Digital Mapping of Toxic Metals in Qatari Soils Using Remote Sensing and Ancillary Data
Abstract
:1. Introduction
2. Materials and Methods
2.1. Study Area
2.2. Soil Sampling and Laboratory Analysis
2.3. Environmental Parameters
2.4. Remote Sensing Images and Spectral Indices
2.5. Spatial Modeling and Validation
3. Results and Discussion
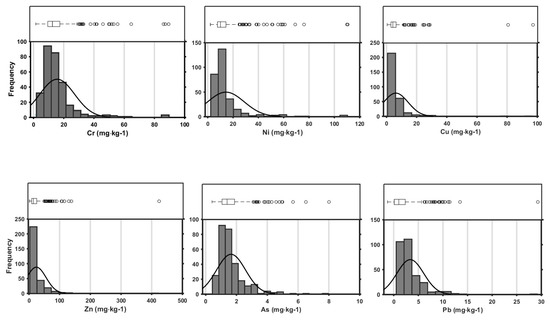
3.1. General Statistics of Toxic Metals Data
3.2. Spatial Calibration and Validation
3.3. Variable Importance of Cubist Models for Predicting Different Elements
3.4. Seasonal Dependency on Soil Toxic Metals’ Determination
3.5. RS Indices for Toxic Metals’ Prediction
3.6. Predicted Maps of Toxic Metals in Soil
4. Conclusions
Acknowledgments
Author Contributions
Conflicts of Interest
References
- Alloway, B.J. Introduction. In Heavy Metals in Soils; Springer: Dordrecht, The Netherlands, 2013; pp. 3–9. [Google Scholar]
 - Imperato, M.; Adamo, P.; Naimo, D.; Arienzo, M.; Stanzione, D.; Violante, P. Spatial distribution of heavy metals in urban soils of Naples city (Italy). Environ. Pollut. 2003, 124, 247–256. [Google Scholar] [CrossRef]
 - Martley, E.; Gulson, B.L.; Pfeifer, H.R. Metal concentrations in soils around the copper smelter and surrounding industrial complex of Port Kembla, NSW, Australia. Sci. Total Environ. 2004, 325, 113–127. [Google Scholar] [CrossRef] [PubMed]
 - Ordonez, A.; Loredo, J.; De Miguel, E.; Charlesworth, S. Distribution of heavy metals in the street dusts and soils of an industrial city in Northern Spain. Arch. Environ. Contam. Toxicol. 2003, 44, 160–170. [Google Scholar] [CrossRef] [PubMed]
 - Sterckeman, T.; Douay, F.; Proix, N.; Fourrier, H. Vertical distribution of Cd, Pb and Zn in soils near smelters in the North of France. Environ. Pollut. 2000, 107, 377–389. [Google Scholar] [CrossRef]
 - Certini, G.; Scalenghe, R.; Woods, W.I. The impact of warfare on the soil environment. Earth Sci. Rev. 2013, 127, 1–15. [Google Scholar] [CrossRef]
 - Arfsten, D.P.; Still, K.R.; Ritchie, G.D. A review of the effects of uranium and depleted uranium exposure on reproduction and fetal developmentt. Toxicol. Ind. Health 2001, 17, 180–191. [Google Scholar] [CrossRef] [PubMed]
 - Essentials of Medical Geology: Impacts of the Natural Environment on Public Health; Selinus, O.; Alloway, B.; Centeno, J.A.; Finkelman, R.B.; Fuge, R.; Lindh, U.; Smedley, P. (Eds.) Elsevier Academic Press: London, UK, 2005; pp. 374–377.
