Next Article in Journal
Spatial Zoning Characteristics of Thaw Settlement in Separated Subgrades in Permafrost Regions of the Qinghai–Tibet Engineering Corridor
Previous Article in Journal
Achieving Consistent Estimates of Particulate Organic Carbon from Satellites, Ships and Argo Floats
 
 
Font Type:
Arial Georgia Verdana
Font Size:
Aa Aa Aa
Line Spacing:
Column Width:
Background:
Article

A Terrain-Adjusted Remote Sensing Framework for Identifying Ecologically Valuable and Tourism-Oriented Landscapes in Complex Mountainous Regions

1
Kharkiv Institute at Hangzhou Normal University, Hangzhou Normal University, Hangzhou 311121, China
2
Zhejiang Provincial Key Laboratory of Wetland Intelligent Monitoring and Ecological Restoration, Institute of Remote Sensing and Geosciences, Hangzhou Normal University, Hangzhou 311121, China
3
College of Geographical Science at Hunan Normal University, Hunan Normal University, Changsha 410081, China
4
School of Engineering, Hangzhou Normal University, Hangzhou 310018, China
5
Zhejiang Institute of Hydraulics & Estuary, Hangzhou 310020, China
*
Author to whom correspondence should be addressed.
Remote Sens. 2026, 18(5), 834; https://doi.org/10.3390/rs18050834
Submission received: 9 December 2025 / Revised: 15 January 2026 / Accepted: 23 January 2026 / Published: 9 March 2026
(This article belongs to the Section Ecological Remote Sensing)

Highlights

What are the main findings?
  • Terrain-Adjusted Remote Sensing Ecological Index (TARSEI) integrates terrain factors into RSEI, thereby extending ecological assessment from two to three dimensions without using stereo imagery.
  • Validated with 194 ecotourism POIs, TARSEI achieves 82.3% spatial consistency (versus 48.1% for RSEI), demonstrating its effectiveness in mountainous terrain.
What are the implications of the main findings?
  • TARSEI identifies 28 potential ecotourism zones (~520 km2) overlapping 98.5% with areas of high ecological value, demonstrating strong applicability for site discovery.
  • The TARSEI approach advances ecological monitoring theory and provides a quantitative, transferable tool for ecotourism planning and spatial management in complex landscapes.

Abstract

Traditional field-based ecological surveys are inefficient in mountainous regions with steep slopes and deep valleys, highlighting the need for new quantitative remote sensing–based approaches. To account for complex terrain, four representative topographic factors (slope, relief, dissection, curvature) were selected via Digital Elevation Model (DEM) analysis to develop a Terrain Complexity Index (TCI), replacing the dryness component in the Remote Sensing Ecological Index (RSEI). Combined with greenness, wetness, and heat factors from Landsat 8, TCI was integrated using principal component analysis to form a Terrain-Adjusted RSEI (TARSEI), extending ecological assessment from two to three dimensions. In a mountainous case study in Huzhou City, Zhejiang, China, TARSEI showed a marked 34.2-percentage-point improvement over the original RSEI. Its high-value areas captured 82.3% of ecotourism points of interest, versus 48.1% for RSEI, demonstrating its enhanced accuracy for terrain-specific analysis. TARSEI further identified 28 new ecotourism resource clusters totaling 520.1 km2 (8.9% of the city area), with a 98.5% overlap with high TARSEI zones. These results confirmed TARSEI’s effectiveness and provided robust scientific support for sustainable ecotourism development and spatial planning. With its high accuracy, stability, and universality, TARSEI is a promising and transferable tool for ecotourism resource assessment and spatial planning and management in complex terrain regions.

1. Introduction

The ecological environment underpins the core functions of the Earth’s life-support system, with its stability playing a decisive role in maintaining biodiversity and human well-being [1]. In complex terrain, development that ignores the topographic control of ecological processes often leads to ecosystem degradation [2]. For example, in Brazil’s Atlantic Forest, afforestation practices that disregarded aspect variability and applied single-species plantings on steep slopes have impaired litter decomposition and nutrient cycling [3]. Likewise, in alpine high-mountain tourism areas, infrastructure development concentrated in zones of high slope entropy has substantially reduced alpine vegetation habitats and limited the recovery capacity of key species [4]. Traditional monitoring approaches relying on fixed field plots are poorly equipped to capture ecological variation driven by topographic gradients [5].
Contemporary geoinformation techniques, however, enable integrated terrain–ecology analyses. Examples include using airborne Light Detection and Ranging (LiDAR) to quantify slope-change coefficients, integrating remote sensing vegetation indices into stress-response models, deploying observation networks guided by topographic position indices, and detecting biogeochemical anomalies from spectral signatures [6]. Therefore, there is an urgent need to establish development-assessment mechanisms that are constrained by terrain. Treating terrain metrics, such as slope entropy and curvature, as rigid indicators of ecological carrying capacity—e.g., limiting construction intensity in high-entropy zones or configuring restoration types according to curvature—can substantially reduce soil-degradation risks and enhance ecosystem stability [7]. By revealing nonlinear relationships between topographic gradients and ecological responses, this paradigm makes sustainable development in complex terrain feasible.
Earth-observation remote sensing, with its broad spatial coverage and repeated-revisit capability, has become a cornerstone of global ecological monitoring [8]. With sub-kilometer surface-mapping capability and the ability to continuously track large-scale ecological dynamics, remote sensing supports more than 75% of multinational ecological assessment initiatives [9]. Remote sensing and geographic information systems (GIS) form a strong synergy: remote sensing provides multi-spectral to microwave surface information, while GIS improves the diagnostic accuracy of ecologically sensitive areas through multisource spatial modeling (e.g., coupling topography, soils, and climate) [10]. Their integration expands ecosystem observability and enables both macro-scale surveys and fine-scale diagnostics for cross-boundary degradation assessment and the identification of ecological sensitivity [11]. Current innovations in environmental monitoring are directly driven by remote sensing. High-spatiotemporal-resolution satellite constellations (e.g., Planet Labs) enable near-real-time disaster response and national-scale annual ecological assessments, progressively forming an integrated “space–air–ground” monitoring network [12]. Methodological studies further confirm that the paradigmatic foundations and architectural design of modern ecological monitoring rely fundamentally on remote-sensing science and technology, emphasizing its irreplaceable role as a foundational element [13].
With the growing demand for fine-scale ecological-environment assessment, ecological response models based on multispectral remote sensing data have undergone continuous innovation and iteration. The Remote Sensing Ecological Index (RSEI), as a representative coupling model, integrates four key parameters—greenness (Normalized Difference Vegetation Index, NDVI), wetness (Wetness Index, Wet), dryness (Normalized Difference Built-up and Soil Index, NDBSI), and heat (Land Surface Temperature, LST)—to achieve the first large-scale quantitative evaluation of ecological-environmental quality [14]. Leveraging principal component analysis (PCA) as a mechanism for spatial differentiation, RSEI has proven effective in capturing gradual patterns of urban heat island expansion and ecological degradation and has been widely applied in contexts such as urban agglomeration resilience assessment and national ecological-barrier evaluation [15]. To enhance its applicability in complex environments, scholars have proposed three breakthrough directions: (1) integrating nighttime-light and PM2.5 data to strengthen sensitivity to anthropogenic pressures; (2) employing machine-learning approaches such as random forests to dynamically reconstruct parameter weights for algorithmic optimization; and (3) using cloud platforms for monthly dynamic monitoring and tracking of ecological processes [16,17,18]. These innovations have advanced the evolution of RSEI by expanding data dimensions, improving algorithmic accuracy, and optimizing temporal resolution. More recently, the development of the Deep Remote Sensing Ecological Index (DRSEI) has further extended this framework by capturing nonlinear ecological processes and improving diagnostic accuracy under complex conditions [19]. In parallel, several targeted modifications have also been proposed to address methodological constraints of the original RSEI, including the Remote Sensing Ecological Index considering Full Elements (RSEIFE), which emphasizes more complete representation of ecological elements—particularly water-related information—and improved stability [20]; the Continuous Remote Sensing Ecological Index (CRSEI), which reduces multitemporal bias in long-term monitoring through change-detection logic [21]; and the Modified Remote Sensing Ecological Index with Local Adaptability (MRSEI_LA), which enhances moving-window RSEI_LA by correcting PCA eigenvector-direction inconsistencies for more robust local assessment [22].
Nevertheless, existing improvements still mainly concentrate on surface-level parameter correlations, while explicit integration of vertical topographic features remains limited. As a critical mediator regulating water–heat redistribution, soil erosion, and habitat differentiation, topography imposes strong spatial constraints in mountainous and plateau regions of high heterogeneity; however, its role has not been systematically incorporated into the RSEI framework [23]. Previous studies have shown that slope and topographic relief contribute significantly to ecological-sensitivity assessment models, with stable weights of 0.51 and 0.40 in both 2000 and 2018, underscoring the enduring significance of topographic factors in dynamic monitoring and risk evaluation [24]. In recent years, attempts have been made to construct the three-dimensional RSEI (TRSEI), which couples topographic relief with ecological quality using stereo imagery, yielding promising results in island ecosystems and providing a methodological reference for future three-dimensional extensions of RSEI [25]. However, in typical vertical-gradient ecological processes, such as reconstructing solar-radiation patterns in steep-slope areas, the lack of terrain-dimensional integration in extended RSEI models makes it difficult to quantify three-dimensional habitat differentiation, a problem closely associated with the simulation of radiative processes in complex terrain [26].
Ecotourism, which emerged in the late twentieth century as a response to the environmental costs of mass tourism, aims to facilitate recreation with minimal ecological disturbance while channeling benefits toward conservation and community development [27,28]. This model offers dual benefits: by highlighting the economic value of natural capital, it can deter development at the margins of protected areas [29]; and as a low-carbon-intensity form of tourism, it is expected to account for about 25% of the global tourism market by 2030 [30]. Traditional surveys of ecotourism resources, which commonly rely on manual grid-based fieldwork, are largely detached from ecosystem processes. First, linear survey transects along roads fragment continuous habitats, causing associations between waterfall communities and groundwater systems to be overlooked [31]. Second, rugged topography creates detection blind spots: steep cliffs and canyon segments often remain uninvestigated because of poor accessibility, leading to the omission of key landscapes [32]. Third, static field records lack ecological context and fail to capture how lithologic weathering drives vegetation succession [33]. In recent years, studies have sought to develop ecological-security assessment systems for tourist areas based on ecological indicators. For example, research based on the DPSIR framework has clarified how tourism activities and land use affect the ecological stability of protected areas [34]. However, such approaches reduce three-dimensional ecosystems to discrete point coordinates, thereby impeding coordinated surveying, evaluation, development, and conservation. Although geospatial technologies can address spatial-coverage limitations, they still face challenges in coupling structural topography with ecological function—for example, satellites cannot penetrate dense canopies to detect understory moisture dynamics, and spectral confusion in complex lithologies can mislead vegetation–geology interpretations [35,36]. The core limitation lies in the absence of an integrated framework linking terrain structure with ecological function, which confines technological advances to surface-only perspectives.
Importantly, terrain constraint constitutes a first-order control on ecological signals retrieved from optical–thermal remote sensing in mountainous landscapes. Slope, aspect, and curvature regulate incoming solar radiation and soil hydrothermal regimes, thereby reshaping vegetation vigor and habitat differentiation along vertical gradients, even under comparable land-cover types [37,38]. Meanwhile, terrain effects introduce systematic distortions in thermal indicators, as elevation-dependent lapse rates and slope-controlled illumination and shadowing significantly amplify the spatial heterogeneity of land surface temperature in mountainous regions [39,40]. These processes explain why RSEI-type models—primarily two-dimensional surface-parameter couplings—tend to exhibit systematic bias when applied to terrain-fragmented environments, thereby motivating study-area-oriented optimizations of the RSEI framework in low-mountain and hilly settings [41]. Therefore, the terrain-adjusted extension proposed in this study is conceptually positioned as a terrain-regulated RSEI augmentation that is most necessary in mountainous and hilly regions with pronounced relief, while remaining applicable in gently undulating or flat terrains where terrain complexity is low and the terrain term contributes marginally—thus preserving comparability with conventional RSEI products.
Against this background, although RSEI has been widely used to evaluate regional ecological quality, it remains limited in its capacity to quantify the combined effects of topographic relief on the distribution of ecotourism resources and the potential for tourism development. This limitation is particularly evident in complex-terrain regions, where topographic variability often introduces systematic biases in ecological assessments [42]. Previous studies have attempted to extend the two-dimensional RSEI into three dimensions by incorporating stereo-pair imagery; however, such data are not globally available, and in most regions, only DEM data are accessible [43]. These challenges give rise to a central scientific question: how can an ecological assessment framework be constructed that explicitly integrates terrain regulation with remote sensing–derived ecological indicators, so as to reduce terrain-induced biases and improve the reliability of ecotourism resource evaluation in complex terrain environments? To address this question, this study integrates the four RSEI factors with selected terrain variables—slope, topographic relief, and surface curvature—using PCA to construct a new evaluation model: the Terrain-Adjusted Remote Sensing Ecological Index (TARSEI). Huzhou, Zhejiang Province, was selected as the empirical study area because its diverse terrain patterns—including mountains, hills, plains, and water networks—offer multiple scenarios for testing the quantitative capability of TARSEI. The objective of this study is to provide a high-precision, multifactor, and operationally efficient solution for ecotourism resource assessment in complex terrain regions. On one hand, the model enables accurate identification of ecologically vulnerable areas to guide sustainable conservation; on the other hand, it facilitates the detection of potential ecotourism resources, thereby promoting the sustainable development of regional ecological and environmental assets.

