Characterizing Cropland Phenology in Major Grain Production Areas of Russia, Ukraine, and Kazakhstan by the Synergistic Use of Passive Microwave and Visible to Near Infrared Data
Abstract
:1. Introduction
2. Data and Methodology
2.1. Data
2.1.1. Remote Sensing Data
2.1.2. In Situ Data
2.2. Study Region
2.3. Methods
3. Results
3.1. Land Surface Seasonalities of Growing Degree-Days
3.1.1. Comparisons of GDD Derived from Satellite and Station Data
3.1.2. Convex Quadratic Models of GDD
3.1.3. Latitudinal Distributions of Thermal Regimes
3.1.4. Time Series of GDD Residuals
3.2. Land Surface Phenologies of Vegetation Indices
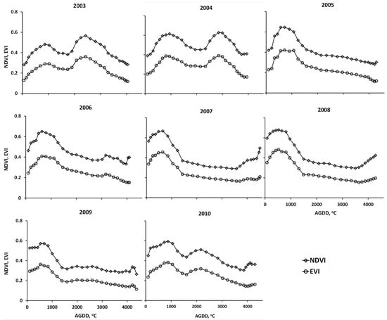
3.2.1. NDVI and EVI
3.2.2. Types of Land Surface Phenologies in Croplands
3.2.3. Interannual Variation in Land Surface Phenologies
3.2.4. Sensor-Specific Differences in Thermal Time to Peak VI
4. Discussion
4.1. Shifting Seasonal Patterns: Real or Illusory?
4.2. Growing Degree—Day Residuals versus Vegetation Indices
4.3. Heat Wave Impacts on LSPs
5. Conclusions
Supplementary Materials
Acknowledgments
Author Contributions
Conflicts of Interest
References
- Thenkabail, P.; Lyon, J.G.; Turral, H.; Biradar, C. Remote Sensing of Global Croplands for Food Security; CRC Press: Boca Raton, FL, USA, 2009. [Google Scholar]
- Lioubimtseva, E.; Henebry, G.M. Grain production trends in Russia, Ukraine and Kazakhstan: New opportunities in an increasingly unstable world? Front. Earth Sci. 2012, 6, 157–166. [Google Scholar] [CrossRef]
- Sobolev, D. Grain and Feed Update: Ukraine; UP1535; USDA Foreign Agricultural Service: Washington, DC, USA, 2015; p. 15.
- Lindeman, M. Ukraine: Crop Production Forecasts for 2014/15. Available online: http://www.fas.usda.gov/data/ukraine-crop-production-forecasts-201415 (accessed on 29 October 2015).
- Whitney, M. World Wheat Production Forecast Raised on EU to Ukraine. Available online: http://www.bloomberg.com/news/articles/2014-09-25/world-wheat-production-forecast-raised-on-eu-to-ukraine (accessed on 2 October 2015).
- Becker-Reshef, I.; Justice, C.; Sullivan, M.; Vermote, E.; Tucker, C.; Anyamba, A.; Small, J.; Pak, E.; Masuoka, E.; Schmaltz, J.; et al. Monitoring global croplands with coarse resolution earth observations: The Global Agriculture Monitoring (GLAM) Project. Remote Sens. 2010, 2, 1589–1609. [Google Scholar] [CrossRef]
- USDA Foreign Agricultural Service (USDA FAS). U.S. Department of Agriculture Foreign Agricultural Service Strategic Plan FY 2015–2018; USDA: Washington, DC, USA, 2015.
- Tucker, C.J. Red and photographic Infrared linear combinations for monitoring vegetation. Remote Sens. Environ. 1979, 8, 127–150. [Google Scholar] [CrossRef]
- Benedetti, R.; Rossini, P. On the use of NDVI profiles as a tool for agricultural statistics—The case-study of wheat yield estimate and forecast in Emilia-Romagna. Remote Sens. Environ. 1993, 45, 311–326. [Google Scholar] [CrossRef]
- Funk, C.; Budde, M.E. Phenologically-tuned MODIS NDVI-based production anomaly estimates for Zimbabwe. Remote Sens. Environ. 2009, 113, 115–125. [Google Scholar] [CrossRef]
- Maselli, F.; Conese, C.; Petkov, L.; Gilabert, M.A. Use of NOAA-AVHRR NDVI data for environmental monitoring and crop forecasting in the Sahel—Preliminary-results. Int. J. Remote Sens. 1992, 13, 2743–2749. [Google Scholar] [CrossRef]
- Rasmussen, M.S. Assessment of millet yields and production in northern Burkina-Faso using integrated NDVI from the AVHRR. Int. J. Remote Sens. 1992, 13, 3431–3442. [Google Scholar] [CrossRef]
- Mkhabela, M.S.; Bullock, P.; Raj, S.; Wang, S.; Yang, Y. Crop yield forecasting on the Canadian Prairies using MODIS NDVI data. Agric. For. Meteorol. 2011, 151, 385–393. [Google Scholar] [CrossRef]
- Famine Early Warning System Network (FEWS NET). USGS Famine Early Warning System NET Data Portal. Available online: http://earlywarning.usgs.gov/fews (accessed on 15 February 2014).
