Abstract
Thermal heterogeneity of rivers is essential to support freshwater biodiversity. Salmon behaviorally thermoregulate by moving from patches of warm water to cold water. When implementing river restoration projects, it is essential to monitor changes in temperature and thermal heterogeneity through time to assess the impacts to a river’s thermal regime. Lightweight sensors that record both thermal infrared (TIR) and multispectral data carried via unoccupied aircraft systems (UASs) present an opportunity to monitor temperature variations at high spatial (<0.5 m) and temporal resolution, facilitating the detection of the small patches of varying temperatures salmon require. Here, we present methods to classify and filter visible wetted area, including a novel procedure to measure canopy cover, and extract and correct radiant surface water temperature to evaluate changes in the variability of stream temperature pre- and post-restoration followed by a high-intensity fire in a section of the river corridor of the South Fork McKenzie River, Oregon. We used a simple linear model to correct the TIR data by imaging a water bath where the temperature increased from 9.5 to 33.4 °C. The resulting model reduced the mean absolute error from 1.62 to 0.35 °C. We applied this correction to TIR-measured temperatures of wetted cells classified using NDWI imagery acquired in the field. We found warmer conditions (+2.6 °C) after restoration (p < 0.001) and median absolute deviation for pre-restoration (0.30) to be less than both that of post-restoration (0.85) and post-fire (0.79) orthomosaics. In addition, there was statistically significant evidence to support the hypothesis of shifts in temperature distributions pre- and post-restoration (KS test 2009 vs. 2019, p < 0.001, D = 0.99; KS test 2019 vs. 2021, p < 0.001, D = 0.10). Moreover, we used a Generalized Additive Model (GAM) that included spatial and environmental predictors (i.e., canopy cover calculated from multispectral NDVI and photogrammetrically derived digital elevation model) to model TIR temperature from a transect along the main river channel. This model explained 89% of the deviance, and the predictor variables showed statistical significance. Collectively, our study underscored the potential of a multispectral/TIR sensor to assess thermal heterogeneity in large and complex river systems.
1. Introduction
Thermal regimes of riverine ecosystems are critical in the lifecycles of salmonids and other aquatic biota. Stream temperature regulates all stages of the salmon life cycle including emergence, spawning, and migration. River temperature drives ecological processes such as the timing of both macroinvertebrate emergence and the growth and survival of salmonids [1,2]. Salmonids require cool temperatures, generally below 20 °C [3]. Thermal refugia as patches of relatively cooler water provide fish an opportunity to behaviorally thermoregulate and maximize energy efficiency [4]. Additionally, climate change is expected to increase air temperature maxima [5]. Consequently, stream temperature models illustrate warmer conditions sensitive to both timing and magnitude of atmospheric temperature [6]. The availability of thermal refugia is especially pertinent to the survival of salmonid species, with the anticipated impacts of climate change expected to drive stream temperatures beyond survivable thresholds in the Pacific Northwest [7]. The physical characteristics of streams influence the thermal variability of these waterways.
Stream morphology and hydrological processes govern the thermal heterogeneity of a riverine system. Factors including channel width, canopy cover, discharge, and others influence river temperatures [8,9]. These factors can vary greatly over short reaches, particularly where there are interspersed pools, riffles, and channels, resulting in vastly different stream temperatures across a short span [10,11]. Anthropogenic influence alters these systems, often channelizing otherwise threaded networks of a river system. This, in turn, leads to channel incision, increasing depths of flows, and cooler streams.
In recent years, the focus of restoring river systems to a pre-anthropogenic form has taken multiple approaches. Traditional approaches have focused on meeting objectives such as improving fish habitat or enhancing aesthetics, whereas contemporary restoration efforts focus on restoring geomorphic processes and function [12]. One approach to process-based restoration uses a geomorphic grade line (GGL) method to identify and reconnect historic valley surfaces to their historic elevation by filling and elevating incised channels with materials including soil, gravel, and wood [13]. These approaches to restoration aim to replicate a “Stage 0” condition described in the Stream Evolution Model proposed by Cluer and Thorne [14] as an extension of the prior five- and six-stage Channel Evolution Models [15,16]. Stage 0—characterized by anastomosed channels and floodplains—is added to represent pre-disturbance conditions present in stream morphology predating colonialization (Stage 0) and two late-stage evolutionary changes where the final stage resembles the anastomosed channels of stage 0. The geomorphic complexity and reconnection with subsurface flow routing contributes to thermal heterogeneity [17].
Flitcroft, et al. [18] examined the responses of multiple sites to Stage 0 restoration and found that site-specific responses vary depending on hydrologic factors, upstream disturbance, and other reach-level factors. They emphasized the importance of documenting the unique responses within sites by developing and standardizing monitoring schema to assess biological and physical responses. Further, Hinshaw, et al. [19] describe a two-stage ground-based sampling approach to quantify geomorphic change following a Stage 0 restoration. This sampling approach was designed to be paired with UAS surveys, using plot-based samples as ground validation, particularly regarding woody material.
