Relating Sentinel-1 Interferometric Coherence to Mowing Events on Grasslands
Abstract
:1. Introduction
2. Materials and Methods
2.1. Study Area and Field Measurements
2.2. Mowing Events
2.3. SAR Data
2.4. Processing
2.5. Coherence Estimation
2.5.1. SNR Decorrelation
2.5.2. Estimation Bias
2.6. Precipitation Data
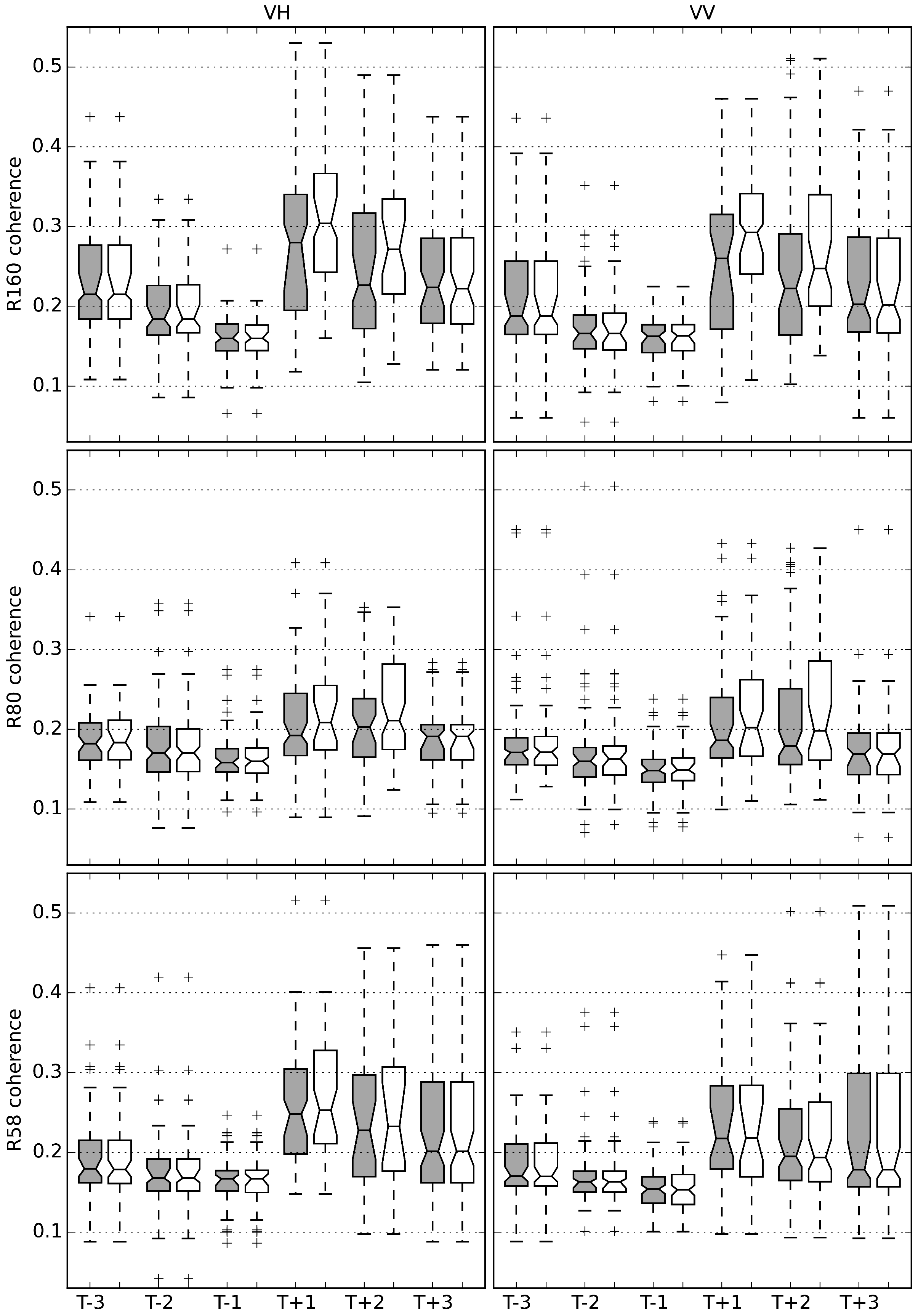
3. Results and Discussion
3.1. Effect of Precipitation
3.2. Dependence on Time Separation
4. Conclusions
Acknowledgments
Author Contributions
Conflicts of Interest
Abbreviations
| az | azimuth |
| CAP | Common Agricultural Policy |
| ENL | equivalent number of looks |
| EO | earth observation |
| EPSG | European Petroleum Survey Group |
| DualPol | dual-polarization |
| GPP | gross primary production |
| GPT | SNAP Graph Processing Tool |
| InSAR | interferometric SAR |
| IQR | interquartile range |
| IW | interferometric wide swath mode |
| MI | soil moisture index |
| NDVI | Normalized Differential Vegetation Index |
| NDWI | Normalized Difference Water Index |
| NESZ | Noise-Equivalent Sigma Zero |
| NPA | National Paying Agency |
| NPP | net primary production |
| PolSAR | polarimetric SAR |
| PseudoCAPPI | pseudo constant altitude plan position indicator |
| Q1 | first quartile |
| Q3 | third quartile |
| rg | range |
| RON | relative orbit number |
| SAR | synthetic aperture radar |
| SLC | single look complex |
| SNAP | Sentinel application platform |
| SNR | signal-to-noise ratio |
| UTC | coordinated universal time |
| VH | vertical transmit, horizontal receive |
| VV | vertical transmit, vertical receive |
References
- Zhao, M.; Heinsch, F.A.; Nemani, R.R.; Running, S.W. Improvements of the MODIS terrestrial gross and net primary production global data set. Remote Sens. Environ. 2005, 95, 164–176. [Google Scholar] [CrossRef]
- Gibon, A. Managing grassland for production, the environment and the landscape. Challenges at the farm and the landscape level. Livest. Prod. Sci. 2005, 96, 11–31. [Google Scholar] [CrossRef]
- Hopkins, A.; Holz, B. Grassland for agriculture and nature conservation: Production, quality and multi-functionality. Integrating Effic. Grassl. Farming Biodivers. 2005, 10, 15–29. [Google Scholar]
- Watkinson, A. Grasslands, grazing and biodiversity: Editors’ introduction. J. Appl. Ecol. 2001, 38, 233–237. [Google Scholar]
- Smit, H.; Metzger, M.; Ewert, F. Spatial distribution of grassland productivity and land use in Europe. Agric. Syst. 2008, 98, 208–219. [Google Scholar] [CrossRef]
- Gray, J. The common agricultural policy and the re-invention of the rural in the European community. Sociol. Rural 2000, 40, 30–52. [Google Scholar] [CrossRef]