- Czerwinski, C.J.; King, D.J.; Mitchell, S.W. Mapping forest growth and decline in a Temperate Mixed Forest using temporal trend analysis of Landsat imagery, 1987–2010. Remote Sens. Environ. 2014, 141, 188–200. [Google Scholar] [CrossRef]
- Gitelson, A.A. Wide dynamic range vegetation index for remote quantification of biophysical characteristics of vegetation. J. Plant Physiol. 2004, 161, 165–173. [Google Scholar] [CrossRef] [PubMed]
- Viña, A.; Henebry, G.M.; Gitelson, A.A. Satellite monitoring of vegetation dynamics: Sensitivity enhancement by the wide dynamic range vegetation index. Geophys. Res. Lett. 2004, 31. [Google Scholar] [CrossRef]
- Huete, A.; Didan, K.; Miura, T.; Rodriguez, E.P.; Gao, X.; Ferreira, L.G. Overview of the radiometric and biophysical performance of the MODIS vegetation indices. Remote Sens. Environ. 2002, 83, 195–213. [Google Scholar] [CrossRef]
- Wardlow, B.; Egbert, S.; Kastens, J. Analysis of time-series MODIS 250 m vegetation index data for crop classification in the U.S. Central Great Plains. Remote Sens. Environ. 2007, 108, 290–310. [Google Scholar] [CrossRef]
- De Beurs, K.M.; Henebry, G.M. Land surface phenology, climatic variation, and institutional change: Analyzing agricultural land cover change in Kazakhstan. Remote Sens. Environ. 2004, 89, 497–509. [Google Scholar] [CrossRef]
- De Beurs, K.M.; Henebry, G.M. Spatio-temporal statistical methods for modelling land surface phenology. In Phenological Research: Methods for Environmental and Climate Change Analysis, 2nd ed.; Hudson, I.L., Keatley, M.R., Eds.; Springer: Dordrecht, The Netherland, 2010; pp. 177–208. [Google Scholar]
- Gumma, M.K.; Nelson, A.; Thenkabail, P.S.; Singh, A.N. Mapping rice areas of south Asia using MODIS multitemporal data. J. Appl. Remote Sens. 2011, 5. [Google Scholar] [CrossRef]
- Thenkabail, P.; GangadharaRao, P.; Biggs, T.; Krishna, M.; Turral, H. Spectral matching techniques to determine historical land-use/land-cover (LULC) and irrigated areas using time-series 0.1-degree AVHRR pathfinder datasets. Photogramm. Eng. Remote Sens. 2007, 73, 1029–1040. [Google Scholar]
- Xiao, X.M.; Boles, S.; Frolking, S.; Li, C.S.; Babu, J.Y.; Salas, W.; Moore, B. Mapping paddy rice agriculture in south and southeast Asia using multi-temporal MODIS images. Remote Sens. Environ. 2006, 100, 95–113. [Google Scholar] [CrossRef]
- Xiao, X.M.; Boles, S.; Liu, J.Y.; Zhuang, D.F.; Frolking, S.; Li, C.S.; Salas, W.; Moore, B. Mapping paddy rice agriculture in southern China using multi-temporal MODIS images. Remote Sens. Environ. 2005, 95, 480–492. [Google Scholar] [CrossRef]
- Doraiswamy, P.C.; Hatfield, J.L.; Jackson, T.J.; Akhmedov, B.; Prueger, J.; Stern, A. Crop condition and yield simulations using Landsat and MODIS. Remote Sens. Environ. 2004, 92, 548–559. [Google Scholar] [CrossRef]
- Fang, H.; Liang, S.; Hoogenboom, G. Integration of MODIS LAI and vegetation index products with the CSM–CERES–Maize model for corn yield estimation. Int. J. Remote Sens. 2011, 32, 1039–1065. [Google Scholar] [CrossRef]
- Rojas, O.; Vrieling, A.; Rembold, F. Assessing drought probability for agricultural areas in Africa with coarse resolution remote sensing imagery. Remote Sens. Environ. 2011, 115, 343–352. [Google Scholar] [CrossRef]
- Bolton, D.K.; Friedl, M.A. Forecasting crop yield using remotely sensed vegetation indices and crop phenology metrics. Agric. For. Meteorol. 2013, 173, 74–84. [Google Scholar] [CrossRef]
- Moriondo, M.; Maselli, F.; Bindi, M. A simple model of regional wheat yield based on NDVI data. Eur. J. Agron. 2007, 26, 266–274. [Google Scholar] [CrossRef]