 - Lee, C.S.; Li, X.D.; Shi, W.Z.; Cheung, S.C.; Thornton, I. Metal contamination in urban, suburban, and country park soils of Hong Kong: A study based on GIS and multivariate statistics. Sci. Total Environ. 2006, 356, 45–61. [Google Scholar] [CrossRef] [PubMed]
 - Li, X.; Lee, S.-L.; Wong, S.-C.; Shi, W.; Thornton, I. The study of metal contamination in urban soils of Hong Kong using a GIS-based approach. Environ. Pollut. 2004, 129, 113–124. [Google Scholar] [CrossRef] [PubMed]
 - Ljung, K.; Selinus, O.; Otabbong, E.; Berglund, M. Metal and arsenic distribution in soil particle sizes relevant to soil ingestion by children. Appl. Geochem. 2006, 21, 1613–1624. [Google Scholar] [CrossRef]
 - Shomar, B.; Amr, M.; Al-Saad, K.; Mohieldeen, Y. Natural and depleted uranium in the topsoil of Qatar: Is it something to worry about? Appl. Geochem. 2013, 37, 203–211. [Google Scholar] [CrossRef]
 - Kheir, R.B. Project Report: Sustainable Development in the State of Qatar; National Priority Research Program: Doha, Qatar, 2012. [Google Scholar]
 - Pearce, F. Qatar to Use Biofuels? What About the Country’s Energy Consumption? Available online: https://www.theguardian.com/environment/2010/jan/14/qatar-biofuels-energy-consumption (accessed on 14 January 2010).
 - Guo, G.H.; Wu, F.C.; Xie, F.Z.; Zhang, R.Q. Spatial distribution and pollution assessment of heavy metals in urban soils from southwest China. J. Environ. Sci. 2012, 24, 410–418. [Google Scholar] [CrossRef]
 - Lado, L.R.; Hengl, T.; Reuter, H.I. Heavy metals in European soils: A geostatistical analysis of the FOREGS Geochemical database. Geoderma 2008, 148, 189–199. [Google Scholar] [CrossRef]
 - Facchinelli, A.; Sacchi, E.; Mallen, L. Multivariate statistical and GIS-based approach to identify heavy metal sources in soils. Environ. Pollut. 2001, 114, 313–324. [Google Scholar] [CrossRef]
 - Lu, A.X.; Wang, J.H.; Qin, X.Y.; Wang, K.Y.; Han, P.; Zhang, S.Z. Multivariate and geostatistical analyses of the spatial distribution and origin of heavy metals in the agricultural soils in Shunyi, Beijing, China. Sci. Total Environ. 2012, 425, 66–74. [Google Scholar] [CrossRef] [PubMed]
 - Lin, Y.P.; Teng, T.P.; Chang, T.K. Multivariate analysis of soil heavy metal pollution and landscape pattern in Changhua county in Taiwan. Landsc. Urban Plan. 2002, 62, 19–35. [Google Scholar] [CrossRef]
 - Saby, N.; Arrouays, D.; Boulonne, L.; Jolivet, C.; Pochot, A. Geostatistical assessment of Pb in soil around Paris, France. Sci. Total Environ. 2006, 367, 212–221. [Google Scholar] [CrossRef] [PubMed]
 - Zhang, H.H.; Chen, J.J.; Zhu, L.; Li, F.B.; Wu, Z.F.; Yu, W.M.; Liu, J.M. Spatial patterns and variation of soil cadmium in Guangdong Province, China. J. Geochem. Explor. 2011, 109, 86–91. [Google Scholar] [CrossRef]
 - Ungaro, F.; Ragazzi, F.; Cappellin, R.; Giandon, P. Arsenic concentration in the soils of the Brenta Plain (Northern Italy): Mapping the probability of exceeding contamination thresholds. J. Geochem. Explor. 2008, 96, 117–131. [Google Scholar] [CrossRef]
 - Xie, Y.F.; Chen, T.B.; Lei, M.; Yang, J.; Guo, Q.J.; Song, B.; Zhou, X.Y. Spatial distribution of soil heavy metal pollution estimated by different interpolation methods: Accuracy and uncertainty analysis. Chemosphere 2011, 82, 468–476. [Google Scholar] [CrossRef] [PubMed]
