Spatio-Temporal Variation and Impact Factors for Vegetation Carbon Sequestration and Oxygen Production Based on Rocky Desertification Control in the Karst Region of Southwest China
Abstract
:1. Introduction
2. Materials and Methods
2.1. Study Area

2.2. Data Acquisition and Preprocessing
2.3. Measurements of CSOP
2.4. Method of Residual Analysis
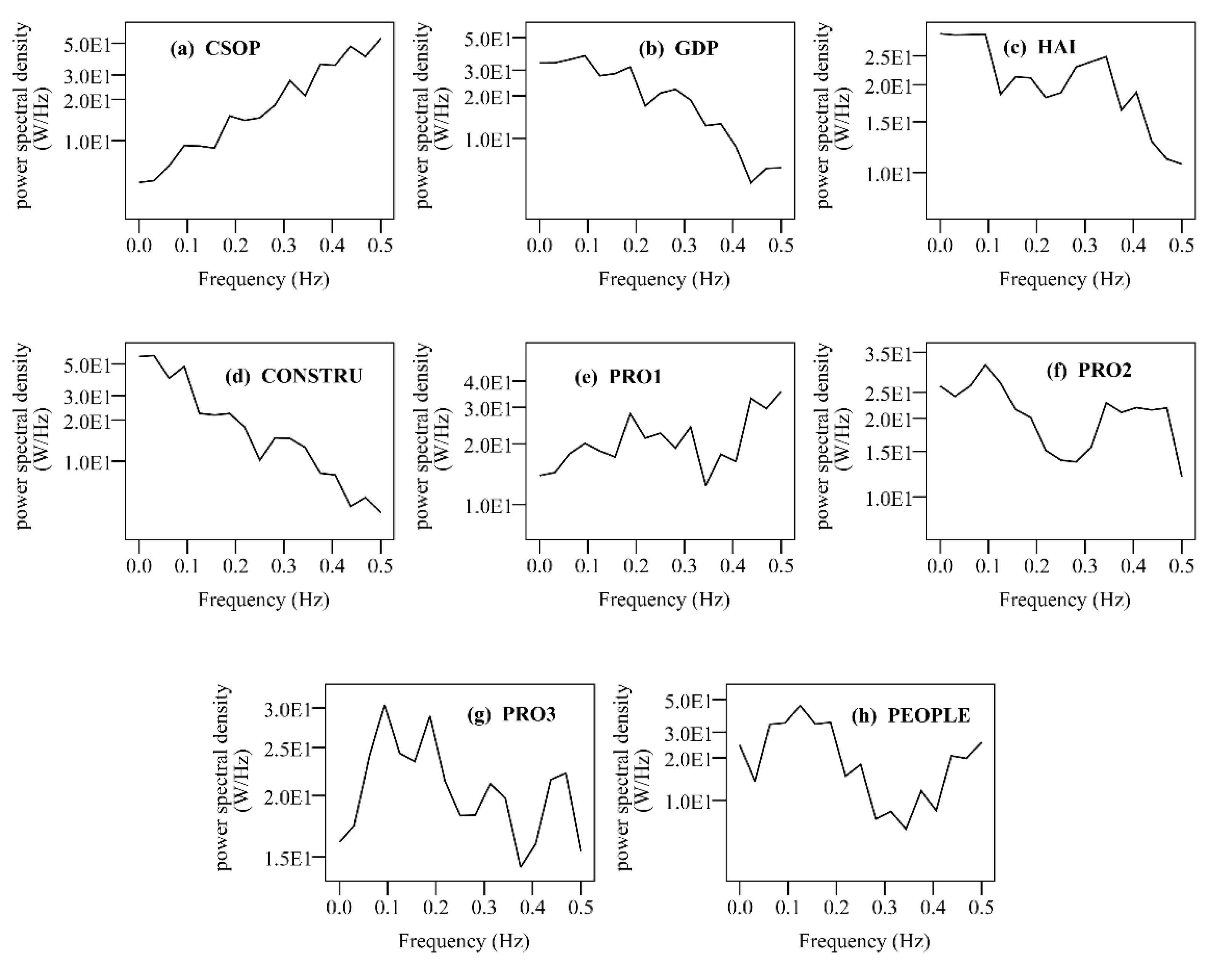
2.5. Methods for the Human Activity Index (HAI), Intensity of the GTGP (IGTGP), and Spectrum Analysis
3. Results
3.1. Spatiotemporal Variations of CSOP
3.1.1. Inter-Annual Changes of CSOP

| County Name | Area | Mean (t.ha−1) | Sum (106 t) | |||||
|---|---|---|---|---|---|---|---|---|
| km−2 | % | 2000 | 2010 | 00–10 | 2000 | 2010 | 00–10 | |
| Nandan | 3920.81 | 7.72 | 142.49 | 142.31 | −0.18 | 55.87 | 55.80 | −0.07 |
| Huanjiang | 4506.19 | 8.87 | 147.55 | 155.33 | 7.78 | 66.49 | 70.00 | 3.51 |
| Tiane | 3188.38 | 6.27 | 148.03 | 149.85 | 1.82 | 47.20 | 47.78 | 0.58 |
| Luocheng | 2633.81 | 5.18 | 158.72 | 160.88 | 2.16 | 41.80 | 42.37 | 0.57 |
| Leye | 2614.00 | 5.14 | 152.46 | 157.24 | 4.79 | 39.85 | 41.10 | 1.25 |
| Longlin | 3541.94 | 6.97 | 148.22 | 148.24 | 0.02 | 52.50 | 52.51 | 0.01 |
| Hechi | 2338.00 | 4.60 | 148.61 | 158.58 | 9.97 | 34.74 | 37.08 | 2.33 |
| Yizhou | 3815.19 | 7.51 | 155.35 | 159.88 | 4.52 | 59.27 | 61.00 | 1.72 |
| Donglan | 2398.94 | 4.72 | 143.32 | 150.99 | 7.67 | 34.38 | 36.22 | 1.84 |
| Fengshan | 1740.75 | 3.43 | 140.67 | 151.70 | 11.03 | 24.49 | 26.41 | 1.92 |
| Tianlin | 5532.31 | 10.89 | 162.46 | 164.85 | 2.39 | 89.88 | 91.20 | 1.32 |
| Xilin | 2969.56 | 5.84 | 169.11 | 152.14 | −16.97 | 50.22 | 45.18 | −5.04 |
| Lingyun | 2041.06 | 4.02 | 149.10 | 161.44 | 12.33 | 30.43 | 32.95 | 2.52 |
| Du‘an | 3989.69 | 7.85 | 173.43 | 153.72 | −19.71 | 69.19 | 61.33 | −7.86 |
| Bama | 1906.13 | 3.75 | 127.86 | 137.58 | 9.72 | 24.37 | 26.22 | 1.85 |
| Baise | 3681.44 | 7.24 | 163.11 | 183.91 | 20.80 | 60.05 | 67.70 | 7.66 |
| Total | 50818.20 | 100.00 | 153.63 | 156.41 | 2.78 | 780.73 | 794.84 | 14.11 |


3.1.2. Spatial Variation of CSOP
3.1.3. Self-Spatial Correlation Pattern of CSOP

3.2. Main Factors of Influencing CSOP
3.2.1. Variation and Correlation of Natural Factors


3.2.2. Human Factors that Affected CSOP
(1) The Characteristics of Land Use Change
| Forest | Shrub | Grass | Water | Farm | Building | Bareness land | |
|---|---|---|---|---|---|---|---|
| Forest | 27,820.17 | 35.10 | 5.68 | 2.76 | 35.16 | 3.40 | 0.00 |
| Shrub | 161.78 | 12,290.45 | 8.57 | 99.71 | 50.72 | 11.93 | 0.35 |
| Grass | 53.91 | 15.48 | 406.20 | 0.18 | 11.18 | 0.41 | 0.10 |
| Water | 1.85 | 0.42 | 0.15 | 543.06 | 4.42 | 0.32 | 0.00 |
| Farm | 14.49 | 4.83 | 0.11 | 9.05 | 8813.39 | 5.42 | 0.00 |
| Building | 0.02 | 0.01 | 0.00 | 0.00 | 0.16 | 414.51 | 0.00 |
| Bare land | 6.62 | 2.88 | 0.37 | 0.10 | 4.56 | 0.19 | 1.39 |
