Land Surface Temperature Differences within Local Climate Zones, Based on Two Central European Cities
Abstract
:1. Introduction
2. Materials and Methods
2.1. Study Area
2.2. Local Climate Zones
2.3. Land Surface Temperature
2.4. Comparison of Land-Surface Temperatures in Local Climate Zones
3. Results
3.1. Local Climate Zones
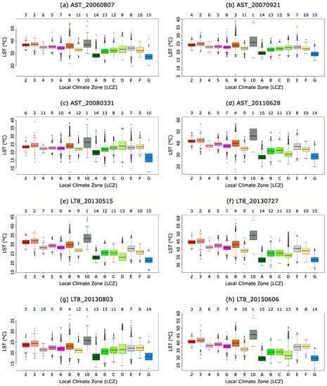
3.2. Land Surface Temperature
3.3. Local Climate Zones and Land Surface Temperatures
4. Discussion
5. Conclusions
Acknowledgments
Author Contributions
Conflicts of Interest
Abbreviations
| BSF | Building Surface Fraction |
| ISF | Impervious Surface Fraction |
| LCZ | Local Climate Zones |
| LST | Land Surface Temperature |
| PSF | Pervious Surface Fraction |
References
- Arnfield, A.J. Two decades of urban climate research: A review of turbulence, exchanges of energy and water, and the urban heat island. Int. J. Climatol. 2003, 23, 1–26. [Google Scholar] [CrossRef]
- Grimmond, C.B.S.; Ward, H.C.; Kotthaus, S. Effects of urbanization on local and regional climate. In The Routledge Handbook of Urbanization and Global Environmental Change, 1st ed.; Seto, K.C., Solecki, W.D., Griffith, C.A., Eds.; Routledge: London, UK; New York, NY, USA, 2016; pp. 169–187. [Google Scholar]
- Stewart, I.D. A systematic review and scientific critique of methodology in modern urban heat island literature. Int. J. Climatol. 2011, 31, 200–217. [Google Scholar] [CrossRef]
- Stewart, I.D.; Oke, T.R. Local climate zones for urban temperature studies. Bull. Am. Meteorol. Soc. 2012, 93, 1879–1900. [Google Scholar] [CrossRef]
- Stewart, I.D.; Oke, T.R. Local climate zones and urban climatic mapping. In The Urban Climatic Map: A Methodology for Sustainable Urban Planning, 1st ed.; Ren, C., Ng, E., Eds.; Routledge: New York, NY, USA, 2015; pp. 397–401. [Google Scholar]
- Stewart, I.D.; Oke, T.R.; Krayenhoff, E.S. Evaluation of the ‘local climate zone’ scheme using temperature observations and model simulations. Int. J. Climatol. 2014, 34, 1062–1080. [Google Scholar] [CrossRef]
- Gál, T.; Bechtel, B.; Unger, J. Comparison of two different local climate zone mapping methods. In Proceedings of the 9th International Conference on Urban Climate, Toulouse, France, 20–24 July 2015.
- Lehnert, M.; Geletič, J.; Husák, J.; Vysoudil, M. Urban field classification by “local climate zones” in a medium-sized Central European city: The case of Olomouc (Czech Republic). Theor. Appl. Climatol. 2015, 122, 531–541. [Google Scholar] [CrossRef]
- Lelovics, E.; Unger, J.; Gál, T.; Gál, V. Design of an urban monitoring network based on local climate zone mapping and temperature pattern modelling. Clim. Res. 2014, 60, 51–62. [Google Scholar] [CrossRef]
- Przybylak, R.; Uscka-Kowalkowska, J.; Araźny, A.; Kejna, M.; Kunz, M.; Maszewski, R. Spatial distribution of air temperature in Toruń (Central Poland) and its causes. Theor. Appl. Climatol. 2015. [Google Scholar] [CrossRef]
- Bokwa, A.; Hajto, M.J.; Walawender, J.P.; Szymanowski, M. Influence of diversified relief on the urban heat island in the city of Kraków, Poland. Theor. Appl. Climatol. 2015, 122, 365–382. [Google Scholar] [CrossRef]
- Leconte, F.; Bouyer, J.; Claverie, R.; Pétrissans, M. Using local climate zone scheme for UHI assessment: Evaluation of the method using mobile measurements. Build. Environ. 2015, 83, 39–49. [Google Scholar] [CrossRef]
- Lindén, J.; Grimmond, C.S.B.; Esper, J. Urban warming in villages. Adv. Sci. Res. 2015, 12, 157–162. [Google Scholar] [CrossRef]
- Bechtel, B.; Daneke, C. Classification of local climate zones based on multiple earth observation data. IEEE J. Sel. Top. Appl. Earth Obs. Remote Sens. 2012, 5, 1191–1202. [Google Scholar] [CrossRef]
- Alexander, P.J.; Mills, G.; Fealy, R. Using LCZ data to run an urban energy balance model. Urban Clim. 2015, 13, 14–37. [Google Scholar] [CrossRef]
- Zuvela-Aloise, M.; Bokwa, A.; Dobrovolný, P.; Gál, T.; Geletič, J.; Gulyas, Á.; Hajto, M.; Hollosi, B.; Kielar, R.; Lehnert, M.; et al. Modelling urban climate under global climate change in Central European cities. In Proceedings of the EGU General Assembly 2015, Vienna, Austria, 12–17 April 2015.
