Uncertainty of Forest Biomass Estimates in North Temperate Forests Due to Allometry: Implications for Remote Sensing
Abstract
:1. Introduction
1.1. Study Goal and Objectives
2. Allometry
2.1. Methods for Developing Allometric Relationships
3. Using Existing Allometric Equations
3.1. The Ter-Mikaelian Equations
3.2. The Jenkins Equations
3.3. The Lambert Equations
4. Error Propagation Analysis
4.1. Errors in Estimates from the Ter-Mikaelian Equations
4.2. Error in Estimates from the Jenkins Equations
4.3. Error in Estimates from the Lambert Equations
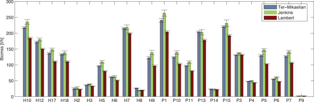
5. The Harvard Forest
5.1. Harvard Forest Field Survey
5.2. Allometric Equations for the Harvard Forest
5.3. Comparison of Biomass Estimates and Errors
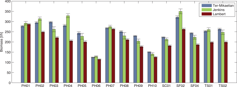
6. Howland Forest, Maine
6.1. Howland Forest Field Survey
6.2. Allometric Equations for the Howland Forests
6.3. Comparison of Biomass Estimates and Errors
7. Implications for Remote Sensing
8. Conclusions
Acknowledgments
- Conflict of InterestThe authors declare no conflict of interest.
References
- Hall, F.G.; Bergen, K.; Blair, J.B.; Dubayah, R.; Houghton, R.; Hurtt, G.; Kellndorfer, J.; Lefsky, M.; Ranson, J.; Saatchi, S.; et al. Characterizing 3D vegetation structure from space: Mission requirements. Remote Sens. Environ 2011, 115, 2753–2775. [Google Scholar]
- DeFries, R.S.; Townshend, J.R.G. NDVI-derived land cover classifications at a global scale. Int. J. Remote Sens 1994, 15, 3567–3586. [Google Scholar]
- Frieswyk, T.S.; DiGiovanni, D.M. Biomass Statistics for Maryland 1986; NE-113, Resource Bulletin; USDA Forest Service Northeastern Forest Experiment Station: Radnor, PA, USA, 1990. [Google Scholar]
- Smith, W. Forest inventory and analysis: A national inventory and monitoring program. Environ. Pollut 2002, 116, S233–S242. [Google Scholar]
- Kindermann, G.E.; McCallum, I.; Fritz, S.; Obersteiner, M. A global forest growing stock, biomass and carbon map based on FAO statistics. Silva Fenn 2008, 42, 387. [Google Scholar]
- Blackard, J.; Finco, M.; Helmer, E.; Holden, G.; Hoppus, M.; Jacobs, D.; Lister, A.; Moisen, G.; Nelson, M.; Riemann, R.; et al. Mapping US forest biomass using nationwide forest inventory data and moderate resolution information. Remote Sens. Environ 2008, 112, 1658–1677. [Google Scholar]
- Atjay, G.; Ketner, P.; Duvigneaud, P. Terrestrial Primary Production and Phytomass. In The Global Carbon Cycle; Bolin, B., Degens, E., Kempe, S., Ketner, P., Eds.; John Wiley and Sons: Chichester, UK, 1979; pp. 129–182. [Google Scholar]
- Phillips, D.L.; Brown, S.L.; Schroeder, P.E.; Birdsey, R.A. Toward error analysis of large-scale forest carbon budgets. Glob. Ecol. Biogeogr 2000, 9, 305–313. [Google Scholar]
- Freeman, A.; Rosen, P.; Jordan, R.; Johnson, W.; Hensley, S.; Sweestser, T.; Loverro, A.; Smith, J.; Sprague, G.; Shen, Y. DESDynI—A NASA Mission for Eceosystems, Solid Earth and Cryosphere Science. Proceedings of the 4th International Workshop on Science and Applications of SAR Polarimetry and Polarimetric Interferometry, Frascati, Italy, 26–30 January 2009; pp. 26–30.