- Copernicus Program. Available online: http://copernicus.eu (accessed on 20 May 2016).
- Moran, M.S.; Inoue, Y.; Barnes, E.M. Opportunities and limitations for image-based remote sensing in precision crop management. Remote Sens. Environ. 1997, 61, 319–346. [Google Scholar] [CrossRef]
- Moulin, S.; Bondeau, A.; Delecolle, R. Combining agricultural crop models and satellite observations: From field to regional scales. Int. J. Remote Sens. 1998, 19, 1021–1036. [Google Scholar] [CrossRef]
- Meroni, M.; Marinho, E.; Sghaier, N.; Verstrate, M.M.; Leo, O. Remote sensing based yield estimation in a stochastic framework—Case study of durum wheat in Tunisia. Remote Sens. 2013, 5, 539–557. [Google Scholar] [CrossRef]
- Fuller, D.O. Trends in NDVI time series and their relation to rangeland and crop production in Senegal, 1987–1993. Int. J. Remote Sens. 1998, 19, 2013–2018. [Google Scholar] [CrossRef]
- Sakamoto, T.; Yokozawa, M.; Toritani, H.; Shibayama, M.; Ishitsuka, N.; Ohno, H. A crop phenology detection method using time-series MODIS data. Remote Sens. Environ. 2005, 96, 366–374. [Google Scholar] [CrossRef]
- Whitcraft, A.K.; Vermote, E.F.; Becker-Reshef, I.; Justice, C.O. Cloud cover throughout the agricultural growing season: Impacts on passive optical earth observations. Remote Sens. Environ. 2015, 156, 438–447. [Google Scholar] [CrossRef]
- Nakajima, T. Estimating tree growth using crown metrics derived from LiDAR data. J. Indian Soc. Remote Sens. 2016, 44, 217–223. [Google Scholar] [CrossRef]
- Rybansky, M.; Brenova, M.; Cermak, J.; van Genderen, J.; Sivertun, Å. Vegetation structure determination using LIDAR data and the forest growth parameters. In Proceedings of the IOP Conference Series: Earth and Environmental Science, Kuala Lumpur, Malaysia, 13–14 April 2016; IOP Publishing: Tokyo, Japan, 2016; Volume 37. [Google Scholar]
- Baghdadi, N.; Boyer, N.; Todoroff, P.; El Hajj, M.; Begue, A. Potential of SAR sensors TerraSAR-X, ASAR/ENVISAT and PALSAR/ALOS for monitoring sugarcane crops on Reunion Island. Remote Sens. Environ. 2009, 113, 1724–1738. [Google Scholar] [CrossRef]
- Dusseux, P.; Corpetti, T.; Hubert-Moy, L.; Corgne, S. Combined use of multi-temporal optical and radar satellite images for grassland monitoring. Remote Sens. 2014, 6, 6163–6182. [Google Scholar] [CrossRef]
- Wang, X.; Ge, L.; Li, X. Pasture monitoring using SAR with COSMO-SkyMed, ENVISAT ASAR, and ALOS PALSAR in Otway, Australia. Remote Sens. 2013, 5, 3611–3636. [Google Scholar] [CrossRef]
- Voormansik, K.; Jagdhuber, T.; Olesk, A.; Hajnsek, I.; Papathanassiou, K.P. Towards a detection of grassland cutting practices with dual polarimetric TerraSAR-X data. Int. J. Remote Sens. 2013, 34, 8081–8103. [Google Scholar] [CrossRef]
