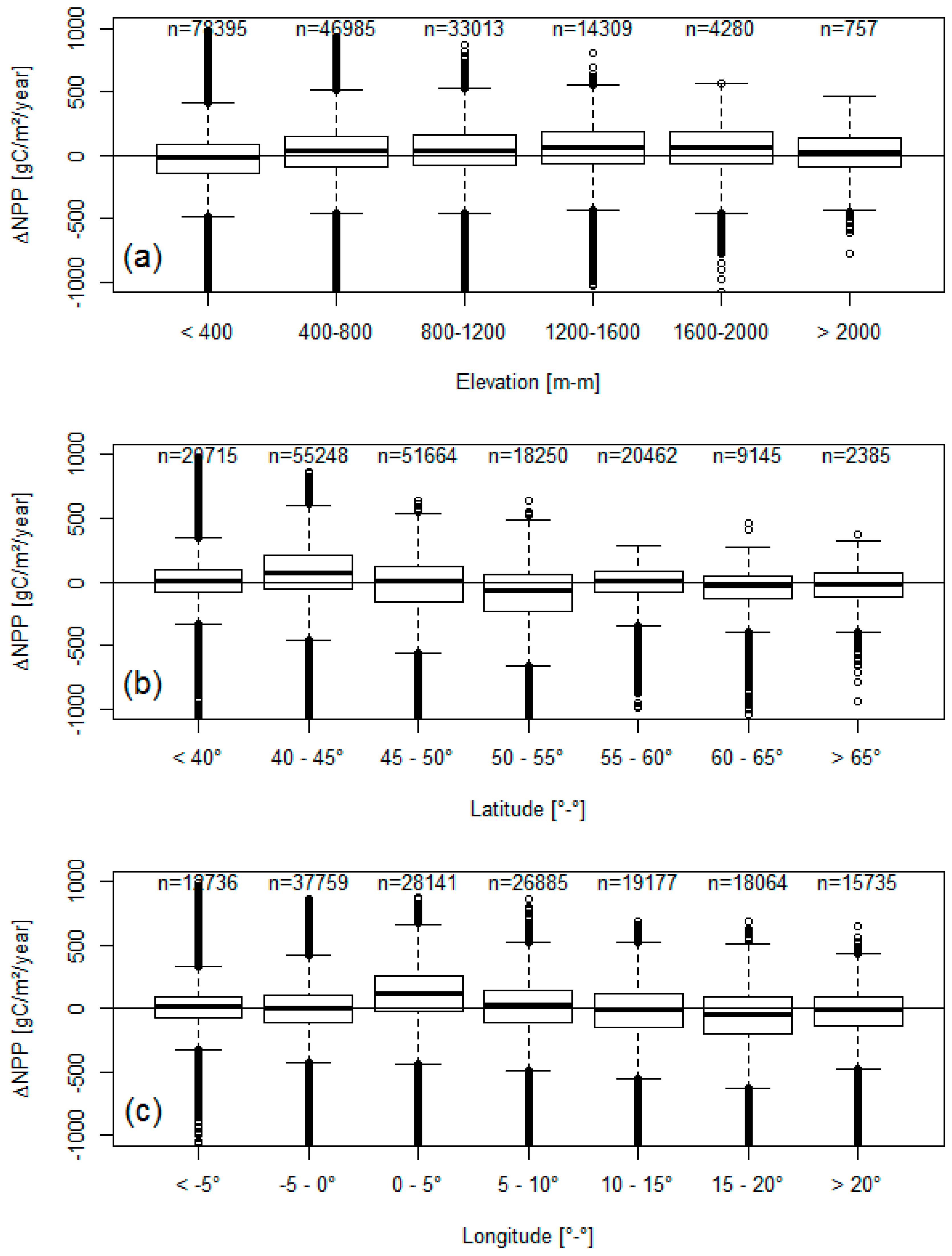
3.2. NPP across Elevational, Latitudinal and Longitudinal Gradients
3.3. Stand Density Effects
4. Discussion
5. Conclusions
Supplementary Materials
Acknowledgments
Author Contributions
Conflicts of Interest
References
- Gower, S.T.; Kucharik, C.J.; Norman, J.M. Direct and Indirect Estimation of Leaf Area Index, f APAR, and Net Primary Production of Terrestrial Ecosystems. Remote Sens. Environ. 1999, 70, 29–51. [Google Scholar] [CrossRef]
- Running, S.W.; Nemani, R.R.; Heinsch, F.A.; Zhao, M.; Reeves, M.; Hashimoto, H. A Continuous Satellite-Derived Measure of Global Terrestrial Primary Production. Bioscience 2004, 54, 547–560. [Google Scholar] [CrossRef]
- Imhoff, M.L.; Bounoua, L.; DeFries, R.; Lawrence, W.T.; Stutzer, D.; Tucker, C.J.; Ricketts, T. The consequences of urban land transformation on net primary productivity in the United States. Remote Sens. Environ. 2004, 89, 434–443. [Google Scholar] [CrossRef]
- Friedlingstein, P. A steep road to climate stabilization. Nature 2008, 451, 297–298. [Google Scholar] [CrossRef] [PubMed]
- Enriquez, J. GENOMICS: Genomics and the World’s Economy. Science 1998, 281, 925–926. [Google Scholar] [CrossRef] [PubMed]
- McCormick, K.; Kautto, N. The Bioeconomy in Europe: An Overview. Sustainability 2013, 5, 2589–2608. [Google Scholar] [CrossRef]
- FOREST EUROPE State of Europe’s Forests 2015. Available online: http://www.foresteurope.org/docs/fullsoef2015.pdf (accessed on 27 June 2016).
- EUROSTAT Europe in Figures—Eurostat Yearbook. Available online: http://ec.europa.eu/eurostat/ (accessed on 26 February 2016).
- Zhao, M.; Heinsch, F.A.; Nemani, R.R.; Running, S.W. Improvements of the MODIS terrestrial gross and net primary production global data set. Remote Sens. Environ. 2005, 95, 164–176. [Google Scholar] [CrossRef]
- Tomppo, E.; Gschwantner, T.; Lawrence, M.; McRoberts, R. National Forest Inventories: Pathways for Common Reporting; Springer: Berlin, Germany, 2010; p. 610. [Google Scholar]
- IPCC Good Practice Guidance for Land Use, Land-Use Change and Forestry, CHAPTER 4 FOREST. In 2006 IPCC Guidelines for National Greenhouse Gas Inventories, Prepared by the National Greenhouse Gas Inventories Programme; Eggleston, H.S.; Buendia, L.; Miwa, K.; Ngara, T.; Tanabe, K. (Eds.) IGES: Kanagawa, Japan, 2006; p. 83.
- Zianis, D.; Muukkonen, P.; Mäkipää, R.; Mencuccini, M. Biomass and stem volume equations for tree species in Europe. Silva Fenn. Monogr. 2005, 4, 63. [Google Scholar]
