Impact of Land Cover Change Induced by a Fire Event on the Surface Energy Fluxes Derived from Remote Sensing
Abstract
:1. Introduction
2. Materials and Methods
2.1. Study Site and Data


| Forest_c Area | Burnt Area | |||
|---|---|---|---|---|
| Qi | PPr | Qi | PPr | |
| Tree density (tree·ha−1) | 260 (40) | 440 (30) | 9160 (70) | 450 (4) |
| Basal Area (m2·ha−1) | 2.7 (0.4) | 22.2 (1.5) | 2.276 (0.024) | 0.433 (0.004) |
| Crown coverage (%) | 19 (4) | 58 (7) | 41 (8) | 0.4 (0.1) |
2.2. Methodology
3. Results and Discussion
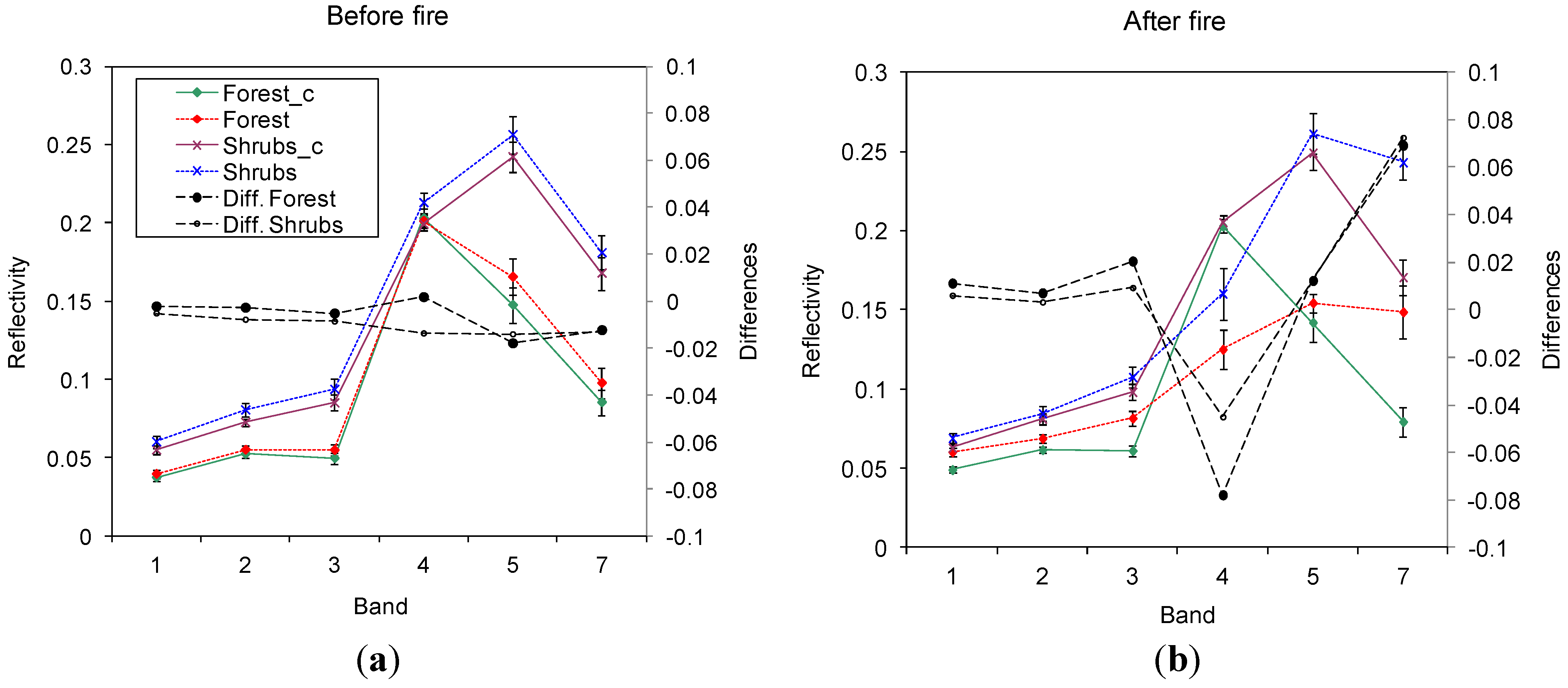
3.1. Assessment of the Control Areas

3.2. Comparison with Observed Fluxes

| Rni (W·m−2) | Gi (W·m−2) | Hi (W·m−2) | LEi (W·m−2) | Rnd (W·m−2) | Hd (W·m−2) | LEd (W·m−2) | ||||||||
|---|---|---|---|---|---|---|---|---|---|---|---|---|---|---|
| Obs | Mod | Obs | Mod | Obs | Mod | Obs | Mod | Obs | Mod | Obs. | Mod. | Obs. | Mod. | |
| 28 September 2007 | 490 | 540 | 120 | 98 | 310 | 360 | 64 | 82 | 120 | 130 | 92 | 87 | 28 | 43 |
| 2 May 2008 | 630 | 640 | 130 | 130 | 390 | 320 | 110 | 200 | 190 | 190 | 120 | 93 | 70 | 96 |
| 21 June 2008 | 650 | 630 | 100 | 110 | 430 | 370 | 130 | 150 | 200 | 200 | 120 | 120 | 80 | 79 |
| 28 May 2012 | 690 | 670 | 96 | 66 | 450 | 500 | 150 | 110 | 210 | 200 | 110 | 150 | 53 | 51 |
| 8 July 2012 | 650 | 650 | 46 | 82 | 500 | 550 | 100 | 21 | 210 | 210 | 170 | 180 | 43 | 32 |
| 31 July 2012 | 630 | 630 | 29 | 72 | 500 | 450 | 130 | 100 | 180 | 180 | 150 | 130 | 40 | 52 |
| 9 August 2012 | 590 | 580 | 22 | 81 | 330 | 400 | 160 | 100 | 150 | 150 | 130 | 100 | 32 | 47 |
| Mean | 620 | 620 | 80 | 90 | 420 | 420 | 120 | 110 | 180 | 180 | 130 | 120 | 50 | 60 |
| Bias | 1.4 | −4 | 6 | −12 | 0.1 | −5 | 8 | |||||||
| RMSE | 22 | 30 | 60 | 60 | 5 | 23 | 14 | |||||||
| RMSE* (%) | 4 | 40 | 14 | 40 | 3 | 18 | 30 | |||||||
3.3. Analysis of the Fire Effect
3.3.1. Effects on Surface Parameters
| Postfire Years | Site | Albedo | NDVI | Pv | TR (°C) | rah (s·m−1) | Rni | Gi | Hi | LEi | Rnd | Hd | LEd |
|---|---|---|---|---|---|---|---|---|---|---|---|---|---|
