Climate Variability and Groundwater Levels: A Correlation and Causation Analysis
Highlights
- There may be a moderate to strong, lagged relationship between terrestrial water cycle intensity and groundwater levels in semi-arid to arid climates, based on findings in Arizona, USA.
- In Arizona, the relationship was dominantly negative where it occurred, with terrestrial water cycle intensity responding 1–2 months after groundwater level changes. It also showed close associations with Active Management Areas (AMAs), where the state enforces the strictest groundwater regulations due to persistent overdraft concerns.
- The nature of this trend implies that an intensified water cycle today may signal an already depleting groundwater resource at the affected locations.
- This backward interpretation could help determine when immediate management responses and swift interventions are necessary.
Abstract
1. Introduction
2. Materials and Methods
2.1. Ground-Based Data
2.2. Satellite-Based Data
2.3. Anomaly Derivation Approach
2.4. Statistical Correlation
2.5. Granger Causality
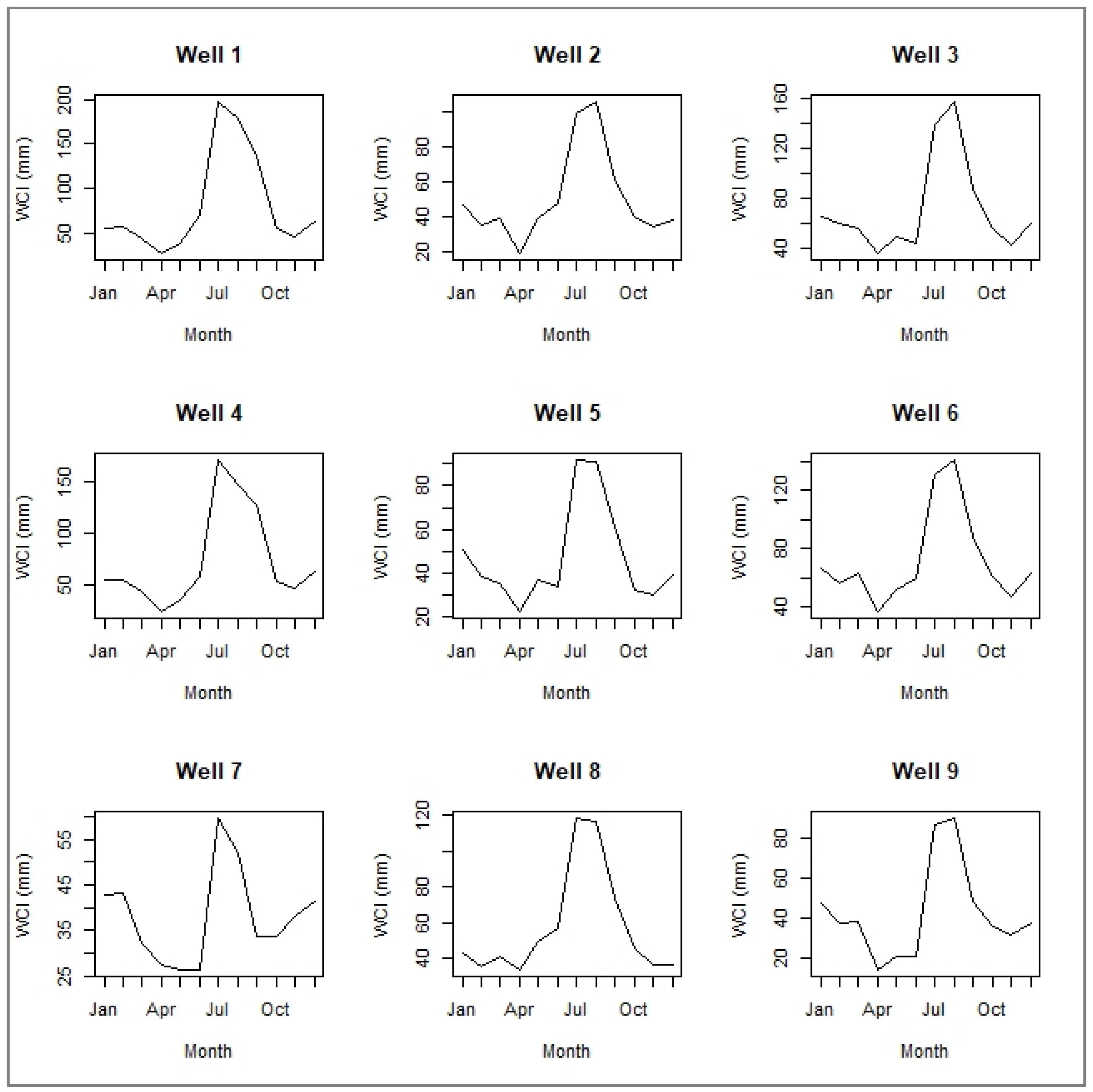
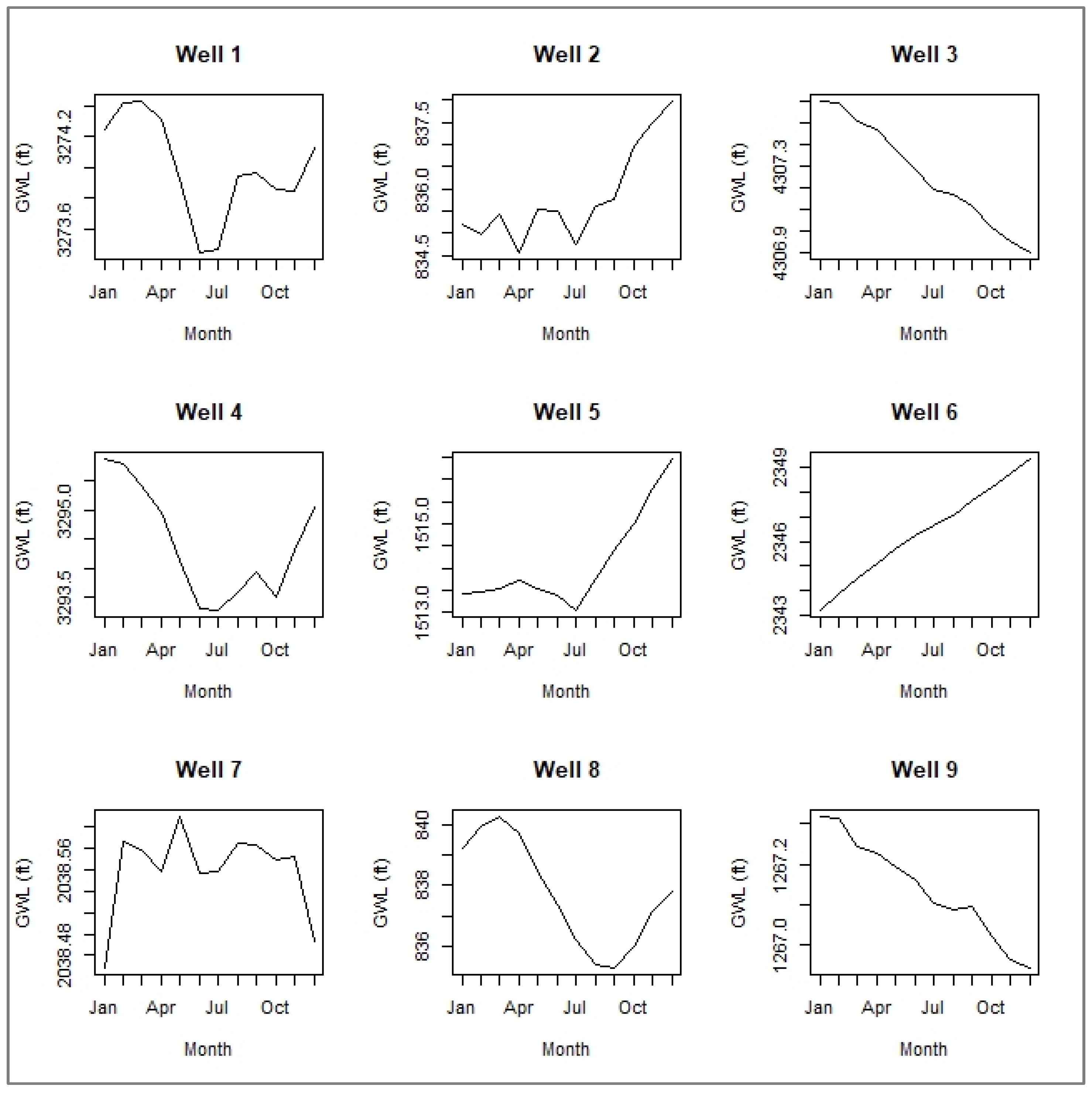
3. Results
4. Discussion
5. Conclusions
Author Contributions
Funding
Data Availability Statement
Conflicts of Interest
Abbreviations
| AMA | Active management area |
| CC | Climate change |
| CCF | Cross-correlation function |
| CONUS | Contiguous United States |
| CV | Climate variability |
| ET | Evapotranspiration |
| GC | Granger Causality |
| GW | Groundwater |
| GWL | Groundwater level |
| GWLA | Groundwater level anomaly |
| P | Precipitation |
| r | Pearson correlation coefficient |
| USGS | U.S. Geological Survey |
| WCI | Water Cycle Intensity |
| WCIA | Water Cycle Intensity anomaly |
References
- Kumar, C.P. Climate change and its impact on groundwater resources. Int. J. Eng. Sci. 2012, 1, 43–60. [Google Scholar]
- Trenberth, K.E. Changes in precipitation with climate change. Clim. Res. 2011, 47, 123–138. [Google Scholar] [CrossRef]
- Trenberth, K.E. Climate change caused by human activities is happening and it already has major consequences. J. Energy Nat. Resour. Law. 2018, 36, 463–481. [Google Scholar] [CrossRef]
- Pisor, A.C.; Touma, D.; Singh, D.; Jones, J.H. To understand climate change adaptation, we must characterize climate variability: Here’s how. One Earth 2023, 6, 1665–1676. [Google Scholar] [CrossRef]
- von der Heydt, A.S.; Ashwin, P.; Camp, C.D.; Crucifix, M.; Dijkstra, H.A.; Ditlevsen, P.; Lenton, T.M. Quantification and interpretation of the climate variability record. Glob. Planet. Change 2021, 197, 103399. [Google Scholar] [CrossRef]
- Chen, Z.; Grasby, S.E.; Osadetz, K.G. Relation between climate variability and groundwater levels in the upper carbonate aquifer, southern Manitoba, Canada. J. Hydrol. 2004, 290, 43–62. [Google Scholar] [CrossRef]
- Ndehedehe, C.E.; Adeyeri, O.E.; Onojeghuo, A.O.; Ferreira, V.G.; Kalu, I.; Okwuashi, O. Understanding global groundwater-climate interactions. Sci. Total Environ. 2023, 904, 166571. [Google Scholar] [CrossRef]