- Toan, T.L.; Quegan, S.; Davidson, M.; Balzter, H.; Paillou, P.; Papathanassiou, K.; Plummer, S.; Rocca, F.; Saatchi, S.; Shugart, H.; et al. The BIOMASS mission: Mapping global forest biomass to better understand the terrestrial carbon cycle. Remote Sens. Environ 2011, 115, 2850–2860. [Google Scholar]
- Rosenqvist, A.; Shimada, M.; Ito, N.; Watanabe, M. ALOS PALSAR: A pathfinder mission for global-scale monitoring of the environment. IEEE Trans. Geosci. Remote Sens 2007, 45, 3307–3316. [Google Scholar]
- Ter-Mikaelian, M.T.; Korzukin, M.D. Biomass equations for sixty-five North American tree species. For. Ecol. Manag 1997, 97, 1–24. [Google Scholar]
- Jenkins, J.; Chojnacky, D.; Heath, L.; Birdsey, R. National-scale biomass estimators for United States tree species. For. Sci 2003, 49, 12–35. [Google Scholar]
- Lambert, M.; Ung, C.H.; Raulier, F. Canadian National tree aboveground biomass equations. Can. J. For. Res 2005, 35, 1996–2018. [Google Scholar]
- Chave, J.; Condit, R.; Aguilar, S.; Hernandez, A.; Lao, S.; Perez, R. Error propagation and scaling for tropical forest biomass estimates. Phil. Trans. R. Soc. Lond. B 2004, 359, 409–420. [Google Scholar]
- Mandelbrot, B.B. The Fractal Geometry of Nature; W.H.Freeman: San Francisco, CA, USA, 1977. [Google Scholar]
- Osawa, A. Inverse relationship of crown fractal dimension to self-thinning exponent of tree populations: A hypothesis. Can. J. For. Res 1995, 25, 1608–1617. [Google Scholar]
- Zeide, B.; Pfeifer, P. A Method for Estimation of Fractal Dimension of Tree Crowns. For. Sci 1991, 37, 1253–1265. [Google Scholar]
- Niklas, K.J. Plant Allometry: The Scaling of Form and Process; University of Chicago Press: Chicago, IL, USA, 1994. [Google Scholar]
- West, G.B.; Brown, J.H.; Enquist, B.J. A general model for the origin of allometric scaling laws in biology. Science 1997, 276, 122–126. [Google Scholar]
- Avery, T.E.; Burkhart, H.E. Forest Measurements, 5th ed.; McGraw Hill: New York, NY, USA, 2002. [Google Scholar]
- Young, H.E.; Ribe, J.H.; Wainwright, K. Weight Tables for Tree and Shrub Species in Maine; Miscellaneous Report; Life Sciences and Agriculture Experiment Station-University of Maine: Orono, ME, USA, 1980; p. 230. [Google Scholar]
- Parresol, B. Additivity of nonlinear biomass equations. Can. J. For. Res 2001, 31, 865–878. [Google Scholar]
- Baskerville, G. Use of logarithmic regression in the estimation of plant biomass. Can. J. For. Res 1972, 2, 49–53. [Google Scholar]
- Crow, T.; Erdmann, G. Weight and Volume Equations and Tables for Red Maple in the Lake States; Research Paper; NC-242; North Central Forest Experiment Station, USDA-Forest Service: St. Paul, MN, USA, 1983. [Google Scholar]
- Ker, M. Tree Biomass Equations for Seven Species in Southwestern New Brunswick; Report M-X-114; Canadian Forest Service Maritime Forest Research Center: Fredericton, NB, Canada, 1980. [Google Scholar]
- Ker, M. Biomass Equations for Ten Major Species in Cumberland County, Nova Scotia; Report M-X-148; Canadian Forest Service Maritime Forest Research Center: Fredericton, NB, Canada, 1980. [Google Scholar]
- Schmitt, M.; Grigal, D. Generalized biomass estimation equations for Betula Papyrifera Marsh. Can. J. For. Res 1981, 11, 837–840. [Google Scholar]
- Whittaker, R.H.; Bormann, F.H.; Likens, G.E.; Siccama, T.G. The hubbard brook ecosystem study: Forest biomass and production. Ecol. Monogr 1974, 44, 233–254. [Google Scholar]
- Brenneman, B.; Fredrick, D.; Gardner, W.; Schoenhofen, L.; Marsh, P. Biomass of Species and Stands of West Virginia Hardwoods. Proceedings of Central Hardwood Forest Conference II, Purdue University, West Lafayette, IN, USA, 16 November 1978; pp. 159–178.