- Baldocchi, D. “Breathing” of the terrestrial biosphere: Lessons learned from a global network of carbon dioxide flux measurement systems. Aust. J. Bot. 2008, 56, 1–26. [Google Scholar] [CrossRef]
- Jung, M.; Reichstein, M.; Margolis, H.A.; Cescatti, A.; Richardson, A.D.; Arain, M.A.; Arneth, A.; Bernhofer, C.; Bonal, D.; Chen, J.; et al. Global patterns of land-atmosphere fluxes of carbon dioxide, latent heat, and sensible heat derived from eddy covariance, satellite, and meteorological observations. J. Geophys. Res. 2011, 116, G00J07. [Google Scholar] [CrossRef]
- Neumann, M.; Zhao, M.; Kindermann, G.; Hasenauer, H. Comparing MODIS Net Primary Production Estimates with Terrestrial National Forest Inventory Data in Austria. Remote Sens. 2015, 7, 3878–3906. [Google Scholar] [CrossRef]
- Jiang, F.; Chen, J.M.; Zhou, L.; Ju, W.; Zhang, H.; Machida, T.; Ciais, P.; Peters, W.; Wang, H.; Chen, B.; et al. A comprehensive estimate of recent carbon sinks in China using both top-down and bottom-up approaches. Sci. Rep. 2016, 6. [Google Scholar] [CrossRef] [PubMed]
- Zhao, M.; Running, S.W. Drought-induced reduction in global terrestrial net primary production from 2000 through 2009. Science 2010, 329, 940–943. [Google Scholar] [CrossRef] [PubMed]
- Hasenauer, H.; Petritsch, R.; Zhao, M.; Boisvenue, C.; Running, S.W. Reconciling satellite with ground data to estimate forest productivity at national scales. For. Ecol. Manag. 2012, 276, 196–208. [Google Scholar] [CrossRef]
- Thornton, P.E. Description of a Numerical Simulation Model for Predicting the Dynamics of Energy, Water, Carbon and Nitrogen in a Terrestrial Ecosystem; University of Montana: Missoula, MT, USA, 1998; p. 280. [Google Scholar]
- Yang, W.; Huang, D.; Tan, B.; Stroeve, J.C.; Shabanov, N.V.; Knyazikhin, Y.; Nemani, R.R.; Myneni, R.B. Analysis of Leaf Area Index and Fraction of PAR absorbed by Vegetation Products from the Terra MODIS sensor: 2000–2005. IEEE Trans. Geosci. Remote Sens. 2006, 44, 1829–1842. [Google Scholar] [CrossRef]
- Friedl, M.; Sulla-Menashe, D.; Tan, B.; Schneider, A.; Ramankutty, N.; Sibley, A.; Huang, X. MODIS Collection 5 global land cover: Algorithm refinements and characterization of new datasets. Remote Sens. Environ. 2010, 114, 168–182. [Google Scholar] [CrossRef]
- Zhao, M.; Running, S.W.; Nemani, R.R. Sensitivity of Moderate Resolution Imaging Spectroradiometer (MODIS) terrestrial primary production to the accuracy of meteorological reanalyses. J. Geophys. Res. 2006, 111, G01002. [Google Scholar] [CrossRef]