- Khan, H.F.; Brown, C.M. Effect of hydrogeologic and climatic variability on performance of a groundwater market. Water Resour. Res. 2019, 55, 4304–4321. [Google Scholar] [CrossRef]
- Taylor, R.G.; Scanlon, B.; Döll, P.; Rodell, M.; Van Beek, R.; Wada, Y.; Longuevergne, L.; Leblanc, M.; Famiglietti, J.S.; Edmunds, M.; et al. Ground water and climate change. Nat. Clim. Change 2013, 3, 322–329. [Google Scholar] [CrossRef]
- Loáiciga, H.A. Climate change and groundwater. Ann. Assoc. Am. Geogr. 2003, 93, 30–41. [Google Scholar] [CrossRef]
- Barbieri, M.; Barberio, M.D.; Banzato, F.; Billi, A.; Boschetti, T.; Franchini, S.; Gori, F.; Petitta, M. Climate change and its effect on groundwater quality. Environ. Geochem. Health 2023, 45, 1133–1144. [Google Scholar] [CrossRef] [PubMed]
- Aziz, Z. Potential Impacts of Climate Change on Groundwater Quality; Division of Science and Research, New Jersey Department of Environmental Protection: Trenton, NJ, USA, 2023; 56p. Available online: https://dspace.njstatelib.org/server/api/core/bitstreams/4a64ad2b-981c-4dde-9c26-749c16ec29cf/content (accessed on 7 August 2024).
- Kløve, B.; Ala-Aho, P.; Bertrand, G.; Gurdak, J.J.; Kupfersberger, H.; Kværner, J.; Muotka, T.; Mykrä, H.; Preda, E.; Rossi, P.; et al. Climate change impacts on groundwater and dependent ecosystems. J. Hydrol. 2014, 518, 250–266. [Google Scholar] [CrossRef]
- Ranjan, P.; Kazama, S.; Sawamoto, M. Effects of climate change on coastal fresh groundwater resources. Glob. Environ. Change 2006, 16, 388–399. [Google Scholar] [CrossRef]
- Cantelon, J.A.; Guimond, J.A.; Robinson, C.E.; Michael, H.A.; Kurylyk, B.L. Vertical saltwater intrusion in coastal aquifers driven by episodic flooding: A review. Water Resour. Res. 2022, 58, e2022WR032614. [Google Scholar] [CrossRef]
- Dao, P.U.; Heuzard, A.G.; Le, T.X.H.; Zhao, J.; Yin, R.; Shang, C.; Fan, C. The impacts of climate change on groundwater quality: A review. Sci. Total Environ. 2023, 912, 169241. [Google Scholar] [CrossRef]
- Gurdak, J.S.; Hanson, R.T.; Green, T.R. Effects of Climate Variability and Change on Groundwater Resources of the United States; No. 2009-3074; US Geological Survey: Reston, VA, USA, 2009.
- Hanson, R.T.; Newhouse, M.W.; Dettinger, M.D. A methodology to assess relations between climatic variability and variations in hydrologic time series in the southwestern United States. J. Hydrol. 2004, 287, 252–269. [Google Scholar] [CrossRef]
- Yan, X.; Cheng, P.; Zhang, Q.; Li, X.; He, J.; Yan, X.; Zhao, W.; Wang, L. Comparisons of climate change characteristics in typical arid regions of the Northern Hemisphere. Front. Environ. Sci. 2022, 10, 1033326. [Google Scholar] [CrossRef]
- Trenberth, K.E. Water cycles and climate change. In Global Environmental Change; Freedman, B., Ed.; Springer: Dordrecht, The Netherlands, 2014; Volume 1, pp. 31–37. [Google Scholar]