| Variation | 156.56 | −274.36 | −66.39 | 104.64 | 72.31 | 21.48 | −14.25 |
(2) Correlation between Human Activities and CSOP

| CSOP | HAI | GDP | PRO1 | PRO2 | PRO3 | CONSTRU | |
|---|---|---|---|---|---|---|---|
| HAI | −0.102 ** | ||||||
| GDP | 0.052 * | −0.197 ** | |||||
| PRO1 | 0.092 ** | −0.467 ** | 0.333 ** | ||||
| PRO2 | −0.012 | −0.373 ** | 0.621 ** | 0.553 ** | |||
| PRO3 | 0.056 * | −0.474 ** | 0.561 ** | 0.764 ** | 0.859 ** | ||
| CONSTRU | 0.108 ** | −0.425 ** | 0.671 ** | 0.386 ** | 0.405 ** | 0.591 ** | |
| PEOPLE | −0.027 | −0.110 ** | 0.457 ** | 0.378 ** | 0.111 ** | 0.455 ** | 0.638 ** |

(3) Influence of Ecological Projects on CSOP


| Clusters | CSOP (t·ha−1) | GDP (× 104 RMB¥·m−2) | PRO1 (× 104 RMB¥·km−2) | PRO2 (× 104 RMB¥·km−2) | PRO3 (× 104 RMB¥·km−2) | PEOPLE (Person·km−2) |
|---|---|---|---|---|---|---|
| Group 1 | 161.88 | 117.34 | 42.43 | 33.01 | 41.91 | 146.08 |
| Group 2 | 153.29 | 248.85 | 73.88 | 85.29 | 89.67 | 381.04 |
| Group 3 | 146.84 | 391.45 | 97.67 | 178.60 | 115.18 | 433.48 |
| Group 4 | 144.97 | 734.36 | 34.26 | 217.91 | 61.70 | 290.32 |
| Group 5 | 156.65 | 996.99 | 131.49 | 257.43 | 190.17 | 449.29 |
4. Discussion
5. Conclusions
Acknowledgments
Author Contributions
Conflicts of Interest
Abbreviations
| CSOP | carbon sequestration and oxygen production |
| HAI | human activities index |
| GDP | gross domestic product |
| PRO1 | production of primary industry |
| PRO2 | production of secondary industry |
| PRO3 | production of third industry |
| CONSTRU | construction area |
| PEOPLE | human population |
| GTGP | grain to green program |
| IGTGP | the intensity of grain to green program |
| CASA | the terrestrial carnegie ames stanford approach |
| NDVI | normalized difference vegetation index |
| NPP | net primary productivity |
| MODIS | moderate-resolution imaging spectroradiometry |
References
- Pan, Y.D.; Birdsey, R.A.; Fang, J.Y.; Houghton, R.; Kauppi, P.E.; Kurz, W.A.; Phillips, O.L.; Shvidenko, A.; Lewis, S.L.; Canadell, J.G.; et al. A large and persistent carbon sink in the world’s forests. Science 2011, 333, 988–993. [Google Scholar] [CrossRef] [PubMed]
- Wang, S.L.; Yeager, K.M.; Wan, G.J.; Liu, C.Q.; Wang, Y.C.; Lu, Y.C. Carbon export and HCO3− fate in carbonate catchments: A case study in the karst plateau of southwestern china. Appl. Geochem. 2012, 27, 64–72. [Google Scholar] [CrossRef]
- Dixon, R.K.; Brown, S.; Houghton, R.A.; Solomon, A.M.; Trexler, M.C.; Wisniewski, J. Carbon pools and flux of global forest ecosystems. Science 1994, 263, 185–190. [Google Scholar] [CrossRef] [PubMed]
- Pinzon, J.E.; Tucker, C.J. A non-stationary 1981–2012 AVHRR NDVI3g time series. Remote Sens. 2014, 6, 6929–6960. [Google Scholar] [CrossRef]