To monitor reach-scale variations in thermal regimes of streams, it is necessary to supplement in-stream temperature monitoring sensors capable of recording thermal conditions at broader landscape scales and higher spatial resolution. Unoccupied aircraft systems (UASs) are well-suited to these monitoring tasks and can be equipped with a variety of sensors capable of measuring electromagnetic radiation in various regions of the electromagnetic spectrum. UASs are capable of rapidly surveying large areas while acquiring high-resolution thermal imagery (<1 m ground sampling distance). Further, they extend the breadth of data acquisition to capture the full range of potential salmon habitats in complex systems such as anastomosing streams where there are multiple side channels, pools, and other potential thermal refugia. Traditional temperature monitoring approaches cannot adequately record temperature variations across complex systems and generally focus sampling efforts along transects. Fonstad, et al. [20] describe the relative ease and benefits of using UAS structure from motion (SfM) to create digital elevation models (DEMs) of river environments. Further, small UASs offer a cost-effective and repeatable alternative to carrying out environmental surveys compared to systems that require larger occupied aircraft, e.g., helicopters and occupied fixed wing aircraft [21].
Thermal infrared (TIR) cameras are capable of measuring irradiance in the longwave infrared region of the electromagnetic spectrum from 8–14 µm. TIR cameras have been used previously in river temperature monitoring efforts. Torgersen, et al. [22] used TIR imagery acquired from helicopter surveys to map patches of thermal refugia for Spring Chinook salmon at multiple spatial scales in eastern Oregon. Thermal cameras measure the intensity of radiation emitted by an object in the wavelengths of the longwave portion of the electromagnetic spectrum. This relationship is proportional to kinetic temperature, i.e., the “real” temperature of an object, usually measured with a thermocouple, and is used to calculate radiant temperature. Although radiant temperature differs from the kinetic temperature of an object, water has a high emissivity resulting in a relatively small bias between radiant and kinetic temperatures. When pairing thermal data with georeferenced orthophotos we can produce accurate and spatially precise measurements of radiant water surface temperature. The radiant temperature of the water surface approximates the kinetic temperature of a water body in well-mixed systems such as the McKenzie River in western Oregon [23].
The recent advent of affordable miniature radiometers paired with UASs facilitates monitoring opportunities of changing thermal conditions at higher temporal and spatial resolutions. These high-resolution stream temperature data enable greater insights at the reach scale compared to discrete measurements acquired with thermocouple instrumentation [24]. However, the accuracy of UAS thermal sensors is known to be impacted by conditions at the sensor. UAS/TIR systems have been used to assess the thermal heterogeneity of rivers while noting potential inaccuracies of the sensor due to its internal conditions [25]. Factors including air movement and humidity experienced during UAS flight may result in lower recorded radiant temperatures relative to kinetic [26]. Others have produced methods to bias-correct the thermal imagery of the Micasense Altum either via regressions produced from in-site temperature loggers [27] or using measurements taken in a water bath ex situ [28]. A previous study found the Altum to be well suited to measuring stream surface temperature after correcting these values recorded by the camera with in situ water temperature measurements [29].
Previous research used the popular Heat Source model [30] to estimate the impacts of complete canopy removal one would expect to result from a forest fire. The results demonstrated an increase in the maximum weekly average temperature of 2.2–5.9 °C and 1.0–4.4 °C under low and high flow scenarios, respectively [31]. These results suggest river temperatures increase when canopy cover is removed. Similar modeling efforts suggest restoring shade conditions may result in streams that are colder than their present conditions despite increased air temperatures associated with climate change [6].
The objective of this study is to characterize pre- and post-restoration stream surface temperature variability at the South Fork McKenzie River Stage 0 restoration site. Given the large spatial extent of the restoration and complex nature of the restored site, we implemented an approach using UAS-mounted thermal cameras to measure stream temperature over multiple years. The multi-temporal monitoring campaign includes pre- and post-fire UAS imagery of the landscape as it was impacted by a significant disturbance from wildland fire. The specific objectives include the following: (1) developing methods to extract wetted cells and calibrate water temperatures from the TIR camera, (2) characterizing the changes in water temperature and distribution following restoration and fire disturbance, (3) using the results to provide insights into short-term changes in fish habitat quality following the effects of both the restoration and the subsequent fire, (4) characterizing the temperature trends in the context of dominant flow paths by examining the median absolute deviation, and (5) examining correlations of environmental covariates to water temperature via Generalized Additive Models to assess the validity of TIR temperatures as dependent variables in such models. Here, we expand on these efforts, describing methods that combine electro-optic bands and GIS software to first parse visible wetted area and canopy cover from imagery, and then, using calibrated thermal mosaics, we assess heterogeneity across a restored reach in Western Oregon.