- Wiant, H.; Sheetz, C.; Colaninno, A.; DeMoss, J.; Castadena, F. Tables and Procedures for Estimating Weights of Some Appalachian Hardwoods; West Virginia Agriculture Experiment Station Bulletin 659-T; Agric. and Forestry Exp. Station: Morgantown, WV, USA, 1977. [Google Scholar]
- Perala, D.; Alban, D. Allometric Biomass Estimators for Aspen-Dominated Ecosystems in the Upper Great Lakes; Research Paper; NC-314; US Forest Service: St. Paul, MN, USA, 1994. [Google Scholar]
- Tritton, M.; Hornbeck, J. Biomass Equations for Majore Trees Species in the Northeast; Research Paper; NE-619; Northeastern Experiment Station, US Forest Service: Broomall, PA, USA, 1982. [Google Scholar]
- Jenkins, J.; Chojnacky, D.; Heath, L.; Birdsey, R. Comprehensive Database of Diameter-Based Biomass Regressions for North American Tree Species; Research Paper; NE-319; Northeastern Experiment Station, US Forest Service: Newtown Square, PA, USA, 2004. [Google Scholar]
- Pastor, J.; Aber, J.; Melillo, J. Biomass prediction using generalized allometric regression for some northeast tree species. For. Ecol. Manag 1984, 7, 265–274. [Google Scholar]
- Crow, T.; Schlaegel, B. A guide to using regression equations for estimating tree biomass. North. J. Appl. For 1988, 5, 15–22. [Google Scholar]
- Buonaccorsi, J.P. Measurement Error, Models, Methods and Applications; Chapman and Hall/CRC: Boca Raton, FL, USA, 2010. [Google Scholar]
- Stout, B. Species distribution and soils in the Harvard Forest. Harv. For. Bull 1952, 24, 1–29. [Google Scholar]
- Fisher, R.T. The management of the Harvard Forest. Harv. For. Bull 1921, 1, 1–55. [Google Scholar]
- Gertner, G.; Kohl, M. An assessment of some nonsampling errors in a national survey using an error budget. For. Sci 1992, 38, 525–538. [Google Scholar]
- Anthes, R. Earth Science and Applications from Space: National Imperatives for the Next Decade and Beyond, National Research Council Committee on Earth Science and Applications from Space; National Academic Press: Washington, DC, USA, 2007. [Google Scholar]
- Ahmed, R.; Siqueira, P.; Hensley, S. A study of forest biomass estimates from lidar in the northern temperate forests of New England. Remote Sens. Environ 2013, 130, 121–135. [Google Scholar]
Appendix
A. Allometric Tables
| Species | Min D | Max D | NT | Type | a | b | Range/Over | R2 | SEE | MTD | CF | N | Region | Author |
|---|---|---|---|---|---|---|---|---|---|---|---|---|---|---|
| Striped maple (Acer pennsylvanica) | 9.14 | 17.78 | 23 | ST | 0.0839 | 2.2300 | (1–8)/23 | 0.987 | 0.279 | ln | 1.040 | 8 | New Hampshire | Hocker and Early, 1983 [A1] |
| Red maple (Acer rubrum) | 8.12 | 69.21 | 2850 | AB | 0.1789 | 2.2334 | (10–52)/23 | 0.98 | 0.116 | ln | 1.007 | 150 | Michigan, Wisconsin | Crow and Erdmann, 1983 [25] |
| Sugar maple (Acer saccharum) | 10.66 | 45.21 | 31 | AB | 0.1599 | 2.3376 | (1–41)/1 | 0.993 | 0.141 | ln | 1.010 | 45 | New Brunswick | Ker, 1980 [26] |