- Wang, X.; Cheng, G.; Li, X.; Lu, L.; Ma, M. An algorithm for gross primary production (GPP) and net ecosystem production (NEP) estimations in the midstream of the Heihe River Basin, China. Remote Sens. 2015, 7, 3651–3669. [Google Scholar] [CrossRef]
- Thevs, N.; Wucherer, W.; Buras, A. Spatial distribution and carbon stock of the Saxaul vegetation of the winter-cold deserts of Middle Asia. J. Arid Environ. 2013, 90, 29–35. [Google Scholar] [CrossRef]
- Ni, J. Carbon storage in terrestrial ecosystems of china: Estimates at different spatial resolutions and their responses to climate change. Clim. Change 2001, 49, 339–358. [Google Scholar] [CrossRef]
- Hou, W.; Gao, J.; Wu, S.; Dai, E. Interannual variations in growing-season NDVI and its correlation with climate variables in the southwestern karst region of china. Remote Sens. 2015, 7, 11105–11124. [Google Scholar] [CrossRef]
- Cai, H.; Yang, X.; Wang, K.; Xiao, L. Is forest restoration in the southwest china karst promoted mainly by climate change or human-induced factors? Remote Sens. 2014, 6, 9895–9910. [Google Scholar] [CrossRef]
- Parise, M.; de Waele, J.; Gutierrez, F. Engineering and environmental problems in Karst—An introduction. Eng. Geol. 2008, 99, 91–94. [Google Scholar] [CrossRef]
- Zhao, X.; Wei, H.; Liang, S.L.; Zhou, T.; He, B.; Tang, B.J.; Wu, D.H. Responses of natural vegetation to different stages of extreme drought during 2009–2010 in southwestern China. Remote Sens. 2015, 7, 14039–14054. [Google Scholar] [CrossRef]
- Zhang, M.; Zhang, C.; Wang, K.; Yue, Y.; Qi, X.; Fan, F. Spatiotemporal variation of karst ecosystem service values and its correlation with environmental factors in northwest Guangxi, China. Environ. Manag. 2011, 48, 933–944. [Google Scholar] [CrossRef] [PubMed]
- Yang, Q.-Q.; Wang, K.-L.; Zhang, C.; Yue, Y.-M.; Tian, R.-C.; Fan, F.-D. Spatio-temporal evolution of rocky desertification and its driving forces in karst areas of northwestern Guangxi, China. Environ. Earth Sci. 2010, 64, 383–393. [Google Scholar] [CrossRef]
- Zhang, M.; Wang, K.; Liu, H.; Zhang, C.; Wang, J.; Yue, Y.; Qi, X. How ecological restoration alters ecosystem services: An analysis of vegetation carbon sequestration in the karst area of northwest Guangxi, China. Environ. Earth Sci. 2015, 74, 5307–5317. [Google Scholar] [CrossRef]
- Feng, X.; Fu, B.; Lu, N.; Zeng, Y.; Wu, B. How ecological restoration alters ecosystem services: An analysis of carbon sequestration in China's Loess Plateau. Sci. Rep. 2013, 3. [Google Scholar] [CrossRef] [PubMed]
- Piao, S.L.; Fang, J.Y.; Ciais, P.; Peylin, P.; Huang, Y.; Sitch, S.; Wang, T. The carbon balance of terrestrial ecosystems in China. Nature 2009, 458, 1009–1013. [Google Scholar] [CrossRef] [PubMed]
- Brown, D.R.; Dettmann, P.; Rinaudo, T.; Tefera, H.; Tofu, A. Poverty alleviation and environmental restoration using the clean development mechanism: A case study from Humbo, Ethiopia. Environ. Manag. 2011, 48, 322–333. [Google Scholar] [CrossRef] [PubMed]