| (W·m−2) | |||||||||||||
| 6–7 | Forest_c | 0.11 | 0.47 | 0.60 | 28.1 | 13 | 680 | 72 | 200 | 400 | 200 | 61 | 140 |
| Forest | 0.13 | 0.30 | 0.31 | 34.4 | 31 | 620 | 120 | 360 | 150 | 180 | 110 | 78 | |
| Shrubs_c | 0.12 | 0.31 | 0.32 | 33.0 | 17 | 640 | 110 | 320 | 210 | 190 | 93 | 96 | |
| Shrubs | 0.14 | 0.32 | 0.34 | 32.4 | 31 | 630 | 110 | 350 | 180 | 190 | 100 | 86 | |
| 9 | Forest_c | 0.11 | 0.57 | 0.62 | 35.3 | 20 | 750 | 76 | 320 | 350 | 200 | 91 | 110 |
| Forest | 0.12 | 0.40 | 0.41 | 42.4 | 41 | 680 | 110 | 220 | 350 | 190 | 61 | 130 | |
| Shrubs_c | 0.11 | 0.43 | 0.44 | 40.9 | 26 | 700 | 110 | 280 | 310 | 190 | 79 | 110 | |
| Shrubs | 0.13 | 0.41 | 0.42 | 40.9 | 41 | 690 | 110 | 220 | 360 | 190 | 60 | 130 | |
| 11 | Forest_c | 0.11 | 0.55 | 0.60 | 30.7 | 13 | 590 | 70 | 420 | 110 | 160 | 120 | 43 |
| Forest | 0.12 | 0.39 | 0.40 | 36.9 | 25 | 540 | 90 | 330 | 120 | 150 | 92 | 54 | |
| Shrubs_c | 0.12 | 0.39 | 0.40 | 36.8 | 18 | 550 | 91 | 400 | 67 | 150 | 110 | 37 | |
| Shrubs | 0.13 | 0.39 | 0.39 | 35.5 | 25 | 550 | 92 | 330 | 130 | 150 | 92 | 55 | |

3.3.2. Effects on Energy Fluxes in the Forest Site

3.3.3. Effects on Energy Fluxes in the Shrub Site
3.3.4. Effects on Energy Fluxes in the Future Scenario

4. Conclusions
Acknowledgments
Author Contributions
Conflicts of Interest
References
- Clark, K.L.; Skowronski, N.; Gallagher, M.; Renninger, H.; Schäfer, K. Effects of invasive insects and fire on forest energy exchange and evapotranspiration in the New Jersey pinelands. For. Meteorol. 2012, 166, 50–61. [Google Scholar] [CrossRef]
- Randerson, J.T.; Liu, H.; Flanner, M.G.; Chambers, S.D.; Jin, Y.; Hess, P.G.; Pfister, G.; Mack, M.C.; Treseder, K.K.; Welp, L.R.; et al. The impact of boreal forest fire on climate warming. Science 2006, 314, 1130–1132. [Google Scholar] [CrossRef] [PubMed]
- Amiro, B.D.; Orchansky, A.L.; Barr, A.G.; Black, T.A.; Chambers, S.D.; Chapin, F.S., III; Goulden, M.L.; Litvak, M.; Liu, H.P.; McCaughey, J.H.; et al. The effect of post-fire stand age on the boreal forest energy balance. Agric. For. Meteorol. 2006, 140, 41–50. [Google Scholar] [CrossRef]
