Retrieval of Cirrus Cloud Optical Depth under Day and Night Conditions from MODIS Collection 6 Cloud Property Data
Abstract
:1. Introduction
2. Motivation

3. Data Used in the Study
4. Retrieval Method
4.1. General Method for Effective Radius Retrieval



4.2. General Method for Optical Depth Retrieval
4.3. C6 Habit

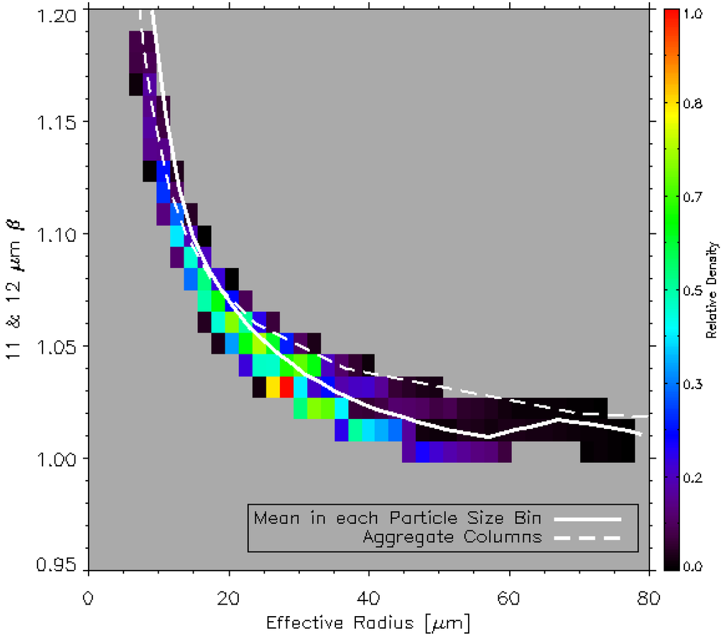
4.4. Empirical Method


5. Results
5.1. Optical Depth Comparisons


5.2. Effective Radius Comparisons
6. Conclusions
Acknowledgments
Author Contributions
Conflicts of Interest
References
- Baum, B.A.; Menzel, W.P.; Frey, R.A.; Tobin, D.; Holz, R.E.; Ackerman, S.A.; Heidinger, A.K.; Yang, P. MODIS cloud top property refinements for Collection 6. J. Appl. Meteor. Climatol. 2012, 51, 1145–1163. [Google Scholar] [CrossRef]
- Menzel, W.P.; Frey, R.A.; Zhang, H.; Wylie, D.P.; Moeller, C.C.; Holz, R.E.; Maddux, B.; Baum, B.A.; Strabala, K.I.; Gumley, L.E. MODIS global cloud-top pressure and amount estimation: Algorithm description and results. J. Appl. Meteor. Climatol. 2008, 47, 1175–1198. [Google Scholar] [CrossRef]
- Platnick, S.; King, M.D.; Ackerman, S.A.; Menzel, W.P.; Baum, B.A.; Riedi, J.C.; Frey, R.A. The MODIS cloud products: Algorithms and examples from Terra. IEEE Trans. Geosci. Remote Sens. 2003, 41, 459–473. [Google Scholar] [CrossRef]
- Garnier, A.; Pelon, J.; Dubuisson, P.; Faivre, M.; Chomette, O.; Pascal, N.; Kratz, D.P. Retrieval of cloud properties using CALIPSO Imaging Infrared Radiometer. Part I: Effective emissivity and optical depth. J. Appl. Meteor. Climatol. 2012, 51, 1407–1425. [Google Scholar] [CrossRef]
- Garnier, A.; Pelon, J.; Dubuisson, P.; Yang, P.; Faivre, M.; Chomette, O.; Pascal, N.; Lucker, P.; Murray, T. Retrieval of cloud properties using CALIPSO imaging infrared radiometer. Part II: effective diameter and ice water path. J. Appl. Meteor. Climatol. 2013, 52, 2582–2599. [Google Scholar] [CrossRef]
- Heidinger, A.K.; Pavolonis, M.J.; Holz, R.E.; Baum, B.A.; Berthier, S. Using CALIPSO to explore the sensitivity to cirrus height in the infrared observations from NPOESS/VIIRS and GOES-R/ABI. J. Geophys. Res. 2010. [Google Scholar] [CrossRef]
- Mitchell, D.L.; d’Entremont, R.P.; Lawson, R.P. Inferring cirrus size distributions through satellite remote sensing and microphysical databases. J. Atmos. Sci. 2010, 67, 1106–1125. [Google Scholar] [CrossRef]
- Cooper, S.J.; Garrett, T.J. Identification of small ice cloud particles using passive radiometric observations. J. Appl. Metero. Climatol. 2010, 49, 2334–2347. [Google Scholar] [CrossRef]
- Nagle, F.W.; Holz, R.E. Computationally efficient methods of collocating satellite, aircraft, and ground observations. J. Atmos. Oceanic Technol. 2009, 26, 1585–1595. [Google Scholar] [CrossRef]
- Sourdeval, O.; Brogniez, G.; Pelon, J.; Labonnote, L.C.; Dubuisson, P.; Parol, F.; Josset, D.; Garnier, A.; Faivre, M.; Minikin, A. Validation of IIR/Calipso level 1 measurements by comparison with collocated airborne observations during “Circle-2” and “Biscay 08” campaigns. J. Atmos. Oceanic Technol. 2012, 29, 653–667. [Google Scholar] [CrossRef]
- Yang, P.; Bi, L.; Baum, B.A.; Liou, K.N.; Kattawar, G.W.; Mishchenko, M.I.; Cole, B. Spectrally consistent scattering, absorption, and polarization properties of atmospheric ice crystals at wavelengths from 02 to 100 µm. J. Atmos. Sci. 2013, 70, 330–347. [Google Scholar] [CrossRef]