- Kanamitsu, M.; Ebisuzaki, W.; Woollen, J.; Yang, S.-K.; Hnilo, J.J.; Fiorino, M.; Potter, G.L. NCEP–DOE AMIP-II Reanalysis (R-2). Bull. Am. Meteorol. Soc. 2002, 83, 1631–1643. [Google Scholar] [CrossRef]
- Haylock, M.R.; Hofstra, N.; Klein Tank, A.M.G.; Klok, E.J.; Jones, P.D.; New, M. A European daily high-resolution gridded data set of surface temperature and precipitation for 1950–2006. J. Geophys. Res. 2008, 113, D20119. [Google Scholar] [CrossRef]
- Moreno, A.; Hasenauer, H. Spatial downscaling of European climate data. Int. J. Climatol. 2015. [Google Scholar] [CrossRef]
- Hijmans, R.J.; Cameron, S.E.; Parra, J.L.; Jones, P.G.; Jarvis, A. Very high resolution interpolated climate surfaces for global land areas. Int. J. Climatol. 2005, 25, 1965–1978. [Google Scholar] [CrossRef]
- Olson, R.J.; Johnson, K.R.; Zheng, D.L.; Scurlock, J.M.O. Global and Regional Ecosystem Modeling: Databases of Model Drivers and Validation Measurements; Oakridge Laboratory: Oak Ridge, TN, USA, 2001; p. 95. [Google Scholar]
- Jackson, R.; Mooney, H.; Schulze, E. A global budget for fine root biomass, surface area, and nutrient contents. Proc. Natl. Acad. Sci. USA 1997, 94, 7362–7366. [Google Scholar] [CrossRef] [PubMed]
- Finér, L.; Ohashi, M.; Noguchi, K.; Hirano, Y. Fine root production and turnover in forest ecosystems in relation to stand and environmental characteristics. For. Ecol. Manag. 2011, 262, 2008–2023. [Google Scholar] [CrossRef]
- Raich, J.; Nadelhoffer, K. Belowground carbon allocation in forest ecosystems: Global trends. Ecology 1989, 70, 1346–1354. [Google Scholar] [CrossRef]
- Liu, C.; Westman, C.J.; Berg, B.; Kutsch, W.; Wang, G.Z.; Man, R.; Ilvesniemi, H. Variation in litterfall-climate relationships between coniferous and broadleaf forests in Eurasia. Glob. Ecol. Biogeogr. 2004, 13, 105–114. [Google Scholar] [CrossRef]
- Neumann, M.; Moreno, A.; Mues, V.; Härkönen, S.; Mura, M.; Bouriaud, O.; Lang, M.; Achten, W.M.J.; Thivolle-Cazat, A.; Bronisz, K.; et al. Comparison of carbon estimation methods for European forests. For. Ecol. Manag. 2016, 361, 397–420. [Google Scholar] [CrossRef]
- Hasenauer, H.; Eastaugh, C.S. Assessing Forest Production Using Terrestrial Monitoring Data. Int. J. For. Res. 2012. [Google Scholar] [CrossRef]
- Huber, M.O.; Eastaugh, C.S.; Gschwantner, T.; Hasenauer, H.; Kindermann, G.; Ledermann, T.; Lexer, M.J.; Rammer, W.; Schörghuber, S.; Sterba, H. Comparing simulations of three conceptually different forest models with National Forest Inventory data. Environ. Model. Softw. 2013, 40, 88–97. [Google Scholar] [CrossRef]