- Dore, S.; Kolb, T.E.; Montes-Helu, M.; Eckert, S.E.; Sullivan, B.W.; Hungate, B.A.; Kaye, J.P.; Hart, S.C.; Koch, G.W.; Finkral, A. Carbon and water fluxes from ponderosa pine forests disturbed by wildfire and thinning. Ecol. Appl. 2010, 20, 663–683. [Google Scholar] [CrossRef] [PubMed]
- Montes-Helu, M.C.; Kolb, T.; Dore, S.; Sullivan, B.; Hart, S.C.; Koch, G.; Hungate, B.A. Persistent effects of fire-induced vegetation change on energy partitioning and evapotranspiration in ponderosa pine forests. Agric. For. Meteorol. 2009, 149, 491–500. [Google Scholar] [CrossRef]
- Rocha, A.V.; Shaver, G.R. Postfire energy exchange in arctic tundra: The importance and climatic implications of burn severity. Glob. Chang. Biol. 2011, 17, 2831–2841. [Google Scholar] [CrossRef]
- Lentile, L.B.; Holden, Z.A.; Smith, A.M.S.; Falkowski, M.J.; Hudak, A.T.; Morgan, P.; Lewis, S.A.; Gessler, P.E.; Benson, N.C. Remote sensing techniques to assess active fire characteristics andpost-fire effects. Int. J. Wildland Fire 2006, 15, 319–345. [Google Scholar] [CrossRef]
- López, M.J.; Caselles, V. Mapping burns and natural reforestation using thematic mapper data. Gocarto. Int. 1991, 1, 31–37. [Google Scholar]
- Díaz-Delgado, R.; Lloret, F.; Pons, X. Influence of fire severity on plant regeneration by means of remote sensing imagery. Int. J. Remote Sens. 2003, 8, 1751–1763. [Google Scholar] [CrossRef]
- Ha, W.; Kolb, T.E.; Springer, A.E.; Dore, S.; O′Donnell, F.C.; Martínez, R.; López, S.; Koch, G.W. Evapotranspiration comparisons between eddy covariance measurements and meteorological and remote-sensing-based models in disturbed ponderosa pine forests. Ecohydrology 2014, 8, 1335. [Google Scholar] [CrossRef]
- Wang, J.; Sammis, T.W.; Meier, C.A.; Simmons, L.J.; Miller, D.R.; Bathke, D. Remote sensing vegetation recovery after forest fires using energy balance. In Proceedings of the Sixth Symposium on Fire and Forest Meteorology, Canmore, AB, Canada, 25–27 October 2005; p. 76.