- Harris, N.L.; Brown, S.; Hagen, S.C.; Saatchi, S.S.; Petrova, S.; Salas, W.; Hansen, M.C.; Potapov, P.V.; Lotsch, A. Baseline map of carbon emissions from deforestation in tropical regions. Science 2012, 336, 1573–1576. [Google Scholar] [CrossRef] [PubMed]
- Evans, J.; Geerken, R. Discrimination between climate and human-induced dryland degradation. J. Arid Environ. 2004, 57, 535–554. [Google Scholar] [CrossRef]
- Xin, Z.B.; Xu, J.X.; Zheng, W. Spatiotemporal variations of vegetation cover on the Chinese Loess Plateau (1981–2006): Impacts of climate changes and human activities. Sci. China Ser. D 2008, 51, 67–78. [Google Scholar] [CrossRef]
- Field, C.B.; Randerson, J.T.; Malmstrom, C.M. Global net primary production: Combining ecology and remote sensing. Remote Sens. Environ. 1995, 51, 74–88. [Google Scholar] [CrossRef]
- Zhu, W.Q.; Pan, Y.Z.; He, H.; Yu, D.Y.; Hu, H.B. Simulation of maximum light use efficiency for some typical vegetation types in China. Chin. Sci. Bull. 2006, 51, 457–463. [Google Scholar] [CrossRef]
- Liu, Z.J.; Shao, Q.Q.; Liu, J.Y. The performances of MODIS-GPP and -ET products in China and their sensitivity to input data (FPAR/LAI). Remote Sens. 2015, 7, 135–152. [Google Scholar] [CrossRef]
- Running, S.W.; Coughlan, J.C. A general-model of forest ecosystem processes for regional applications 1. Hydrologic balance, canopy gas-exchange and primary production processes. Ecol. Model. 1988, 42, 125–154. [Google Scholar] [CrossRef]
- Thornthwaite, C.W. Atmospheric moisture in relation to ecological problems. Ecology 1940, 21, 17–28. [Google Scholar] [CrossRef]
- Su, C.-H.; Fu, B.-J.; He, C.-S.; Lü, Y.-H. Variation of ecosystem services and human activities: A case study in the Yanhe watershed of China. Acta Oecol. 2012, 44, 46–57. [Google Scholar] [CrossRef]
- Miyazaki, M.; Ouyang, C.; Zhou, X.Z.; Murdoch, J.B.; Fushimi, Y.; Okada, T.; Fujimoto, K.; Kido, A.; Arakawa, Y.; Miyamoto, S.; et al. Z-spectrum analysis provides proton environment data (ZAPPED): A new two-pool technique for human gray and white matter. PLoS ONE 2015, 10. [Google Scholar] [CrossRef] [PubMed]
- Zhu, H.Y. Underlying motivation for land use change: A case study on the variation of agricultural factor productivity in Xinjiang, China. J. Geogr. Sci. 2013, 23, 1041–1051. [Google Scholar] [CrossRef]
- Yan, J.H.; Wang, W.T.; Zhou, C.Y.; Li, K.; Wang, S.J. Responses of water yield and dissolved inorganic carbon export to forest recovery in the Houzhai Karst Basin, Southwest China. Hydrol. Process 2014, 28, 2082–2090. [Google Scholar] [CrossRef]
- Zhang, M.-Y.; Wang, K.-L.; Liu, H.-Y.; Zhang, C.-H.; Duan, Y.-F. Spatio-temporal variation of vegetation carbon storage and density in karst areas of northwest Guangxi based on remote sensing images. Chin. J. Eco-Agric. 2013, 21, 1545–1553. [Google Scholar] [CrossRef]