- Malinowski, Ł.; Skoczko, I. Impacts of climate change on hydrological regime and water resources management of the Narew River in Poland. J. Ecol. Eng. 2018, 19, 167–175. [Google Scholar] [CrossRef]
- Bosilovich, M.G.; Schubert, S.D.; Walker, G.K. Global changes of the water cycle intensity. J. Clim. 2005, 18, 1591–1608. [Google Scholar] [CrossRef]
- Huntington, T.G.; Weiskel, P.K.; Wolock, D.M.; McCabe, G.J. A new indicator framework for quantifying the intensity of the terrestrial water cycle. J. Hydrol. 2018, 559, 361–372. [Google Scholar] [CrossRef]
- Zowam, F.J.; Milewski, A.M.; Richards IV, D.F. A Satellite-Based Approach for Quantifying Terrestrial Water Cycle Intensity. Remote Sens. 2023, 15, 3632. [Google Scholar] [CrossRef]
- Zowam, F.J.; Milewski, A.M. Groundwater Level Prediction Using Machine Learning and Geospatial Interpolation Models. Water 2024, 16, 2771. [Google Scholar] [CrossRef]
- Pradhan, R.K.; Markonis, Y.; Godoy, M.R.V.; Villalba-Pradas, A.; Andreadis, K.M.; Nikolopoulos, E.I.; Papalexiou, S.M.; Rahim, A.; Tapiador, F.J.; Hanel, M. Review of GPM IMERG performance: A global perspective. Remote Sens. Environ. 2022, 268, 112754. [Google Scholar] [CrossRef]
- Morsy, M.; Scholten, T.; Michaelides, S.; Borg, E.; Sherief, Y.; Dietrich, P. Comparative analysis of TMPA and IMERG precipitation datasets in the arid environment of El-Qaa plain, Sinai. Remote Sens. 2021, 13, 588. [Google Scholar] [CrossRef]
- Mohammed, S.A.; Hamouda, M.A.; Mahmoud, M.T.; Mohamed, M.M. Performance of GPM-IMERG precipitation products under diverse topographical features and multiple-intensity rainfall in an arid region. Hydrol. Earth Syst. Sci. 2020, 2020, 1–27. [Google Scholar]
- Elnashar, A.; Wang, L.; Wu, B.; Zhu, W.; Zeng, H. Synthesis of global actual evapotranspiration from 1982 to 2019. Earth Syst. Sci. Data 2021, 13, 447–480. [Google Scholar] [CrossRef]
- Agel, L.; Barlow, M.; Collins, M.J.; Douglas, E.; Kirshen, P. Hydrometeorological conditions preceding extreme streamflow for the Charles and Mystic River basins of Eastern Massachusetts. J. Hydrometeorol. 2019, 20, 1795–1812. [Google Scholar] [CrossRef]
- Adam, M.A.; Scheiber-Enslin, S.E.; Ali, K.A. Estimating water storage change from GRACE satellite data over the Breede Water Management Area, Western Cape, South Africa. Hydrogeol. J. 2025, 33, 2041–2055. [Google Scholar] [CrossRef]
- NASA. GRACE TELLUS Data Portal. Available online: https://grace.jpl.nasa.gov/data/get-data/monthly-mass-grids-land/ (accessed on 16 December 2025).
- Gallagher, C.; Lund, R.; Robbins, M. Changepoint detection in climate time series with long-term trends. J. Clim. 2013, 26, 4994–5006. [Google Scholar] [CrossRef]
- Holland, S. Data Analysis in the Geosciences. Available online: http://strata.uga.edu/8370/lecturenotes/pvaluesConfidenceIntervals.html (accessed on 7 September 2021).
- Lee Rodgers, J.; Nicewander, W.A. Thirteen ways to look at the correlation coefficient. Am. Stat. 1988, 42, 59–66. [Google Scholar] [CrossRef]