 - Minasny, B.; McBratney, A.B. Regression rules as a tool for predicting soil properties from infrared reflectance spectroscopy. Chemom. Intell. Lab. 2008, 94, 72–79. [Google Scholar] [CrossRef]
 - Melendez-Pastor, I.; Navarro-Pedreño, J.; Gómez, I.; Almendro-Candel, M. The use of remote sensing to locate heavy metal as source of pollution. In Advances in Environmental Research; Daniels, J.A., Ed.; Nova Science Publishers: Hauppauge, NY, USA, 2011; pp. 225–233. [Google Scholar]
 - Shi, T.; Chen, Y.; Liu, Y.; Wu, G. Visible and near-infrared reflectance spectroscopy—An alternative for monitoring soil contamination by heavy metals. J. Hazard. Mater. 2014, 265, 166–176. [Google Scholar] [CrossRef] [PubMed]
 - Wu, Y.Z.; Chen, J.; Ji, J.F.; Gong, P.; Liao, Q.L.; Tian, Q.J.; Ma, H.R. A mechanism study of reflectance spectroscopy for investigating heavy metals in soils. Soil Sci. Soc. Am. J. 2007, 71, 918–926. [Google Scholar] [CrossRef]
 - Stenberg, B.; Viscarra Rossel, R.A.; Mouazen, A.M.; Wetterlind, J. Chapter five—Visible and near infrared spectroscopy in soil science. Adv. Agron. 2010, 107, 163–215. [Google Scholar]
 - Wu, Y.; Zhang, X.; Liao, Q.; Ji, J. Can contaminant elements in soils be assessed by remote sensing technology: A case study with simulated data. Soil Sci. 2011, 176, 196–205. [Google Scholar] [CrossRef]
 - Malley, D.F.; Williams, P.C. Use of near-infrared reflectance spectroscopy in prediction of heavy metals in freshwater sediment by their association with organic matter. Environ. Sci. Technol. 1997, 31, 3461–3467. [Google Scholar] [CrossRef]
 - Ben-Dor, E.; Irons, J.; Epema, G. Soil reflectance. In Manual of Remote Sensing, Remote Sensing for the Earth Sciences, 3rd ed.; Rencz, A.N., Ed.; John Wiley & Sons: New York, NY, USA, 1999; p. 111. [Google Scholar]
 - Choe, E.; van der Meer, F.; van Ruitenbeek, F.; van der Werff, H.; de Smeth, B.; Kim, K.-W. Mapping of heavy metal pollution in stream sediments using combined geochemistry, field spectroscopy, and hyperspectral remote sensing: A case study of the Rodalquilar mining area, SE Spain. Remote Sens. Environ. 2008, 112, 3222–3233. [Google Scholar] [CrossRef]
 - Grunwald, S.; Vasques, G.M.; Rivero, R.G. Chapter one—Fusion of soil and remote sensing data to model soil properties. Adv. Agron. 2015, 131, 1–109. [Google Scholar]
 - Mulder, V.L.; de Bruin, S.; Schaepman, M.E.; Mayr, T.R. The use of remote sensing in soil and terrain mapping—A review. Geoderma 2011, 162, 1–19. [Google Scholar] [CrossRef]
 - Peng, Y.; Xiong, X.; Adhikari, K.; Knadel, M.; Grunwald, S.; Greve, M.H. Modeling soil organic carbon at regional scale by combining multi-spectral images with laboratory spectra. PLoS ONE 2015, 10, e0142295. [Google Scholar] [CrossRef] [PubMed]
 - Kemper, T.; Sommer, S. Mapping and monitoring of residual heavy metal contamination and acidification risk after the aznalcóllar mining accident (Andalusia, Spain) using field and airborne hyperspectral data. In Proceedings of the 3rd EARSeL Workshop on Imaging Spectroscopy, Herrsching, Germany, 13–16 May 2003; pp. 333–343.