| Yellow birch (Betula alleghaneisis) | 10.166 | 53.85 | 234 | AB | 0.1684 | 2.4150 | (1–55)/0 | 0.994 | 0.099 | log | 1.011 | 14 | New Hampshire | Whittaker, 1974 [29] |
| Black birch (Betula lenta) | 9.652 | 48.514 | 305 | AB | 0.0629 | 2.6606 | (5–50)/0 | 0.990 | 0.0133 | log | 1.002 | 8 | West Virginia | Brenneman, 1978 [30] |
| Paper birch (Betula papyrifera) | 8.89 | 81.65 | 499 | AB | 0.1074 | 2.4313 | (3–33)/16 | 0.99 | 0.141 | ln | 1.010 | 45 | Nova Scotia | Ker, 1980 [27] |
| Grey birch (Betula populifolia) | 9.5 | 9.5 | 1 | AB | 0.1218 | 2.3123 | (1–23)/0 | 0.99 | 0.141 | ln | 1.010 | 44 | Nova Scotia | Ker, 1980 [27] |
| American chestnut (Castanea dentata) | 10.414 | 18.542 | 7 | AB | 0.1599 | 2.3376 | (1–41)/0 | 0.993 | 0.141 | ln | 1.010 | 45 | New Brunswick | Ker, 1980 [26] |
| American beech (Fagus grandifolia) | 8.89 | 71.95 | 130 | AB | 0.1957 | 2.3916 | (1–60)/2 | 0.994 | 0.089 | log | 1.009 | 14 | New Hampshire | Whittaker, 1974 [29] |
| White ash (Fraxinus americana) | 3.175 | 59.56 | 78 | AB | 0.1535 | 2.3213 | (1–28)/25 | 0.992 | 0.141 | ln | 1.010 | 46 | New Brunswick | Ker, 1980 [26] |
| Tamarack (Larix laricina) | 41.14 | 44.19 | 2 | AB | 0.0946 | 2.3572 | (1–31)/2 | 0.993 | 0.141 | ln | 1.010 | 45 | New Brunswick | Ker, 1980 [27] |
| Hophornbeam (Ostrya virginiana) | 13.46 | 13.46 | 1 | AB | 0.1074 | 2.4313 | (3–33)/16 | 0.99 | 0.141 | ln | 1.010 | 45 | Nova Scotia | Ker, 1980 [27] |
| Red pine (Pinus resinosa) | 4.318 | 53.361 | 1230 | AB | 0.0778 | 2.4171 | (3–46)/11 | 0.993 | 0.111 | ln | 1.006 | 69 | Upper Great Lakes | Perala, Alban, 1994 [32] |
| Red spruce (Picea rubens) | 9.906 | 2.451 | 103 | AB | 0.2066 | 2.1830 | (1–35)/9 | 0.982 | 0.107 | log | 1.013 | 15 | New Hampshire | Whittaker, 1974 [29] |
| White pine (Pinus strobus) | 8.89 | 111.76 | 947 | AB | 0.0696 | 2.4490 | (3–66)/28 | 0.99 | 0.2092 | ln | 1.022 | 35 | Maine | Young, 1980 [22] |
| Bigtooth aspen (Populus grandidentata) | 10.033 | 40.132 | 9 | AB | 0.0983 | 2.3373 | (1–34)/2 | 0.99 | 0.156 | ln | 1.012 | 30 | Nova Scotia | Freedman, 1982 [A2] |
| Pin cherry (Prunus pennsylvanica) | 8.89 | 10.795 | 6 | AB | 0.1556 | 2.1948 | (3–24)/0 | 0.99 | 0.372 | ln | 1.071 | 30 | Maine | Young, 1980 [22] |
| Black cherry (Prunus serotina) | 8.89 | 48.260 | 197 | AB | 0.1225 | 2.4253 | (5–40)/11 | 0.99 | 20.41 | abs | n/a | 19 | West Virginia | Wiant, 1977 [31] |
| White oak (Quercus alba) | 8.89 | 57.15 | 187 | AB | 0.0472 | 2.7010 | (5–40)/18 | 0.986 | 32.66 | abs | n/a | 19 | West Virginia | Wiant, 1977 [31] |
| Red oak (Quercus rubra) | 7.112 | 136.906 | 2102 | AB | 0.0643 | 2.6598 | (5–40)/302 | 0.988 | 35.87 | abs | n/a | 19 | West Virginia | Wiant, 1977 [31] |
| Black oak (Quercus velutina) | 11.684 | 51.81 | 16 | AB | 0.0945 | 2.5030 | (5–40)/1 | 0.99 | 22.68 | abs | n/a | 19 | West Virginia | Wiant, 1977 [31] |