- Jackson, J.C.; Caluori, N.; Abrams, S.; Beckman, E.; Gelfand, M.; Gray, K. Tight cultures and vengeful gods: How culture shapes religious belief. J. Exp. Psychol. Gen. 2021, 150, 2057. [Google Scholar] [CrossRef]
- Box, G.E.; Jenkins, G.M.; Reinsel, G.C.; Ljung, G.M. Time Series Analysis: Forecasting and Control; John Wiley & Sons: Hoboken, NJ, USA, 2015; ISBN 978-1-118-67502-1. [Google Scholar]
- Li, H.; Wang, X.; Yang, Z.; Ali, S.; Tong, N.; Baseer, S. Correlation-Based Anomaly Detection Method for Multi-sensor System. Comput. Intell. Neurosci. 2022, 1, 4756480. [Google Scholar] [CrossRef] [PubMed]
- Zowam, S.E. A Machine-Learning-Based Method for Optimizing Well Completion Design Under Reservoir Uncertainty for New Gas Wells in the Montney Formation. Ph.D. Thesis, Texas A&M University, College Station, TX, USA, 2025. [Google Scholar]
- Hall, M.A. Correlation-Based Feature Selection for Machine Learning. Ph.D. Thesis, University of Waikato, Hamilton, New Zealand, 1999. [Google Scholar]
- Granger, C.W. Investigating causal relations by econometric models and cross-spectral methods. Econom. J. Econom. Soc. 1969, 37, 424–438. [Google Scholar] [CrossRef]
- McGraw, M.C.; Barnes, E.A. Memory matters: A case for Granger causality in climate variability studies. J. Clim. 2018, 31, 3289–3300. [Google Scholar] [CrossRef]
- Attanasio, A.; Pasini, A.; Triacca, U. Granger causality analyses for climatic attribution. Atmos. Clim. Sci. 2013, 3, 515–522. [Google Scholar] [CrossRef][Green Version]
- Papagiannopoulou, C.; Miralles, D.G.; Decubber, S.; Demuzere, M.; Verhoest, N.E.; Dorigo, W.A.; Waegeman, W. A non-linear Granger-causality framework to investigate climate–vegetation dynamics. Geosci. Model Dev. 2017, 10, 1945–1960. [Google Scholar] [CrossRef]
- Kong, D.; Miao, C.; Duan, Q.; Lei, X.; Li, H. Vegetation-Climate Interactions on the Loess Plateau: A Nonlinear Granger Causality Analysis. J. Geophys. Res. Atmos. 2018, 123, 11–068. [Google Scholar] [CrossRef]
- Kumar, V.; Bharti, B.; Singh, H.P.; Topno, A. Assessing the interrelation between NDVI and climate dependent variables by using granger causality test and vector auto-regressive neural network model. Phys. Chem. Earth Parts A/B/C 2023, 131, 103428. [Google Scholar] [CrossRef]
- Ping, W.Y.; Abd Rais, Z.; Ramli, N.; Mohamed Noor, N.; Ul-Saufie, A.Z.; Hamid, H.A.; Mahmad, M.K.N. Granger Causality Analysis of Air Pollutants and Meteorological Parameters. Environ. Earth Sci. Proc. 2025, 33, 6. [Google Scholar] [CrossRef]
- Singh, N.K.; Borrok, D.M. A Granger causality analysis of groundwater patterns over a half-century. Sci. Rep. 2019, 9, 12828. [Google Scholar] [CrossRef]
- Kim, D.; Jang, C.; Choi, J.; Kwak, J. A case study: Groundwater level forecasting of the Gyorae Area in actual practice on Jeju Island using Deep-Learning technique. Water 2023, 15, 972. [Google Scholar] [CrossRef]
- Le, P.V.; Pham, H.V.; Bui, L.K.; Tran, A.N.; Pham, C.V.; Nguyen, G.V.; Tran, P.A. Responses of groundwater to precipitation variability and ENSO in the Vietnamese Mekong Delta. Hydrol. Res. 2021, 52, 1280–1293. [Google Scholar] [CrossRef]