2. Methods
2.1. Study Area
Our study area is located in the South Fork McKenzie River, Oregon Cascades, 70 km east of the city of Springfield (Figure 1). It covers 60 hectares ranging between 300 and 340 m in elevation. The climate of the region consists of cold, wet winters and drier, warm summers with temperatures generally varying between 0 and 30 °C depending on the season, and annual precipitation exceeds 1770 mm. Conifers were dominant species and included Douglas fir (Pseudotsuga menziesii), western hemlock (Tsuga heterophylla), and western redcedar (Thuja plicata), whereas deciduous species occurred mainly in riparian areas and included red alder (Alnus rubra) and cottonwood (Populus trichocarpa) [32]. The most common salmonids of the South Fork McKenzie River include ESA listed spring Chinook salmon (Oncorhynchus tshawytscha), rainbow trout (Oncorhynchus mykiss), and coastal cutthroat trout (O. clarkii clarkii) (Oregon Department of Fish and Wildlife, unpublished data). Cougar Dam (completed in 1963) is located 6 km upstream of our study site. The construction of the dam produced a narrower stream channel and removed material and sediment critical to salmon spawning habitats [33,34,35].
Figure 1.
Study area including the South Fork of the McKenzie River, Oregon. It includes the Stage 0 restored area and the area affected by the Holiday Farm Fire in September–October 2020.
A Stage 0 restoration project was implemented in 2018 to reconnect the fluvial plain with its historic channel by cutting and filling parts of the channel to reconnect it with the entire valley floor at baseflow. Approximately 3000 pieces of large wood were placed in our study area. The trees were felled within and near our study area, resulting in a reduction in canopy cover. This Stage 0 project seeks to restore processes at the valley scale that existed prior to the construction of Cougar Dam [18]. The primary objectives of the restoration project center around improving fish habitat by increasing sediment and geomorphic complexity, increasing in-stream wood, decreasing annual depth of water, and increasing floodplain inundated area. Additionally, project designers targeted reducing surface water temperature by 1 °C during baseflow within 10 years of completion [36].
The study area was impacted by a high-severity fire in 2020, the Holiday Farm Fire. This fire was ignited by downed power lines on September 7 and was not contained until 29 October. High winds resulted in rapid spread, burning ~70,000 hectares throughout the valley. Following the fire disturbance and the resulting loss of canopy cover, we sought to assess any impacts to the thermal heterogeneity of the area.
2.2. Temperature Sensor and UAS Platform
We conducted remote sensing surveys with a DJI Matrice 200 v2 quadcopter equipped with a Micasense Altum 6-band multispectral/thermal sensor. In addition to the electro-optical bands that measure wavelengths in the visible and near infrared regions of the electromagnetic spectrum (red, green, blue, red edge, and near infrared (NIR)), the sensor houses a longwave infrared sensor, with a center bandwidth at 11 µm and 6 µm bandwidth (8–14 µm). The thermal accuracy is reported as +/− 5 °C of objects with a thermal emissivity of 1.0 [37].
2.3. Flight Campaigns
We used DJI Pilot v1.5.0 flight planning software to program automated and repeatable remote sensing survey flights that cover the study area with 80% forward overlap and 70% sidelap necessary to produce orthomosaics from the Altum imagery [38]. We installed 12 1.5 m × 1.5 m iron cross aerial survey targets and geolocated them with a Trimble GeoXH GNSS Receiver (accuracy ~0.1 m) to georeference the orthomosaic. To account for potential differences in lighting conditions during the 2019 and 2021 flights, we imaged a reflectance panel with known albedo values prior to the flights and applied a radiometric correction during image processing. We used Agisoft Metashape United States Department of Agriculture: 21-JV-11261952-066; Oregon Watershed Enhancement Board: 21-JV-11261952-066; United States Department of Energy: DE-SC0014664 Pro v2.1 to process images and produce orthomosaics [39].
Flights were conducted during low flow conditions in 2009 (pre-restoration), 2019 (post-restoration), and 2021 (post-restoration and post-fire; Table 1). We acquired imagery from 150 m above ground level (AGL), approximately 120 m above the canopy, resulting in a ground sampling distance (GSD) of approximately 1.01 m for the thermal band. However, this band is up-sampled in the processing software to match the resolution of the other bands (~0.07 m). The second flight data used in this study combined data from 26 August 2019 and 27 August 2019 (Table 2). Subsequently, we will reference this flight as 26 August 2019. Approximately 2/3 of the flight was carried out on the first day, but due to battery limitations, the remaining 1/3 was flown the following day. The water temperature and discharge conditions were similar between the two days, but ambient temperature was warmer on 27 August 2019. However, only a small percentage of visible wetted area (<5%) was observed on 27 August 2019. We included historical thermal data representing the pre-restoration condition that was acquired on 22 August 2009 by Watershed Sciences, contracted by the McKenzie Watershed Council and US Forest Service [40]. These TIR data are finer resolution (0.43 m GSD) compared to our UAS data, as they were acquired with a FLIR SC6000 (wavelength 8–9.2 µm) from a Bell Jet Ranger Helicopter flying at an altitude of 427 m AGL (Table S1).