- De Beurs, K.M.; Henebry, G.M. Northern annular mode effects on the land surface phenologies of northern Eurasia. J. Clim. 2008, 21, 4257–4279. [Google Scholar] [CrossRef]
- Los, S.O.; Collatz, G.J.; Bounoua, L.; Sellers, P.J.; Tucker, C.J. Global interannual variations in sea surface temperature and land surface vegetation, air temperature, and precipitation. J. Clim. 2001, 14, 1535–1549. [Google Scholar] [CrossRef]
- Pitt, M.D.; Heady, H.F. Responses of annual vegetation to temperature and rainfall patterns in northern California. Ecology 1978, 59, 336–350. [Google Scholar] [CrossRef]
- Morisette, J.T.; Richardson, A.D.; Knapp, A.K.; Fisher, J.I.; Graham, E.A.; Abatzoglou, J.; Wilson, B.E.; Breshears, D.D.; Henebry, G.M.; Hanes, J.M.; et al. Tracking the rhythm of the seasons in the face of global change: Phenological research in the 21st century. Front. Ecol. Environ. 2009, 7, 253–260. [Google Scholar] [CrossRef]
- Zhang, X.Y.; Friedl, M.A.; Schaaf, C.B.; Strahler, A.H. Climate controls on vegetation phenological patterns in northern mid- and high latitudes inferred from MODIS data. Glob. Chang. Biol. 2004, 10, 1133–1145. [Google Scholar] [CrossRef]
- Alemu, W.G.; Henebry, G.M. Land surface phenologies and seasonalities using cool earthlight in mid-latitude croplands. Environ. Res. Lett. 2013, 8. [Google Scholar] [CrossRef]
- Ritchie, J.T.; NeSmith, D.S. Temperature and crop development. In Modeling Plant and Soil Systems; Agronomy Monograph 31; Hanks, R.J., Ritchie, J.T., Eds.; American Society of Agronomy, Crop Science Society of America, Soil Science Society of America: Madison, WI, USA, 1991; pp. 5–29. [Google Scholar]
- Gordon, R.; Bootsma, A. Analyses of growing degree-days for agriculture in Atlantic Canada. Clim. Res. 1993, 3, 169–176. [Google Scholar] [CrossRef]
- Asseng, S.; Foster, I.; Turner, N.C. The impact of temperature variability on wheat yields. Glob. Chang. Biol. 2011, 17, 997–1012. [Google Scholar] [CrossRef]
- Wang, X.; Piao, S.; Ciais, P.; Li, J.; Friedlingstein, P.; Koven, C.; Chen, A. Spring temperature change and its implication in the change of vegetation growth in North America from 1982 to 2006. Proc. Natl. Acad. Sci. USA 2011, 108, 1240–1245. [Google Scholar] [CrossRef] [PubMed]
- McMaster, G.S.; Wilhelm, W.W. Growing degree-days: One equation, two interpretations. Agric. For. Meteorol. 1997, 87, 291–300. [Google Scholar] [CrossRef]
- Goodin, D.G.; Henebry, G.M. A technique for monitoring ecological disturbance in Tallgrass Prairie using seasonal NDVI trajectories and a discriminant function mixture model. Remote Sens. Environ. 1997, 61, 270–278. [Google Scholar] [CrossRef]
- Viña, A.; Gitelson, A.A.; Rundquist, D.C.; Keydan, G.; Leavitt, B.; Schepers, J. Monitoring maize (Zea mays L.) phenology with remote sensing. Agron. J. 2004, 96, 1139–1147. [Google Scholar] [CrossRef]
- Boschetti, M.; Stroppiana, D.; Brivio, P.A.; Bocchi, S. Multi-year monitoring of rice crop phenology through time series analysis of MODIS images. Int. J. Remote Sens. 2009, 30, 4643–4662. [Google Scholar] [CrossRef]
- Sarma, A.; Kumar, T.V.L.; Koteswararao, K. Development of an agroclimatic model for the estimation of rice yield. J. Indian Geophys. Union 2008, 12, 89–96. [Google Scholar]
- Teal, R.K.; Tubana, B.; Girma, K.; Freeman, K.W.; Arnall, D.B.; Walsh, O.; Raun, W.R. In-season prediction of corn grain yield potential using Normalized Difference Vegetation Index. Agron. J. 2006, 98, 1488–1494. [Google Scholar] [CrossRef]
- Raun, W.R.; Solie, J.B.; Johnson, G.V.; Stone, M.L.; Lukina, E.V.; Thomason, W.E.; Schepers, J.S. In-season prediction of potential grain yield in winter wheat using canopy reflectance. Agron. J. 2001, 93, 131–138. [Google Scholar] [CrossRef]