- Gomes Calixto, K.; Vígolo Coutinho, J.; Wendland, E. Causality and Time-Lagged Dependencies at the Watershed Scale. ESS Open Arch. Eprints 2021, 105, essoar-10505648. [Google Scholar]
- Zhang, J.; Dong, D.; Zhang, L. A New Method for Estimating Groundwater Changes Based on Optimized Deep Learning Models—A Case Study of Baiquan Spring Domain in China. Water 2023, 15, 4129. [Google Scholar] [CrossRef]
- Yee, E.; Choi, M. Influence of the Gyeongju earthquake on observed groundwater levels at a power plant. Water 2022, 14, 3229. [Google Scholar] [CrossRef]
- Maziarz, M. A review of the Granger-causality fallacy. J. Philos. Econ. 2015, 8, 86–105. [Google Scholar] [CrossRef]
- Lopez, L.; Weber, S. Testing for Granger causality in panel data. Stata J. 2017, 17, 972–984. [Google Scholar] [CrossRef]
- Chvosteková, M.; Jakubík, J.; Krakovská, A. Granger causality on forward and reversed time series. Entropy 2021, 23, 409. [Google Scholar] [CrossRef]
- Fathian, F.; Fakheri-Fard, A.; Modarres, R.; Van Gelder, P.H.A.J.M. Regional scale rainfall–runoff modeling using VARX–MGARCH approach. Stoch. Environ. Res. Risk Assess. 2018, 32, 999–1016. [Google Scholar] [CrossRef]
- Majumdar, S.; Smith, R.; Conway, B.D.; Lakshmi, V. Advancing remote sensing and machine learning-driven frameworks for groundwater withdrawal estimation in Arizona: Linking land subsidence to groundwater withdrawals. Hydrol. Process. 2022, 36, e14757. [Google Scholar] [CrossRef]
- Haider, A.; Lee, G.; Jafri, T.H.; Yoon, P.; Piao, J.; Jhang, K. Enhancing Accuracy of Groundwater Level Forecasting with Minimal Computational Complexity Using Temporal Convolutional Network. Water 2023, 15, 4041. [Google Scholar] [CrossRef]
- Tao, H.; Hameed, M.M.; Marhoon, H.A.; Zounemat-Kermani, M.; Heddam, S.; Kim, S.; Sulaiman, S.O.; Tan, M.L.; Sa’adi, Z.; Mehr, A.D.; et al. Groundwater level prediction using machine learning models: A comprehensive review. Neurocomputing 2022, 489, 271–308. [Google Scholar] [CrossRef]
- Ardana, P.D.H.; Redana, I.W.; Yekti, M.I.; Simpen, I.N. Groundwater Level Forecasting Using Multiple Linear Regression and Artificial Neural Network Approaches. Civ. Eng. Archit. 2022, 10, 784–799. [Google Scholar] [CrossRef]
- Najafabadipour, A.; Kamali, G.; Nezamabadi-Pour, H. Application of Artificial Intelligence Techniques for the Determination of Groundwater Level Using Spatio–Temporal Parameters. ACS Omega 2022, 7, 10751–10764. [Google Scholar] [CrossRef]
- Hussain, F.; Wu, R.S.; Shih, D.S. Water table response to rainfall and groundwater simulation using physics-based numerical model: WASH123D. J. Hydrol. Reg. Stud. 2022, 39, 100988. [Google Scholar] [CrossRef]
- Zhang, M.; Singh, H.V.; Migliaccio, K.W.; Kisekka, I. Evaluating water table response to rainfall events in a shallow aquifer and canal system. Hydrol. Process. 2017, 31, 3907–3919. [Google Scholar] [CrossRef]
- Yan, S.F.; Yu, S.E.; Wu, Y.B.; Pan, D.F.; Dong, J.G. Understanding groundwater table using a statistical model. Water Sci. Eng. 2018, 11, 1–7. [Google Scholar] [CrossRef]