Table 1.
Environmental conditions and sensors used to produce three RGB/thermal orthomosaics across four flights. Discharge values and water temperatures obtained from U.S. Geological Survey [41].
Table 2.
Summary of results from the cooler test. All values expressed as degrees Celsius (°C).
2.4. Surface Water Temperature Calibration
The miniature LWIR camera used in this study is uncooled, leaving it susceptible to errors associated with its internal temperature or temperature drift [25,42] resulting in pixel bias and temporal drift. These errors might affect absolute temperature data, but they can be mitigated via a non-uniform correction (NUC). The Altum sensor is programmed to automatically perform an NUC every five minutes, or when the internal temperature of the sensor changes by 2 °C. During an NUC, the shutter is used as a reference source of IR radiation to recalibrate the gain and offset of the camera pixels [37,43].
In addition, we used a linear regression correction between the in situ temperature values and ex situ temperature values from a water bath [27,28]. Specifically, TIR measurements from the Altum sensor were obtained from a water-filled cooler (45 L) under environmental conditions expected during the flights and across a range of surface water temperature conditions. We imaged the water in full shade, full sun, and with a fan aimed at the Altum sensor to simulate the cooling effect during the UAS flight. The Altum sensor was attached to a tripod 1 m above the cooler, oriented nadir to the water. We manually triggered the sensor approximately 30 s apart during each test for 30 min, simultaneously recording the surface water temperature with a NIST thermometer. Shade tests occurred on 15 August 2022 from 14:41 to 15:10 PDT (air temperatures ranged from 29.9 °C to 30.3 °C), whereas the sun and fan tests took place on 23 August 2022, with the sun tests commencing at 12:38 local time and ending at 13:09 (29.2 °C to 29.8 °C), while the shade tests began at 13:10 and ended at 13:42 (29.8 °C to 30.6 °C). After extracting radiant temperature from the images (TIR temperature), we compared the values to those recorded with the NIST thermometer.
To assess the accuracy of the sensor across a range of water temperature conditions, we collected TIR data on 10 October 2023. In this correction test, the Altum sensor was mounted nadir to the cooler 1 m from the water surface. Exterior atmospheric effects were limited as this procedure was conducted in an interior environment. We cooled the water bath to 9.47 °C and added ~0.25 L near-boiling water every 5 min over two hours. We simultaneously measured the surface water temperature using an RBR solo T temperature logger [44] every five seconds. These data were used in 100 rep 10-fold data splitting to assess the accuracy of the Altum TIR sensor across the temperature gradient and to produce a model to calibrate the TIR orthomosaic images. We combined the temperature measurements from all tests to produce a linear model that calibrated the TIR orthomosaic imagery in 2019 and 2021.
2.5. Thermal Mosaic Blending Mode Analysis
Prior research has highlighted issues in mosaicking thermal data including how the associated low contrast negatively impacts photogrammetry [45] and how the flight direction and altitude combined with mosaic blending mode can contribute to temperature error [46,47]. We sought to select the blending method that produced radiant temperature values representing the central tendency of all orthoimages that contain a given point. Using the 2019 surveys, we randomly sampled 100 points within the visible wetted area and extracted the temperature data at those points for individual orthoimages that were then combined to produce a final orthomosaic. We then sampled the point values from three ortho processing methods available in Agisoft Metashape Pro (weighted average, mosaic, and disabled) to assess the method that reliably produces temperature data indicative of the central tendency of the temperature of the point across multiple images. When examining blending modes, we first calculated the temperature averages from individual orthorectified photos at each of the 100 randomly sampled points. Then, we calculated the absolute difference between the orthomosaic’s blended value (mosaic, weight, or disabled) and the averaged value. Finally, we used the average of the absolute differences to provide a more representative spread of the actual temperature differences. We visualized the temperature distributions of orthoimages using ridge plots to assess where the TIR orthomosaic values from the three blending modes fell with respect to the individual orthoimages that comprised the orthomosaic.
2.6. Classifying Visible Wetted Area
To facilitate the comparison of in-stream temperatures across the three imagery datasets, we first needed to extract wetted cells. We manually delineated a polygon to represent the visible wetted area of the primary historic channel of the South Fork McKenzie River by visual inspection of the 2009 thermal raster using ArgGIS Pro software v2.8.2 [48]. The visible wetted area differed from the total wetted area in that we attempted to subtract large wood and other in-stream structures along with their associated thermal mixing buffers. We calculated the NDWI ([Green − NIR]/[Green + NIR]) for 26 August 2019 and 15 July 2021 imagery using ArcGIS Pro v2.8.2 [49]. McFeeters [50] recommended a threshold > 0.3 NDWI to identify water surface in an urban environment while minimizing false positives. However, upon visual inspection of the imagery, we found that this threshold under-represented wetted pixels in 2019 and 2021 orthomosaics; therefore, we used >0.2 NDWI to reclassify water pixels. Then, we converted the resulting wetted cells to vector format, specifically an ESRI shapefile in which all wetted features were dissolved into a single polygon.