2. Materials and Methods

The technical framework of this study is illustrated in Figure 1. In the experimental preparation stage, four RSEI indicators—NDVI, Wet, NDSI, and LST—were derived from Landsat 8 OLI_TIRS remote sensing data. Simultaneously, a set of topographic factors was extracted from the DEM, including surface roughness, slope gradient, slope variability, surface curvature, terrain dissection, topographic relief, and the coefficient of elevation variation. Based on correlation analysis among these terrain factors, slope, terrain dissection, topographic relief, and curvature were selected and combined to construct the Terrain Complexity Index (TCI) through weighted integration. Subsequently, using the above indicators, both RSEI and the proposed TARSEI models were constructed via PCA to evaluate ecological environmental quality and assess ecotourism resources in complex terrain areas. In the next step, point-of-interest (POI) data of ecotourism sites, obtained from online sources, were used to conduct a comparative analysis of RSEI and TARSEI capabilities in identifying potential ecotourism resources. Finally, the study explored the methodological potential of TARSEI for ecotourism-resource mining and discussed its prospective application domains.

2.1. Overview of the Study Area and Data Description

Huzhou is located in northern Zhejiang Province, China, at the geographic center of the Yangtze River Delta and on the western edge of the Taihu Lake Economic Circle, with coordinates ranging from 30°22′ to 31°11′ N and 119°14′ to 120°29′ E. The city administers five districts and counties—Wuxing, Nanxun, Deqing, Changxing, and Anji (Figure 2)—covering a total area of 5820 km2 and hosting a permanent population of approximately 3.46 million. The region experiences a northern subtropical monsoon climate (Köppen: Cfa), with an average annual precipitation of 1300–1400 mm and mean annual temperatures ranging from 12.2 to 17.3 °C. The topography generally slopes from southwest to northeast, forming a stepped terrain-ecology complex system. The eastern lake and marsh plains are underpinned by the Taihu Lake dike and irrigation system, accounting for 34% of the surrounding Taihu wetlands, and integrating 73 ancient water-heritage sites into a cultural heritage corridor. The central Tiaoxi alluvial plain, with a river-network density of 2.8 km/km2, serves as the core axis for urban cluster development. The western Tianmu Mountain ecological barrier has an average elevation of 600 m, with Longwang Mountain reaching 1587 m, and maintains forest coverage of 92.3%, hosting the highest-latitude primary evergreen broadleaf forest in the Northern Hemisphere. Huzhou exhibits strong spatial coupling between tourism resources and terrain. In 2023, the eastern “Nanxun Ancient Town–Taihu Lake Shoreline” heritage-tourism belt received 21 million visitors, with an overnight rate of 41% and a five-year compound annual growth rate of tourism revenue reaching 18.6%. In western Anji County, 75% of the land area is covered by bamboo ecosystems, supporting the world’s largest bamboo industry value chain cluster, with ecotourism contributing 31.7% of the county’s GDP in 2023. This demonstrates the region’s exemplary role as the origin of the “Two Mountains Theory,” which emphasizes that “lucid waters and lush mountains are invaluable assets”. The pronounced vertical zonation (with an elevation difference exceeding 500 m from west to east) and distinct development patterns make Huzhou an ideal case study for analyzing ecotourism resource development in complex-terrain regions.
The data for this study comprise the following types: Landsat 8 OLI_TIRS remote sensing imagery, DEM, point of interest (POI) for ecotourism sites, and vector layers of ecological conservation red lines (ECRLs).
(1) Remote Sensing Imagery and DEM Data: Landsat 8 OLI_TIRS imagery was obtained from the Geospatial Data Cloud, Chinese Academy of Sciences. The digital elevation data were derived from the ASTER Global Digital Elevation Model Version 3 (ASTER GDEM v3), jointly developed by the Ministry of Economy, Trade and Industry (METI), Japan, and the National Aeronautics and Space Administration (NASA), USA, and accessed via the Geospatial Data Cloud, Chinese Academy of Sciences. September 2021 was selected because it falls within the autumn transition period in Huzhou (Yangtze River Delta), when vegetation remains physiologically active and the ecological signal is strong, while atmospheric conditions are generally favorable for optical remote sensing (low cloud contamination in the selected scenes). More importantly, this period is highly relevant to ecotourism and nature-based recreation in the study area: regional analyses of tourism climate comfort in the Yangtze River Delta consistently indicate that autumn is among the most climatically suitable seasons for tourism activities, which are dominated by outdoor experiences in forested and mountainous landscapes [44]. In addition, Huzhou’s Anji County is a well-documented ecotourism destination where rural/nature-based tourism practices are actively promoted and widely participated in, making the early-autumn window particularly representative for assessing ecological conditions supporting ecotourism [45]. Autumn scenic-value tourism in China is also closely tied to September–October climate conditions, further supporting the representativeness of selecting September imagery for ecotourism-oriented ecological assessment [46]. To ensure data quality, all selected images had cloud coverage below 2%. Data preprocessing—including radiometric calibration, FLAASH atmospheric correction, mosaicking, geometric correction, resolution matching, noise removal, null value filling, and cropping to the study area—was performed using ENVI 5.6 software. Following the Landsat 8 processing guidelines of the U.S. Geological Survey (USGS), the digital number (DN) values of the multispectral bands were converted to surface reflectance.
(2) Terrain Analysis: A 30 m resolution ASTER GDEM v3 digital elevation model was used for topographic analysis. The DEM data were contemporaneous with the remote sensing imagery to ensure consistency in vegetation phenology.
(3) POI of Ecotourism Sites: Point-of-interest data for ecotourism sites were extracted in 2025 from the Baidu Map Open Platform, a major geospatial service provider in China. After keyword filtering and topological cleaning, 194 valid POI records were obtained. These were categorized into eight categories: forest parks, wetland parks, campsites, scenic areas, observation decks, water-conservancy facilities, resorts, and historic trails [47].
To ensure data reliability and representativeness, the Baidu Map Open Platform was selected because it is one of the most widely used geospatial service providers in China, offering continuously updated and spatially comprehensive POI datasets. Ecotourism-related POIs were retrieved using a curated keyword list corresponding to the above eight categories, while non-relevant facilities (e.g., restaurants, retail stores, residential services, and industrial facilities) were excluded. Duplicate records, incomplete attribute entries, and spatial outliers were removed through topological cleaning and coordinate validation. All POIs were transformed into a unified coordinate reference system and spatially aligned with the remote sensing datasets used in this study.
In addition, domain expertise was incorporated into the screening process. One of the co-authors is affiliated with the local water-resources authority and has long-term professional experience in watershed and eco-environmental management in the Huzhou region. This domain knowledge was used to further verify POI relevance and exclude contextually inappropriate records that could not be reliably identified through automated filtering alone. The final dataset therefore provides a robust and representative spatial sample of ecotourism resources suitable for validating the performance of TARSEI.
(4) The vector layer of ecological-conservation areas in Huzhou was obtained from the Huzhou Territorial Spatial Master Plan (2021–2035) released by the Huzhou Bureau of Natural Resources and Planning. After vectorization, it was spatially registered with the remote sensing base map. Detailed information on the datasets is presented in Table 1.

2.2. Development of TARSEI

2.2.1. Remote Sensing Ecological Index Assessment

RSEI was developed to quantitatively evaluate regional ecological and environmental quality [14]. This model integrates four core elements closely related to ecological conditions and human well-being—greenness, wetness, dryness, and heat—and applies PCA to reduce the dimensionality of standardized indicators, with the weights derived from the loadings of the first principal component (PC1).
Greenness Index (NDVI)
NDVI is a core remote sensing indicator used to quantify vegetation cover and ecological health. Its values range from −1 to 1, with higher values indicating greater biomass and vegetation vitality, making it the key “greenness” parameter in the RSEI model. Lower values correspond to bare soil, water bodies, or degraded areas [48]. NDVI is calculated using the following equation:
N D V I   =   ρ NIR ρ Red ρ NIR + ρ Red  
where ρ NIR and ρ Red represent the reflectance values of near-infrared and red spectral bands, respectively.
Wetness Index (Wet)
The Wetness Index (Wet) quantitatively represents surface-moisture content across the soil–vegetation system. Higher values indicate more humid conditions, making Wet the key “humidity” component in the RSEI model [49]. For Landsat 8 OLI and Landsat TM data, Wet is calculated using the following equations:
For Landsat 8 OLI:
Wet OLI   =   0.01511 ρ Blue + 0.1973 ρ Green + 0.3283 ρ Red + 0.3407 ρ NIR 0.7117 ρ SWIR1 0.4559 ρ SWIR2
For Landsat TM:
Wet TM   =   0.0315 ρ Blue + 0.2020 ρ Green + 0.3102 ρ Red + 0.1594 ρ NIR 0.6806 ρ SWIR1 0.6109 ρ SWIR2
Here, ρ Blue , ρ Green , ρ SWIR1 , and ρ SWIR2 denote the reflectance values of the blue, green, shortwave infrared 1 (SWIR1), and short-wave infrared 2 (SWIR2) spectral bands, respectively.
Dryness Index (NDBSI)
NDBSI integrates the Soil Index (SI) and the Index-based Built-up Index (IBI) to comprehensively quantify bare-soil exposure and artificial-surface coverage. Its value ranges from −1 to 1, with higher values indicating urban expansion areas, desertified regions, or vegetation-degraded zones, reflecting the aridity stress on ecosystems. As a key negative component in the RSEI model, NDBSI shows a significant negative correlation with NDVI and Wet, making it indispensable in monitoring urban heat islands, assessing land degradation, and providing early warnings of desertification [50]. NDBSI calculation is given in Equations (4)–(6):
I B I = 2 ρ SWIR1 ρ SWIR1 + ρ NIR ρ NIR ρ NIR + ρ Red + ρ Green ρ Green + ρ SWIR1 2 ρ SWIR1 ρ SWIR1 + ρ NIR + ρ NIR ρ NIR + ρ Red + ρ Green ρ Green + ρ SWIR1
S I = ρ SWIR1 + ρ Red ρ NIR + ρ Blue ρ SWIR1 + ρ Red + ρ NIR + ρ Blue
N D B S I = IBI + SI 2
Here, the meanings of the spectral bands are the same as those defined in Equations (1)–(3).
Heat Index (LST)
LST is derived from the thermal-infrared bands to estimate land surface radiative temperature, reflecting the integrated energy balance of the canopy and ground, with units in °C. High values indicate urban heat-island effects or drought stress, making LST a key negative driver in the RSEI model, with essential applications in urban ecology and drought monitoring [51]. The LST calculation is given in Equation (7), applicable to Landsat 8 OLI/TIRS C2L2 products [52]:
L S T = D N × 0.00341802 + 149 273.15
Here, DN represents the digital number of the Landsat 8 TIRS thermal-infrared band B10.
According to the above equations, band calculations were performed, and the intermediate variables were normalized to the [0, 1] range. Subsequently, RSEI factor images were generated using density segmentation based on the natural-breaks method (Figure 3).
Integration of RSEI Indicators
The PCA method was employed to process four ecological factors—NDVI, Wet, NDBSI, and LST—whereby multidimensional data compression effectively eliminates multicollinearity among variables. Principal component analysis has been widely used in remote sensing ecological index construction because it transforms correlated variables into orthogonal components that capture the dominant variance structure and thus objectively integrate multiple environmental indicators [53]. PCA also avoids potential bias caused by subjective weighting schemes and is suitable for synthesizing heterogeneous indicators into a unified ecological quality metric [54]. In addition, recent ecological index studies have integrated PCA with additional weighting methods to improve index robustness and ecological interpretation [55].
The main advantage of this approach lies in its ability to assign objective weights automatically based on the contribution rate of each factor to the principal components, thereby avoiding potential bias introduced by subjective judgment. Before band fusion and PCA, all ecological factors were normalized to a dimensionless range of [0, 1], ensuring consistency across variables and preventing weight imbalance during PCA caused by differences in units or scales [55]. The calculation formula is expressed as follows:
S I i = S i S min S max S min
Here, S I i represents the normalized value of a given indicator, S i is the raw value of that indicator at pixel I , and S max and S min are the maximum and minimum values of that indicator across all pixels in the original dataset.
PCA is then performed to obtain the principal component images PC1 through PC4.
R S E I = N NDVI , N Wet , N NDBSI , N LST
Here, N NDVI represents the normalized-difference vegetation index, reflecting vegetation growth conditions; N Wet denotes the normalized moisture component; N NDBSI is the normalized difference built-up and soil index; and N LST is the normalized land surface temperature.
As shown in Table 2, PC1 has an eigenvalue contribution rate of 73%, indicating its effectiveness in capturing the key information from the original variables. Therefore, PC1 is selected to construct RSEI. The resulting RSEI is then normalized to a [0, 1] range, where higher values indicate better ecological quality, and lower values signify higher ecological-degradation risk (Figure 4). This normalization procedure also ensures comparability across different temporal datasets [49].

2.2.2. Incorporation of Topographic Factors

To achieve efficient and high-precision extraction of ecotourism resources, key topographic elements are integrated into the RSEI. High-quality ecotourism resources—such as primary forests and canyon landscapes—possess dual attributes of “ecological superiority” and “topographic specificity”. A standalone RSEI model, however, cannot fully avoid two types of misclassification: areas of high ecological value in plains (e.g., farmland or reservoirs) may be falsely identified due to the absence of topographic constraints, whereas high-value landscapes on steep slopes may be missed if their ecological index is only moderate [55]. To overcome these limitations, the following topographic factors are introduced, along with a selection mechanism (Table 3).
The spatial distribution of terrain factors in Huzhou is shown in (Figure 5). Surface roughness, slope, and slope variability are generally higher in the western and southern mountainous areas, while lower values occur in the eastern plains. Surface curvature, cutting degree, topographic relief, and elevation variation also exhibit clear spatial differentiation corresponding to terrain morphology.