- Gullacher, A.; Allen, D.M.; Goetz, J.D. Early warning indicators of groundwater drought in mountainous regions. Water Resour. Res. 2023, 59, e2022WR033399. [Google Scholar] [CrossRef]
- Hunter, S.C.; Allen, D.M.; Kohfeld, K.E. Comparing approaches for reconstructing groundwater levels in the mountainous regions of interior British Columbia, Canada, using tree ring widths. Atmosphere 2020, 11, 1374. [Google Scholar] [CrossRef]
- Phiri, M.; Shiferaw, Y.A.; Tesfamichael, S.G. Modelling the relationship between groundwater depth and NDVI using time series regression with Distributed Lag M. S. Afr. J. Geomat. 2018, 7, 147–163. [Google Scholar] [CrossRef]
- Martínez-de la Torre, A.; Miguez-Macho, G. Groundwater influence on soil moisture memory and land–atmosphere fluxes in the Iberian Peninsula. Hydrol. Earth Syst. Sci. 2019, 23, 4909–4932. [Google Scholar] [CrossRef]
- Lo, M.H.; Famiglietti, J.S. Effect of water table dynamics on land surface hydrologic memory. J. Geophys. Res. Atmos. 2010, 115. [Google Scholar] [CrossRef]
- Kissell, R.; Poserina, J. Chapter 2—Regression Models. In Optimal Sports Math, Statistics, and Fantasy; Kissell, R., Poserina, J., Eds.; Academic Press: Chennai, India, 2017; pp. 39–67. [Google Scholar]
- Tadych, D.E.; Ford, M.; Colby, B.G.; Condon, L.E. Historical patterns of well drilling and groundwater depth in Arizona considering groundwater regulation and surface water access. J. Am. Water Resour. Assoc. 2024, 60, 1193–1208. [Google Scholar] [CrossRef]
- Bernat, R.F.; Megdal, S.B.; Eden, S. Long-term storage credits: Analyzing market-based transactions to achieve Arizona water policy objectives. Water 2020, 12, 568. [Google Scholar] [CrossRef]
- Carruth, R.L.; Kahler, L.M.; Conway, B.D. Groundwater-Storage Change and Land-Surface Elevation Change in Tucson Basin and Avra Valley, South-Central Arizona 2003–2016; No. 2018-5154; US Geological Survey: Reston, VA, USA, 2018.
- Hanson, R.T.; Anderson, S.R.; Pool, D.R. Simulation of Ground-Water Flow and Potential Land Subsidence, Avra Valley, Arizona; No. 4178; US Department of the Interior, US Geological Survey: Reston, VA, USA, 1990; Volume 90.
- Conway, B.D. Land subsidence and earth fissures in south-central and southern Arizona, USA. Hydrogeol. J. 2016, 24, 649–655. [Google Scholar] [CrossRef]
- U.S. Geological Survey. Land Subsidence in California. Available online: https://www.usgs.gov/centers/land-subsidence-in-california (accessed on 23 February 2025).
- Park, S.; Hong, S.H.; Cigna, F. Surface Uplift Induced by Groundwater Level Variations Revealed Using MT-InSAR Time-Series Observations. Remote Sens. 2025, 17, 3875. [Google Scholar] [CrossRef]
- Parker, A.L.; Pigois, J.P.; Filmer, M.S.; Featherstone, W.E.; Timms, N.E.; Penna, N.T. Land uplift linked to managed aquifer recharge in the Perth Basin, Australia. Int. J. Appl. Earth Obs. Geoinf. 2021, 105, 102637. [Google Scholar] [CrossRef]