| American basswood (Tilia americana) | 13.71 | 13.71 | 1 | AB | 0.0617 | 2.5328 | (5–50)/0 | 0.96 | 0 | abs | n/a | 13 | West Virginia | Brenneman, 1978 [30] |
| Eastern hemlock (Tsuga canadenesis) | 4.572 | 89.916 | 1473 | AB | 0.0991 | 2.3617 | (3–51)/129 | n/a | 0.130 | ln | 1.0085 | 36 | Maine | Young, 1980 [22] |
| Tree/Shrub species | a | b | Max Dbh | R2 | SEE |
|---|---|---|---|---|---|
| Aspen/Alder/Willow | 0.1098 | 2.3867 | 70 | 0.95 | 0.507441 |
| Bigtooth aspen (Populus grandidentata) | |||||
| Soft Maple/Birch | 0.1477 | 2.3651 | 66 | 0.96 | 0.491685 |
| Striped maple (Acer pennsylvanicum), red maple (Acer rubrum), yellow birch (Betula alleghaniensis), black birch (Betula lenta), paper birch (Betula papyrifera), gray birch (Betula populifolia) | |||||
| Mixed Hardwood | 0.0837 | 2.4835 | 56 | 0.98 | 0.360458 |
| American chestnut (Castanea dentata), white ash (Fraxinus americana), hophornbeam (Ostrya virginiana), pin cherry (Prunus pennsylvanica), black cherry (Prunus serotina), American basswood (Tilia americana) | |||||
| Hard maple/Oak/Beech | 0.1336 | 2.4342 | 73 | 0.99 | 0.236483 |
| Sugar maple (Acer saccharum), American beech (Fagus grandifolia), white oak (Quercus alba), red oak (Quercus rubra), black oak (Quercus velutina) | |||||
| Cedar/ Larch | 0.1309 | 2.2592 | 250 | 0.98 | 0.294574 |
| Tamarack (Larix laricina) | |||||
| True fir/ Hemlock | 0.0790 | 2.4814 | 230 | 0.99 | 0.182329 |
| Eastern hemlock (Tsuga canadenesis) | |||||
| Pine | 0.0792 | 2.4349 | 180 | 0.98 | 0.253781 |
| Red pine (Pinus resinosa), white pine (Pinus strobus) | |||||
| Spruce | 0.1253 | 2.3323 | 250 | 0.98 | 0.250424 |
| Red spruce (Picea rubens) | |||||
| Species | astem | bstem | abark | bbark | abranches | bbranches | afoliage | bfoliage | σSUR | σtt | ψt(D) | Range | N |
|---|---|---|---|---|---|---|---|---|---|---|---|---|---|
| Stripe maple (Acer pennsylvanicum) | 0.0871 | 2.3702 | 0.0241 | 2.1969 | 0.0167 | 2.4807 | 0.0390 | 1.6629 | 1.0000 | 0.0373 | 3.63 | - | - |
| Red maple (Acer rubrum) | 0.1014 | 2.3448 | 0.0291 | 2.0893 | 0.0175 | 2.4846 | 0.0515 | 1.5198 | 1.0006 | 0.0050 | 4.25 | 2.4–56.0 | 177 |
| Sugar maple (Acer saccharum) | 0.1315 | 2.3129 | 0.0631 | 1.9241 | 0.0330 | 2.3741 | 0.0393 | 1.6930 | 1.0002 | 0.0828 | 3.28 | 2.0–57.8 | 235 |
| Yellow birch (Betula alleghaneisis) | 0.1932 | 2.1569 | 0.0192 | 2.2475 | 0.0305 | 2.4404 | 0.1119 | 1.3973 | 1.0003 | 2.8971 | 2.34 | 0.8–70.3 | 280 |
| Black birch (Betula lenta) | 0.1754 | 2.1616 | 0.0381 | 2.0991 | 0.0085 | 2.7790 | 0.0373 | 1.6740 | 1.0075 | 0.0344 | 3.64 | 1.1–55.3 | 117 |
| Paper birch (Betula papyrifera) | 0.0593 | 2.5026 | 0.0135 | 2.4053 | 0.0135 | 2.5532 | 0.0546 | 1.6351 | 1.0001 | 0.0067 | 3.81 | 1.5–53.6 | 606 |
| Grey birch (Betula populifolia) | 0.0720 | 2.3885 | 0.0168 | 2.2569 | 0.0088 | 2.5689 | 0.0099 | 1.8985 | 2.2562 | 0.0016 | 3.92 | 2.2–22.7 | 43 |