- Henebry, G.M.; de Beurs, K.M. Remote sensing of land surface phenology: A prospectus. In Phenology: An Integrative Environmental Science; Schwartz, M.D., Ed.; Springer: Dordrecht, The Netherlands, 2013; Volume 2, pp. 385–411. [Google Scholar]
- Still, C.J.; Pau, S.; Edwards, E.J. Land surface skin temperature captures thermal environments of C3 and C4 grasses. Glob. Ecol. Biogeogr. 2014, 23, 286–296. [Google Scholar] [CrossRef]
- Henebry, G.M.; de Beurs, K.M.; Wright, C.K.; Ranjeet, J.; Lioubimtseva, E. Dryland East Asia in hemispheric context. In Dryland East Asia: Land Dynamics amid Social and Climate Change; Chen, J., Wan, S., Henebry, G., Qi, J., Gutman, G., Sun, G., Kappas, M., Eds.; Walter de Gruyter GMbH: Boston, MA, USA, 2013; pp. 23–43. [Google Scholar]
- Hassan, Q.K.; Bourque, C.P.A.; Meng, F.R. Application of Landsat-7 ETM+ and MODIS products in mapping seasonal accumulation of growing degree days at an enhanced resolution. J. Appl. Remote Sens. 2007, 1, 013539. [Google Scholar] [CrossRef]
- Neteler, M. Estimating daily land surface temperatures in mountainous environments by reconstructed MODIS LST data. Remote Sens. 2010, 2, 333–351. [Google Scholar] [CrossRef]
- Jones, M.O.; Jones, L.A.; Kimball, J.S.; McDonald, K.C. Satellite passive microwave remote sensing for monitoring global land surface phenology. Remote Sens. Environ. 2011, 115, 1102–1114. [Google Scholar] [CrossRef]
- Jones, M.O.; Kimball, J.S.; Jones, L.A.; McDonald, K.C. Satellite passive microwave detection of North America start of season. Remote Sens. Environ. 2012, 123, 324–333. [Google Scholar] [CrossRef]
- Liu, Y.Y.; van Dijk, A.I.J.M.; McCabe, M.F.; Evans, J.P.; de Jeu, R.A.M. Global vegetation biomass change (1988–2008) and attribution to environmental and human drivers. Glob. Ecol. Biogeogr. 2013, 22, 692–705. [Google Scholar] [CrossRef]
- Piper, S.C.; Stewart, E.F. A gridded global data set of daily temperature and precipitation for terrestrial biospheric modeling. Glob. Biogeochem. Cycles 1996, 10, 757–782. [Google Scholar] [CrossRef]
- Jones, L.A.; Ferguson, C.R.; Kimball, J.S.; Zhang, K.; Chan, S.T.K.; McDonald, K.C.; Njoku, E.G.; Wood, E.F. Satellite microwave remote sensing of daily land surface air temperature minima and maxima from AMSR-E. IEEE J. Sel. Top. Appl. Earth Obs. Remote Sens. 2010, 3, 111–123. [Google Scholar] [CrossRef]
- Jones, L.A.; Kimball, J.S. Daily Global Land Surface Parameters Derived from AMSR-E. Boulder Colorado USA: National Snow and Ice Data Center. Available online: http://nsidc.org/data/nsidc-0451.html (accessed on 15 May 2012).
- Land Processes Distributed Active Archive Center (LP DAAC). Modis Products Table. Available online: https://lpdaac.usgs.gov/dataset_discovery/modis/modis_products_table (accessed on 24 December 2013).
- Schaaf, C.B.; Gao, F.; Strahler, A.H.; Lucht, W.; Li, X.W.; Tsang, T.; Strugnell, N.C.; Zhang, X.Y.; Jin, Y.F.; Muller, J.P.; et al. First operational BRDF, albedo nadir reflectance products from MODIS. Remote Sens. Environ. 2002, 83, 135–148. [Google Scholar] [CrossRef]
- Friedl, M.A.; Sulla-Menashe, D.; Tan, B.; Schneider, A.; Ramankutty, N.; Sibley, A.; Huang, X.M. MODIS collection 5 global land cover: Algorithm refinements and characterization of new datasets. Remote Sens. Environ. 2010, 114, 168–182. [Google Scholar] [CrossRef]
- USDA Foreign Agricultural Service (USDA FAS). Russia—Crop Production Maps. Available online: http://www.pecad.fas.usda.gov/rssiws/al/rs_cropprod.htm (accessed on 15 February 2014).