 - Scheibert, C.; Stietiya, M.; Sommar, J.; Abdalla, O.; Schramm, H.; Al Memah, M. The Atlas of Soils for the State of Qatar; Ministry of Municipal Affairs and Agriculture: Doha, Qatar, 2005; pp. 19–36.
 - Qatar, T. Qatar National Atlas; The Planning Council of The State of Qatar: Doha, Qatar, 2006. [Google Scholar]
 - IUSS Working Group. World Reference Base for Soil Resource 2014, International Soil Classification System for Naming Soils and Creating Legends for Soil Maps; Food and Agriculture Organization of the United Nations: Rome, Italy, 2014. [Google Scholar]
 - Theocharopoulos, S.P.; Wagner, G.; Sprengart, J.; Mohr, M.E.; Desaules, A.; Muntau, H.; Christou, M.; Quevauviller, P. European soil sampling guidelines for soil pollution studies. Sci. Total Environ. 2001, 264, 51–62. [Google Scholar] [CrossRef]
 - Kheir, R.B.; Greve, M.H.; Abdallah, C.; Dalgaard, T. Spatial soil zinc content distribution from terrain parameters: A GIS-based decision-tree model in Lebanon. Environ. Pollut. 2010, 158, 520–528. [Google Scholar] [CrossRef] [PubMed]
 - Kheir, R.B.; Greve, M.H.; Deroin, J.P.; Rebai, N. Implementing GIS regression trees for generating the spatial distribution of copper in mediterranean environments: The case study of Lebanon. Int. J. Environ. Anal. Chem. 2013, 93, 75–92. [Google Scholar] [CrossRef]
 - Deng, C.; Wu, C. BCI: A biophysical composition index for remote sensing of urban environments. Remote Sens. Environ. 2012, 127, 247–259. [Google Scholar] [CrossRef]
 - Huete, A.; Didan, K.; Miura, T.; Rodriguez, E.P.; Gao, X.; Ferreira, L.G. Overview of the radiometric and biophysical performance of the MODIS vegetation indices. Remote Sens. Environ. 2002, 83, 195–213. [Google Scholar] [CrossRef]
 - Xiao, X.; Hollinger, D.; Aber, J.; Goltz, M.; Davidson, E.A.; Zhang, Q.; Moore, B., III. Satellite-based modeling of gross primary production in an evergreen needleleaf forest. Remote Sens. Environ. 2004, 89, 519–534. [Google Scholar] [CrossRef]
 - Rouse, J.W.; Haas, J.R.H.; Schell, J.A.; Deering, D.W. Monitoring vegetation systems in the Great Plains with erts. In Proceedings of the Third ERTS Symposium, Washington, DC, USA, 1974; pp. 309–317.
 - Marsett, R.C.; Qi, J.; Heilman, P.; Biedenbender, S.H.; Watson, M.C.; Amer, S.; Weltz, M.; Goodrich, D.; Marsett, R. Remote sensing for grassland management in the arid southwest. Rangel. Ecol. Manag. 2006, 59, 530–540. [Google Scholar] [CrossRef]
 - Qi, J.; Marsett, R.; Heilman, P.; Bieden-bender, S.; Moran, S.; Goodrich, D.; Weltz, M. RANGES improves satellite-based information and land cover assessments in southwest United States. Eos Trans. Am. Geophys. Union 2002, 83, 601–606. [Google Scholar] [CrossRef]
 - Huete, A.R. A soil-adjusted vegetation index (SAVI). Remote Sens. Environ. 1988, 25, 295–309. [Google Scholar] [CrossRef]