- Yue, Y.; Wang, K.; Zhang, B.; Chen, Z.; Jiao, Q.; Liu, B.; Chen, H. Exploring the relationship between vegetation spectra and eco-geo-environmental conditions in karst region, southwest China. Environ. Monit. Assess. 2010, 160, 157–168. [Google Scholar] [CrossRef] [PubMed]
- Yue, Y.; Zhang, B.; Wang, K.; Liu, B.; Li, R.; Jiao, Q.; Yang, Q.; Zhang, M. Spectral indices for estimating ecological indicators of karst rocky desertification. Int. J. Remote Sens. 2010, 31, 2115–2122. [Google Scholar] [CrossRef]
- Ngugi, M.R.; Johnson, R.W.; McDonald, W.J.F. Restoration of ecosystems for biodiversity and carbon sequestration: Simulating growth dynamics of brigalow vegetation communities in Australia. Ecol. Model. 2011, 222, 785–794. [Google Scholar] [CrossRef]
- Yu, Q.; Wang, S.; Mickler, R.; Huang, K.; Zhou, L.; Yan, H.; Chen, D.; Han, S. Narrowband bio-indicator monitoring of temperate forest carbon fluxes in northeastern China. Remote Sens. 2014, 6, 8986–9013. [Google Scholar] [CrossRef]
- Cheng, J.; Ji, Y.; Liu, H. Segmentation-based PoLSAR image classification using visual features: RHLBP and color features. Remote Sens. 2015, 7, 6079–6106. [Google Scholar] [CrossRef]
© 2016 by the authors; licensee MDPI, Basel, Switzerland. This article is an open access article distributed under the terms and conditions of the Creative Commons by Attribution (CC-BY) license (http://creativecommons.org/licenses/by/4.0/).
Share and Cite
Zhang, M.; Wang, K.; Liu, H.; Wang, J.; Zhang, C.; Yue, Y.; Qi, X. Spatio-Temporal Variation and Impact Factors for Vegetation Carbon Sequestration and Oxygen Production Based on Rocky Desertification Control in the Karst Region of Southwest China. Remote Sens. 2016, 8, 102. https://doi.org/10.3390/rs8020102
Zhang M, Wang K, Liu H, Wang J, Zhang C, Yue Y, Qi X. Spatio-Temporal Variation and Impact Factors for Vegetation Carbon Sequestration and Oxygen Production Based on Rocky Desertification Control in the Karst Region of Southwest China. Remote Sensing. 2016; 8(2):102. https://doi.org/10.3390/rs8020102
Chicago/Turabian StyleZhang, Mingyang, Kelin Wang, Huiyu Liu, Jing Wang, Chunhua Zhang, Yuemin Yue, and Xiangkun Qi. 2016. "Spatio-Temporal Variation and Impact Factors for Vegetation Carbon Sequestration and Oxygen Production Based on Rocky Desertification Control in the Karst Region of Southwest China" Remote Sensing 8, no. 2: 102. https://doi.org/10.3390/rs8020102
APA StyleZhang, M., Wang, K., Liu, H., Wang, J., Zhang, C., Yue, Y., & Qi, X. (2016). Spatio-Temporal Variation and Impact Factors for Vegetation Carbon Sequestration and Oxygen Production Based on Rocky Desertification Control in the Karst Region of Southwest China. Remote Sensing, 8(2), 102. https://doi.org/10.3390/rs8020102