2.2.3. Selection of Optimal Terrain Factors

The distribution of ecotourism resources is primarily influenced by the natural environment, socio-economic conditions, policies, planning, transportation, and location. Additionally, terrain, climate, water distribution, and ecological quality play major roles within the natural environment [61]. To develop an efficient, low-cost, and high-accuracy approach for mining regional ecotourism resources—while simultaneously reducing misjudgments in ecological-environmental quality assessment caused by topographic effects—this study incorporates topographic factors into the traditional RSEI framework.
Although RSEI is primarily applied for regional ecological-quality assessment, its greenness (NDVI), wetness (Wet), and heat (LST) components can also be used to identify ecotourism resources. However, the dryness component (NDBSI) reflects soil exposure and built-up surfaces derived from spectral reflectance contrasts, which can introduce ambiguity in complex landscapes. Empirical studies have documented that NDBSI and similar bare-soil indices are effective for mapping soil exposure and impervious surfaces in urban and rural environments but can be confounded when spectral signatures of soil, built features, and other non-vegetated surfaces overlap. Specifically, the normalized difference bare soil index (NDBSI) was developed to distinguish bare soil from other surface types, but its performance is dependent on spectral separability and may be influenced by mixed pixels where bare soil spectra are similar to those of buildings, pavements, or dry vegetation, leading to overestimated dryness values in built-up or agricultural–forest fringe zones and underestimated ecological quality [62]. Conversely, in areas with strong absorption features such as river networks or water bodies, the NDBSI can be underestimated, resulting in overestimated ecological quality [63]. Similar limitations of NDBSI and related dryness indicators in ecological applications have been discussed in remote sensing ecological assessments, where soil and built-surface influences may distort overall ecological signals when used without auxiliary context [64,65]. Therefore, when identifying ecotourism resources, including the NDBSI index alone can lead to elevated index values in resource-scarce or mixed spectral areas and reduce recognition accuracy.
To improve identification precision, topographic factors are introduced as a substitute for the normalized dryness index. Although various topographic factors are available with differing levels of information content, all are derived from DEM data, which can lead to information redundancy in their physical importance. To minimize data redundancy and enhance recognition efficiency, it is necessary to select and assign weights to the most representative factors from seven macro- and micro-scale terrain variables, and on this basis construct a novel topographic index. The eigenvalues and eigenvectors of these seven terrain factors are presented in Table 4.
Among the seven terrain factors, PC1 exhibits a contribution rate of 77.572%, and is therefore used as the primary basis for constructing the subsequent terrain index. The correlation coefficients among the individual terrain factors are shown in Figure 6.
Since the correlation coefficient between slope and slope variability reached 0.626, indicating a relatively high correlation degree, and the PC1 loading of slope variability (0.38238) was largely encompassed by that of slope (0.70439), slope variability was excluded. The coefficient of elevation variation exhibited a high single-factor loading in PC3 (0.984); however, its overall contribution to all topographic factors was only 8.95%, and its physical meaning overlapped with that of topographic relief, leading to its elimination. Similarly, surface roughness was strongly correlated with slope (correlation coefficient = 0.918), and its PC1 loading was only 0.171, suggesting insufficient information content; thus, it was also excluded. Ultimately, four topographic factors—slope, topographic relief, terrain dissection, and curvature—were retained. Based on their loadings in PC1, these factors were weighted to construct a novel composite topographic indicator, the TCI, which was incorporated into the TARSEI. The weighting scheme is presented in Table 5, and the calculation method is shown in Equation (10).
T C I =   w 1 × s l o p e + w 2 × t o p o g r a p h i c   r e l i e f + w 3 × s u r f a c e   c u t t i n g   d e g r e e + w 4 × s u r f a c e   c u r v a t u r e
Here, w 1 to w 4 represent the weights of the respective terrain factors, as detailed in Table 5.

2.2.4. Development of TARSEI

After standardizing all indicators and performing principal component analysis, TARSEI was constructed using the following formula. The initial TARSEI, denoted as TARSEI 0 , was obtained as:
TARSEI 0   =   P C 1 [ f ( N D V I ,   W e t ,   T C I ,   L S T ) ]
To facilitate subsequent index application and enable comparison and measurement, TARSEI0 was also standardized:
T A R S E I   =   TARSEI 0 TARSEI 0 _ min / TARSEI 0 _ max TARSEI 0 _ min
TARSEI 0 represents the first principal component obtained from the PCA of the four indicators, where TARSEI 0 _ min and TARSEI 0 _ max are the minimum and maximum pixel values, respectively.
TARSEI represents the constructed Terrain-Adjusted Remote Sensing Ecological Index, with values ranging from [0, 1]. A higher TARSEI value indicates greater ecological-resource abundance.

3. Results

3.1. Assessment of Ecological Environment Quality in Complex Terrain Areas

Evaluating ecological-environment quality in complex-terrain areas demands innovative integration of multisource geospatial data and hybrid modeling approaches. In mountainous and hilly regions, three-dimensional habitat differentiation is pronounced, with water- and heat-redistribution, biogeochemical cycling, and biodiversity distribution all regulated by terrain gradients. This leads to systematic biases and application limitations when using traditional two-dimensional remote sensing ecological-assessment models [69]. These limitations reduce the accuracy of baseline ecological value estimation, constrain scientific identification of ecotourism resources, and compromise result reliability. In this study, the RSEI model was reconstructed by integrating key parameters, such as terrain complexity. Its core theoretical contribution lies in establishing a “terrain–ecology” synergistic response mechanism, thereby overcoming the spatial scale limitations of conventional methods in three-dimensional habitat analysis. This improvement holds practical importance for capitalizing on “green mountains and clear waters” as resource assets, scientifically planning mountain ecotourism development, and providing a quantifiable assessment framework and technical support for sustainable development in similar areas globally.
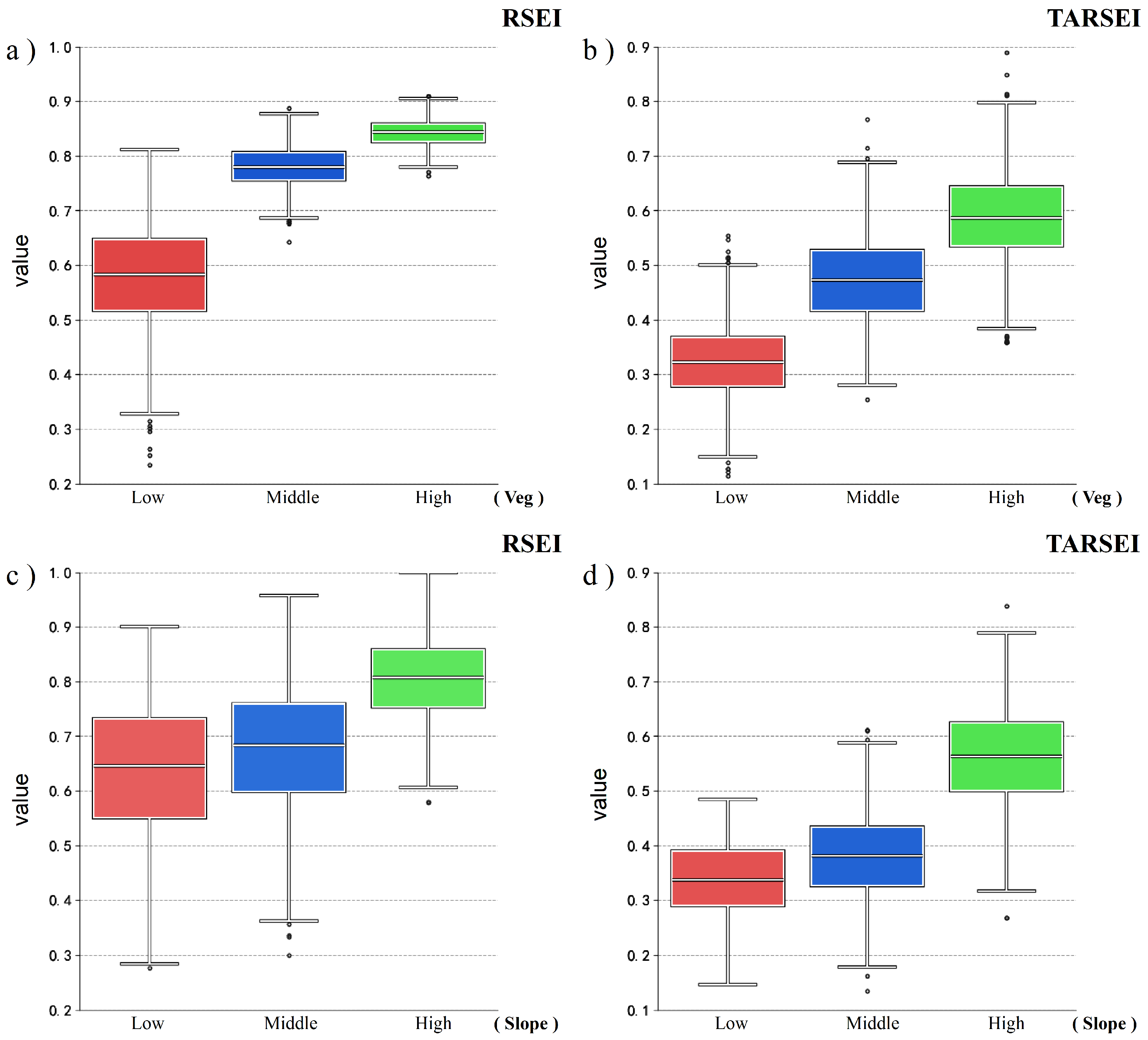
To achieve these objectives, the study employed NDVI-based vegetation zoning (low-vegetation area: 0–40% NDVI; medium-vegetation area: 40–75% NDVI; and high-vegetation area: 75–100% NDVI) and slope classification (flat: 0–5°; low slope: 5–15°; and high slope: >15°) for standardized profile analysis (Table 6).
This approach systematically revealed structural deficiencies of the traditional RSEI in complex terrain and demonstrated the effectiveness of TARSEI. Results in Huzhou, a highly vegetated region, indicate that RSEI exhibits clear biases. On one hand, plain areas are systematically overestimated: the mean RSEI of low-vegetation regions is 0.583, whereas TARSEI averages 0.319, a 45.3% difference (Figure 7). On the other hand, steep-slope areas show muted RSEI responses: slopes greater than 15° have a standard deviation of only 0.073. The former arises from NDBSI misclassifying urban bare soil as high-reflectance surfaces, while the latter reflects the masking of ecological differences between canyon rock slopes and forests, compressing the range to 0.1. This “dual-track distortion” demonstrates that RSEI without terrain integration struggles to accurately depict three-dimensional habitat differentiation.
By incorporating the TCI, TARSEI achieves three main breakthroughs. The first is the correction mechanism for urban plain areas. In low-vegetation regions comprising 12.3% of the study area, TARSEI mean values drop to 0.319 (ΔRSEI = −0.264), and the standard deviation decreases by 30.6% (from 0.098 to 0.068). For example, in the core area of Nanxun Ancient Town, RSEI is erroneously elevated to 0.71, misclassifying it as a high-quality ecological zone, whereas TARSEI correctly indicates 0.29, reflecting actual anthropogenic disturbance—consistent with POI-based tourism development verification. Second, TARSEI strengthens the terrain gradient response. In areas with slopes greater than 15°, the mean TARSEI rises to 0.568, a 66.5% increase compared with flat regions, and the standard deviation increases by 26.4% (0.092 vs. RSEI’s 0.073). This effectively captures degradation risk on bare-rock slopes in the Xitiaoxi canyon—for instance, TARSEI = 0.42, whereas RSEI = 0.79 (Figure 6). This response follows a gradient-driven variation equation:
Δ E I   =   0.78 · T C I · Slope x   R 2   =   0.91
Here, Δ EI   =   TARSEI RSEI , TCI represents the Terrain Complexity Index, and Slope x denotes the terrain-gradient variation rate.
Finally, in high NDVI (dense vegetation) areas, TARSEI provides a more refined analysis: the mean value drops to 0.590, avoiding the 0.84 saturation observed in RSEI, whereas the standard deviation rises to 0.0833—an increase of 251% compared to RSEI’s 0.024. This enables precise differentiation of habitat variations between the south-facing and north-facing slopes of Moganshan, with values of 0.61 and 0.58, respectively.