- USDA Foreign Agricultural Service (USDA FAS). Kazakhstan—Crop Production Maps. Available online: http://www.pecad.fas.usda.gov/rssiws/al/kz_cropprod.htm (accessed on 15 February 2014).
- USDA Foreign Agricultural Service (USDA FAS). Ukraine—Crop production maps. Available online: http://www.pecad.fas.usda.gov/rssiws/al/up_cropprod.htm (accessed on 15 February 2014).
- Yang, W.; Yang, L.; Merchant, J.W. An assessment of AVHRR/NDVI-ecoclimatological relations in Nebraska, U.S.A. Int. J. Remote Sens. 1997, 18, 2161–2180. [Google Scholar] [CrossRef]
- Wang, J.; Price, K.P.; Rich, P.M. Spatial patterns of NDVI in response to precipitation and temperature in the Central Great Plains. Int. J. Remote Sens. 2001, 22, 3827–3844. [Google Scholar] [CrossRef]
- Henebry, G.M. Phenologies of North American grasslands and grasses. In Phenology: An Integrative Environmental Science; Schwartz, M.D., Ed.; Springer: Dordrecht, The Netherlands, 2013; pp. 197–210. [Google Scholar]
- McMaster, G.S. Phytomers, phyllochrons, phenology and temperate cereal development. J. Agric. Sci. 2005, 143, 137–150. [Google Scholar] [CrossRef]
- Owen, S.V.; Froman, R.D. Focus on qualitative methods uses and abuses of the analysis of covariance. Res. Nurs. Health 1998, 21, 557–562. [Google Scholar] [CrossRef]
- Dole, R.; Hoerling, M.; Perlwitz, J.; Eischeid, J.; Pegion, P.; Zhang, T.; Quan, X.-W.; Xu, T.; Murray, D. Was there a basis for anticipating the 2010 Russian heat wave? Geophys. Res. Lett. 2011, 38, L06702. [Google Scholar] [CrossRef]
- De Bono, A.; Peduzzi, P.; Kluser, S.; Giuliani, G. Impacts of Summer 2003 Heat Wave in Europe; UNEP /DEWA/GRID-Europe: Geneva, Switzerland, 2004; Environment Alert Bulletin No. 2; p. 4. [Google Scholar]
- Founda, D.; Giannakopoulos, C. The exceptionally hot summer of 2007 in Athens, Greece—A typical summer in the future climate? Glob. Planet. Chang. 2009, 67, 227–236. [Google Scholar] [CrossRef]
- De Beurs, K.M.; Ioffe, G. Use of Landsat and MODIS data to remotely estimate Russia’s sown area. J. Land Use Sci. 2014, 9, 377–401. [Google Scholar] [CrossRef]
- Roland, K.; Alexander, V.P.; Daniel, M.; Tobias, K.; Volker, C.R.; Andrey, D.; Alexey, T.; Manfred, F. Long-term agricultural land-cover change and potential for cropland expansion in the former virgin lands area of kazakhstan. Environ. Res. Lett. 2015, 10, 054012. [Google Scholar]
- Kuemmerle, T.; Hostert, P.; Radeloff, V.C.; van der Linden, S.; Perzanowski, K.; Kruhlov, I. Cross-border comparison of post-socialist farmland abandonment in the carpathians. Ecosystems 2008, 11, 614–628. [Google Scholar] [CrossRef]
- Henebry, G.M. Global change: Carbon in idle croplands. Nature 2009, 457, 1089–1090. [Google Scholar] [CrossRef] [PubMed]
- Kamp, J.; Urazaliev, R.; Donald, P.F.; Hölzel, N. Post-Soviet agricultural change predicts future declines after recent recovery in Eurasian Steppe bird populations. Biol. Conserv. 2011, 144, 2607–2614. [Google Scholar] [CrossRef]