- Geletič, J.; Lehnert, M.; Dobrovolný, P. Modelled spatio-temporal variability of air temperature in an urban climate and its validation: A case study of Brno (Czech Republic). Hung. Geogr. Bull. 2016, 65, 169–180. [Google Scholar] [CrossRef]
- Skarbit, N.; Gal, T.; Unger, J. Airborne surface temperature differences of the different local climate zones in the urban area of a medium sized city. In Proceedings of the 2015 Joint Urban Remote Sensing Event (JURSE), Lausanne, Switzerland, 30 March–1 April 2015; pp. 1–4.
- Gémes, O.; Tobak, Z.; van Leeuwen, B. Satellite based analysis of surface urban heat island intensity. J. Environ. Geogr. 2016, 9, 23–30. [Google Scholar] [CrossRef]
- Dobrovolný, P.; Krahula, L. The spatial variability of air temperature and nocturnal urban heat island intensity in the city of Brno, Czech Republic. Morav. Geogr. Rep. 2015, 23, 8–16. [Google Scholar] [CrossRef]
- Voogt, J.A.; Oke, T.R. Thermal remote sensing of urban climates. Remote Sens. Environ. 2003, 86, 370–384. [Google Scholar] [CrossRef]
- Grimmond, C.B.S. Progress in measuring and observing the urban atmosphere. Theor. Appl. Climatol. 2006, 84, 3–22. [Google Scholar] [CrossRef]
- Weng, Q. Thermal infrared remote sensing for urban climate and environmental studies: Methods, applications, and trends. ISPRS J. Photogramm. 2009, 64, 335–344. [Google Scholar] [CrossRef]
- Gallo, K.P.; Owen, T.W. Satellite-based adjustments for the urban heat island temperature bias. J. Appl. Meteorol. 1999, 38, 806–813. [Google Scholar] [CrossRef]
- Unger, J.; Gál, T.; Rakonczai, J.; Mucsi, L.; Szatmári, J.; Tobak, Z.; van Leeuwen, B.; Fiala, K. Air temperature versus surface temperature in urban environment. In Proceedings of the 7th International Conference on Urban Climate, Yokohama, Japan, 29 June–3 July 2009.
- Schwarz, N.; Schlink, U.; Franck, U.; Großmann, K. Relationship of land surface and air temperatures and its implications for quantifying urban heat island indicators—An application for the city of Leipzig (Germany). Ecol. Indic. 2012, 18, 693–704. [Google Scholar] [CrossRef]
- Krayenhoff, E.S.; Voogt, J.A. Daytime thermal anisotropy of urban neighbourhoods: Morphological causation. Remote Sens. 2016, 8, 108. [Google Scholar] [CrossRef]
- Dobrovolný, P.; Řezníčková, L.; Brázdil, R.; Krahula, L.; Zahradníček, P.; Hradil, M.; Doleželová, M.; Šálek, M.; Štěpánek, P.; Rožnovský, J.; et al. Klima Brna. Víceúrovňová Analýza Městského Klimatu, 1st ed.; Masarykova Univerzita: Brno, Czech Republic, 2012. [Google Scholar]
- Tolasz, R.; Brázdil, R.; Bulíř, O.; Dobrovolný, P.; Dubrovský, M.; Hájková, L.; Halásová, O.; Hostýnek, J.; Janouch, M.; Kohut, M.; et al. Atlas Podnebí Česka: Climate Atlas of Czechia, 1st ed.; Praha, Olomouc: Český Hydrometeorologický Ústav, Czech Republic, 2007. [Google Scholar]
- Geletič, J.; Lehnert, M. A GIS-based delineation of local climate zones: The case of medium-sized Central European cities. Morav. Geogr. Rep. 2016, 24, 25–35. [Google Scholar]
- Sobrino, J.A.; Li, Z.L.; Stoll, M.P.; Becker, F. Multi-channel and multi-angle algorithms for estimating sea and land surface temperature with ATSR data. Int. J. Remote Sens. 1996, 17, 2089–2114. [Google Scholar] [CrossRef]