 - Nellis, M.D.; Briggs, J.M. Transformed vegetation index for measuring spatial variation in drought impacted biomass on Konza Prairie, Kansas. Trans. Kans. Acad. Sci. (1903) 1992, 95, 93–99. [Google Scholar] [CrossRef]
 - Clevers, J.G.P.W. The derivation of a simplified reflectance model for the estimation of leaf area index. Remote Sens. Environ. 1988, 25, 53–69. [Google Scholar] [CrossRef]
 - Richardson, A.J.; Weigand, C. Distinguishing vegetation from soil background information. Photogramm. Eng. Remote Sens. 1977, 43, 1541–1552. [Google Scholar]
 - Jensen, J.R. Remote Sensing of the Environment: An Earth Resource Perspective, 2nd ed.; Pearson Education India: New Delhi, India, 2009. [Google Scholar]
 - Kuhn, M.; Weston, S.; Keefer, C.; Coulter, N.; Quinlan, R. Cubist: Rule- and Instance-Based Regression Modeling; Package Version 0.0.18; CRAN: Wien, Austria, 2014. [Google Scholar]
 - Quinlan, J.R. C4. 5: Programs for Machine Learning; Morgan Kaufmann: Burlington, MA, USA, 1993. [Google Scholar]
 - Adhikari, K.; Hartemink, A.E.; Minasny, B.; Kheir, R.B.; Greve, M.B.; Greve, M.H. Digital mapping of soil organic carbon contents and stocks in Denmark. PLoS ONE 2014, 9. [Google Scholar] [CrossRef] [PubMed]
 - Adhikari, K.; Kheir, R.B.; Greve, M.B.; Bocher, P.K.; Malone, B.P.; Minasny, B.; McBratney, A.B.; Greve, M.H. High-resolution 3-D mapping of soil texture in Denmark. Soil Sci. Soc. Am. J. 2013, 77, 860–876. [Google Scholar] [CrossRef]
 - Quinlan, J.R. Learning with continuous classes. In 5th Australian Joint Conference on Artificial Intelligence; Word Scientific: Singapore, 1992; pp. 343–348. [Google Scholar]
 - Kuhn, M. Caret: Classification and Regression Training; R Package Version 6.0-24; CRAN: Wien, Austria, 2014. [Google Scholar]
 - Bellon-Maurel, V.; Fernandez-Ahumada, E.; Palagos, B.; Roger, J.M.; McBratney, A. Critical review of chemometric indicators commonly used for assessing the quality of the prediction of soil attributes by NIR spectroscopy. TrAC Trend Anal. Chem. 2010, 29, 1073–1081. [Google Scholar] [CrossRef]
 - Chang, C.W.; Laird, D.A.; Mausbach, M.J.; Hurburgh, C.R. Near-infrared reflectance spectroscopy-principal components regression analyses of soil properties. Soil Sci. Soc. Am. J. 2001, 65, 480–490. [Google Scholar] [CrossRef]
 - Sun, Y.; Zhou, Q.; Xie, X.; Liu, R. Spatial, sources and risk assessment of heavy metal contamination of urban soils in typical regions of Shenyang, China. J. Hazard. Mater. 2010, 174, 455–462. [Google Scholar] [CrossRef] [PubMed]
 - Wei, B.; Yang, L. A review of heavy metal contaminations in urban soils, urban road dusts and agricultural soils from China. Microchem. J. 2010, 94, 99–107. [Google Scholar] [CrossRef]
 - Kheir, R.B.; Shomar, B.; Greve, M.B.; Greve, M.H. On the quantitative relationships between environmental parameters and heavy metals pollution in mediterranean soils using GIS regression-trees: The case study of Lebanon. J. Geochem. Explor. 2014, 147, 250–259. [Google Scholar] [CrossRef]