- Voormansik, K.; Jagdhuber, T.; Zalite, K.; Noorma, M.; Hajnsek, I. Observations of cutting practices in agricultural grasslands using polarimetric SAR. IEEE J. Sel. Top. Appl. Earth Obs. Remote Sens. 2015, 9, 1382–1396. [Google Scholar] [CrossRef]
- Bouman, B.A.; van Kasteren, H.W. Ground-based X-band (3-cm wave) radar backscattering of agricultural crops. II. Wheat, barley, and oats; the impact of canopy structure. Remote Sens. Environ. 1990, 34, 107–119. [Google Scholar] [CrossRef]
- Wegmüller, U.; Werner, C.L. SAR interferometric signatures of forest. IEEE Trans. Geosci. Remote Sens. 1995, 33, 1153–1161. [Google Scholar] [CrossRef]
- Zebker, H.A.; Villasenor, J. Decorrelation in interferometric radar echoes. IEEE Trans. Geosci. Remote Sens. 1992, 30, 950–959. [Google Scholar] [CrossRef]
- Wegmüller, U.; Werner, C. Retrieval of vegetation parameters with SAR interferometry. IEEE Trans. Geosci. Remote Sens. 1997, 35, 18–24. [Google Scholar] [CrossRef]
- Santoro, M.; Wegmueller, U.; Askne, J.I.H. Signatures of ERS-envisat interferometric SAR coherence and phase of short vegetation: An analysis in the case of maize fields. IEEE Trans. Geosci. Remote Sens. 2010, 48, 1702–1713. [Google Scholar] [CrossRef]
- Zalite, K.; Voormansik, K.; Praks, J.; Antropov, O.; Noorma, M. Towards detecting mowing of agricultural grasslands from multi-temporal COSMO-SkyMed data. In Proceedings of the 2014 IEEE International Geoscience and Remote Sensing Symposium (IGARSS), Quebec, QC, Canada, 13–18 July 2014; pp. 5076–5079.
- Zalite, K.; Antropov, O.; Praks, J.; Voormansik, K.; Noorma, M. Monitoring of agricultural grasslands with time series of X-band repeat-pass interferometric SAR. IEEE J. Sel. Top. Appl. Earth Obs. Remote Sens. 2015, 9, 3687–3697. [Google Scholar] [CrossRef]
- Askne, J.I.H.; Dammert, P.B.G.; Ulander, L.M.H.; Smith, G. C-band repeat-pass interferometric SAR observations of the forest. IEEE Trans. Geosci. Remote. Sens. 1997, 35, 25–35. [Google Scholar] [CrossRef]
- Askne, J.; Santoro, M.; Smith, G.; Fransson, J.E.S. Multitemporal repeat-pass SAR interferometry of boreal forests. IEEE Trans. Geosci. Remote Sens. 2003, 41, 1540–1550. [Google Scholar] [CrossRef]
- Proisy, C.; Sarti, F.; Mougin, E.; Lopes, A.; Dufrene, E.; LeDantec, V.; Ruiz, C.; Borderies, P.; Chenerie, I. Temporal variations of interferometric coherence over a deciduous forest. In Proceedings of the SAR Workshop: CEOS Committee on Earth Observation Satellites, Working Group on Calibration and Validation, Toulouse, France, 26–29 October 1999.