- Seidl, R.; Schelhaas, M.-J.; Rammer, W.; Verkerk, P.J. Increasing forest disturbances in Europe and their impact on carbon storage. Nat. Clim. Chang. 2014, 4, 806–810. [Google Scholar] [CrossRef] [PubMed]
- Reineke, L. Perfecting a stand-density index for even-aged forests. J. Agric. Res. 1933, 46, 627–638. [Google Scholar]
- Turner, D.P.; Ritts, W.D.; Cohen, W.B.; Gower, S.T.; Running, S.W.; Zhao, M.; Costa, M.H.; Kirschbaum, A.A.; Ham, J.M.; Saleska, S.R.; et al. Evaluation of MODIS NPP and GPP products across multiple biomes. Remote Sens. Environ. 2006, 102, 282–292. [Google Scholar] [CrossRef]
- MacLean, R.G.; Ducey, M.J.; Hoover, C.M. A Comparison of Carbon Stock Estimates and Projections for the Northeastern United States. For. Sci. 2014, 60, 206–213. [Google Scholar] [CrossRef]
- Austrias National Inventory Report 2012: Umweltbundesamt Submission under the United Nations Framework Convention on Climate Change and the Kyoto Protocol 2012 National Inventory Report for the German Greenhouse Gas Inventory 1990–2010; Umweltbundesam: Dessau, Germany, 2012; p. 827.
- Kändler, G.; Bösch, B. Methodenentwicklung für die 3. Bundeswaldinventur: Modul 3 Überprüfung und Neukonzeption einer Biomassefunktion—Abschlussbericht. Tech. Rep. FVA-BW 2013, 1–72. (In German) [Google Scholar]
- Neubauer, M.; Demant, B.; Bolte, A. Tree-based estimator for below-ground biomass of Pinus sylvestris L. Forstarchiv 2015, 86, 42–47. [Google Scholar]
- Umweltbundesamt Berichterstattung unter der Klimarahmenkonvention der Vereinten Nationen und dem Kyoto- Protokoll 2014 Nationaler Inventarbericht zum Deutschen Treibhausgasinventar 1990–2012. Clim. Chang. 2014, 24, 965. (In German)
- He, L.; Chen, J.M.; Pan, Y.; Birdsey, R.; Kattge, J. Relationships between net primary productivity and forest stand age in U.S. forests. Glob. Biogeochem. Cycles 2012, 26, 1–19. [Google Scholar]
- Moreno, A.; Neumann, M.; Hasenauer, H. Optimal Resolution for Linking Remotely Sensed and Forest Inventory Data in Europe. Remote Sens. Environ. 2016, 183, 109–119. [Google Scholar] [CrossRef]
- Härkönen, S.; Lehtonen, A.; Manninen, T.; Tuominen, S.; Peltoniemi, M. Estimating forest leaf area index using satellite images: Comparison of k-NN based Landsat-NFI LAI with MODIS- RSR based LAI product for Finland. Boreal Environ. Res. 2015, 6095, 181–195. [Google Scholar]







| Region | Country | Number of Plots | Time Period | Mean Elevation (min–max) (m) | Mean DBH (cm) | Mean Tree Height (m) | Basal Area (m²·ha−1) | Stem Number (ha−1) | Tree Carbon (gC·m−2) | Median Age (Years) | SDI | NPP (gC·m−2·year−1) |