- Monteith, J.L.; Unsworth, M.H. Principles of Environmental Physics, 4rd ed.; Academic Press: Boston, MA, USA, 2013; p. 241. [Google Scholar]
- Hall, F.G.; Huemmrich, K.F.; Goetz, S.J.; Sellers, P.J.; Nickeson, J.E. Satellite remote sensing of surface energy balance: Success, failures, and unresolved issues in FIFE. J. Geophys. Res. 1992, 97, 19061–19089. [Google Scholar] [CrossRef]
- Shuttleworth, W.J.; Wallace, J.S. Evaporation from sparse crops-an energy combination theory. Q. J. R. Meteorol. Soc. 1985, 111, 839–855. [Google Scholar] [CrossRef]
- Choudhury, B.J.; Idso, S.B.; Reginato, R.J. Analysis of an empirical model for soil heat flux under a growing wheat crop for estimating evaporation by an infrared-temperature based energy balance equation. Agric. For. Meteorol. 1987, 39, 283–297. [Google Scholar] [CrossRef]
- Norman, J.M.; Kustas, W.; Humes, K. A two-source approach for estimating soil and vegetation energy fluxes from observations of directional radiometric surface temperature. Agric. For. Meteorol. 1995, 77, 263–293. [Google Scholar] [CrossRef]
- Sánchez, J.M.; Kustas, W.P.; Caselles, V.; Anderson, M.C. Modelling surface energy fluxes over maize using a two-source patch model and radiometric soil and canopy temperature observations. Remote Sens. Environ. 2008, 112, 1130–1143. [Google Scholar] [CrossRef]
- Sánchez, J.M.; Caselles, V.; Niclòs, R.; Coll, C.; Kustas, W.P. Estimating energy balance fluxes above a boreal forest from radiometric temperature observations. Agric. For. Meteorol. 2009, 149, 1037–1049. [Google Scholar] [CrossRef]
- Sánchez, J.M.; Scavone, G.; Caselles, V.; Valor, E.; Copertino, V.A.; Telesca, V. Monitoring daily evapotranspiration at a regional scale from Landsat-TM and ETM+ data: Application to the Basilicata region. J. Hydrol. 2008, 351, 58–70. [Google Scholar] [CrossRef]
- López Serrano, F.R.; de las Heras, J.; Moya, D.; García-Morote, A.; Rubio, E. Is the net primary productivity of a coppice forest stand of quercus ilex affected by post-fire thinning treatments and by recurrent fires? Int. J. Wildland Fire 2010, 19, 637–648. [Google Scholar] [CrossRef]
- Lamont, B.B.; Le Maitre, D.C.; Cowling, R.M.; Enright, N.J. Canopy seed storage in woody plants. Bot. Rev. 1991, 57, 277–317. [Google Scholar] [CrossRef]
- Corine Land Cover; Technical Guidelines; EEA Press: Copenhagen, Denmark, 2007; p. 70.
- Earth Explorer. Available online: https://earthexplorer.usgs.gov (accessed on 1 July 2015).