- Ioffe, G.; Nefedova, T.; Kirsten, D.B. Land abandonment in Russia. Eurasian Geogr. Econ. 2012, 53, 527–549. [Google Scholar] [CrossRef]
- Ioffe, G.; Nefedova, T.; de Beurs, K. Agrarian transformation in the Russian breadbasket: Contemporary trends as manifest in Stavropol’. Post-Sov. Aff. 2014, 30, 441–463. [Google Scholar] [CrossRef]
- Schierhorn, F.; Müller, D.; Beringer, T.; Prishchepov, A.V.; Kuemmerle, T.; Balmann, A. Post-Soviet cropland abandonment and carbon sequestration in European Russia, Ukraine, and Belarus. Glob. Biogeochem. Cycles 2013, 27, 1175–1185. [Google Scholar] [CrossRef]
- Nemani, R.R.; Keeling, C.D.; Hashimoto, H.; Jolly, W.M.; Piper, S.C.; Tucker, C.J.; Myneni, R.B.; Running, S.W. Climate-driven increases in global terrestrial net primary production from 1982 to 1999. Science 2003, 300, 1560–1563. [Google Scholar] [CrossRef] [PubMed]
- Trenberth, K.E.; Fasullo, J.T. Climate extremes and climate change: The Russian heat wave and other climate extremes of 2010. J. Geophys. Res. Atmos. 2012, 117, D17103. [Google Scholar] [CrossRef]
- Wright, C.K.; de Beurs, K.M.; Henebry, G.M. Land surface anomalies preceding the 2010 Russian heat wave and a link to the North Atlantic Oscillation. Environ. Res. Lett. 2014, 9, 124015. [Google Scholar] [CrossRef]
- Grumm, R.H. The Central European and Russian heat event of July–August 2010. In Bulletin of the American Meteorological Society; American Meteorological Society: Boston, MA, USA, 2011; Volume 92, pp. 1285–1296. [Google Scholar]
- Du, J.; Kimball, J.S.; Shi, J.; Jones, L.A.; Wu, S.; Sun, R.; Yang, H. Inter-calibration of satellite passive microwave land observations from AMSR-E and AMSR2 using overlapping FY3B-MWRI sensor measurements. Remote Sens. 2014, 6, 8594–8616. [Google Scholar] [CrossRef]
- Du, J.; Kimball, J.S.; Jones, L.A. Satellite microwave retrieval of total precipitable water vapor and surface air temperature over land from AMSR2. IEEE Trans. Geosci. Remote Sens. 2015, 53, 2520–2531. [Google Scholar] [CrossRef]

















| Year/Site | Simferopol, UA | Odesa, UA | Mykolayiv, UA | Kirovohrad, UA | Kharkiv 2, UA | Saratov 4, RU | ||||||
|---|---|---|---|---|---|---|---|---|---|---|---|---|
| Tmax | Tmin | Tmax | Tmin | Tmax | Tmin | Tmax | Tmin | Tmax | Tmin | Tmax | Tmin | |
| 2003 | 0 | 0 | 4 | 6 | 0 | 0 | 0 | 2 | 3 | 4 | 0 | 0 |
| 2004 | 57 | 51 | 70 | 70 | 58 | 52 | 58 | 52 | 58 | 53 | 0 | 0 |
| 2005 | 59 | 41 | 61 | 41 | 60 | 43 | 59 | 42 | 59 | 41 | 0 | 0 |
| 2006 | 44 | 21 | 49 | 28 | 45 | 22 | 44 | 22 | 44 | 22 | 0 | 0 |
| 2007 | 68 | 56 | 68 | 59 | 68 | 59 | 70 | 59 | 68 | 55 | 0 | 0 |
| 2008 | 70 | 55 | 71 | 56 | 71 | 56 | 71 | 56 | 70 | 55 | 0 | 0 |
| 2009 | 90 | 82 | 91 | 84 | 91 | 84 | 90 | 86 | 90 | 82 | 0 | 0 |
| 2010 | 100 | 100 | 100 | 100 | 100 | 100 | 100 | 100 | 100 | 100 | 0 | 0 |
| Color in LC Map | Red = Max% LC | Green = Mean% LC | Blue = Range% LC | Interpretation |
|---|---|---|---|---|
| Black | None | None | None | Land cover (LC) class absent |
| Blues | Low | Low | High | Unstable but ephemeral periphery; rare and erratic |