|---|---|---|---|---|---|---|---|---|---|---|---|---|
| North Europe | Estonia | 19930 | 2000–2010 | 66 (2–275) | 17 ± 8 | 17 ± 7 | 19 ± 8 | 1540 ± 2554 | 5240 ± 2929 | 40–60 | 449 ± 192 | 509 ± 163 |
| Finland | 6442 | 2000–2008 | 141 (1–400) | 18 ± 7 | 14 ± 5 | 18 ± 8 | 3522 ± 13251 | 4859 ± 3020 | 40–60 | 400 ± 236 | 446 ± 173 | |
| Norway | 9562 | 2000–2009 | 391 (0–1253) | 15 ± 6 | 9 ± 3 | 15 ± 12 | 930 ± 682 | 4003 ± 3691 | 60–80 | 368 ± 265 | 442 ± 143 | |
| all | 35379 | 2000–2010 | 161 (0–1253) | 16 ± 7 | 14 ± 7 | 18 ± 9 | 1736 ± 5983 | 4856 ± 3199 | 40–60 | 419 ± 224 | 482 ± 162 | |
| Central-West Europe | Austria | 9562 | 2000–2009 | 912 (113–2299) | 32 ± 14 | 21 ± 7 | 32 ± 19 | 987 ± 1070 | 10364 ± 6973 | 60–80 | 688 ± 396 | 681 ± 251 |
| Belgium | 512 | 2009–2013 | 39 (2–278) | 29 ± 12 | 18 ± 6 | 30 ± 13 | 660 ± 446 | 11507 ± 6475 | 40–60 | 648 ± 279 | 671 ± 195 | |
| France | 33152 | 2001–2011 | 444 (0–2707) | 23 ± 11 | 15 ± 7 | 23 ± 15 | 778 ± 602 | 8083 ± 6457 | 60–80 | 512 ± 298 | 649 ± 254 | |
| Germany | 5894 | 2000–2008 | 344 (−5–1879) | 28 ± 12 | 22 ± 7 | 31 ± 14 | 833 ± 814 | 11811 ± 6371 | 60–80 | 628 ± 302 | 754 ± 185 | |
| all | 49120 | 2000–2013 | 514 (−5–2707) | 25 ± 12 | 17 ± 8 | 25 ± 17 | 824 ± 749 | 9034 ± 6698 | 60–80 | 564 ± 328 | 667 ± 253 | |
| Central-East Europe | Czech Rep. | 13929 | 2001–2004 | 541 (138–1503) | 25 | 20 | 33 | 812 | 17340 ± 10858 | 60–80 | 809 ± 441 | 643 ± 266 |
| Poland | 17281 | 2005–2013 | 193 (−4–1459) | 23 ± 9 | 18 ± 5 | 29 ± 14 | 883 ± 614 | 10656 ± 6623 | 40–60 | 612 ± 263 | 720 ± 288 | |
| Romania | 5509 | 2003–2011 | 542 (−1–1968) | 24 ± 11 | - | 28 ± 15 | 878 ± 723 | 10355 ± 7256 | 40–60 | 582 ± 289 | 571 ± 164 | |
| all | 36719 | 2001–2013 | 443 (−4–1968) | 23 ± 10 | 18 ± 5 | 28 ± 15 | 881 ± 673 | 12376 ± 8793 | 40–60 | 652 ± 345 | 649 ± 248 | |
| South Europe | Italy | 15183 | 2002–2009 | 860 (7–2891) | 20 ± 8 | 12 ± 4 | 22 ± 13 | 839 ± 636 | 6315 ± 4897 | 20–40 | 497 ± 293 | 635 ± 179 |
| Spain | 60033 | 2000–2008 | 842 (1–2549) | 23 ± 13 | 10 ± 4 | 13 ± 11 | 491 ± 516 | 4003 ± 3918 | 40–60 | 288 ± 246 | 606 ± 293 | |
| all | 75216 | 2000–2009 | 831 (1–2891) | 22 ± 12 | 10 ± 4 | 15 ± 12 | 561 ± 560 | 4469 ± 4237 | 40–60 | 330 ± 269 | 578 ± 275 | |
| All countries | - | 196434 | – | 548 (−5–2891) | 22 ± 11 | 13 ± 7 | 20 ± 15 | 900 ± 2646 | 7298 ± 6916 | 40–60 | 469 ± 325 | 597 ± 252 |
| NPP and ∆NPP (gC·m−2·year−1) | MODIS | MODIS | ∆NPP | Rel. ∆NPP [%] | ||||
|---|---|---|---|---|---|---|---|---|
| GLOB | EURO | NFI NPP | GLOB | EURO | GLOB | EURO | ||