3.2. Ecotourism Resource Survey Capacity Assessment

To verify the capability of TARSEI in identifying ecotourism resources in complex-terrain areas, both TARSEI and RSEI were classified into five ecological quality levels using the Jenks natural breaks classification method. The Jenks natural breaks approach is a data-driven clustering technique widely applied in geographic and ecological research for dividing continuous spatial indices into meaningful classes based on inherent data structure, by minimizing within-class variance and maximizing between-class variance, thus optimizing homogeneity within each class and heterogeneity between classes. This method is commonly used in habitat suitability modelling and ecosystem assessments to define suitability or quality categories from continuous environmental variables [70]. It has also been employed in environmental pressure and vulnerability mapping where indices were discretized into multiple classes that reflect real spatial gradients in ecological or environmental conditions [71]. The natural breaks method is preferable in ecological mapping because it adapts to the intrinsic distribution features of spatial data rather than imposing arbitrary fixed thresholds.
In this study, the resulting five ecological quality grades were then spatially matched with 194 cleaned ecotourism point-of-interest (POI) records representing existing ecotourism sites in Huzhou to assess the relationships between index levels and real tourism resource locations. The use of five classes facilitates discrimination among low, medium, and high ecological suitability zones, enabling quantitative comparison of how TARSEI and RSEI differ in their alignment with known ecotourism sites. This classification scheme enhances the interpretability and practical relevance of the index outcomes by aligning statistical groupings with observed resource distributions, thereby supporting more robust comparative analysis in mapping ecological quality and ecotourism potential (Table 7).
Meanwhile, the actual area corresponding to each grade of TARSEI and the traditional RSEI was incorporated, and the identification accuracy difference between the two indices was quantified using the “density of POI” (number of POIs divided by the actual area of the corresponding grade). This approach highlights the advantage of TARSEI in responding to terrain constraints (Table 8).
The analysis results indicate that TARSEI demonstrates a significant advantage in identifying ecotourism resources (Figure 8). Examining the POI distribution, existing ecotourism sites in Huzhou are concentrated in the northwest, southwest, southern, and central regions. A total of 73.7% of POIs (143 points) fall within TARSEI grade III to grade V, with peaks at grade III (58 points, 29.9%) and grade IV (55 points, 28.4%), reflecting a preference for transitional zones that are “ecologically favorable and suitable for development”. Grade V areas account for 15.5% of POIs (30 points), aligning with the principle of balancing ecological conservation and development. In contrast, only 12 POIs (6.2%) are located in grade I areas, representing a 63.8% reduction in theoretical misclassification compared with RSEI. This distribution pattern confirms the assumption that “high-quality ecotourism resources depend on medium to high ecological baseline conditions,” and TARSEI captures this pattern with greater precision.
Compared with RSEI, it is evident that although RSEI contains more POIs in the high grades (grade IV and V, totaling 124 points), it suffers from a clear “area inflation” problem: the area of grade V ecological zones reaches 2376.63 km2—2.9 times that of TARSEI grade V—yet the density of POIs is only 0.032 per km2, the lowest among all grades except grade I. This inefficiency mainly arises from misclassification in the plains, such as the eastern Taihu lowland paddy fields, where RSEI, lacking terrain constraints, overestimates ecological values (mean >0.6, grade III), resulting in large farmland areas being assigned to high-value zones, whereas the actual POI density is only 0.006 per km2, forming “high-value but resource-empty” redundant regions.
TARSEI’s advantage is further demonstrated in the rational gradient of POI-density per unit area. Its density increases progressively from grade I (0.016) to grade IV (0.046), an 84% increase, consistent with the principle that “the higher the ecological baseline quality, the stronger the resource aggregation”. In contrast, RSEI density declines from grade III (0.036) to grade V (0.032), reflecting resource dilution caused by area inflation in high-value zones. This difference is particularly evident in the steep slopes of western Tianmu Mountain (slope > 15°). In TARSEI grade IV–V areas, the POI-density reaches 0.058 per km2, a 38.6% increase compared with RSEI in the same region (0.036). This accurately identifies scenic resources—such as the Xitiaoxi Canyon viewing platforms—which RSEI underestimates (0.67, grade III; TARSEI calibrated to 0.82, grade V). According to the confusion matrix, TARSEI achieves a POI recognition accuracy of 82.3% (160/194), a 34.2% improvement over RSEI (48.1%) with a Kappa coefficient of 0.79 (p < 0.001). Using grade IV & V as the target high-quality resource zone, TARSEI needs to cover only 2001.03 km2 (54.2% of the corresponding RSEI area) to capture 85 core POIs (43.8% of the total), achieving 1.83 times the per-unit-area detection efficiency of RSEI.
These results demonstrate that TARSEI, by coupling the terrain-complexity index, effectively resolves RSEI’s “area-inflation” and “density-inversion” issues in complex-terrain regions, enabling precise identification of ecotourism resources. Its advantages in POI-density and gradient distribution provide a more reliable quantitative basis for exploring ecotourism resources in mountainous and heterogeneous landscapes.

3.3. Exploration of Potential Ecotourism Resources

The identification of potential ecotourism resources in Huzhou is underpinned by TARSEI as the core methodological framework. The workflow adheres to a rigorous technical logic of “model evaluation–constraint filtering–spatial independence”. Based on TARSEI classification outcomes, grade IV (high-quality ecological zones) and grade V (top ecological zones) were delineated. These areas integrate NDVI, Wet, TCI, and LST, and their eco–terrain synergies were validated through principal component analysis (PC1 explaining 72.56% of variance, with NDVI, Wet, and TCI contributing positively).
To ensure compliance with ecological redline policies, strictly protected zones designated in Huzhou’s territorial spatial planning were excluded. Spatial distance analysis further eliminated areas within 2000 m of the 194 existing ecotourism POIs, thereby avoiding overlap with developed or planned development areas. Consequently, 28 potential ecotourism resource zones were identified (Table 9), covering approximately 520.1 km2 (8.9% of the total area). Notably, these zones exhibit 98.5% spatial congruence with the TARSEI high-grade areas (grade IV and V). Their distribution is illustrated in Figure 9.
According to the spatial distribution of potential areas, four major clusters were identified in the western, central, eastern, and northern parts of the region (Table 10). It should be noted that some potential areas are spatially adjacent but were not merged into single units because they are separated by highways. Their areas were therefore calculated as independent units. Mean, extreme, and sample-size values of TARSEI for each cluster clearly reflect regional differences.
Based on the measured area and ecological parameters of each potential zone, a graded statistical classification was conducted. Extra-large zones (>50 km2) comprised four units (6, 15, 17, and 27), accounting for 46.3% of the total potential area. These were all located within the TARSEI grade-5 core region and corresponded to ecological advantage zones characterized by high vegetation cover (NDVI of 0.884–0.905) and moderate terrain complexity (TCI of 0.245–0.280). Large zones (20–50 km2) included five units (4, 10, 24, 26, and 28), representing 24.6% of the total potential area, mostly situated in the transitional belt between TARSEI grades 4 and 5, combining high ecological quality with development feasibility. Small- and medium-sized zones (<20 km2) comprised 19 units, accounting for 29.1% of the total potential area. These were scattered across TARSEI grade-4 areas and along the margins of grade-5 regions. Although smaller in size, they preserved the landscape uniqueness shaped by micro-topographic units driven by terrain factors.
The spatial correspondence analysis further demonstrates that all 28 TARSEI-identified ecotourism potential zones exhibit high consistency with the officially designated territorial spatial planning framework of Huzhou, including ecological barriers, green corridors, wetland conservation zones, river ecological networks, lakeshore ecological belts, and mining restoration areas (Table 11). This strong spatial congruence confirms that TARSEI not only captures intrinsic ecological patterns but also aligns closely with existing governmental planning strategies. Based on this consistency, the identified potential development zones provide a scientifically grounded reference for future ecological-tourism planning. Moreover, the results of this study can be reported to relevant local authorities to support policy formulation and territorial governance.
The 28 potential ecotourism areas exhibit a clear relationship between NDVI and TCI, with a Pearson correlation coefficient of 0.573 (p = 0.001), indicating a significant, moderate positive correlation—higher terrain complexity is generally associated with higher vegetation coverage (Figure 10). This relationship is consistently observed across areas of different scales: in extra-large areas (>50 km2), NDVI ranges from 0.884 to 0.905, corresponding to a moderate TCI of 0.245–0.280, confirming this pattern; in large areas (20–50 km2), which represent a transitional zone between ecological quality and development feasibility, the NDVI–TCI combination also aligns with the overall trend; even in small- to medium-sized areas (<20 km2), despite their limited size, the landscape uniqueness induced by microtopography remains consistent with the general correlation.
In terms of spatial distribution, the potential areas are highly coupled with the terrain-regulated TARSEI, exhibiting distinct clustering patterns. Western mountainous cluster (eight potential areas; mean TARSEI = 0.79, range 0.65–0.89) is characterized by low-to-medium mountains (slope ≈ 6–18°, terrain-cutting degree ≈ 0.21). By assigning a higher weight to the slope factor (0.50), the model accurately delineates topographically constrained features such as canyons and bamboo forests, exemplified by units 1, 2, and 8.
Central hilly cluster (12 potential areas; mean TARSEI = 0.67, range 0.52–0.75) is located in the mountain–plain transitional zone, dominated by low hills (slope ≈ 5–15°, relative relief 100–300 m). The model uses TCI to balance ecological quality and development suitability, identifying ecologically favorable and topographically diverse hillslope and terrace units such as units 4, 5, and 6. Eastern plain edge cluster (four potential areas; mean TARSEI = 0.56, range 0.41–0.63) is constrained by flat terrain (slope ≈ 2–8°), where TCI effectively excludes redundant agricultural areas while retaining wetland and anthropogenic landscape mosaics, represented by units 3 and 9.
Northern industrial–mining restoration cluster (four potential areas; mean TARSEI = 0.62, range 0.48–0.71) is dominated by existing industrial–mining sites and surrounding hills, exhibiting recoverable ecological bases and optimizable landscape structures. The integration of TCI and NDVI enables unit identification with both ecological restoration and tourism potential, exemplified by units 18, 26, and 27.
Overall, the spatial patterns of the clusters are consistent with the NDVI–TCI relationship, representing “high NDVI–high terrain heterogeneity” in mountainous advantage areas, “ecologically favorable and topographically diverse” in hilly transitional zones, “wetland and human–nature composite areas” at plain edges after farmland removal, and “moderate NDVI–potentially enhanced landscape connectivity” in restored industrial–mining zones.
In summary, the identification and spatial characterization of potential ecotourism areas critically rely on the TARSEI model. By integrating terrain factors with ecological indicators, the model ensures high ecological baseline quality (TARSEI grade IV and V) while emphasizing terrain-driven landscape uniqueness through TCI (0.173–0.306). The mean TARSEI values across clusters range from 0.79 in the west to 0.56 in the east, reflecting spatial differentiation patterns. The significant, moderate positive correlation between NDVI and TCI (r = 0.573, p = 0.001) quantitatively reveals the intrinsic link between ecological parameters and terrain conditions, aligning with the ecological-geographical characteristics of clusters at different scales. Even when spatially adjacent, these areas are identified as independent units that accurately capture eco-topographic differences. This provides a solid quantitative basis for extracting potential ecotourism resources and for refined planning in complex-terrain regions.

4. Discussion

4.1. Deconstructing the Correlation Between TARSEI and Traditional Two-Dimensional Ecological Indicators

Clarifying the relationship between TARSEI and traditional ecological indicators is essential for verifying its applicability in ecological assessment of complex-terrain regions. The correlation coefficients of TARSEI with TCI, NDVI, and RSEI were 0.878, 0.832, and 0.870, respectively, providing a quantitative basis for analyzing the characteristics of ecosystems in complex terrain. These results demonstrate that the internal logic of TARSEI is highly consistent with actual environmental conditions (Figure 11).
The strong correlation between TARSEI and TCI highlights the decisive role of terrain complexity in shaping ecological baselines. In high-TCI areas such as the western Tianmu Mountain foothills in Huzhou (slope > 15°), steep terrain creates vertical climate gradients that support the stratified growth of evergreen broadleaf forests and bamboo groves. Simultaneously, the terrain naturally limits large-scale human activities, maintaining soil integrity and water conservation functions, with TARSEI values remaining stable at 0.75–0.85. In contrast, in low-TCI areas of the eastern plains (slope < 5°), intensive development has weakened ecosystem resilience, demonstrating that terrain complexity serves as a critical “protective shield” for ecological quality.
This terrain-regulated effect is further reflected in the synergistic relationship between TARSEI and NDVI. High-NDVI zones (>0.7) already indicate robust vegetation cover, but terrain-mediated factors—such as slope orientation and gradient differences—regulate water and thermal distribution, enhancing the ecological effectiveness of mountain vegetation. For example, mountainous areas in Anji County with high NDVI values exhibit superior community structure integrity and material cycling efficiency compared with plain areas with similar vegetation coverage. By integrating both vegetation and terrain factors, TARSEI accurately captures the “terrain–vegetation” synergistic-enhancement mechanism.
The significant agreement between TARSEI and RSEI underscores the value of terrain-based optimization. In flat plain regions, both indices produce similar results (difference < 0.05). However, in mountain–plain transitional zones (e.g., Deqing Hills), TARSEI identifies ecological advantages underestimated by RSEI. Although NDVI values are comparable to those in plain forested areas, terrain-induced features—such as avian habitats and microtopography-driven climate buffering—result in higher TARSEI values (0.72–0.78) than RSEI (0.65–0.70). This provides more precise spatial guidance for ecological conservation and township-level territorial spatial planning.

4.2. Optimization of TARSEI in Identifying Ecologically Sensitive Areas

In recent years, remote sensing-based ecological assessment methods have continuously evolved. The introduction of the TARSEI, which integrates TCI into traditional ecological indices, establishes a “terrain–ecology” dual-constraint mechanism, significantly enhancing the accuracy of ecologically sensitive area identification in complex-terrain regions. The TCI incorporates diverse terrain characteristics, including fractal dimension, terrain element entropy, roughness, volume-filling ratio, and slope, to comprehensively quantify the intricacies of undulating landscapes.
Research indicates that the remote sensing ecological index, enhanced by TCI, offers a finer representation of the spatial distribution patterns of ecological variables such as vegetation and soil in mountainous environments. This enhancement improves the detection precision of ecologically sensitive areas. In a case study of Huzhou, for instance, the ecological-conservation red lines defined in the city’s territorial spatial master plan (2021–2035) encompass a total area of 813.78 km2. However, the high ecological quality areas identified by TARSEI (grade IV and V) cover 2001 km2, with a spatial overlap rate of 40.7 %.
f = S Ecological   Reserve S High   value   of   TARSEI = 813.78 / 2001 = 40.7 %
S Ecological   Reserve represents the total area of ecological conservation red lines, and S High   value   of   TARSEI denotes the area covered by high-value TARSEI zones (grade IV and V).
The results indicate that high-value TARSEI areas not only fully encompass the designated ecological-conservation red lines but also identify additional potential ecologically sensitive areas. This provides a scientific basis for the “three-line delineation”, particularly in optimizing ecological red lines and guiding ecological restoration (Figure 12). Thus, the “terrain-ecology” dual-constraining mechanism significantly enhances TARSEI’s capacity to identify ecologically sensitive areas, especially in complex terrain regions like Huzhou.