- U.S. Geological Survey, Department of the Interior. LANDSAT 8 (L8) Data Users Handbook (Version 2.0). 2016; U.S. Geological Survey LANDSAT Missions Web Site. Available online: https://landsat.usgs.gov/documents/Landsat8DataUsersHandbook.pdf (accessed on 30 May 2016). [Google Scholar]
- Rozenstein, O.; Qin, Z.; Derimian, Y.; Karnieli, A. Derivation of land surface temperature for Landsat-8 TIRS using a split window algorithm. Sensors 2014, 14, 5768–5780. [Google Scholar] [CrossRef] [PubMed]
- Gillespie, A.R.; Rokugawa, S.; Hook, S.J.; Matsunaga, T.; Kahle, A.B. Temperature/Emissivity Separation Algorithm Theoretical Basis Document (Version 2.4). 1999; NASA’s Earth Observing System Project Science Office Web Site. Available online: http://eospso.nasa.gov/sites/default/files/atbd/atbd-ast-05-08.pdf (accessed on 30 May 2016). [Google Scholar]
- Livezey, R.E. Field intercomparison. In Analysis of Climate Variability: Applications of Statistical Techniques, 2nd ed.; von Storch, H., Navarra, A., Eds.; Springer: New York, NY, USA; Heidelberg, Germany, 1995; pp. 161–178. [Google Scholar]
- Roth, M.; Oke, T.R.; Emery, W.J. Satellite-derived urban heat islands from three coastal cities and the utilization of such data in urban climatology. Int. J. Remote Sens. 1989, 10, 1699–1720. [Google Scholar] [CrossRef]
- Stathopoulou, M.; Cartalis, C.; Chrysoulakis, N. Using midday surface temperature to estimate cooling degree-days from NOAA-AVHRR thermal infrared data: An application for Athens, Greece. Sol. Energy 2006, 80, 414–422. [Google Scholar] [CrossRef]
- Akbari, H.; Levinson, R. Evolution of cool-roof standards in the US. Build. Energy Res. 2008, 1, 1–32. [Google Scholar] [CrossRef]
- Dobrovolný, P. The surface urban heat island in the city of Brno (Czech Republic) derived from land surface temperatures and selected reasons for its spatial variability. Theor. Appl. Climatol. 2013, 112, 89–98. [Google Scholar] [CrossRef]
- Wang, J.; Huang, B. Future urban climatic map development based on spatiotemporal image fusion for monitoring the seasonal response of urban heat islands to land use/cover. In The Urban Climatic Map: A Methodology for Sustainable Urban Planning, 1st ed.; Ng, E., Ren, C., Eds.; Routledge: New York, NY, USA, 2015; pp. 408–417. [Google Scholar]
- Voogt, J.A.; Oke, T.R. Effects of urban surface geometry on remotely-sensed surface temperature. Int. J. Remote Sens. 1998, 19, 895–920. [Google Scholar] [CrossRef]
- Bechtel, B.; Alexander, P.J.; Böhner, J.; Ching, J.; Conrad, O.; Feddema, J.; Mills, G.; See, L.; Stewart, I. Mapping local climate zones for a worldwide database of the form and function of cities. ISPRS Int. J. Geo-Inf. 2015, 4, 199–219. [Google Scholar] [CrossRef]
- Danylo, O.; See, L.; Bechtel, B.; Schepaschenko, D.; Fritz, S. Contributing to WUDAPT: A local climate zone classification of two cities in Ukraine. IEEE J. Sel. Top. Appl. Earth Obs. Remote Sens. 2015, 9, 1841–1853. [Google Scholar]
- Lin, Z.; Xu, H. A study of urban heat island intensity based on “local climate zones”: A case study in Fuzhou, China. In Proceedings of the 4th International Workshop on Earth Observation and Remote Sensing Applications (EORSA), Guangzhou, China, 4–6 July 2016.