 - Shi, T.; Wang, J.; Chen, Y.; Wu, G. Improving the prediction of arsenic contents in agricultural soils by combining the reflectance spectroscopy of soils and rice plants. Int. J. Appl. Earth Obs. Geoinf. 2016, 52, 95–103. [Google Scholar] [CrossRef]
 - Ahmad, M.S.A.; Ashraf, M. Essential roles and hazardous effects of nickel in plants. Rev. Environ. Contam. Toxicol. 2011, 214, 125–167. [Google Scholar] [PubMed]
 - Ashraf, M.Y.; Sadiq, R.; Hussain, M.; Ashraf, M.; Ahmad, M.S.A. Toxic effect of nickel (Ni) on growth and metabolism in germinating seeds of sunflower (Helianthus annuus L.). Biol. Trace Element Res. 2011, 143, 1695–1703. [Google Scholar] [CrossRef] [PubMed]
 - Siddiqui, M.H.; Al-Whaibi, M.H.; Basalah, M.O. Interactive effect of calcium and gibberellin on nickel tolerance in relation to antioxidant systems in Triticum aestivum L. Protoplasma 2011, 248, 503–511. [Google Scholar] [CrossRef] [PubMed]
 - Pourrut, B.; Shahid, M.; Dumat, C.; Winterton, P.; Pinelli, E. Lead uptake, toxicity, and detoxification in plants. Rev. Environ. Contam. Toxicol. 2013, 213, 113–136. [Google Scholar]
 - Mohamed, H.I. Molecular and biochemical studies on the effect of gamma rays on lead toxicity in cowpea (Vigna sinensis) plants. Biol. Trace Element Res. 2011, 144, 1205–1218. [Google Scholar] [CrossRef] [PubMed]
 - Gitelson, A.; Merzlyak, M.N. Quantitative estimation of chlorophyll-a using reflectance spectra: Experiments with autumn chestnut and maple leaves. J. Photochem. Photobiol. B 1994, 22, 247–252. [Google Scholar] [CrossRef]
 - Kim, J.; Grunwald, S.; Rivero, R.G. Soil phosphorus and nitrogen predictions across spatial escalating scales in an aquatic ecosystem using remote sensing images. IEEE Trans. Geosci Remote Sens. 2014, 52, 6724–6737. [Google Scholar]
 - Chibuike, G.; Obiora, S. Heavy metal polluted soils: Effect on plants and bioremediation methods. Appl. Environ. Soil Sci. 2014, 2014, 752708. [Google Scholar] [CrossRef]
 - Li, Y.; Li, C.K.; Tao, J.; Wang, L.D. Study on spatial distribution of soil heavy metals in Huizhou city based on BP-ANN modeling and GIS. Procedia Environ. Sci. 2011, 10, 1953–1960. [Google Scholar] [CrossRef]
 - Maas, S.; Scheifler, R.; Benslama, M.; Crini, N.; Lucot, E.; Brahmia, Z.; Benyacoub, S.; Giraudoux, P. Spatial distribution of heavy metal concentrations in urban, suburban and agricultural soils in a mediterranean city of Algeria. Environ. Pollut. 2010, 158, 2294–2301. [Google Scholar] [CrossRef] [PubMed]
 





| Environmental Variables | Type of Variable | Description | Range | Scale or Resolution | Mean | SD | 
|---|---|---|---|---|---|---|
| Soil type map | Categorical | Scanned and registered pedological map (8 classes) | - | 1:25,000 | - | - | 