4.3. Model Limitations and Application Challenges

Although TARSEI demonstrates excellent performance in ecological resource assessment in complex terrain areas, several limitations remain and deserve further investigation and improvement.
(1) Lack of development-suitability evaluation and socioeconomic constraints.
The present TARSEI framework focuses primarily on the natural ecological system derived from remote sensing observations and does not explicitly incorporate socioeconomic drivers such as land-use structure, infrastructure distribution, population density, or industrial layout [19]. This restricts the direct applicability of TARSEI for regional development planning and comprehensive human–environment interaction analysis.
In future work, the integration of socioeconomic factors will be pursued through multi-source data fusion strategies. While some fine-scale socioeconomic datasets are subject to confidentiality constraints, alternative solutions include the use of officially released statistical data, open government datasets, night-time light imagery, and POI-derived proxies to characterize human activity intensity. In addition, qualitative descriptions in territorial spatial-planning documents and policy reports can be quantitatively translated into spatial constraints and development-control layers, allowing TARSEI outputs to be more tightly coupled with practical planning and management requirements.
(2) Limitations of remote sensing data resolution and potential solutions.
The current implementation of TARSEI is based on Landsat imagery and DEM data with a spatial resolution of 30 m, which limits the ability to capture microtopographic features and fine-scale vegetation heterogeneity. This inevitably reduces sensitivity in highly fragmented landscapes and may introduce uncertainty in ecological indicators such as NDVI and Wet [72].
Future studies will therefore incorporate higher-resolution domestic satellite data, including the Gaofen series (e.g., GF-1, GF-2, GF-6, GF-7), ZY-3 stereo mapping data, and commercial constellations such as Jilin-1 and SuperView-1. These data provide meter- to sub-meter-level spatial resolution and high revisit frequency, enabling more accurate extraction of terrain structure, vegetation patterns, and ecological boundaries, thereby substantially enhancing TARSEI’s spatial sensitivity in complex mountain environments.
(3) Model generalization and methodological enhancement.
To further enhance the universality and practical applicability of TARSEI, additional research is required. Huzhou of Zhejiang Province was selected as a representative area for the development of TARSEI in this study. The results demonstrate that TARSEI effectively identifies potential ecotourism resource zones and ecologically sensitive protection areas, verifying its strong regional applicability. However, the current research area remains geographically limited, and the model’s performance has not yet been validated across broader and more diverse landscapes. Future research will therefore expand the study area to multiple regions with varying geomorphological and ecological characteristics, aiming to evaluate the generalizability and transferability of TARSEI under different spatial contexts. In addition, this study used remote sensing imagery from a single year and a single seasonal period, without fully considering the seasonal variations in surface vegetation and temperature. Subsequent research will incorporate multi-temporal and multi-seasonal datasets, integrating TARSEI into analyses of seasonal ecological dynamics. This approach will enable the development of a terrain-adjusted ecological index with improved temporal stability and phenological adaptability, providing more robust technical support for ecological monitoring and spatiotemporal evolution studies in complex terrain regions. Furthermore, incorporating deep learning or other machine learning methods is another important future research direction of this study. Deep learning has made significant progress in remote sensing image scene understanding, object detection, and classification tasks. By constructing large sample libraries to train networks, it can effectively enhance feature extraction capabilities [73]. Deep learning techniques could improve the construction process of TCI, using high-resolution remote sensing data (such as aerial photos and LiDAR point clouds) and models such as CNNs. This would enable the model to relearn and extract terrain-complexity features more effectively, producing an optimized TCI suited for complex terrain areas. Such improvements would enhance the evaluation accuracy and applicability of TARSEI in complex terrain regions. In addition, future research will introduce more comprehensive statistical validation frameworks to further enhance the robustness and interpretability of TARSEI. In particular, spatial statistical tools such as the Geographical Detector method [74] will be employed to quantitatively examine the explanatory power and interaction effects of terrain factors, ecological indicators, and human activities on ecotourism spatial patterns. This will allow a deeper understanding of the driving mechanisms underlying TARSEI and strengthen its scientific reliability for ecological management and policy applications.

5. Conclusions

Understanding ecological quality in complex terrain remains one of the most pressing challenges in remote sensing–based environmental assessment. Conventional indices such as RSEI often oversimplify terrain effects, leading to the overestimation of high-grade ecological zones and the underrepresentation of resource-rich yet topographically constrained areas. To overcome these limitations, we developed TARSEI, which explicitly incorporates terrain heterogeneity into ecological assessment. By introducing a TCI—derived from slope, cutting degree, relief, and curvature—TARSEI extends the traditional two-dimensional RSEI into a three-dimensional analytical framework, enabling more precise quantification of ecological quality in mountainous and heterogeneous landscapes. The main findings and validation outcomes of TARSEI are summarized as follows.
(1) Validation with 194 ecotourism points of interest (POIs) in Huzhou demonstrates that TARSEI captures ecological–resource linkages with much greater accuracy than RSEI. POI density increased progressively across TARSEI grades I–IV (from 0.016 to 0.046 POI/km2, an 84% rise), consistent with the principle that “the better the ecological background, the more concentrated the resources”. By contrast, high-grade RSEI zones suffered from “area inflation” and “resource dilution”, with grade-V density reaching only 0.032 POI/km2. In steep-slope areas (>15°), TARSEI identified grade-IV–V zones with a density of 0.058 POI/km2—38.6% higher than RSEI—successfully capturing key sites such as the Tianmu Mountain Gorge observation platform that RSEI underestimated. Statistical validation further confirmed TARSEI’s robustness: its spatial consistency with actual POI distribution reached 82.3%, representing a 34.2% improvement in identification efficiency compared with RSEI (κ = 0.79, p < 0.001). Beyond accuracy, TARSEI enhanced efficiency, covering 43.8% of core POIs with only 54.2% of the equivalent RSEI area, thereby boosting detection efficiency per unit area by 1.83-fold.
(2) Application of TARSEI to the Huzhou municipal territory identified 28 potential ecotourism zones with a total area of approximately 520.1 km2 (8.9% of the city). These zones showed 98.5% spatial congruence with TARSEI high-grade areas (grades IV–V) and clustered primarily in transitional belts characterized by both ecological integrity and development suitability. Aggregation peaks were observed in grade-III (58 zones) and grade-IV (55 zones) areas, underscoring the preference of high-quality ecotourism resources for environments that balance ecological quality with accessibility. Most zones were of moderate size (<20 km2) and scattered across marginal areas, whereas five larger zones (20–50 km2) were located in hilly belts, offering both conservation value and development potential. These spatial patterns corroborate the hypothesis that “premium ecotourism resources depend on medium-to-high ecological backgrounds” and highlight TARSEI’s precision in identifying development-ready ecotourism assets.
(3) Despite these advances, limitations remain. The resolution of input data constrains fine-scale outputs, the weighting of TCI components remains subjective, and the exclusion of socio-economic variables limits the comprehensiveness of development suitability assessments. Future research should address these gaps by integrating high-resolution LiDAR and aerial imagery, coupling ecological data with social media heat maps and tourist behavior analytics, and adopting deep learning approaches to enhance weight assignment. Such innovations will enable the construction of a coupled terrain–ecology–socio-economy framework, advancing both methodological rigor and practical applicability.
(4) Furthermore, the practical implications of TARSEI extend beyond methodological advancement and have direct relevance for ecological management, ecotourism planning, and policy-making. This research has been supported by the Natural Science Foundation of Zhejiang Province and is being developed in collaboration with regional water-resources planning agencies and ecological management authorities. Based on the results of this study, technical reports will be submitted to relevant government departments to support territorial spatial planning, ecological protection zoning, watershed management, and ecotourism development strategies. The TARSEI framework provides a scientifically grounded and operational tool for translating remote-sensing information into policy-relevant guidance, enabling evidence-based decision-making for sustainable land-use management and ecological governance in mountainous and complex-terrain regions.
In conclusion, TARSEI fundamentally redefines ecological assessment by embedding terrain complexity into a three-dimensional evaluative framework. Its verified spatial consistency of 84.3% underscores its reliability as a quantitative tool for ecotourism development and conservation in complex terrain regions. Beyond advancing the theoretical methodology of remote sensing–based ecological assessment, TARSEI provides a replicable and scalable pathway for territorial spatial governance and sustainable resource management. By extending its application across broader spatial scales and longer temporal horizons, TARSEI holds the potential to transform how we evaluate, conserve, and utilize ecological resources in topographically diverse landscapes worldwide.

Author Contributions

Conceptualization, Z.Y. and L.Z.; methodology, Z.Y.; software, Z.Y.; validation, Z.Y., X.J. and L.Z.; formal analysis, L.Z.; investigation, Z.Y.; resources, Z.Y. and X.J.; data curation, Z.Y.; writing—original draft preparation, Z.Y.; writing—review and editing, L.Z., X.J., B.Y., B.Z., T.H., X.T. and Y.Z.; visualization, Z.Y. and X.J.; supervision, L.Z.; project administration, L.Z.; funding acquisition, L.Z. All authors have read and agreed to the published version of the manuscript.

Funding

This research was supported by the Hangzhou Joint Fund of Zhejiang Provincial Natural Science Foundation of China under Grant No. LHZQN25D010001.

Data Availability Statement

Data will be made available on request.

Acknowledgments

We would like to thank the editors and reviewers for their reviews and valuable suggestions. During the preparation of this manuscript, the author used ChatGPT-4o/5.2 (by OpenAI) for the purpose of improving grammatical correctness, spelling, punctuation, and formatting of the text. After using these tools, the author reviewed and edited the content as needed and takes full responsibility for the final content of the publication.

Conflicts of Interest

The authors declare no conflicts of interest.