| Magentas | High | Low | High | Unstable but persistent periphery; sometimes high, but usually low |
| Whites | High | High | High | Unstable core; sometimes low, but usually high |
| Yellows | High | High | Low | Stable core of LC; always high so low range |
| Site No. | Name | Latitude | Longitude | Cropland (%) | Range (%) | Site No. | Name | Latitude | Longitude | Cropland (%) | Range (%) |
|---|---|---|---|---|---|---|---|---|---|---|---|
| 1 | Cherkessk, RU | 44.4 | 43.5 | 99 | 0.6 | 26 | Kursk, RU | 52.1 | 37.5 | 95 | 4.1 |
| 2 | Stavropol, RU | 45.0 | 42.4 | 100 | 0.3 | 27 | Orenburg, RU | 52.4 | 55.2 | 94 | 4.7 |
| 3 | Krasnodar, RU | 45.6 | 39.6 | 98 | 0.6 | 28 | Kokshetau 1, KZ | 52.7 | 69.2 | 91 | 8.5 |
| 4 | Simferopol’, UA | 45.6 | 34.1 | 100 | 1.2 | 29 | Barnaul 2, RU | 52.7 | 83.0 | 99 | 0.7 |
| 5 | Tulcea, UA | 45.8 | 29.2 | 96 | 0.3 | 30 | Kuybyskev 2, RU | 52.7 | 50.2 | 91 | 9.6 |
| 6 | Rostov-on-Don 2, RU | 46.7 | 39.8 | 100 | 0.2 | 31 | Orel, RU | 52.7 | 35.7 | 64 | 2.7 |
| 7 | Odesa, UA | 47.3 | 30.7 | 100 | 0.0 | 32 | Kokshetau 2, KZ | 53.0 | 67.4 | 79 | 10.6 |
| 8 | Rostov-on-Do 1, RU | 47.5 | 40.9 | 88 | 6.2 | 33 | Lipetsk, RU | 53.0 | 39.1 | 84 | 4.4 |
| 9 | Donets’k, UA | 47.5 | 37.7 | 100 | 0.7 | 34 | Kokshetau 3, KZ | 53.7 | 68.2 | 84 | 10.0 |
| 10 | Mykolayiv, UA | 47.5 | 32.3 | 100 | 0.1 | 35 | Kostanay 1, KZ | 53.7 | 63.3 | 78 | 8.0 |
| 11 | Zaporiyhzhya 1, UA | 47.8 | 35.7 | 100 | 0.1 | 36 | Kostanay 2, KZ | 53.7 | 62.2 | 86 | 18.5 |
| 12 | Zaporiyhzhya 2, UA | 48.1 | 34.1 | 100 | 0.0 | 37 | Kurgan, KZ | 53.7 | 65.6 | 74 | 17.3 |
| 13 | Luhans’k, RU | 48.7 | 40.4 | 99 | 2.1 | 38 | Barnaul_1, RU | 53.7 | 79.4 | 82 | 11.3 |
| 14 | Volgograd, RU | 48.7 | 44.8 | 46 | 13.4 | 39 | Kokshetau 4, KZ | 54.0 | 69.0 | 93 | 4.7 |
| 15 | Kirovohrad, UA | 48.7 | 31.8 | 99 | 1.0 | 40 | Kostanay 3, KZ | 54.0 | 64.0 | 79 | 15.7 |
| 16 | Kharkiv 2, UA | 49.0 | 36.2 | 91 | 6.6 | 41 | Petropavlovsk 2, KZ | 54.4 | 70.8 | 97 | 3.6 |
| 17 | Khmel’nyts’kyz, UA | 49.0 | 26.8 | 88 | 11.0 | 42 | Petropavlovsk 3, KZ | 54.4 | 67.4 | 92 | 5.4 |
| 18 | Vinnytsya, UA | 49.0 | 28.9 | 96 | 0.5 | 43 | Kuybyskev 1, RU | 54.4 | 50.8 | 95 | 8.8 |
| 19 | Poltava, UA | 49.6 | 35.1 | 97 | 1.6 | 44 | Ryazan, RU | 54.4 | 39.3 | 65 | 13.7 |
| 20 | Kharkiv 1, UA | 49.9 | 37.0 | 72 | 3.9 | 45 | Petropavlovsk 1, KZ | 54.7 | 69.5 | 86 | 4.4 |
| 21 | Saratov 1, RU | 50.8 | 46.9 | 69 | 27.9 | 46 | Omsk 1, RU | 54.7 | 72.9 | 61 | 18.7 |
| 22 | Sumy, UA | 50.8 | 34.1 | 85 | 7.1 | 47 | Omsk 2, RU | 55.0 | 74.5 | 59 | 14.5 |
| 23 | Semipalatinsk, RU | 51.4 | 81.7 | 98 | 3.3 | 48 | Cheboksary, RU | 55.7 | 47.1 | 93 | 6.1 |
| 24 | Voronezh, RU | 51.4 | 39.8 | 98 | 1.7 | 49 | Kazan’, RU | 56.1 | 49.5 | 81 | 2.3 |
| 25 | Saratov 4, RU | 51.8 | 45.3 | 88 | 3.6 | ||||||
| Site | LULC (Stations) | LULC (AMSR-E Pixels) | ||||
|---|---|---|---|---|---|---|
| CRP | CNVM | UBU | CRP | CNVM | UBU | |
| Simferopol, UA | 97.9 | 0.0 | 2.1 | 99.7 | 0.0 | 0.0 |