- Barsi, J.A.; Barker, J.L.; Schott, J.R. An atmospheric correction parameter calculator for a single thermal band earth-sensing instrument. In Proceedings of Geoscience and Remote Sensing Symposium, Toulouse, France, 21–25 July 2003; Volume 5, pp. 3014–3016.
- Barsi, J.A.; Schott, J.R.; Palluconi, F.D.; Hook, S.J. Validation of a web-based atmospheric correction tool for single thermal band instruments. SPIE 2005, 5882, 58820E-1–58820E-7. [Google Scholar]
- Dubayah, R. Estimating net solar radiation using Landsat Thematic Mapper and digital elevation data. Water Resour. Res. 1992, 28, 2469–2484. [Google Scholar] [CrossRef]
- Valor, E.; Caselles, V. Validation of the vegetation cover method for land surface emissivity estimation. In Recent Research Developments in Thermal Remote Sensing; Research Signpost: Kerala, India, 2005; pp. 1–20. [Google Scholar]
- Valor, E.; Caselles, V. Mapping land surface emissivity from NDVI: Application to European, African, and South American areas. Remote Sens. Environ. 1996, 57, 167–184. [Google Scholar] [CrossRef]
- Humes, K.S.; Kustas, W.P.; Moran, M.S. Use of remote sensing and reference site measurements to estimate instantaneous surface energy balance components over a semiarid rangeland watershed. Water Resour. Res. 1994, 30, 1363–1373. [Google Scholar] [CrossRef]
- Kustas, W.P.; Goodrich, D.C. Preface. Water Resour. Res. 1994, 30, 1211–1225. [Google Scholar] [CrossRef]
- Seguin, B.; Itier, B. Using midday surface temperature to estimate daily evaporation from satellite thermal IR data. Int. J. Remote Sens. 1983, 4, 371–383. [Google Scholar] [CrossRef]
- Lagouarde, J.-P.; McAneney, K.J. Daily sensible heat flux estimation from a single measurement of surface temperature and maximum air temperature. Bound.-Layer Meteorol. 1992, 59, 341–362. [Google Scholar] [CrossRef]
- Sánchez, J.M.; Caselles, V.; Niclòs, R.; Valor, E.; Coll, C.; Laurila, T. Evaluation of the B-method for determining actual evapotranspiration in a boreal forest from MODIS data. Int. J. Remote Sens. 2007, 28, 1231–1250. [Google Scholar] [CrossRef]
© 2015 by the authors; licensee MDPI, Basel, Switzerland. This article is an open access article distributed under the terms and conditions of the Creative Commons Attribution license (http://creativecommons.org/licenses/by/4.0/).
Share and Cite
Sánchez, J.M.; Bisquert, M.; Rubio, E.; Caselles, V. Impact of Land Cover Change Induced by a Fire Event on the Surface Energy Fluxes Derived from Remote Sensing. Remote Sens. 2015, 7, 14899-14915. https://doi.org/10.3390/rs71114899
Sánchez JM, Bisquert M, Rubio E, Caselles V. Impact of Land Cover Change Induced by a Fire Event on the Surface Energy Fluxes Derived from Remote Sensing. Remote Sensing. 2015; 7(11):14899-14915. https://doi.org/10.3390/rs71114899
Chicago/Turabian StyleSánchez, Juan M., Mar Bisquert, Eva Rubio, and Vicente Caselles. 2015. "Impact of Land Cover Change Induced by a Fire Event on the Surface Energy Fluxes Derived from Remote Sensing" Remote Sensing 7, no. 11: 14899-14915. https://doi.org/10.3390/rs71114899
APA StyleSánchez, J. M., Bisquert, M., Rubio, E., & Caselles, V. (2015). Impact of Land Cover Change Induced by a Fire Event on the Surface Energy Fluxes Derived from Remote Sensing. Remote Sensing, 7(11), 14899-14915. https://doi.org/10.3390/rs71114899