| American chestnut (Castanea dentata) | 0.0871 | 2.3702 | 0.0241 | 2.1969 | 0.0167 | 2.4807 | 0.0390 | 1.6629 | 1.0000 | 0.0373 | 3.63 | - | - |
| American beech (Fagus grandifolia) | 0.1478 | 2.2986 | 0.0120 | 2.2388 | 0.0370 | 2.3680 | 0.0376 | 1.6164 | 1.0102 | 0.4720 | 2.92 | 1.8–46.3 | 177 |
| White ash (Fraxinus americana) | 0.1861 | 2.1665 | 0.0406 | 1.9946 | 0.0461 | 2.2291 | 0.1106 | 1.2277 | 1.0053 | 0.0363 | 3.62 | 2.4–53.7 | 109 |
| Tamrack (Larix laricina) | 0.0625 | 2.4475 | 0.0174 | 2.1109 | 0.0196 | 2.2652 | 0.0801 | 1.4875 | 1.0003 | 0.0052 | 3.88 | 1.8–44.5 | 575 |
| Hophornbeam (Ostrya virginiana) | 0.1929 | 1.9672 | 0.0671 | 1.5911 | 0.0278 | 2.1336 | 0.0293 | 1.9502 | 0.7228 | 0.0679 | 2.73 | 5.2–18.5 | 14 |
| Red pine (Pinus resinosa) | 0.0564 | 2.4465 | 0.0188 | 2.0572 | 0.0033 | 2.7515 | 0.0212 | 2.0690 | 1.0005 | 0.0052 | 3.95 | 1.3–55.1 | 371 |
| Red spruce (Picea rubens) | 0.0989 | 2.2814 | 0.0220 | 2.0908 | 0.0005 | 3.2750 | 0.0066 | 2.4213 | 1.0956 | 0.0059 | 3.64 | 6.5–45.3 | 55 |
| White pine (Pinus strobus) | 0.0997 | 2.2709 | 0.0192 | 2.2038 | 0.0056 | 2.6011 | 0.0284 | 1.7166 | 1.0016 | 0.3142 | 2.76 | 1.5–68.7 | 199 |
| Bigtooth aspen (Populus grandidentata) | 0.0959 | 2.3430 | 0.0308 | 2.2240 | 0.0047 | 2.6530 | 0.0080 | 2.0149 | 1.0026 | 0.3645 | 2.35 | 1.9–39.2 | 100 |
| Pin cherry (Prunus pennsylvanica) | 0.0871 | 2.3702 | 0.0241 | 2.1969 | 0.0167 | 2.4807 | 0.0390 | 1.6629 | 1.0000 | 0.0373 | 3.63 | - | - |
| Black cherry (Prunus serotina) | 0.3743 | 1.9406 | 0.0679 | 1.8377 | 0.0796 | 2.0103 | 0.0840 | 1.2319 | 1.0599 | 60.766 | 1.52 | 0.9–49.6 | 78 |
| White oak (Quercus alba) | 0.0762 | 2.3335 | 0.0338 | 1.9845 | 0.0113 | 2.6211 | 0.0188 | 1.7881 | 1.0043 | 0.0011 | 4.70 | 2.2–74.3 | 61 |
| Red oak (Quercus rubra) | 0.1754 | 2.1616 | 0.0381 | 2.0991 | 0.0085 | 2.7790 | 0.0373 | 1.6740 | 1.0075 | 0.0344 | 3.64 | 1.1–55.3 | 117 |
| Black oak (Quercus velutina) | 0.0871 | 2.3702 | 0.0241 | 2.1969 | 0.0167 | 2.4807 | 0.0390 | 1.6629 | 1.0000 | 0.0373 | 3.63 | - | - |
| American basswood (Tilia americana) | 0.0562 | 2.4102 | 0.0302 | 2.0976 | 0.0230 | 2.2382 | 0.0288 | 1.6378 | 1.0101 | 0.1755 | 2.91 | 3.7–54.8 | 80 |
| Eastern hemlock (Tsuga canadenesis) | 0.0619 | 2.2381 | 0.0139 | 2.2382 | 0.0217 | 2.2653 | 0.0776 | 1.6995 | 1.0005 | 0.0156 | 3.60 | 1.3–51.4 | 235 |
| Species | Min D | Max D | NT | Type | a | b | Range/Over | R2 | SEE | MTD | CF | N | Region | Author |
|---|---|---|---|---|---|---|---|---|---|---|---|---|---|---|
| Balsam fir (Abies balsamea) | 8.6 | 40 | 3102 | AB | 0.0690 | 2.4975 | (3–40)/0 | 0.970 | 0.123 | ln | 1.008 | 40 | Ontario | Honer, 1971 [A3] |
| Mountain maple (Acer spicatum) | 11.0 | 23.4 | 6 | AB | 0.2040 | 2.2524 | (1–20)/3 | 0.990 | 0.074 | log | 1.006 | 15 | New Hampshire | Whittaker, 1974 [29] |