References

  1. Díaz, S.; Settele, J.; Brondízio, E.S.; Ngo, H.T.; Agard, J.; Arneth, A.; Balvanera, P.; Brauman, K.A.; Butchart, S.H.M.; Chan, K.M.A.; et al. Pervasive human-driven decline of life on Earth points to the need for transformative change. Science 2019, 366, eaax3100. [Google Scholar] [CrossRef] [PubMed]
  2. Xiong, L.; Li, R. Assessing and decoupling ecosystem services evolution in karst areas: A multi-model approach to support land management decision-making. J. Environ. Manag. 2024, 350, 119632. [Google Scholar] [CrossRef] [PubMed]
  3. Silva, P.S.; Bastos, A.; Libonati, R.; Rodrigues, J.A.; DaCamara, C.C. Impacts of the 1.5 °C global warming target on future burned area in the Brazilian Cerrado. For. Ecol. Manag. 2019, 446, 193–203. [Google Scholar] [CrossRef]
  4. Bätzing, W. The Alps—Profound changes in human uses present challenges to nature conservation. Nat. Und Landsch. 2017, 92, 398–406. [Google Scholar] [CrossRef]
  5. Iverson, S.J.; Field, C.; Don Bowen, W.; Blanchard, W. Quantitative Fatty Acid Signature Analysis: A New Method of Estimating Predator Diets. Ecol. Monogr. 2004, 74, 211–235. [Google Scholar] [CrossRef]
  6. Deodoro, S.C.; de Andrade Moral, R.; Fealy, R.; McCarthy, T.; Fealy, R. Using the surface scattering mechanism from dual-pol SAR data to estimate topsoil particle-sizefractions. Int. J. Appl. Earth Obs. Geoinf. 2024, 128, 103742. [Google Scholar] [CrossRef]
  7. Jakobsson, S.; Töpper, J.P.; Evju, M.; Framstad, E.; Lyngstad, A.; Pedersen, B.; Sickel, H.; Sverdrup-Thygeson, A.; Vandvik, V.; Velle, L.G.; et al. Setting reference levels and limits for good ecological condition in terrestrial ecosystems—Insights from a case study based on the IBECA approach. Ecol. Indic. 2020, 116, 106492. [Google Scholar] [CrossRef]
  8. Cohen, W.B.; Goward, S.N. Landsat’s Role in Ecological Applications of Remote Sensing. BioScience 2004, 54, 535–545. [Google Scholar] [CrossRef]
  9. Verhoef, W.; Bach, H. Simulation of Sentinel-3 images by four-stream surface–atmosphere radiative transfer modeling in the optical and thermal domains. Remote Sens. Environ. 2012, 120, 197–207. [Google Scholar] [CrossRef]
  10. Li, A.; Wang, A.; Liang, S.; Zhou, W. Eco-environmental vulnerability evaluation in mountainous region using remote sensing and GIS—A case study in the upper reaches of Minjiang River, China. Ecol. Model. 2006, 192, 175–187. [Google Scholar] [CrossRef]
  11. Pettorelli, N.; Laurance, W.F.; O’Brien, T.G.; Wegmann, M.; Nagendra, H.; Turner, W. Satellite remote sensing for applied ecologists: Opportunities and challenges. J. Appl. Ecol. 2014, 51, 839–848. [Google Scholar] [CrossRef]
  12. Atkinson, H.; Cristescu, B.; Marker, L.; Rooney, N. Habitat thresholds for successful predation under landscape change. Landsc. Ecol. 2022, 37, 2847–2860. [Google Scholar] [CrossRef]
  13. Li, Q.; Cao, R.; Zhu, J.; Fu, H.; Zhou, B.; Fang, X.; Jia, S.; Zhang, S.; Liu, K.; Li, Q. Learn then match: A fast coarse-to-fine depth image-based indoor localization framework for dark environments via deep learning and keypoint-based geometry alignment. ISPRS J. Photogramm. Remote Sens. 2023, 195, 169–177. [Google Scholar] [CrossRef]
  14. Xu, H.Q. A remote sensing index for assessment of regional ecological changes. Zhongguo Huanjing Kexue/China Environ. Sci. 2013, 33, 889–897. [Google Scholar]
  15. Rosbakh, S.; Auerswald, K.; Poschlod, P. Rising CO2 concentrations reduce nitrogen availability in alpine grasslands. Ecol. Indic. 2021, 129, 107990. [Google Scholar] [CrossRef]
  16. Dayaram, A.; Seeber, P.; Courtiol, A.; Soilemetzidou, S.; Tsangaras, K.; Franz, M.; McEwen, G.K.; Azab, W.; Kaczensky, P.; Melzheimer, J.; et al. Seasonal host and ecological drivers may promote restricted water as a viral vector. Sci. Total Environ. 2021, 773, 145446. [Google Scholar] [CrossRef]
  17. Liu, Y.; Li, H.; An, H.; Santagata, R.; Liu, X.; Ulgiati, S. Environmental and economic sustainability of key sectors in China’s steel industry chain: An application of the Emergy Accounting approach. Ecol. Indic. 2021, 129, 108011. [Google Scholar] [CrossRef]
  18. Ding, L.; Wu, H.; Lei, J.; Li, P.; Wang, L. Enhanced removal of hexavalent chromium and nitrate in aquifers by alkali-modified emulsified vegetable oil. J. Clean. Prod. 2023, 384, 135636. [Google Scholar] [CrossRef]
  19. Gong, X.; Li, T.; Wang, R.; Hu, S.; Yuan, S. Beyond the remote sensing ecological index: A comprehensive ecological quality evaluation using a Deep-Learning-Based remote sensing ecological index. Remote Sens. 2025, 17, 558. [Google Scholar]
  20. Wang, Z.; Chen, T.; Zhu, D.; Jia, K.; Plaza, A. RSEIFE: A new remote sensing ecological index for simulating the land surface eco-environment. J. Environ. Manag. 2023, 326, 116851. [Google Scholar] [CrossRef]
  21. Jin, W.; Li, H.; Wang, J.; Zhao, L.; Li, X.; Fan, W.; Chen, J. Continuous remote sensing ecological index (CRSEI): A novel approach for multitemporal monitoring of eco-environmental changes on large scale. Ecol. Indic. 2023, 154, 110739. [Google Scholar] [CrossRef]
  22. Guo, Y.; Zhan, M.; Xu, H.; Li, X.; Fang, J.; Zhou, X.; Lin, D.; Chen, W. MRSEILA: A modified remote sensing ecological index using local adaptability for enhancing ecological environment quality assessment. Ecol. Inform. 2025, 90, 103238. [Google Scholar] [CrossRef]
  23. Stüeken, E.E.; Kipp, M.A.; Koehler, M.C.; Buick, R. The evolution of Earth’s biogeochemical nitrogen cycle. Earth-Sci. Rev. 2016, 160, 220–239. [Google Scholar] [CrossRef]
  24. Yuan, X.; Guo, B. Dynamic Monitoring of the Ecological Vulnerability for Multi-Type Ecological Functional Areas during 2000–2018. Sustainability 2022, 14, 15987. [Google Scholar] [CrossRef]
  25. Guo, Z.; Liu, S.; Feng, K.; Kang, W.; Chen, X. Machine Learning-Based Remote Sensing Inversion of Non-Photosynthetic/Photosynthetic Vegetation Coverage in Desertified Areas and Its Response to Drought Analysis. Remote Sens. 2024, 16, 3226. [Google Scholar] [CrossRef]
  26. Zorzetto, E.; Malyshev, S.; Chaney, N.; Paynter, D.; Menzel, R.; Shevliakova, E. Effects of complex terrain on the shortwave radiative balance: A sub-grid-scale parameterization for the GFDL Earth System Model version 4.1. Geosci. Model Dev. 2023, 16, 1937–1960. [Google Scholar] [CrossRef]
  27. Wang, X. The Development Research of Ecotourism. In Proceedings of the 2010 International Conference on Management and Service Science, Wuhan, China, 24–26 August 2010; pp. 1–4. [Google Scholar]
  28. Fennell, D.A. A Content Analysis of Ecotourism Definitions. Curr. Issues Tour. 2001, 4, 403–421. [Google Scholar] [CrossRef]
  29. Balmford, A.; Beresford, J.; Green, J.; Naidoo, R.; Walpole, M.; Manica, A. A Global Perspective on Trends in Nature-Based Tourism. PLoS Biol. 2009, 7, e1000144. [Google Scholar] [CrossRef]
  30. Reichel, A.; Lowengart, O.; Milman, A. Rural tourism in Israel: Service quality and orientation. Tour. Manag. 2000, 21, 451–459. [Google Scholar] [CrossRef]
  31. Weaver, D.B. Ecotourism in the context of other tourism types. In The Encyclopedia of Ecotourism; CABI Publishing: New York, NY, USA, 2001; pp. 73–83. [Google Scholar] [CrossRef]
  32. Jiang, N.; Li, H.B.; Li, C.J.; Xiao, H.X.; Zhou, J.W. A Fusion Method Using Terrestrial Laser Scanning and Unmanned Aerial Vehicle Photogrammetry for Landslide Deformation Monitoring Under Complex Terrain Conditions. IEEE Trans. Geosci. Remote Sens. 2022, 60, 4707214. [Google Scholar] [CrossRef]
  33. Zhou, S.; Liang, Y.; He, H.; Wu, Z. Factors affecting vegetation succession after volcano eruptions. Chin. J. Ecol. 2016, 35, 234–242. [Google Scholar] [CrossRef]
  34. Sobhani, P.; Esmaeilzadeh, H.; Wolf, I.D.; Deljouei, A.; Marcu, M.V.; Sadeghi, S.M.M. Evaluating the ecological security of ecotourism in protected area based on the DPSIR model. Ecol. Indic. 2023, 155, 110957. [Google Scholar] [CrossRef]
  35. Dubayah, R.; Blair, J.B.; Goetz, S.; Fatoyinbo, L.; Hansen, M.; Healey, S.; Hofton, M.; Hurtt, G.; Kellner, J.; Luthcke, S.; et al. The Global Ecosystem Dynamics Investigation: High-resolution laser ranging of the Earth’s forests and topography. Sci. Remote Sens. 2020, 1, 100002. [Google Scholar] [CrossRef]
  36. Asner, G.P.; Brodrick, P.G.; Anderson, C.B.; Vaughn, N.; Knapp, D.E.; Martin, R.E. Progressive forest canopy water loss during the 2012–2015 California drought. Proc. Natl. Acad. Sci. USA 2016, 113, E249–E255. [Google Scholar] [CrossRef] [PubMed]
  37. Wu, M.; He, H.S.; Zong, S.; Tan, X.; Du, H.; Zhao, D.; Liu, K.; Liang, Y. Topographic Controls on Vegetation Changes in Alpine Tundra of the Changbai Mountains. Forests 2018, 9, 756. [Google Scholar] [CrossRef]
  38. Seyfried, M.; Flerchinger, G.; Bryden, S.; Link, T.; Marks, D.; McNamara, J. Slope and aspect controls on soil climate: Field documentation and implications for large-scale simulation of critical zone processes. Vadose Zone J. 2021, 20, e20158. [Google Scholar] [CrossRef]
  39. Xue, Y.; Zhu, X.; Wu, Z.; Duan, S.-B. Retrieval of Land Surface Temperature over Mountainous Areas Using Fengyun-3D MERSI-II Data. Remote Sens. 2023, 15, 5465. [Google Scholar] [CrossRef]
  40. Lipton, A.E. Effects of Slope and Aspect Variations on Satellite Surface Temperature Retrievals and Mesoscale Analysis in Mountainous Terrain. J. Appl. Meteorol. Climatol. 1992, 31, 255–264. [Google Scholar] [CrossRef]
  41. Wang, X.; Wang, X.; Jin, X.; Kou, L.; Hou, Y. Evaluation and driving force analysis of ecological environment in low mountain and hilly regions based on optimized ecological index. Sci. Rep. 2024, 14, 24570. [Google Scholar] [CrossRef]
  42. Gao, Y.G.; Li, Y.H.; Xu, H.Q. Assessing Ecological Quality Based on Remote Sensing Images in Wugong Mountain. Earth Space Sci. 2022, 9, e2021EA001918. [Google Scholar] [CrossRef]
  43. Guo, Z.; Xu, H.; Ma, J.; Ning, H.; Shen, J.; Zhang, Z. Construction of three-dimensional remote sensing ecological index (TRSEI) based on stereopair images: A case study of Miaodao Archipelago in China. Ecol. Indic. 2024, 159, 111737. [Google Scholar] [CrossRef]
  44. Newton, J.; Franklin, A. Delivering sustainable communities in China: Using a sustainable livelihoods framework for reviewing the promotion of “ecotourism” in Anji. Local Environ. 2011, 16, 789–806. [Google Scholar] [CrossRef]
  45. Han, F.; Xu, J.; Yu, C.; Tan, S.; Shi, Y.; Li, L.; Li, M. Spatiotemporal dynamics of tourism climate comfort and its implications for tourism development in the Yangtze River Delta. Ecol. Indic. 2025, 179, 114220. [Google Scholar] [CrossRef]
  46. Ge, Q.S.; Dai, J.H.; Liu, J.; Zhong, S.Y.; Liu, H.L. The effect of climate change on the fall foliage vacation in China. Tour. Manag. 2013, 38, 80–84. [Google Scholar] [CrossRef]
  47. Yu, P.; Yang, X.; Guo, Q.; Guan, J.; Chen, G. Spatial distribution characteristics and influencing factors of China martial arts schools based on Baidu map API. PloS ONE 2025, 20, e0314588. [Google Scholar] [CrossRef] [PubMed]
  48. Tucker, C.J. Red and photographic infrared linear combinations for monitoring vegetation. Remote Sens. Environ. 1979, 8, 127–150. [Google Scholar] [CrossRef]
  49. Xu, H.; Wang, Y.; Guan, H.; Shi, T.; Hu, X. Detecting Ecological Changes with a Remote Sensing Based Ecological Index (RSEI) Produced Time Series and Change Vector Analysis. Remote Sens. 2019, 11, 2345. [Google Scholar] [CrossRef]
  50. Bouhennache, R.; Bouden, T.; Taleb-Ahmed, A.; Cheddad, A. A new spectral index for the extraction of built-up land features from Landsat 8 satellite imagery. Geocarto Int. 2018, 34, 1531–1551. [Google Scholar] [CrossRef]
  51. Sarkar, S.; Kafatos, M. Interannual variability of vegetation over the Indian sub-continent and its relation to the different meteorological parameters. Remote Sens. Environ. 2004, 90, 268–280. [Google Scholar] [CrossRef]
  52. USGS. Landsat Collection 2 Level-2 Science Products Landsat Missions. Available online: https://www.usgs.gov/landsat-missions/landsat-collection-2-level-2-science-products (accessed on 7 May 2025).
  53. Mondal, J.; Basu, T.; Das, A. Application of a novel remote sensing ecological index (RSEI) based on geographically weighted principal component analysis for assessing the land surface ecological quality. Environ. Sci. Pollut. Res. 2024, 31, 32350–32370. [Google Scholar] [CrossRef] [PubMed]
  54. Xu, H. A remote sensing urban ecological index and its application. Shengtai Xuebao/Acta Ecol. Sin. 2013, 33, 7853–7862. [Google Scholar]
  55. Liu, Y.; Xiang, W.; Hu, P.; Gao, P.; Zhang, A. Evaluation of Ecological Environment Quality Using an Improved Remote Sensing Ecological Index Model. Remote Sens. 2024, 16, 3485. [Google Scholar] [CrossRef]
  56. Jiang , C.; Fang, H.; Wei, S. Review of Land Surface Roughness Parameterization Study. Adv. Earth Sci. 2012, 27, 292–303. [Google Scholar]
  57. Jian, X. Slope visualisation and stability study using geographic information science. Geotech. Res. 2024, 11, 112–122. [Google Scholar] [CrossRef]
  58. Dawson, C.; Ashmore, P.; Corry, R. Evaluating river morphology change with a geomorphic form variation approach. Earth Surf. Process. Landf. 2024, 49, 855–874. [Google Scholar] [CrossRef]
  59. Xiong, Y.; Li, Y.; Xiong, S.; Wu, G.; Deng, O. Multi-scale spatial correlation between vegetation index and terrain attributes in a small watershed of the upper Minjiang River. Ecol. Indic. 2021, 126, 107610. [Google Scholar] [CrossRef]
  60. Piou, C.; Berger, U.; Hildenbrandt, H.; Grimm, V.; Diele, K.; D’Lima, C. Simulating cryptic movements of a mangrove crab: Recovery phenomena after small scale fishery. Ecol. Model. 2007, 205, 110–122. [Google Scholar] [CrossRef]
  61. Abdurakhmanova, A.; Ahrorov, F. The economic and social impacts of ecotourism on local employment and income: A case study of rural Samarkand, Uzbekistan. Reg. Sci. Policy Pract. 2025, 17, 100180. [Google Scholar] [CrossRef]
  62. Liu, Y.; Meng, Q.; Zhang, L.; Wu, C. NDBSI: A normalized difference bare soil index for remote sensing to improve bare soil mapping accuracy in urban and rural areas. CATENA 2022, 214, 106265. [Google Scholar] [CrossRef]
  63. Wang, X.; Zhang, S.; Zhao, X.; Shi, S.; Xu, L. Exploring the Relationship between the Eco-Environmental Quality and Urbanization by Utilizing Sentinel and Landsat Data: A Case Study of the Yellow River Basin. Remote Sens. 2023, 15, 743. [Google Scholar]
  64. Lian, Z.; Hao, H.; Zhao, J.; Cao, K.; Wang, H.; He, Z. Evaluation of Remote Sensing Ecological Index Based on Soil and Water Conservation on the Effectiveness of Management of Abandoned Mine Landscaping Transformation. Int. J. Environ. Res. Public Health 2022, 19, 9750. [Google Scholar] [CrossRef] [PubMed]
  65. Guo, L.; Xu, C.; Wu, H.; Shi, M.; Fan, Y. The Decisive Influence of the Improved Remote Sensing Ecological Index on the Terrestrial Ecosystem in Typical Arid Areas of China. Land 2024, 13, 2162. [Google Scholar] [CrossRef]
  66. Aguarón, J.; Moreno-Jiménez, J.M.a. Local stability intervals in the analytic hierarchy process. Eur. J. Oper. Res. 2000, 125, 113–132. [Google Scholar] [CrossRef]
  67. Doan, N.A.V.; De Smet, Y. An alternative weight sensitivity analysis for PROMETHEE II rankings. Omega 2018, 80, 166–174. [Google Scholar] [CrossRef]
  68. Hani, H.M.; Nour El Din, M.M.; Khalifa, A.; Elalfy, E. Sensitivity Analysis for Multi-Criteria Decision Analysis Framework for Site Selection of Aquifer Recharge with Reclaimed Water. Sustainability 2023, 15, 5399. [Google Scholar] [PubMed]
  69. Lausch, A.; Schaepman, M.E.; Skidmore, A.K.; Truckenbrodt, S.C.; Hacker, J.M.; Baade, J.; Bannehr, L.; Borg, E.; Bumberger, J.; Dietrich, P.; et al. Linking the Remote Sensing of Geodiversity and Traits Relevant to Biodiversity—Part II: Geomorphology, Terrain and Surfaces. Remote Sens. 2020, 12, 3690. [Google Scholar] [CrossRef]
  70. Angelieri, C.C.S.; Adams-Hosking, C.; Ferraz, K.M.P.M.d.B.; de Souza, M.P.; McAlpine, C.A. Using Species Distribution Models to Predict Potential Landscape Restoration Effects on Puma Conservation. PLoS ONE 2016, 11, e0145232. [Google Scholar] [CrossRef]
  71. Nasr, M.; Orwin, J.F. A geospatial approach to identifying and mapping areas of relative environmental pressure on ecosystem integrity. J. Environ. Manag. 2024, 370, 122445. [Google Scholar] [CrossRef]
  72. Jiang, Z.; Huete, A.R.; Chen, J.; Chen, Y.; Li, J.; Yan, G.; Zhang, X. Analysis of NDVI and scaled difference vegetation index retrievals of vegetation fraction. Remote Sens. Environ. 2006, 101, 366–378. [Google Scholar] [CrossRef]
  73. Li, H.; Ye, W.; Liu, J.; Tan, W.; Pirasteh, S.; Fatholahi, S.N.; Li, J. High-Resolution Terrain Modeling Using Airborne LiDAR Data with Transfer Learning. Remote Sens. 2021, 13, 3448. [Google Scholar] [CrossRef]
  74. Wang, J.F.; Li, X.H.; Christakos, G.; Liao, Y.L.; Zhang, T.; Gu, X.; Zheng, X.Y. Geographical Detectors-Based Health Risk Assessment and its Application in the Neural Tube Defects Study of the Heshun Region, China. Int. J. Geogr. Inf. Sci. 2010, 24, 107–127. [Google Scholar] [CrossRef]
Figure 1. Technology roadmap.
Figure 1. Technology roadmap.
Remotesensing 18 00834 g001
Figure 2. Geographical location map of the study area (Huzhou). (a) Local of Zhejiang Province in China. (b) Location of Huzhou in Zhejiang Province. (c) DEM of Huzhou.
Figure 2. Geographical location map of the study area (Huzhou). (a) Local of Zhejiang Province in China. (b) Location of Huzhou in Zhejiang Province. (c) DEM of Huzhou.
Remotesensing 18 00834 g002
Figure 3. Factor images of the RSEI in Huzhou: (a) NDVI, (b) Wet, (c) NDBSI, and (d) LST.
Figure 3. Factor images of the RSEI in Huzhou: (a) NDVI, (b) Wet, (c) NDBSI, and (d) LST.
Remotesensing 18 00834 g003
Figure 4. Landsat 8 OLI 654 band RGB false-color composite image of Huzhou, China, (left) and the corresponding Remote Sensing Ecological Index map (right).
Figure 4. Landsat 8 OLI 654 band RGB false-color composite image of Huzhou, China, (left) and the corresponding Remote Sensing Ecological Index map (right).
Remotesensing 18 00834 g004
Figure 5. Map of terrain factors in Huzhou: (a) surface roughness, (b) slope, (c) slope variability, (d) surface curvature, (e) surface cutting degree, (f) topographic relief, and (g) elevation variation coefficient.
Figure 5. Map of terrain factors in Huzhou: (a) surface roughness, (b) slope, (c) slope variability, (d) surface curvature, (e) surface cutting degree, (f) topographic relief, and (g) elevation variation coefficient.
Remotesensing 18 00834 g005
Figure 6. Correlation coefficients of various topographic factors in Huzhou: (a) surface curvature, (b) slope variability, (c) slope, (d) elevation variation coefficient, (e) topographic relief, (f) surface cutting degree, and (g) surface roughness.
Figure 6. Correlation coefficients of various topographic factors in Huzhou: (a) surface curvature, (b) slope variability, (c) slope, (d) elevation variation coefficient, (e) topographic relief, (f) surface cutting degree, and (g) surface roughness.
Remotesensing 18 00834 g006
Figure 7. Distribution of RSEI and TARSEI values under different vegetation and slope classes in Huzhou. Panels (a,b) show the variation of RSEI and TARSEI across low-, medium-, and high-vegetation zones, while panels (c,d) illustrate their distributions under low-, medium-, and high-slope conditions. Abbreviations: RSEI—Remote Sensing Ecological Index; TARSEI—Terrain-Adjusted Remote Sensing Ecological Index; Veg—vegetation coverage; Slope—terrain inclination (°).