- Kennedy, J.R. Groundwater-Storage Change in the North Phoenix Aquifer, Arizona, 2020–2023; No. 2024-5120; US Geological Survey: Reston, VA, USA, 2025.
- Scanlon, B.R.; Pool, D.R.; Rateb, A.; Conway, B.; Sorensen, K.; Udall, B.; Reedy, R.C. Multidecadal drought impacts on the Lower Colorado Basin with implications for future management. Commun. Earth Environ. 2025, 6, 214. [Google Scholar] [CrossRef]
- Tapia-Villaseñor, E.M.; Shamir, E.; Megdal, S.B.; Petersen-Perlman, J.D. Impacts of variable climate and effluent flows on the transboundary Santa Cruz aquifer. J. Am. Water Resour. Assoc. 2020, 56, 409–430. [Google Scholar] [CrossRef]
- Scott, P.S.; Mac Nish, R.D.; Maddock, T., III. Effluent Recharge to the Upper Santa Cruz River Floodplain Aquifer, Santa Cruz County, Arizona; University of Arizona: Tucson, AZ, USA, 1997. [Google Scholar]
- Anning, D.W.; Leenhouts, J.M. Conceptual Understanding and Groundwater Quality of the Basin-Fill Aquifer in the Upper Santa Cruz Basin, Arizona. Natl. Water-Qual. Assess. Program 2010, 1781, 123–144. [Google Scholar]
- Williams, S.A.; Zuniga-Teran, A.A.; Megdal, S.B.; Quanrud, D.M.; Christopherson, G. Assessing the Relationship Between Groundwater Availability, Access, and Contamination Risk in Arizona’s Drinking Water Sources. Water 2025, 17, 1097. [Google Scholar] [CrossRef]
- Gober, P.; Kirkwood, C.W. Vulnerability assessment of climate-induced water shortage in Phoenix. Proc. Natl. Acad. Sci. USA 2010, 107, 21295–21299. [Google Scholar] [CrossRef]
- Asadollahi, A.; VB, M.K.; Ghimire, A.B.; Poudel, B.; Shin, S. The impact of climate change and urbanization on groundwater levels: A system dynamics model analysis. Environ. Prot. Res. 2024, 4, 1–15. [Google Scholar] [CrossRef]








| ID | Variable | Type | Resolution | Unit |
|---|---|---|---|---|
| 1 | P | Grid | 0.1°|monthly | mm |
| 2 | ET | Grid | 0.01°|monthly | mm |
| 3 | GWL | Point | —|daily | feet |
| ID | Cor (Lag = 0) | Significant? (Lag = 0) | Max Cor | Lag (Max Cor) | Significant? (Max Cor) |
|---|---|---|---|---|---|
| 1 | −0.07 | No | +0.45|−0.44 | −1|+1 | Yes |
| 2 | +0.03 | No | −0.23 | −11 | Yes |
| 3 | −0.09 | No | −0.20 | −3 | Yes |
| 4 | +0.08 | No | −0.33 | −10 | Yes |
| 5 | −0.25 | Yes | −0.25 | 0 | n/a |
| 6 | +0.00 | No | +0.12 | +3 | No |
| 7 | −0.07 | No | +0.22 | +2 | Yes |
| 8 | −0.16 | No | +0.29 | +4 | Yes |
| 9 | −0.26 | Yes | +0.35 | +1 | Yes |
| 10 | +0.19 | Yes | −0.27 | +1 | Yes |
| 11 | −0.10 | No | −0.26 | −11 | Yes |
| 12 | +0.09 | No | +0.25 | −6 | Yes |
| 13 | −0.09 | No | +0.30 | +7 | Yes |
| 14 | +0.12 | No | −0.44 | +1 | Yes |
| 15 | +0.05 | No | −0.25 | −3 | Yes |
| 16 | −0.21 | Yes | +0.27 | +3 | Yes |
| 17 | −0.02 | No | +0.26 | −3 | Yes |
| 18 | +0.03 | No | −0.26 | −2 | Yes |
| 19 | −0.07 | No | +0.21 | +4 | Yes |
| 20 | −0.03 | No | −0.24 | +1 | Yes |
| 21 | +0.05 | No | −0.32 | +1 | Yes |
| 22 | −0.38 | Yes | −0.38 | 0 | n/a |
| 23 | +0.03 | No | +0.32 | 8 | Yes |
| 24 | −0.06 | No | −0.38 | 1 | Yes |
| 25 | +0.19 | Yes | +0.19 | 0 | n/a |