| Black ash (Fraxinus nigra) | 17.5 | 17.5 | 1 | AB | 0.1634 | 2.3480 | (4–32)/0 | 0.953 | 0.348 | ln | 1.062 | 18 | Upper Great Leakes | Perala, Alban, 1994 [32] |
| Green ash (Fraxinus pennsylvanica) | 17.5 | 17.5 | 1 | AB | 0.1634 | 2.3480 | (4–32)/0 | 0.953 | 0.348 | ln | 1.062 | 18 | Upper Great Leakes | Perala, Alban, 1994 [32] |
| Norway spruce (Picea abies) | 10.6 | 40.0 | 47 | AB | 0.2722 | 2.1040 | (12–44)/0 | 0.960 | 0.0152 | ln | 1.012 | 30 | New York | Jokela, 1986 [A4] |
| Black spruce (Picea mariana) | 10.0 | 27.00 | 94 | AB | 0.1683 | 2.1777 | (2–34)/0 | 0.99 | 0.199 | ln | 1.020 | 49 | Nova Scotia | Ker, 1980 [27] |
| Balsam poplar (Populus balsamifera) | 41.8 | 45.2 | 2 | AB | 0.0687 | 2.5153 | (5–40)/2 | 0.99 | 1.780 | abs | 1.00 | 19 | West Virginia | Wiant, 1977 [31] |
| Trembling aspen (Populus tremuloides) | 7 | 58 | 191 | AB | 0.2065 | 2.2490 | (15–40)/25 | 0.988 | 0.037 | log | 1.002 | 191 | Wisconsin | Pastor, Bockheim, 1981 [A5] |
| White cedar (Thuja occidentalis) | 10.0 | 30 | 745 | AB | 0.1148 | 2.1439 | (2–30)/82 | 0.991 | 0.141 | ln | 1.010 | 46 | New Brunswick | Ker, 1980 [26] |
| American elm (Ulmus americana) | 13.0 | 22.7 | 6 | AB | 0.0825 | 2.4680 | (4–29)/0 | 0.991 | 0.1418 | ln | 1.011 | 14 | Upper Great Lakes | Perala, Alban, 1994 [32] |
| Species | astem | bstem | abark | bbark | abranches | bbranches | afoliage | bfoliage | σSUR | σtt | ψt(D) | Range | N |
|---|---|---|---|---|---|---|---|---|---|---|---|---|---|
| Balsam fir (Abies balsamea) | 0.0534 | 2.4030 | 0.0115 | 2.3484 | 0.0070 | 2.5406 | 0.0840 | 1.6695 | 1.0053 | 0.0047 | 3.63 | 1.5–42.4 | 639 |
| Mountain maple (Acer spicatum) | 0.0871 | 2.3702 | 0.0241 | 2.1969 | 0.0167 | 2.4807 | 0.0390 | 1.6629 | 1.0000 | 0.0373 | 3.63 | - | - |
| Black ash (Fraxinus nigra) | 0.0941 | 2.3491 | 0.0323 | 2.0761 | 0.0448 | 1.9771 | 0.0538 | 1.3584 | 1.0029 | 0.0085 | 3.82 | 2.0–43.1 | 73 |
| Green ash (Fraxinus pennsylvanica) | 0.0871 | 2.3702 | 0.0241 | 2.1969 | 0.0167 | 2.4807 | 0.0390 | 1.6629 | 1.0000 | 0.0373 | 3.63 | - | - |
| Norway spruce (Picea abies) | 0.0648 | 2.3927 | 0.0162 | 2.1959 | 0.0156 | 2.2916 | 0.0861 | 1.6261 | 1.0000 | 0.0065 | 3.82 | - | - |
| Black spruce (Picea mariana) | 0.0477 | 2.5147 | 0.0153 | 2.2429 | 0.0278 | 2.0839 | 0.1648 | 1.4143 | 1.0005 | 0.0091 | 3.55 | 1.6–37.2 | 1534 |
| Balsam poplar (Populus balsamea) | 0.0510 | 2.4529 | 0.0297 | 2.1131 | 0.0120 | 2.4165 | 0.0276 | 1.6215 | 1.0032 | 0.0049 | 4.02 | 2.0–53.2 | 20 |
| Trembling aspen (Populus tremuloides) | 0.0605 | 2.4750 | 0.0168 | 2.3949 | 0.0080 | 2.5214 | 0.0261 | 1.6304 | 1.0000 | 0.0199 | 3.54 | 0.7–47.2 | 773 |
| White cedar (Thuja occidentalis) | 0.0654 | 2.2121 | 0.0114 | 2.1432 | 0.0335 | 1.9367 | 0.0499 | 1.7278 | 1.0009 | 0.0315 | 2.96 | 2.1–66.2 | 184 |