| Geology | Categorical | Scanned and registered geological structures (10 classes) | - | 1:36,000 | - | - | 
| Elevation (m) | Continuous | Derived from the 10-m resolution generated DEM (m) | 0–101 | 30 m | 26.2 | 18.0 | 
| Slope gradient (%) | Continuous | Maximum rate of change between the cells and neighbors (degree) | 0–56 | 30 m | 1.3 | 1.4 | 
| Slope aspect (degree) | Continuous | Direction of the steepest slope from the north (degree) | 0–360 | 30 m | 178.7 | 99.2 | 
| Proximity to road (m) | Continuous | The distance to road (m) | 0–53,447 | 30 m | 9554.4 | 9877.6 | 
| Distance to drainage line (m) | Continuous | Interpolating contour line and point elevation data (m) | 0–43,930 | 30 m | 5506.7 | 7270.4 | 
| Distance to environmental hotspots (m) | Continuous | Hotspots (i.e., wastewater treatment plants, solid waste dumping sites) (m) | 0–86,029 | 30 m | 24,947.3 | 18,561.1 | 
| Distance to geological structures (m) | Continuous | Derived from geological map (m) | 0–36,519 | 30 m | 6552.4 | 6800.2 | 
| Night light image | Continuous | Earth at night 2012 | 65–255 | 30 m | 127.8 | 27.3 | 
| Landsat 8 Images and Indices a | Description | 
|---|---|
| B2 | Blue (450–510 nm) | 
| B3 | Green (530–590 nm) | 
| B4 | Red (640–670 nm) | 
| B5 | Near Infrared (NIR) (850–880 nm) | 
| B6 | SWIR1 (1570–1650 nm) | 
| B7 | SWIR2 (2110–2290 nm) | 
| BCI b | |
| Brightness | 0.3561 × B2 + 0.3972 × B3 + 0.3904 × B4 + 0.6966 × B5 + B6 × 0.2286 + B7 × 0.1596 | 
| EVI c | |
| Greenness | −0.334 × B2-0.354 × B3 − 0.456 × B4 + 0.6966 × B5 − B6 × 0.024 − B7 × 0.263 | 
| LSWI | |
| NDVI | |
| SATVI c | |
| SAVI c | |
| TVI | |
| WDVI | B5 − s × B4 | 
| Wetness | 0.2626 × B2 + 0.2141 × B3 + 0.0926 × B4 + 0.0656 × B5 − B6 × 0.763 − B7 × 0.539 | 
| Element (mg·kg−1) | Calibration Set (75% Data) | Validation Set (25% Data) | ||||||||||
|---|---|---|---|---|---|---|---|---|---|---|---|---|
| n | Min | Median | Mean | Max | SD | n | Min | Median | Mean | Max | SD | |
| Zn | 224 | 2.8 | 16.4 | 23.5 | 130.9 | 21.6 | 75 | 4.0 | 14.5 | 20.9 | 77.9 | 17.3 | 
| Cu | 223 | 0.6 | 4.4 | 5.8 | 28.8 | 4.6 | 75 | 1.0 | 4.2 | 5.0 | 28.1 | 3.9 | 
| Cr | 223 | 1.9 | 12.7 | 14.9 | 64.9 | 9.2 | 74 | 3.5 | 12.9 | 14.8 | 50.1 | 8.6 | 
| Pb | 224 | 0.5 | 2.7 | 3.4 | 14.1 | 2.3 | 75 | 0.5 | 2.3 | 2.8 | 12.4 | 2.1 | 
| Ni | 223 | 2.3 | 10.1 | 13.4 | 76.1 | 10.8 | 74 | 3.0 | 10.7 | 13.5 | 55.5 | 10.6 | 
| As | 225 | 0.4 | 1.3 | 1.6 | 7.9 | 0.9 | 75 | 0.4 | 1.5 | 1.7 | 5.0 | 0.8 | 
| Cr | Ni | As | Zn | Pb | Cu | |
|---|---|---|---|---|---|---|
| Cr | 1 | 0.95 ** | 0.73 ** | 0.27 | 0.52 * | 0.41 * | 
| Ni | 1 | 0.71 ** | 0.29 | 0.51 * | 0.40 * | |
| As | 1 | 0.14 | 0.40 * | 0.28 | ||
| Zn | 1 | 0.38 * | 0.39 * | |||
| Pb | 1 | 0.52 ** | ||||
| Cu | 1 | 
| Element (mg·kg−1) | Results | ||||
|---|---|---|---|---|---|
| RMSE | Bias | R2 | RPD | RPIQ | |
| Zn | 12.18 | 0.8 | 0.51 | 1.41 | 0.83 | 