| Odesa, UA | 100.0 | 0.0 | 0.0 | 100.0 | 0.0 | 0.0 |
| Mykolaiv, UA | 98.5 | 0.0 | 1.5 | 99.6 | 0.0 | 0.0 |
| Kirovohrad, UA | 99.5 | 0.3 | 0.0 | 98.7 | 0.2 | 0.0 |
| Kharkiv_2, UA | 91.5 | 0.7 | 7.4 | 91.0 | 0.3 | 3.4 |
| Saratov_4, RU | 97.3 | 2.7 | 0.0 | 88.4 | 11.4 | 0.0 |
| Site | RMSE * | Intercept | Slope | r2 | ANCOVA (p Value) | |||||
|---|---|---|---|---|---|---|---|---|---|---|
| AMS | MOD | AMS | MOD | AMS | MOD | AMS | MOD | Slope | Intercept | |
| Simferopol, UA | 13.77 | 29.89 | 16.84 | 17.71 | 0.95 | 1.05 | 0.95 | 0.88 | 0.447 | <0.05 |
| Odesa, UA | 23.95 | 24.19 | 31.88 | 8.29 | 0.88 | 1.06 | 0.87 | 0.88 | 0.177 | 0.080 |
| Mykolaiv, UA | 20.56 | 23.81 | 25.82 | 0.74 | 0.92 | 1.13 | 0.92 | 0.92 | <0.05 | 0.224 |
| Kirovohrad, UA | 18.34 | 22.25 | 23.58 | −1.70 | 0.92 | 1.11 | 0.93 | 0.89 | 0.096 | 0.328 |
| Kharkiv_2, UA | 17.41 | 18.23 | 28.80 | −5.94 | 0.83 | 1.09 | 0.91 | 0.91 | <0.05 | 0.231 |
| Saratov_4, RU | 20.22 | 16.31 | 32.52 | −1.76 | 0.84 | 1.06 | 0.96 | 0.92 | <0.05 | <0.05 |
| Site | Weather | Metric | 1st Peak | 2nd Peak | ||
|---|---|---|---|---|---|---|
| Value | AGDD | Value | AGDD | |||
| Kuybyskev_2, RU | Average | GDD | 180.00 | 722 | 190.00 | 2060 |
| NDVI | 0.59 | 1230 | ||||
| EVI | 0.34 | 1230 | ||||
| Kuybyskev_2, RU | Heat wave | GDD | 250.00 | 2480 | ||
| NDVI | 0.51 | 960 | ||||
| EVI | 0.26 | 960 | ||||
| Mykolayiv, UA | Average | GDD | 196.00 | 1910 | ||
| NDVI | 0.62 | 960 | 0.63 | 2460 | ||
| EVI | 0.38 | 960 | 0.41 | 2460 | ||
| Mykolayiv, UA | Heat wave | GDD | 240.00 | 1100 | 230.00 | 2580 |
| NDVI | 0.49 | 660 | ||||
| EVI | 0.26 | 660 | ||||
© 2016 by the authors; licensee MDPI, Basel, Switzerland. This article is an open access article distributed under the terms and conditions of the Creative Commons Attribution (CC-BY) license (http://creativecommons.org/licenses/by/4.0/).
Share and Cite
Alemu, W.G.; Henebry, G.M. Characterizing Cropland Phenology in Major Grain Production Areas of Russia, Ukraine, and Kazakhstan by the Synergistic Use of Passive Microwave and Visible to Near Infrared Data. Remote Sens. 2016, 8, 1016. https://doi.org/10.3390/rs8121016
Alemu WG, Henebry GM. Characterizing Cropland Phenology in Major Grain Production Areas of Russia, Ukraine, and Kazakhstan by the Synergistic Use of Passive Microwave and Visible to Near Infrared Data. Remote Sensing. 2016; 8(12):1016. https://doi.org/10.3390/rs8121016
Chicago/Turabian StyleAlemu, Woubet G., and Geoffrey M. Henebry. 2016. "Characterizing Cropland Phenology in Major Grain Production Areas of Russia, Ukraine, and Kazakhstan by the Synergistic Use of Passive Microwave and Visible to Near Infrared Data" Remote Sensing 8, no. 12: 1016. https://doi.org/10.3390/rs8121016
APA StyleAlemu, W. G., & Henebry, G. M. (2016). Characterizing Cropland Phenology in Major Grain Production Areas of Russia, Ukraine, and Kazakhstan by the Synergistic Use of Passive Microwave and Visible to Near Infrared Data. Remote Sensing, 8(12), 1016. https://doi.org/10.3390/rs8121016