| American elm (Ulmus americana) | 0.0402 | 2.5804 | 0.0073 | 2.4895 | 0.0401 | 2.1826 | 0.0750 | 1.3436 | 1.3426 | 0.0337 | 3.28 | 0.7–55.2 | 81 |
References
- Hocker, H.; Early, D. Biomass and Leaf Area Equations for Northern Forest Species; Research Report; University of New Hampshire: Durham, NH, USA, 1983; p. 102. [Google Scholar]
- Freedman, B.; Duinker, P.; Barclay, H.; Morash, R.; Prager, U. Forest Biomass and Nutrient Studies in Central Nova Scotia; Information Report; M-X-134; Maritimes Forest Research Centre: Fredericton, NB, Canada, 1982. [Google Scholar]
- Honer, T. Weight Relationships in Open-and Forest-Grown Balsam Fir Trees; Misc. Publication-IUFRO Section 25; University of Maine: Orono, ME, USA, 1971; pp. 65–78. [Google Scholar]
- Jokela, E.J.; van Gurp, P.K.; Briggs, R.D.; White, E.H. Biomass estimation equations for norway spruce in New York. Can. J. For. Res 1986, 16, 413–415. [Google Scholar]
- Pastor, J.; Bockheim, J. Biomass and production of an aspen–mixed hardwood–spodosol ecosystem in Northern Wisconsin. Can. J. For. Res 1981, 11, 132–138. [Google Scholar]










| Ter-Mikaelian | Jenkins | Lambert | ||
|---|---|---|---|---|
| Harvard | Mean | 7.740 | 18.578 | 8.828 |
| Min | 2.415 | 3.799 | 2.171 | |
| Max | 31.735 | 86.245 | 33.992 | |
| Howland | Mean | 4.179 | 8.786 | 3.947 |
| Min | 0.099 | 0.213 | 0.102 | |
| Max | 27.138 | 47.858 | 15.220 |
| Ter-Mikaelian | Jenkins | Lambert | ||
|---|---|---|---|---|
| Harvard | Mean | 2.096 | 4.950 | 2.286 |
| Min | 0.970 | 1.716 | 1.183 | |
| Max | 3.503 | 7.984 | 2.917 | |
| Howland | Mean | 1.173 | 2.373 | 1.027 |
| Min | 0.043 | 0.160 | 0.079 | |
| Max | 3.143 | 5.395 | 1.979 |
© 2013 by the authors; licensee MDPI, Basel, Switzerland This article is an open access article distributed under the terms and conditions of the Creative Commons Attribution license (http://creativecommons.org/licenses/by/3.0/).
Share and Cite
Ahmed, R.; Siqueira, P.; Hensley, S.; Bergen, K. Uncertainty of Forest Biomass Estimates in North Temperate Forests Due to Allometry: Implications for Remote Sensing. Remote Sens. 2013, 5, 3007-3036. https://doi.org/10.3390/rs5063007
Ahmed R, Siqueira P, Hensley S, Bergen K. Uncertainty of Forest Biomass Estimates in North Temperate Forests Due to Allometry: Implications for Remote Sensing. Remote Sensing. 2013; 5(6):3007-3036. https://doi.org/10.3390/rs5063007
Chicago/Turabian StyleAhmed, Razi, Paul Siqueira, Scott Hensley, and Kathleen Bergen. 2013. "Uncertainty of Forest Biomass Estimates in North Temperate Forests Due to Allometry: Implications for Remote Sensing" Remote Sensing 5, no. 6: 3007-3036. https://doi.org/10.3390/rs5063007
APA StyleAhmed, R., Siqueira, P., Hensley, S., & Bergen, K. (2013). Uncertainty of Forest Biomass Estimates in North Temperate Forests Due to Allometry: Implications for Remote Sensing. Remote Sensing, 5(6), 3007-3036. https://doi.org/10.3390/rs5063007