- Santoro, M.; Askne, J.; Smith, G.; Fransson, J.E.S. Stem volume retrieval in boreal forests from ERS-1/2 interferometry. Remote Sens. Environ. 2002, 81, 19–35. [Google Scholar] [CrossRef]
- Yague-Martinez, N.; Prats-Iraola, P.; Rodriguez Gonzalez, F.; Brcic, R.; Shau, R.; Geudtner, D.; Eineder, M.; Bamler, R. Interferometric processing of sentinel-1 TOPS data. IEEE Trans. Geosci. Remote Sens. 2016, 54, 2220–2234. [Google Scholar] [CrossRef]
- Level-1 Interferometric Wide Swath SLC Products. Available online: https://earth.esa.int/web/sentinel/interferometric-wide-swath-slc (accessed on 27 June 2016).
- Hanssen, R.F. Radar Interferometry: Data Interpretation and Error Analysis; Springer Science & Business Media: Houten, The Netherlands, 2001. [Google Scholar]
- Just, D.; Bamler, R. Phase statistics of interferograms with applications to synthetic aperture radar. Appl. Opt. 1994, 33, 4361–4368. [Google Scholar] [CrossRef] [PubMed]
- Touzi, R.; Lopes, A.; Bruniquel, J.; Vachon, P.W. Coherence estimation for SAR imagery. IEEE Trans. Geosci. Remote Sens. 1999, 37, 135–149. [Google Scholar] [CrossRef]
- Heistermann, M.; Jacobi, S.; Pfaff, T. Technical Note: An open source library for processing weather radar data (wradlib). Hydrol. Earth Syst. Sci. 2013, 17, 863–871. [Google Scholar] [CrossRef]
- Kirstetter, P.E.; Delrieu, G.; Boudevillain, B.; Obled, C. Toward an error model for radar quantitative precipitation estimation in the Cévennes–Vivarais region, France. J. Hydrol. 2010, 394, 28–41. [Google Scholar] [CrossRef]
- Hunter, J.D. Matplotlib: A 2D graphics environment. Comput. Sci. Eng. 2007, 9, 90–95. [Google Scholar] [CrossRef]
- Yang, H.; Zhao, C.; Yang, G.; Li, Z.; Chen, E.; Yuan, L.; Yang, X.; Xu, X. Agricultural crop harvest progress monitoring by fully polarimetric synthetic aperture radar imagery. J. Appl. Remote Sens. 2015, 9, 096076. [Google Scholar] [CrossRef]
- Adams, J.R.; Rowlandson, T.L.; McKeown, S.J.; Berg, A.A.; McNairn, H.; Sweeney, S.J. Evaluating the Cloude–Pottier and Freeman–Durden scattering decompositions for distinguishing between unharvested and post-harvest agricultural fields. Can. J. Remote Sens. 2013, 39, 318–327. [Google Scholar] [CrossRef]
- Ahmed, R.; Siqueira, P.; Hensley, S.; Chapman, B.; Bergen, K. A survey of temporal decorrelation from spaceborne L-Band repeat-pass InSAR. Remote Sens. Environ. 2011, 115, 2887–2896. [Google Scholar] [CrossRef]
- Hajj, M.E.; Baghdadi, N.; Belaud, G.; Zribi, M.; Cheviron, B.; Courault, D.; Hagolle, O.; Charron, F. Irrigated grassland monitoring using a time series of terraSAR-X and COSMO-skyMed X-Band SAR Data. Remote Sens. 2014, 6, 10002–10032. [Google Scholar] [CrossRef]








| RON | Asc/Desc | Acquisition Time (UTC) | Sub-Swath | Incidence Angle | Ground Range Resolution az × rg, m | ||
|---|---|---|---|---|---|---|---|
| Near | Far | Near | Far | ||||