The resolution of TIR imagery is coarser compared to RGB due to the relatively low energy emitted by objects in the TIR portion of the electromagnetic spectrum [51]. Coarse TIR pixels are known to induce errors by mixing with neighboring objects. To minimize this effect, it has been suggested to use a minimum three-pixel span from potentially confounding features or stream banks [52]. To account for radiant mixing, we applied a −0.68 m buffer to remove approximately 10 pixels around non-wetted cells.
2.7. Spatiotemporal Analysis of Surface Water Temperature
To compare stream temperature distributions across years, we manually delineated the historic South Fork McKenzie channel from the LWIR orthomosaic acquired in 2009. Rather than intersect wetted areas in the orthomosaics, we masked both thermal mosaics by visible wetted area and extracted temperatures from the TIR mosaics. We filtered the extracted temperature data for all years by removing potential outliers (top 99% and bottom 1% of temperature values). We adjusted all temperature data to reflect conditions at the gage station located approximately 5 km upstream of our study area using 2019 as reference data. We subtracted 1.15 from 2021 TIR and subtracted 0.95 from 2009 TIR to perform this gage adjustment. By comparing all wetted cells from both datasets, we are assessing the range of temperature conditions that is visible to the sensor in the three years.
We compared the temperature distributions among dates to assess the potential impact of restoration on thermal heterogeneity within the study area using the Kolmogorov–Smirnov (KS)—a non-parametric test that does not require a specific distribution or paired data. The KS test was performed using temperature values from all visible wetted cells in both 2009 (ncells = 74,632) and 2019 (ncells = 6,673,200) TIR orthomosaic rasters. We hypothesized that the removal of trees from our study area’s canopy to be deposited in the river channel in 2018 would increase the mean surface water temperature in 2019 and 2021 relative to 2009. Using temperature data from the masked visible wetted cells, we performed a Welch’s unpaired t-test to test this hypothesis. We also hypothesized that the median absolute deviation (MAD) of 2009 data would be smaller compared to 2019 and 2021 data, indicating a narrower range of thermal conditions compared to post-restoration and post-fire conditions.
Methods to compare temperature pre- and post-fire (2021, ncells = 2,396,912) included the unpaired Welch’s t-test to assess whether temperatures were different after applying a temperature adjustment based on the observed in-stream temperature measured at the dam. Additionally, we compared the distribution using the same KS test mentioned above.
2.8. Canopy Cover Analysis
We generated canopy height models (CHMs) from structure from motion (SfM) point clouds (2019 and 2021 surveys) using the lidR package v3.1.1 [53] implemented in the R statistical software v4.1.2 [54]. Because these data do not natively contain return information, we first classified ground points using the Cloth Simulation Filter algorithm [55]. We created a digital terrain model by rasterizing the resulting ground points, matching the resolution of the digital surface models exported from Metashape and performing spatial interpolation with the k-nearest neighbors/inverse-distance weighting algorithm. To produce CHMs, we subtracted the terrain model from the surface model for both years. We used bands 3 (red) and 5 (NIR) from the Altum sensor to calculate the normalized difference vegetation index (NDVI), where NDVI = [NIR − Red]/[NIR + Red] [56]. The NDVI is regularly used to classify vegetation as it is correlated with chlorophyll levels [57]. We used the raster package v3.5-9 [58] in R to stack the CHM and NDVI for both years and reclassified a new raster as canopy and not canopy. Cells were classified as canopy when the NDVI was greater than 0.05 and the canopy heights exceeded 3 m. This canopy calculation was not possible for 2009 data due to the lack of NIR data. However, we assumed full canopy closure in the non-wetted cells of the riparian zone as the National Agriculture Imagery Program (NAIP) RGB imagery recorded in 2009 illustrates (Figure 2).
Figure 2.
Riparian zone 2009. The area between the main channel (blue boundary) and riparian zone (black boundary) was assumed to have full canopy cover.
The next step included the definition of the riparian zone after examining stream buffer recommendations from the Oregon Forest Practices Act (OFPA). The Oregon Private Forest Accord [59] modified the OFPA recommendations of riparian zones to have buffers ranging from 23 to 34 m (75 to 110 ft) for fish-bearing streams depending on stream size and fish species present. We applied a buffer of 30.5 m (100 ft) to visible wetted areas for all years. Then, we calculated the percent canopy cover within the riparian zones at all time steps.
2.9. Transect Analysis and Generalized Additive Model (GAM)
We delineated a transect through the mainstem of the South Fork McKenzie and sampled points along this transect at 1 m intervals. This procedure facilitated a paired comparison along the channel across periods. We assessed the differences in temperature and heterogeneity with a t-test and KS test. Then, we filtered points (n = 156) within the intersecting visible wetted area for the orthomosaic for each period. We extracted the LWIR corrected, filtered, and adjusted temperature data from each orthomosaic using ArcGIS pro. We used the ‘mgcv’ package [60] implemented in R to develop a Generalized Additive Model (GAM) that assessed the statistical significance of variables in predicting surface water temperature along the transect.
where y = estimated surface water temperature.