Figure 7. Distribution of RSEI and TARSEI values under different vegetation and slope classes in Huzhou. Panels (a,b) show the variation of RSEI and TARSEI across low-, medium-, and high-vegetation zones, while panels (c,d) illustrate their distributions under low-, medium-, and high-slope conditions. Abbreviations: RSEI—Remote Sensing Ecological Index; TARSEI—Terrain-Adjusted Remote Sensing Ecological Index; Veg—vegetation coverage; Slope—terrain inclination (°).
Remotesensing 18 00834 g007
Figure 8. Classification maps of RSEI and TARSEI in Huzhou (left) and kernel density distribution of ecotourism POIs (right). Panels (a,b) show the spatial patterns of RSEI and TARSEI, respectively, classified into five ecological quality levels from low (red) to high (yellow). Panel (c) illustrates the kernel density distribution of ecotourism points of interest (POIs), where warmer colors indicate higher concentration of tourism resources, mainly clustered in Anji District and Deqing County. Abbreviations: RSEI—Remote Sensing Ecological Index; TARSEI—Terrain-Adjusted Remote Sensing Ecological Index; POI—Point of Interest.
Figure 8. Classification maps of RSEI and TARSEI in Huzhou (left) and kernel density distribution of ecotourism POIs (right). Panels (a,b) show the spatial patterns of RSEI and TARSEI, respectively, classified into five ecological quality levels from low (red) to high (yellow). Panel (c) illustrates the kernel density distribution of ecotourism points of interest (POIs), where warmer colors indicate higher concentration of tourism resources, mainly clustered in Anji District and Deqing County. Abbreviations: RSEI—Remote Sensing Ecological Index; TARSEI—Terrain-Adjusted Remote Sensing Ecological Index; POI—Point of Interest.
Remotesensing 18 00834 g008
Figure 9. Spatial distribution map of ecotourism resource potential area in Huzhou (The numbers in the figure correspond on Table 9).
Figure 9. Spatial distribution map of ecotourism resource potential area in Huzhou (The numbers in the figure correspond on Table 9).
Remotesensing 18 00834 g009
Figure 10. Distribution of average NDVI and TCI across 28 potential areas: (a) NDVI distribution colored by corresponding TCI values, and (b) the correlation between average NDVI and average TCI. Both NDVI and TCI are dimensionless indices derived from remote-sensing data. Abbreviations: NDVI—Normalized Difference Vegetation Index; TCI—Terrain Complexity Index.
Figure 10. Distribution of average NDVI and TCI across 28 potential areas: (a) NDVI distribution colored by corresponding TCI values, and (b) the correlation between average NDVI and average TCI. Both NDVI and TCI are dimensionless indices derived from remote-sensing data. Abbreviations: NDVI—Normalized Difference Vegetation Index; TCI—Terrain Complexity Index.
Remotesensing 18 00834 g010
Figure 11. Correlation analysis of TARSEI, RSEI, and their sub-indicators. The matrix shows Pearson correlation coefficients among the composite indices (TARSEI and RSEI) and their component factors. Warmer colors indicate positive correlations, while cooler colors indicate negative correlations; color intensity represents correlation strength. Abbreviations: TARSEI—Terrain-Adjusted Remote Sensing Ecological Index; RSEI—Remote Sensing Ecological Index; NDVI—Normalized Difference Vegetation Index; LST—Land Surface Temperature; NDSI—Normalized Difference Soil Index; TCI—Terrain Complexity Index; WET—Tasseled Cap Wetness.
Figure 11. Correlation analysis of TARSEI, RSEI, and their sub-indicators. The matrix shows Pearson correlation coefficients among the composite indices (TARSEI and RSEI) and their component factors. Warmer colors indicate positive correlations, while cooler colors indicate negative correlations; color intensity represents correlation strength. Abbreviations: TARSEI—Terrain-Adjusted Remote Sensing Ecological Index; RSEI—Remote Sensing Ecological Index; NDVI—Normalized Difference Vegetation Index; LST—Land Surface Temperature; NDSI—Normalized Difference Soil Index; TCI—Terrain Complexity Index; WET—Tasseled Cap Wetness.
Remotesensing 18 00834 g011
Figure 12. Map of Huzhou protected area and TARSEI high-value area.
Figure 12. Map of Huzhou protected area and TARSEI high-value area.
Remotesensing 18 00834 g012
Table 1. Data sources.
Table 1. Data sources.
DatasetsResolutionTemporal
Coverage
Source
Landsat 8 OLI_TIRS30 m27 September 2021 (scene date)http://www.gscloud.cn (accessed on 9 February 2025)
ASTER GDEM v330 m1 March 2000 to 30 November 2013https://search.earthdata.nasa.gov/search (accessed on 9 February 2025)
POI of Ecotourism /11 April 2025https://lbsyun.baidu.com/products/map (accessed on 11 April 2025)
Ecological Conservation Area/28 July 2024https://huzgt.huzhou.gov.cn (accessed on 18 May 2025)
Note: Ecological indicators used in this study, including NDVI, Wet, NDBSI, and LST, were not obtained as independent products but were derived from the Landsat 8 OLI/TIRS imagery listed in this table using standard physical retrieval algorithms following USGS guidelines.
Table 2. Principal component loadings of the four ecological indicators (NDVI, Wet, NDBSI, and LST) used to construct the Landform-Adjusted Remote Sensing Ecological Index (LARSEI). PC1 (mainly with high positive NDVI and negative NDBSI and LST loadings) represents overall ecological quality dominated by vegetation greenness and low surface heat and dryness, explaining 73.26% of the total variance. PC2 is characterized by high LST and NDBSI loadings, indicating thermal-dryness conditions. PC3 mainly reflects surface dryness variability, while PC4 is associated with surface moisture (Wet). Abbreviations: NDVI—Normalized Difference Vegetation Index; Wet—Tasseled Cap wetness; NDBSI—Normalized Difference Built-up and Soil Index; LST—Land Surface Temperature.
Table 2. Principal component loadings of the four ecological indicators (NDVI, Wet, NDBSI, and LST) used to construct the Landform-Adjusted Remote Sensing Ecological Index (LARSEI). PC1 (mainly with high positive NDVI and negative NDBSI and LST loadings) represents overall ecological quality dominated by vegetation greenness and low surface heat and dryness, explaining 73.26% of the total variance. PC2 is characterized by high LST and NDBSI loadings, indicating thermal-dryness conditions. PC3 mainly reflects surface dryness variability, while PC4 is associated with surface moisture (Wet). Abbreviations: NDVI—Normalized Difference Vegetation Index; Wet—Tasseled Cap wetness; NDBSI—Normalized Difference Built-up and Soil Index; LST—Land Surface Temperature.
IndicatorsPC1PC2PC3PC4
NDVI0.873480.471920.041110.11242
Wet0.01295−0.267140.420380.86704
NDBSI−0.249490.41003−0.731280.48462
LST−0.417880.733350.53556−0.02747
Eigenvalue0.010850.002720.001180.00005
Eigenvalue contribution73.261818.40037.98360.3544
Table 3. Topographic factor indices and descriptions of their key characteristics used to construct the Terrain Complexity Index (TCI). These indicators quantify different aspects of surface morphology derived from the DEM, including micro-scale roughness, slope and curvature features, incision intensity, terrain relief, and relative elevation variability. Abbreviations: DEM—Digital Elevation Model; R sd —surface roughness; S—slope; H—surface curvature; Di—surface cutting degree; RF—topographic relief; ECV—elevation variation coefficient.
Table 3. Topographic factor indices and descriptions of their key characteristics used to construct the Terrain Complexity Index (TCI). These indicators quantify different aspects of surface morphology derived from the DEM, including micro-scale roughness, slope and curvature features, incision intensity, terrain relief, and relative elevation variability. Abbreviations: DEM—Digital Elevation Model; R sd —surface roughness; S—slope; H—surface curvature; Di—surface cutting degree; RF—topographic relief; ECV—elevation variation coefficient.
IndicatorsFormulaDescription
Surface roughness R sd = 1 N i = 1 N z i μ z 2 This factor quantifies deviation in elevation of surface units from an ideal plane (microscale geomorphic undulation), representing surface resistance to flow (wind/water drag) and energy-exchange efficiency (thermal/frictional) [56]. Core model, based on the standard deviation method using DEM data, calculates elevation of the i-th pixel z i (meters) within the moving window, dynamic mean elevation μ z , and total number of pixels N.
Slope S = arctan z x 2 + z y 2 × 180 π This refers to the slope angle of a micro-topographic surface unit relative to the horizontal plane. This value is calculated from DEM and primarily represents direction of maximum elevation change (slope aspect) and rate of change (slope magnitude) at the specific point. z x and z y denote elevation change rates along east–west and north–south planar coordinates, respectively [56].
Slope variation Roughness = 1 z x 2 + z y 2 This refers to the slope change rate along a specific direction (typically the direction of maximum change) per unit distance. Calculated from DEM, it primarily represents the curvature of the terrain profile at that point (concave or convex characteristics). z x 2 and z y 2 denote slope change rates in the east–west and north–south directions, respectively [57].
Surface curvature H = 1 + q 2 r 2 pqs + 1 + p 2 t 2 1 + p 2 + q 2 3 2 This refers to a measure of the overall convexity and concavity intensity at a given point on the surface. Here, p and q represent the slopes in the east–west and north–south directions, r and t denote the curvatures in the east–west and north–south directions, and s indicates slope torsion. After removing inclination effects, H > 0 indicates a convex surface, while H < 0 indicates a concave surface. This metric is commonly used in modeling soil erosion and landslide susceptibility [56].
Surface cutting degree D i   =   H mean H min Surface incision intensity D i characterizes local curvature fluctuations, where H mean is the mean curvature within the analysis window and H min is the minimum curvature in the window. Higher values indicate more severely fragmented local terrain [58].
Topographic relief RF   =   H max H min The terrain relief represents the difference between elevation extremes in a region, where H max and H min are the maximum and minimum elevations within the window, respectively. Larger values indicate greater vertical variation on the surface [59].
Elevation variation coefficient ECV   =   σ μ   ×   100 % The elevation coefficient of variation quantifies the relative intensity of terrain undulation. Here, σ represents the standard deviation of elevation within the analysis window, and μ denotes mean elevation of the window. Higher values indicate greater dispersion of surface elevations [60].
Table 4. Eigenvalues and eigenvectors of topographic factors in Huzhou.
Table 4. Eigenvalues and eigenvectors of topographic factors in Huzhou.
Terrain Factor PC1PC2PC3PC4PC5PC6PC7
Curvature 0.001760.018090.015350.920220.343050.110180.15102
Slope variability 0.382380.906970.159900.019010.008980.067720.02445
Slope 0.704390.276830.019450.193730.597180.132230.12302
Height variation coefficient 0.006390.173050.983840.025740.031110.013280.01654
Topographic relief 0.462370.173200.030870.052600.465900.030920.73108
Surface cutting degree 0.338580.144240.056400.330690.544030.239740.63133
Surface roughness 0.170720.140350.041350.050110.107770.952460.16775
Eigenvalue 0.025260.003700.002920.000340.000180.000110.00005
Eigenvalue contribution rate77.572411.34978.95381.04960.56410.34550.1649
Table 5. Weights of the Terrain Complexity Index (TCI) factors and their calculation basis.
Table 5. Weights of the Terrain Complexity Index (TCI) factors and their calculation basis.
FactorsWeight Calculation Basis
Slope0.50PC1 dominant allocation with robust adjustment. The explanatory power of PC1 is 77.57%, and slope shows the highest PC1 loading (≈0.704). Based on the squared loading ratio of the three main factors, the initial quota was ≈0.571. To reduce multicollinearity amplification and enhance robustness, the weight was adjusted in increments of 0.05 and set to 0.50.
Topographic relief0.30PC1 secondary dominance. Loading ≈ 0.462, squared contribution ≈ 0.259, initial quota ≈ 0.246. To reflect its independent role in medium-scale amplitude variation, the weight was increased in increments of 0.05 and set to 0.30.
Surface cutting degree0.15PC1 minor contribution. Loading ≈ 0.339, squared contribution ≈ 0.139, initial quota ≈ 0.132. To ensure that valley dissection information was not neglected and to maintain a strong–medium–weak hierarchy among factors, the weight was increased in increments of 0.05 and set to 0.15.
Surface curvature0.05Curvature contributed minimally to PC1 but exhibited a high loading in PC4 (≈0.92), reflecting micro-topographic features. To incorporate detailed information outside PC1 while suppressing noise sensitivity, a robust baseline weight of 0.05 was assigned.
Note: The weight assignment followed a three-step procedure of “PC1 dominance + high-frequency baseline + robust quantization”. First, a baseline weight of 0.05 was reserved for curvature to retain high-order principal component information that is not captured by PC1. Second, the remaining 0.95 weight was distributed among slope, topographic relief, and terrain dissection according to their squared loadings in PC1, yielding initial continuous quotas of 0.571, 0.246, and 0.132, respectively. Finally, to improve interpretability and facilitate reproducible robustness verification, the PCA-derived continuous weights were reported using a 0.05 discretization step (i.e., rounding to the nearest 0.05). This discretization is consistent with established practices in weight stability and sensitivity analysis in multi-criteria decision-making, where small bounded perturbations of weights are examined to ensure ranking and spatial-pattern robustness [66,67]. Similar sensitivity-based validation frameworks have also been widely adopted in GIS-based ecological suitability and environmental assessment, where conclusions must remain stable under minor weight fluctuations [68]. Under this robust quantization scheme, the final weights were determined as slope (0.50), topographic relief (0.30), terrain dissection (0.15), and curvature (0.05).
Table 6. Classification ranges of NDVI and slope used for vegetation and terrain zoning in Huzhou. The value ranges correspond to the three ecological levels—low, middle, and high—applied in standardized profile analysis. NDVI (%) and slope (°) thresholds are consistent with the vegetation and topographic classifications described in the main text.
Table 6. Classification ranges of NDVI and slope used for vegetation and terrain zoning in Huzhou. The value ranges correspond to the three ecological levels—low, middle, and high—applied in standardized profile analysis. NDVI (%) and slope (°) thresholds are consistent with the vegetation and topographic classifications described in the main text.
LowMiddleHigh
NDVI (%)0–4040–7070–100
Slope (°)0–55–1515–90
Table 7. POI capacity of each ecological grade.
Table 7. POI capacity of each ecological grade.
TARSEI RatingGrade IGrade IIGrade IIIGrade IVGrade V
Ecological quality descriptionEcological degradation areaEcological restoration areaEcologically good areaQuality ecological zonesTop ecological zone
Number of POIs1239585530
Proportion6.2%20.1%29.9%28.4%15.5%
Table 8. Number and density of POI in each ecological grade.
Table 8. Number and density of POI in each ecological grade.
TARSEIRSEI
Ecological GradeArea
(km2)
Number of POIDensity of POI (per km2)Area (km2)Number of POIDensity of POI (per km2)
I728.12120.016437.4880.018
II1313.88390.030739.03270.037
III1768.07580.033963.08350.036
IV1188.08550.0461315.88480.036
V812.95300.0372376.63760.032
Table 9. Statistical table of potential ecotourism resource distribution area in Huzhou.
Table 9. Statistical table of potential ecotourism resource distribution area in Huzhou.
NumberName of Potential AreaArea (km2)NumberName of Potential AreaArea (km2)
1Zhangcun Town-Daling10.1115Yashan-Dawangshan71.82
2Baofu Town-Dawang Temple14.7816Fushi Foshan1.25
3Wukang Town-Deqing Station Xishan8.6317Pengtou Mountain-Lushan Mountain56.41
4Xiaofeng Town-Nanshan23.0018Peace Town-Hongshan7.06
5Tianhuangping Town-Dananwu Mountain16.1119Daqing Mountain6.57
6Zhangcun Town-Yeshanwu55.1520Miaofeng Mountain7.19
7Xiaofeng Town-Zhongshan9.9221Tsungui Mountain6.19
8Hanggai Town-Lingxi Village9.4822Lion Mountain4.18
9Wuxing District-Qiaopan Mountain6.2023Sun Mountain4.04
10Tuipu Street-Xianglu Mountain21.2924Xujiashan-Dashantou30.02
11Dipu Street-Daqing Mountain14.5425Wugui Mountain4.88
12Bijia Mountain7.1126Bimeishan Town-Baixian Town29.30
13Dayin Mountain8.5927Xunmeishan Town-Gushan’an57.45
14Xiaoniutou Mountain4.7728Hanggai Town-Dakeng24.08
Table 10. Distribution of ecotourism resource potential area in Huzhou.
Table 10. Distribution of ecotourism resource potential area in Huzhou.
Collective GroupDistribution Mean TARSEIMinimumMaximumNumber of Samples (Pieces)Representative of a Typical Potential AreaPotential Area ID (see Figure 9)
Western mountain clusterWestern Anji County0.790.650.898Daling (1), Da wang Temple (2), -Lingxi Village (8)1,2,8,12,15,
16,17,21
Central hilly clusterCentral Anji County0.670.520.7512Nanshan (4), Dananwu Mountain (5), Yeshanwu (6)4,5,6,7,10,11,13,
14,19,20,22,24
Eastern plain edge clusterDeqing/Wuxing District0.560.410.634Deqing Station Xishan (3), Qiaopan Mountain (9)3,9,23,25
Northern industrial and mining restoration clusterChangxing county0.620.480.714Hongshan (18), Baixian (26), Gushan ‘an (27)18,26,27,28
Table 11. Correspondence between territorial spatial planning zones and TARSEI-identified ecotourism potential areas in Huzhou.
Table 11. Correspondence between territorial spatial planning zones and TARSEI-identified ecotourism potential areas in Huzhou.
No.Planning Zone
(Pinyin)
Representative LocationLatitude (°N)Longitude (°E)Corresponding TARSEI Potential Areas
1Tianmu Mountain Ecological Barrier (Tianmu Shan)Longwang Mountain, Anji30.38119.43Western mountain cluster (IDs: 1,2,8,12,15,16,17,21)
2Guzhu Mountain Ecological Barrier (Guzhu Shan)Guzhu Mountain, Changxing30.98119.93Northern cluster (IDs: 18,26,27,28)
3Longwang–Mogan–Bianshan–Taihu Green CorridorMogan Mountain, Deqing30.63119.88Central hilly cluster (IDs: 4,5,6,7,10,11,13,14,19,20,22,24)
4Zhili–Nanxun Farmland Green CorridorNanxun Ancient Town30.87120.42Eastern plain-edge cluster (IDs: 3,9,23,25)
5Taihu Lakeshore Ecological BeltTaihu shoreline (Wuxing)30.90120.20Eastern plain-edge cluster
6Xitiaoxi–Dongtiaoxi River Ecological NetworkXitiaoxi River30.71119.92Multiple clusters
7Xianshan Lake Wetland Conservation ZoneXianshan Lake30.90119.90Northern cluster
8Mining Restoration Zone (Meishan area)Meishan Town30.95119.78Northern cluster
Note: Coordinates indicate representative core locations of each planning unit for spatial referencing and do not represent official boundary vertices.
Disclaimer/Publisher’s Note: The statements, opinions and data contained in all publications are solely those of the individual author(s) and contributor(s) and not of MDPI and/or the editor(s). MDPI and/or the editor(s) disclaim responsibility for any injury to people or property resulting from any ideas, methods, instructions or products referred to in the content.