| 58 | Ascending | 16:04 | 3 | 44.6 | 45.0 | 21.60 × 4.98 | 21.60 × 4.95 |
| 80 | Descending | 04:34 | 2 | 39.0 | 39.5 | 21.70 × 4.93 | 21.70 × 4.87 |
| 160 | Ascending | 15:56 | 2 | 37.9 | 38.4 | 21.70 × 5.05 | 21.70 × 4.99 |
| RON | May | June | ||||||||||||||
| 58 | 1 | 13 | 25 | 6 | 18 | 30 | ||||||||||
| 160 | 8 | 20 | 1 | 13 | 25 | |||||||||||
| 80 | 3 | 15 | 27 | 8 | 20 | |||||||||||
| RON | July | August | ||||||||||||||
| 58 | 12 | 24 | 5 | 17 | 29 | |||||||||||
| 160 | 7 | 19 | 31 | 12 | 24 | |||||||||||
| 80 | 2 | 14 | 26 | 7 | 19 | 31 | ||||||||||
| RON | September | October | ||||||||||||||
| 58 | 10 | 4 | 16 | 28 | ||||||||||||
| 160 | 5 | 17 | 29 | 11 | 23 | |||||||||||
| 80 | 12 | 24 | 6 | |||||||||||||
| Group | Range | R58 | R80 | R160 |
|---|---|---|---|---|
| T | 77 (69) | 77 (61) | 77 (77) | |
| T | 77 (77) | 77 (70) | 77 (67) | |
| T | 63 (56) | 77 (71) | 77 (67) | |
| T | 55 (38) | 77 (53) | 77 (58) | |
| T | 69 (59) | 68 (50) | 77 (57) | |
| T | 77 (77) | 55 (55) | 77 (76) |
| RON | T | T | T | T | (T)−(T) | (T)−(T) | (T)−(T) |
|---|---|---|---|---|---|---|---|
| R160 | 0.16 (0.16) | 0.28 (0.30) | 0.23 (0.27) | 0.22 (0.22) | 0.12 (0.14) | 0.067 (0.11) | 0.064 (0.062) |
| R58 | 0.17 (0.17) | 0.25 (0.25) | 0.23 (0.23) | 0.20 (0.20) | 0.081 (0.086) | 0.061 (0.066) | 0.035 (0.035) |
| R80 | 0.16 (0.16) | 0.19 (0.21) | 0.20 (0.21) | 0.19 (0.19) | 0.034 (0.048) | 0.044 (0.051) | 0.033 (0.031) |
| RON | T | T | T | T | (T)−(T) | (T)−(T) | (T)−(T) |
|---|---|---|---|---|---|---|---|
| R160 | 0.16 (0.16) | 0.26 (0.29) | 0.22 (0.25) | 0.20 (0.20) | 0.097 (0.13) | 0.060 (0.085) | 0.040 (0.039) |
| R58 | 0.15 (0.15) | 0.22 (0.22) | 0.19 (0.19) | 0.18 (0.18) | 0.063 (0.065) | 0.041 (0.040) | 0.024 (0.025) |
| R80 | 0.15 (0.15) | 0.19 (0.20) | 0.18 (0.20) | 0.17 (0.17) | 0.038 (0.053) | 0.031 (0.049) | 0.021 (0.020) |
© 2016 by the authors; licensee MDPI, Basel, Switzerland. This article is an open access article distributed under the terms and conditions of the Creative Commons Attribution (CC-BY) license (http://creativecommons.org/licenses/by/4.0/).
Share and Cite
Tamm, T.; Zalite, K.; Voormansik, K.; Talgre, L. Relating Sentinel-1 Interferometric Coherence to Mowing Events on Grasslands. Remote Sens. 2016, 8, 802. https://doi.org/10.3390/rs8100802
Tamm T, Zalite K, Voormansik K, Talgre L. Relating Sentinel-1 Interferometric Coherence to Mowing Events on Grasslands. Remote Sensing. 2016; 8(10):802. https://doi.org/10.3390/rs8100802
Chicago/Turabian StyleTamm, Tanel, Karlis Zalite, Kaupo Voormansik, and Liina Talgre. 2016. "Relating Sentinel-1 Interferometric Coherence to Mowing Events on Grasslands" Remote Sensing 8, no. 10: 802. https://doi.org/10.3390/rs8100802
APA StyleTamm, T., Zalite, K., Voormansik, K., & Talgre, L. (2016). Relating Sentinel-1 Interferometric Coherence to Mowing Events on Grasslands. Remote Sensing, 8(10), 802. https://doi.org/10.3390/rs8100802