3. Results and Discussion
3.1. Cooler Tests and Sensor Calibration
In each cooler test, the mean NIST temperatures were warmer than the radiant TIR sensor (Table 2), but consistent with the Stefan–Boltzmann law. The kinetic temperature is warmer than the radiant temperature because the latter represents the emissivity of the object being measured taken to the fourth root and multiplied by its kinetic temperature [57]. Water temperature can be measured accurately using remote TIR sensors as the emissivity to water is close to 1, resulting in the radiant temperature representing a close proxy for its kinetic temperature.
The error of uncorrected TIR data ranged from −3.5 °C to 1.7 °C and was lower than the ±5 °C error tolerance specified by the manufacturer. This error was further reduced by applying a linear correction using the cooler test (β0 = 2.98, β1 = 0.92, p < 0.001, Figure 3). When this model was applied to the combined data from the other three tests excluding the range test, the root mean squared error (RMSE) was reduced from 0.88 to 0.84 and the mean absolute error (MAE) was reduced from 0.74 to 0.70. For all four sets of cooler data, the RMSE was reduced from 1.78 to 0.48, and the MAE was reduced from 1.62 to 0.35 (Table 2).
Figure 3.
Cooler test datasets and resulting linear model used to calibrate orthomosaics.
Bartelt (2021) demonstrated that the Altum TIR measurements underestimated water surface temperatures and performed a linear correction (β0 = 17.92, β1 = 0.19, R2 = 0.31 [27]. Tunca, Köksal and Çetin Taner [28] performed a similar controlled calibration test with the Altum. We found that some temperature values measured could be affected when located closer to logs in our study. Therefore, we only used measurements taken during the ex-situ cooler tests to calibrate our sensor. We expect different linear model coefficients may result due to atmospheric conditions if calibrated at the flight heights of 150 m. However, Ebert, et al. [61] found no significant difference in temperatures measured with the Altum from multiple elevations.
The proximity of in-stream temperature loggers to wood and other in-stream features prohibited in situ calibration. A limitation of our ex-situ approach is that the radiant temperature measured at the sensor is a function of atmospheric transmissivity [62]. The transmissivity can be estimated using measures of relative humidity, air temperature, and distance from the sensor, but the Altum does not provide an interface to incorporate these variables. We expect our method could be improved by performing a similar calibration in situ using measurements of a water body’s known temperature pre- and post-flight recorded at altitude as this would account for the transmissivity changes during the flight.
3.2. Blending Mode Analysis
Visual inspection of the ridge plots (Figure 4) indicated both mosaic and weighted averaging blending modes produced orthomosaics where pixel values that comprised the orthomosaic reflected the central tendency of individual pixels contributing to the kinetic temperature estimate for that location. The distributions of orthoimage temperatures across sampled points varied from Gaussian bell curves to multimodal. Although the MAE was marginally higher with the mosaic blending mode (1.67) compared with the weighted average mode (1.4), we used the mosaic blending mode to produce TIR orthomosaics for 2019 and 2021. This approach considered both the proximity of a pixel to the image center and the resolution of that pixel when calculating orthomosaic values. Conversely, the weighted average approach included pixels from all images, regardless of the calculated image quality, a property that considered the camera view and sharpness of the image [39]. The density curves of the ridge plots did not account for the weighting applied relative to a pixel’s position.
Figure 4.
Ridge plots of TIR-recorded temperatures measured at randomly sampled points. These points appeared in the most orthophotos and are arranged from fewest (bottom) to most images (top), 19–24, respectively. Colored dots represent the pixel temperature in the final orthomosaic associated with each blending mode.
3.3. Visible Wetted Area
Visual representations of the visible wetted areas across the three years illustrated the reconnection to the historic floodplain and transitions from a single incised channel to a multi-threaded network of channels (Figure 5). The visible wetted area was smaller in 2019 (22,777 m2) and 2021 (12,361 m2) compared to 2009 (26,858 m2), although the total wetted area was larger. Using LiDAR-derived DEM data in conjunction with NDVI image products from a UAS, Flitcroft et al. [18] demonstrated the wetted area in the same site was four times larger in 2020 compared to the pre-treatment condition in 2016. This was partially attributable to our removal of pixels bordering in-stream features that include woody material, islands, large boulders, and others. Further, the wetted area occluded by canopy cover in back channels was omitted from our analysis, as interpolating water temperature from TIR data was beyond the scope of this study. Woody material was present in a significant portion of the wetted area. Using a generalized regression estimator in conjunction with the multispectral and thermal imagery of the site, Barker, et al. [63] estimated the large woody material coverage to be 16,593 m2 (95% CI 13,054–20,133) in the 2019 imagery. The large proportion of wetted area with woody material in 2019 in conjunction with the low stream stage in 2019 (Table 1) contributes to the marginally greater visible wetted area in 2009 (26,858 m2).