| 26 | −0.37 | Yes | −0.37 | 0 | n/a |
| 27 | −0.08 | No | +0.17 | +7 | No |
| 28 | −0.15 | No | +0.37 | +6 | Yes |
| 29 | −0.19 | Yes | +0.45 | −5 | Yes |
| 30 | +0.23 | Yes | −0.24 | −4 | Yes |
| 31 | −0.20 | Yes | −0.37 | +7 | Yes |
| 32 | +0.02 | No | +0.21 | +10 | Yes |
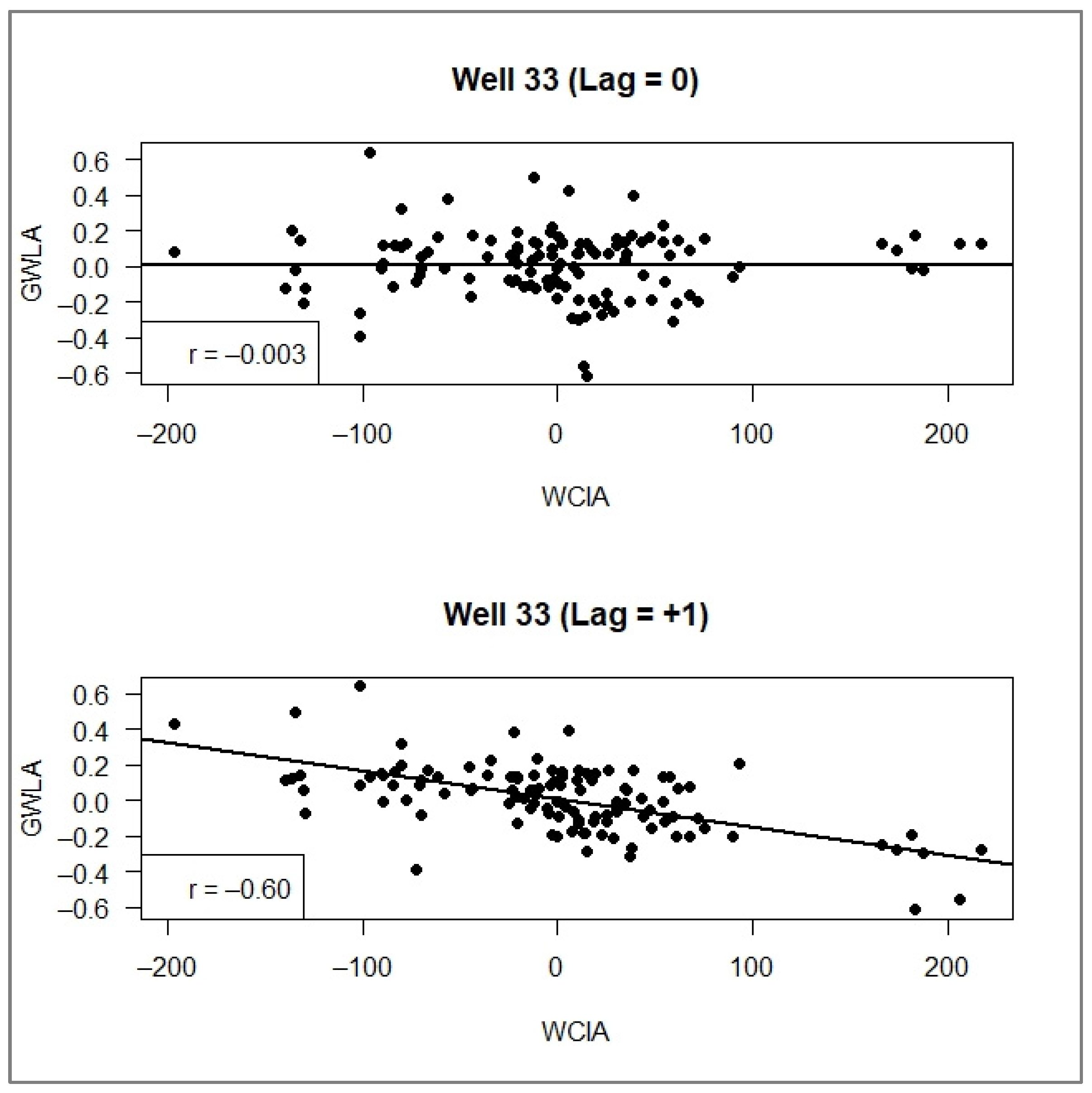
| 33 | −0.00 | No | −0.60 | +1 | Yes |
| 34 | −0.17 | No | −0.17 | 0 | n/a |
| 35 | −0.24 | Yes | +0.25 | +3 | Yes |
| 36 | +0.00 | No | −0.22 | −9 | Yes |
| 37 | −0.01 | No | +0.24 | +11 | Yes |
| 38 | −0.05 | No | +0.23 | +8 | Yes |
| 39 | −0.07 | No | +0.29 | −7 | Yes |
| 40 | −0.12 | No | +0.19 | +3 | Yes |
| 41 | +0.09 | No | −0.42 | +2 | Yes |
| 42 | −0.11 | No | −0.26 | −2 | Yes |
| 43 | +0.12 | No | −0.43 | +1 | Yes |
| 44 | −0.07 | No | +0.31 | +3 | Yes |
| 45 | −0.15 | No | −0.29 | −6 | Yes |
| 46 | −0.12 | No | −0.26 | −6 | Yes |
| 47 | −0.11 | No | −0.31 | 1 | Yes |
| 48 | −0.05 | No | −0.35 | 1 | Yes |
| 49 | −0.35 | Yes | −0.35 | 0 | n/a |
| 50 | +0.18 | No | −0.42 | +1 | Yes |
| 51 | −0.31 | Yes | +0.38 | −8 | Yes |
| 52 | −0.14 | No | −0.33 | −12 | Yes |
| 53 | −0.19 | Yes | −0.26 | +12 | Yes |
| 54 | −0.16 | No | +0.36 | −9 | Yes |
| 55 | +0.05 | No | +0.15 | +10 | No |
| 56 | +0.06 | No | +0.24 | −6 | Yes |
| 57 | −0.15 | No | −0.35 | +7 | Yes |
| 58 | +0.03 | No | +0.31 | −4 | Yes |
| 59 | −0.06 | No | −0.20 | −2 | Yes |
| ID | Lag (Max Cor) | p-Value (WCIA~GWLA) | p-Value (GWLA~WCIA) |
|---|---|---|---|
| 1 | +1 | 0.000000062 | 0.000000053 |
| 14 | +1 | 0.0000016 | 0.827 |
| 33 | +1 | 0.00000000000038 | 0.001 |
| 41 | +2 | 0.0000000065 | 0.148 |
| 43 | +1 | 0.0000012 | 0.08 |
| 50 | +1 | 0.0000054 | 0.06 |
Disclaimer/Publisher’s Note: The statements, opinions and data contained in all publications are solely those of the individual author(s) and contributor(s) and not of MDPI and/or the editor(s). MDPI and/or the editor(s) disclaim responsibility for any injury to people or property resulting from any ideas, methods, instructions or products referred to in the content. |
© 2026 by the authors. Licensee MDPI, Basel, Switzerland. This article is an open access article distributed under the terms and conditions of the Creative Commons Attribution (CC BY) license.
Share and Cite
Zowam, F.J.; Milewski, A.M. Climate Variability and Groundwater Levels: A Correlation and Causation Analysis. Remote Sens. 2026, 18, 932. https://doi.org/10.3390/rs18060932
Zowam FJ, Milewski AM. Climate Variability and Groundwater Levels: A Correlation and Causation Analysis. Remote Sensing. 2026; 18(6):932. https://doi.org/10.3390/rs18060932
Chicago/Turabian StyleZowam, Fabian J., and Adam M. Milewski. 2026. "Climate Variability and Groundwater Levels: A Correlation and Causation Analysis" Remote Sensing 18, no. 6: 932. https://doi.org/10.3390/rs18060932
APA StyleZowam, F. J., & Milewski, A. M. (2026). Climate Variability and Groundwater Levels: A Correlation and Causation Analysis. Remote Sensing, 18(6), 932. https://doi.org/10.3390/rs18060932