| Cu | 2.10 | 0.4 | 0.74 | 1.88 | 1.37 | 
| Cr | 5.90 | 0.6 | 0.53 | 1.45 | 1.54 | 
| Pb | 1.49 | 0.2 | 0.53 | 1.37 | 1.10 | 
| Ni | 5.19 | 0.7 | 0.47 | 1.36 | 1.06 | 
| As | 0.58 | 0.05 | 0.60 | 1.53 | 1.48 | 
| Cr | As | Ni | Zn | Pb | Cu | 
|---|---|---|---|---|---|
| Jan_Band2 (84%) | Jan_Band2 (90%) | Jan_Band2 (86%) | Jan_ Band5 (81%) | Feb_Band7 (88%) | Jan_Band4 (82%) | 
| Jan_Band4 (79%) | Jan_Band4 (86%) | Jan_Band5 (81%) | Feb_Band4 (73%) | Jan_ Band7 (85%) | Jan_Band2 (76%) | 
| Feb_Band7 (73%) | Jan_Band7 (82%) | Jan_Band3 (72%) | Feb_Band3 (66%) | Feb_Band3 (80%) | Jan_Brightness (73%) | 
| Jan_Band3 (69%) | Jan_Band6 (75%) | Feb_Band4 (70%) | Feb_Band6 (61%) | Jan_ Band3 (77%) | Jan_Band5 (66%) | 
| Jan_Band7 (69%) | Jan_Greenness (68%) | Feb_Band7 (67%) | Jan_ Band5 (55%) | Feb_Band6 (70%) | Jan_Band7 (52%) | 
| Jan_Band5 (51%) | Jan_Brightness (60%) | Jan_TVI (58%) | Night light Image (53%) | Feb_Band4 (65%) | Jan_Band6 (52%) | 
| Jan_LSWI (45%) | Jan_ Wetness (58%) | Jan_BCI (53%) | Jan_Wetness (50%) | Jan_BCI (62%) | Jan_Band3 (45%) | 
| Jan_BCI (41%) | Jan_EVI (45%) | Slope (42%) | Feb_BCI (45%) | Night light image (56%) | Distance to environmental hotspots (38%) | 
| Jan_WDVI (33%) | Jan_SAVI (40%) | Distance to geological structures (37%) | Jan_Greenness (42%) | Proximity to road (42%) | Night light image (25%) | 
| Distance to geological structures (25%) | Jan_NDVI (38%) | Distance to drainage line (28%) | Distance to environmental hotspots (35%) | Feb_Greenness (31%) | Proximity to road (20%) | 
© 2016 by the authors; licensee MDPI, Basel, Switzerland. This article is an open access article distributed under the terms and conditions of the Creative Commons Attribution (CC-BY) license (http://creativecommons.org/licenses/by/4.0/).
Share and Cite
Peng, Y.; Kheir, R.B.; Adhikari, K.; Malinowski, R.; Greve, M.B.; Knadel, M.; Greve, M.H. Digital Mapping of Toxic Metals in Qatari Soils Using Remote Sensing and Ancillary Data. Remote Sens. 2016, 8, 1003. https://doi.org/10.3390/rs8121003
Peng Y, Kheir RB, Adhikari K, Malinowski R, Greve MB, Knadel M, Greve MH. Digital Mapping of Toxic Metals in Qatari Soils Using Remote Sensing and Ancillary Data. Remote Sensing. 2016; 8(12):1003. https://doi.org/10.3390/rs8121003
Chicago/Turabian StylePeng, Yi, Rania Bou Kheir, Kabindra Adhikari, Radosław Malinowski, Mette B. Greve, Maria Knadel, and Mogens H. Greve. 2016. "Digital Mapping of Toxic Metals in Qatari Soils Using Remote Sensing and Ancillary Data" Remote Sensing 8, no. 12: 1003. https://doi.org/10.3390/rs8121003
APA StylePeng, Y., Kheir, R. B., Adhikari, K., Malinowski, R., Greve, M. B., Knadel, M., & Greve, M. H. (2016). Digital Mapping of Toxic Metals in Qatari Soils Using Remote Sensing and Ancillary Data. Remote Sensing, 8(12), 1003. https://doi.org/10.3390/rs8121003
        
                                                