Figure 5.
Maps showing the visible wetted area during our three TIR surveys.
3.4. TIR Analysis: Global
We found that TIR-measured stream surface temperatures were significantly warmer in 2019 than in 2009 (p < 0.001, 95% CI 2.560–2.564). This was likely the result of overstory canopy removal that was necessary to provide large wood to the stream. The loss of shade resulting from the reduction of canopy cover from 2009 to 2019 likely explained why surface temperatures increased (Figure 6). We assumed that all the area within the riparian zone was part of the canopy in 2009. If we include the wetted area within the riparian zone, 71.7% of the area was canopy. Conversely, in 2019 and 2021, the canopy covered 31.1% and 5.6% of the riparian zone, respectively. These results seem reasonable as the restoration project moved 3000 pieces of large wood for placement in the river. Following the severe wildfire in 2020, many trees that were not felled or deposited as woody material were significantly burned. Thin-barked species including red alder and bigleaf maple (Acer macrophyllum) are sensitive to fire and were likely lost during the fire event. However, we anticipate a rapid return of riparian vegetation. Johnson and Jones [64] found stream temperatures for a Western Cascades watershed to initially rise following a tree removal disturbance, but the values returned to pre-disturbance maxima approximately 15 years later. Similarly, D’Souza, et al. [65] noted a multi-year lag in the cooling temperature response related to the re-establishment of vegetation following a disturbance associated with debris torrents.
Figure 6.
Results of NDVI + CHM canopy analysis within the riparian management area for 2019 and 2021. Base RGB imagery from 2019.
The results from the Welch’s t-test comparing mean temperatures for 2019 to 2021 showed evidence to reject the null hypothesis (p < 0.001, 95% CI 0.387–0.390). However, this estimated difference in means was smaller than the MAE after following linear correction, and therefore, we are unable to attribute this temperature difference to the fire. Additionally, the discharge was more than double in 2019 compared to 2021. Brown [66] demonstrated that the discharge can impact the time lag of stream temperature maxima.
The variability in the TIR in 2009 was substantially lower than either 2019 or 2021 (Figure 7; Table 3), as evidenced by the lower MAD of TIR in 2009 (2009: 0.30 °C, 2019 0.85 °C, and 2021: 0.79 °C). Variable temperatures allow salmonids to optimize energy use at different life stages and behaviorally thermoregulate [67,68]. Ultimately, it is important to locate and quantify this temperature variability as it drives the growth of salmonids and other cold-water species and increases the likelihood of survival in warming streams affected by climate change [69]. This heterogeneity is also important for intraspecific variation that may confer benefits to aquatic consumers [70]. Further, Ebersole, et al. [71] demonstrated an increase in trout and salmon populations associated with heterogeneous thermal landscapes. McCullough [4] found 26 °C to be the lethal cutoff for Chinook in lab settings. In all three conditions, the interquartile range of water temperatures recorded by the TIR sensor falls below the 20 °C threshold required by salmonids [3].
Figure 7.
Violin plots of linear corrected and gage-adjusted LWIR data for all visible wetted cells across the three TIR orthomosaics.
Table 3.
TIR-measured temperature ranges for visible wetted area before and after filtering, linear correction, and gage adjustment.
The TIR distributions were different for pairwise comparisons using 2019 as the reference (KS test 2009 vs. 2019, p < 0.001, D = 0.99; KS test 2021 vs. 2019, p < 0.001, D = 0.10). The D statistic is the maximum geometric distance between the empirical cumulative distribution function of the samples (2009 and 2021) and the cumulative distribution function of the reference population (2019). The magnitude of difference was larger from 2009 to 2019 than from 2019 to 2021, supporting the hypotheses that the Stage 0 restoration treatment as implemented at SFMR would shift the stream surface temperature distributions.
3.5. TIR Transect Analysis: Local
An analysis of the water surface temperature along an identical longitudinal transect for 2009, 2019, and 2021 showed an increase in the spatial heterogeneity (Figure 8). In addition, warmer conditions were found in 2019 and 2021 compared to 2009. The results of the South Fork mainstem transect analysis corroborate our findings associated to the masked TIR orthomosaics.
Figure 8.
Transect with 156 sampled points along South Fork main stem transect. Temperatures are corrected using the linear regression described in Section 3.1 and are gage adjusted (Section 2.7).
Temperature conditions were warmer in 2019 (paired t-test p < 0.005, 95% CI 1.9–2.1) and 2021 (paired t-test p < 0.005, 1.9–2.1) relative to pre-restoration conditions in 2009, but not in 2021 compared to 2019 (p = 0.98). Similarly, the results of the KS test indicate distributions to be different when comparing 2019 to 2009 and 2021 to 2009 (p < 0.005 in both cases). When performing a KS test comparing the 2019 and 2021 temperatures, there is marginal evidence against the null hypothesis (p = 0.05). MAD values for 2019 and 2021 were larger compared to 2009, suggesting a broader range of temperatures and potentially offering more areas of thermal heterogeneity for salmonids (Figure 9, Table 4).