| Location | Size of Study Area | Cadastral Area | Number of Inhabitants | Mean Elevation | Latitude (City Center) | Longitude (City Center) |
|---|---|---|---|---|---|---|
| Brno and surroundings | 25 × 25 km | 8266 ha | 400,000 | 259 m | 49°12′N | 16°37′E |
| Prague and surroundings | 35 × 25 km | 49,600 ha | 1,275,000 | 288 m | 50°05′N | 14°25′E |
| LCZ | Type | BSF (%) | ISF (%) | PSF (%) | HRE (m) |
|---|---|---|---|---|---|
| 1 | Compact high-rise | 40–60 | 40–60 | <10 | >25 |
| 2 | Compact mid-rise | 40–70 | 30–50 | <20 | 10–25 |
| 3 | Compact low-rise | 40–70 | 20–50 | <30 | 3–10 |
| 4 | Open high-rise | 20–40 | 30–40 | (30–50) 30–40 | >25 |
| 5 | Open mid-rise | 20–40 | 30–50 | (30–60) 20–40 | 10–25 |
| 6 | Open low-rise | 20–40 | 20–50 | 30–60 | 3–10 |
| 7 | Lightweight low-rise | 60–90 | <20 | <30 | 2–4 |
| 8 | Large low-rise | 30–50 | 40–50 | <20 | 3–10 |
| 9 | Sparsely built | 10–20 | <20 | 60–80 | 3–10 |
| 10 | Heavy industry | (40–70) 20–30 | (30–60) 20–40 | (<10) 40–50 | (10–20) 5–15 |
| A | Dense trees | <10 | <10 | >90 | 3–30 |
| B | Scattered trees | <10 | <10 | >90 | 3–15 |
| C | Bush, scrub | <10 | <10 | >90 | <2 |
| D | Low plants | <10 | <10 | >90 | <1 |
| E | Bare rock or paved | <10 | >90 | <10 | <0.25 |
| F | Bare soil or sand | <10 | <10 | >90 | <0.25 |
| G | Water | <10 | <10 | >90 | − |
| City | Scene ID | Satellite | Date | Time (UTC) | Cloud Cover 1 | Solar Elevation | Solar Azimuth |
|---|---|---|---|---|---|---|---|
| BRNO | AST_20020402 | ASTER | 2 April 2002 | 09:57:53 | 0% | 44.250 | 159.398 |
| BRNO | AST_20090928 | ASTER | 28 September 2009 | 09:56:29 | 0% | 37.792 | 165.303 |
| BRNO | AST_20130806 | ASTER | 6 August 2013 | 09:56:37 | 0% | 54.506 | 153.383 |
| BRNO | AST_20140719 | ASTER | 19 July 2014 | 20:47:55 | 0% | −14.399 | 328.189 |
| BRNO | LT8_20130618 | LANDSAT-8 | 18 June 2013 | 09:46:54 | 0% | 61.294 | 145.506 |
| BRNO | LT8_20130906 | LANDSAT-8 | 6 September 2013 | 09:46:58 | 0% | 45.369 | 156.246 |
| BRNO | LT8_20140520 | LANDSAT-8 | 20 May 2014 | 09:44:27 | 0% | 58.345 | 149.068 |
| BRNO | LT8_20150320 | LANDSAT-8 | 20 March 2015 | 09:44:31 | 0% | 38.296 | 154.861 |
| PRAGUE | AST_20060817 | ASTER | 18 July 2006 | 10:08:14 | 0% | 51.457 | 156.961 |
| PRAGUE | AST_20070921 | ASTER | 21 September 2007 | 10:08:42 | 0% | 39.606 | 164.853 |
| PRAGUE | AST_20080331 | ASTER | 31 March 2008 | 10:08:17 | 0% | 42.738 | 160.003 |
| PRAGUE | AST_20110628 | ASTER | 28 June 2011 | 10:08:10 | 0% | 60.817 | 151.613 |
| PRAGUE | LT8_20130515 | LANDSAT-8 | 15 May 2013 | 09:58:53 | 0% | 56.473 | 152.642 |
| PRAGUE | LT8_20130727 | LANDSAT-8 | 27 July 2013 | 09:52:42 | 0% | 55.845 | 148.504 |
| PRAGUE | LT8_20130803 | LANDSAT-8 | 3 August 2013 | 09:58:54 | 0% | 54.258 | 149.681 |
| PRAGUE | LT8_20150606 | LANDSAT-8 | 6 June 2015 | 09:56:06 | 0% | 59.396 | 148.417 |
© 2016 by the authors; licensee MDPI, Basel, Switzerland. This article is an open access article distributed under the terms and conditions of the Creative Commons Attribution (CC-BY) license (http://creativecommons.org/licenses/by/4.0/).
Share and Cite
Geletič, J.; Lehnert, M.; Dobrovolný, P. Land Surface Temperature Differences within Local Climate Zones, Based on Two Central European Cities. Remote Sens. 2016, 8, 788. https://doi.org/10.3390/rs8100788
Geletič J, Lehnert M, Dobrovolný P. Land Surface Temperature Differences within Local Climate Zones, Based on Two Central European Cities. Remote Sensing. 2016; 8(10):788. https://doi.org/10.3390/rs8100788
Chicago/Turabian StyleGeletič, Jan, Michal Lehnert, and Petr Dobrovolný. 2016. "Land Surface Temperature Differences within Local Climate Zones, Based on Two Central European Cities" Remote Sensing 8, no. 10: 788. https://doi.org/10.3390/rs8100788
APA StyleGeletič, J., Lehnert, M., & Dobrovolný, P. (2016). Land Surface Temperature Differences within Local Climate Zones, Based on Two Central European Cities. Remote Sensing, 8(10), 788. https://doi.org/10.3390/rs8100788