Share and Cite

MDPI and ACS Style

Yang, Z.; Jin, X.; Yang, B.; Zhou, B.; Hu, T.; Tang, X.; Zhang, Y.; Zhang, L. A Terrain-Adjusted Remote Sensing Framework for Identifying Ecologically Valuable and Tourism-Oriented Landscapes in Complex Mountainous Regions. Remote Sens. 2026, 18, 834. https://doi.org/10.3390/rs18050834

AMA Style

Yang Z, Jin X, Yang B, Zhou B, Hu T, Tang X, Zhang Y, Zhang L. A Terrain-Adjusted Remote Sensing Framework for Identifying Ecologically Valuable and Tourism-Oriented Landscapes in Complex Mountainous Regions. Remote Sensing. 2026; 18(5):834. https://doi.org/10.3390/rs18050834

Chicago/Turabian Style

Yang, Zuodong, Xi Jin, Bo Yang, Bin Zhou, Tangao Hu, Xuguang Tang, Yang Zhang, and Ligang Zhang. 2026. "A Terrain-Adjusted Remote Sensing Framework for Identifying Ecologically Valuable and Tourism-Oriented Landscapes in Complex Mountainous Regions" Remote Sensing 18, no. 5: 834. https://doi.org/10.3390/rs18050834

APA Style

Yang, Z., Jin, X., Yang, B., Zhou, B., Hu, T., Tang, X., Zhang, Y., & Zhang, L. (2026). A Terrain-Adjusted Remote Sensing Framework for Identifying Ecologically Valuable and Tourism-Oriented Landscapes in Complex Mountainous Regions. Remote Sensing, 18(5), 834. https://doi.org/10.3390/rs18050834

Note that from the first issue of 2016, this journal uses article numbers instead of page numbers. See further details here.

Article Metrics

Back to TopTop