| All Countries | 680 | 577 | 539 | 141 | 38 | 26% | 7% | |
| North Europe | Finland | 471 | 399 | 414 | 57 | −15 | 14% | −4% |
| Norway | 484 | 406 | 409 | 75 | −3 | 18% | −1% | |
| Estonia | 534 | 504 | 492 | 42 | 12 | 9% | 3% | |
| all | 519 | 479 | 461 | 58 | 18 | 13% | 4% | |
| Central-West Europe | Austria | 739 | 612 | 634 | 105 | −22 | 17% | −4% |
| Belgium | 732 | 599 | 644 | 88 | −45 | 14% | −7% | |
| France | 787 | 666 | 604 | 183 | 62 | 30% | 10% | |
| Germany | 692 | 602 | 716 | −24 | −114 | −3% | −16% | |
| all | 759 | 645 | 615 | 144 | 30 | 23% | 5% | |
| Central-East Europe | Czech Republic | 696 | 618 | 553 | 143 | 65 | 26% | 12% |
| Poland | 641 | 571 | 659 | −19 | −88 | −3% | −13% | |
| Romania | 713 | 562 | 565 | 148 | −3 | 26% | −1% | |
| all | 677 | 592 | 595 | 82 | −3 | 14% | −1% | |
| South Europe | Italy | 862 | 657 | 635 | 227 | 22 | 36% | 4% |
| Spain | 632 | 555 | 503 | 129 | 52 | 26% | 10% | |
| all | 691 | 584 | 519 | 172 | 65 | 33% | 13% | |
© 2016 by the authors; licensee MDPI, Basel, Switzerland. This article is an open access article distributed under the terms and conditions of the Creative Commons Attribution (CC-BY) license (http://creativecommons.org/licenses/by/4.0/).
Share and Cite
Neumann, M.; Moreno, A.; Thurnher, C.; Mues, V.; Härkönen, S.; Mura, M.; Bouriaud, O.; Lang, M.; Cardellini, G.; Thivolle-Cazat, A.; et al. Creating a Regional MODIS Satellite-Driven Net Primary Production Dataset for European Forests. Remote Sens. 2016, 8, 554. https://doi.org/10.3390/rs8070554
Neumann M, Moreno A, Thurnher C, Mues V, Härkönen S, Mura M, Bouriaud O, Lang M, Cardellini G, Thivolle-Cazat A, et al. Creating a Regional MODIS Satellite-Driven Net Primary Production Dataset for European Forests. Remote Sensing. 2016; 8(7):554. https://doi.org/10.3390/rs8070554
Chicago/Turabian StyleNeumann, Mathias, Adam Moreno, Christopher Thurnher, Volker Mues, Sanna Härkönen, Matteo Mura, Olivier Bouriaud, Mait Lang, Giuseppe Cardellini, Alain Thivolle-Cazat, and et al. 2016. "Creating a Regional MODIS Satellite-Driven Net Primary Production Dataset for European Forests" Remote Sensing 8, no. 7: 554. https://doi.org/10.3390/rs8070554
APA StyleNeumann, M., Moreno, A., Thurnher, C., Mues, V., Härkönen, S., Mura, M., Bouriaud, O., Lang, M., Cardellini, G., Thivolle-Cazat, A., Bronisz, K., Merganic, J., Alberdi, I., Astrup, R., Mohren, F., Zhao, M., & Hasenauer, H. (2016). Creating a Regional MODIS Satellite-Driven Net Primary Production Dataset for European Forests. Remote Sensing, 8(7), 554. https://doi.org/10.3390/rs8070554