- Deirmendjian, D. Electromagnetic Scattering on Spherical Polydispersions; Elsevier: New York, NY, USA, 1969; p. 290. [Google Scholar]
- Hannon, S.; Strow, L.L.; McMillan, W.W. Atmospheric Infrared Fast Transmittance Models: A Comparison of Two Approaches. Available online: http://citeseerx.ist.psu.edu/viewdoc/download?doi=10.1.1.45.6781&rep=rep1&type=pdf (accessed on 18 May 2015).
- Derber, J.C.; Parrish, D.F.; Lord, S.J. The new global operational analysis system at the National Meteorological Center. Weather Forecast. 1991, 6, 538–547. [Google Scholar] [CrossRef]
- Parol, F.; Buriez, J.C.; Brogniez, G.; Fouquart, Y. Information content of AVHRR channels 4 and 5 with respect to the effective radius of cirrus cloud particles. J. Appl. Meteor. 1991, 30, 973–984. [Google Scholar] [CrossRef]
- Van de Hulst, H.C. The spherical albedo of a planet covered with a homogeneous cloud layer. Astron. Astrophys. 1974, 35, 209–214. [Google Scholar]
- Wang, C.; Yang, P.; Baum, B.A.; Platnick, S.; Heidinger, A.K.; Hu, Y.-X.; Holz, R.E. Retrieval of ice cloud optical thickness and effective particle size using a fast infrared radiative transfer model. J. Appl. Meteor. Climatol. 2011, 50, 2283–2297. [Google Scholar] [CrossRef]
- Zhang, Z.; Yang, P.; Kattawar, G.W.; Riedi, J.; C-Labonnote, L.; Baum, B.A.; Platnick, S.; Huang, H.L. Influence of ice particle model on satellite ice cloud retrieval: lessons learned from MODIS and POLDER cloud product comparison. Atmos. Chem. Phys. 2009, 9, 7115–7129. [Google Scholar] [CrossRef]
- Baum, B.A.; Yang, P.; Heymsfield, A.J.; Bansemer, A.; Merrelli, A.; Schmitt, C.; Wang, C. Ice cloud bulk single-scattering property models with the full phase matrix at wavelengths from 0.2 to 100 µm. J. Quant. Spectrosc. Radiat. Transfer. 2014, 146, 123–139. [Google Scholar]
- Young, S.A. Analysis of lidar backscatter profiles in optically thin clouds. Appl. Opt. 1995, 34, 7019–7031. [Google Scholar]
- Zhang, Z.; Platnick, S.; Yang, P.; Heidinger, A.K.; Comstock, J.M. Effects of ice particle size vertical inhomogeneity on the passive remote sensing of ice clouds. J. Geophys. Res. 2010. [Google Scholar] [CrossRef]
© 2015 by the authors; licensee MDPI, Basel, Switzerland. This article is an open access article distributed under the terms and conditions of the Creative Commons Attribution license (http://creativecommons.org/licenses/by/4.0/).
Share and Cite
Heidinger, A.K.; Li, Y.; Baum, B.A.; Holz, R.E.; Platnick, S.; Yang, P. Retrieval of Cirrus Cloud Optical Depth under Day and Night Conditions from MODIS Collection 6 Cloud Property Data. Remote Sens. 2015, 7, 7257-7271. https://doi.org/10.3390/rs70607257
Heidinger AK, Li Y, Baum BA, Holz RE, Platnick S, Yang P. Retrieval of Cirrus Cloud Optical Depth under Day and Night Conditions from MODIS Collection 6 Cloud Property Data. Remote Sensing. 2015; 7(6):7257-7271. https://doi.org/10.3390/rs70607257
Chicago/Turabian StyleHeidinger, Andrew K., Yue Li, Bryan A. Baum, Robert E. Holz, Steven Platnick, and Ping Yang. 2015. "Retrieval of Cirrus Cloud Optical Depth under Day and Night Conditions from MODIS Collection 6 Cloud Property Data" Remote Sensing 7, no. 6: 7257-7271. https://doi.org/10.3390/rs70607257
APA StyleHeidinger, A. K., Li, Y., Baum, B. A., Holz, R. E., Platnick, S., & Yang, P. (2015). Retrieval of Cirrus Cloud Optical Depth under Day and Night Conditions from MODIS Collection 6 Cloud Property Data. Remote Sensing, 7(6), 7257-7271. https://doi.org/10.3390/rs70607257