Figure 9.
TIR temperatures along South Fork mainstem, sampled every meter where available in three overlapping orthomosaics. N = 156 points, Loess smoothing applied to fill gaps in data.
Table 4.
Transect TIR statistics.
3.6. Generalized Additive Model for TIR Temperature
Upon producing a GAM with the corrected and adjusted TIR-measured temperature values, our results showed that discharge, canopy cover, and air temperature were statistically significant in predicting stream temperature. Smooth terms were also significant with a caveat for year, as the estimated degrees of freedom is near zero. We used smooth functions for year (also taken as a random effect), distance upstream, location in space (latitude, longitude), and a tensor product interaction applied to spatial location and distance upstream. Additionally, we incorporated linear coefficients for the fixed effects discharge, canopy cover, and air temperature. The resulting model accounted for 89% of the variation in stream temperature. Discharge and canopy cover were negatively correlated with stream temperature, whereas air temperature was positively correlated. Of the smoothing terms applied in this model, distance upstream was shown to be nearly linear and significant (estimated degrees of freedom (EDF) = 1, p < 0.001). The EDF for year is near-zero, indicating that the penalties applied from the shrinkage term ultimately remove the variable from the model. The smooth applied to spatial location is quadratic (EDF = 2, p < 0.01). The most complex smooth is applied to the tensor product interaction, suggesting a complex non-linear relationship with this interaction of spatial variables (EDF = 6.8, p < 0.001, Table 5).
Table 5.
Generalized additive model parametric coefficients and smoothing term results.
The results of the GAM reaffirmed the impacts of environmental variables including the negative correlations between the water temperature and canopy cover and discharge. Discharge is of particular interest as this variable was directly influenced by operations at the dam upstream. This result lends credence to the incorporation of radiant temperature measured with TIR sensors when investigating factors that may influence stream temperature. Additionally, we expect this model could be applied to assess differences in radiant temperature at future time steps while accounting for differences in environmental and physical parameters. Measurements of water column depths may further refine the model and warrant further investigation.
3.7. Thermal Contours and Habitat Availability
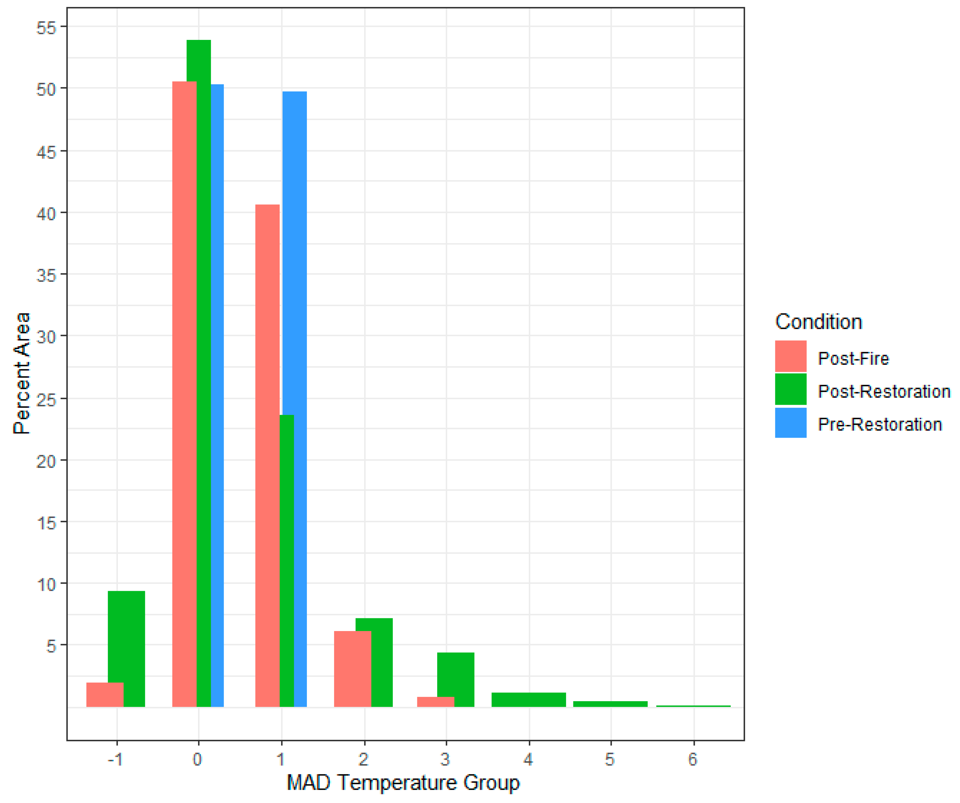
Centering and scaling our data by the largest standard deviation (2019, post-restoration condition = 1.3) help to visualize the range of temperature that may provide thermal refugia for fish in the years following the re-establishment of the canopy (Figure 10 and Figure 11). Prior to restoration, temperatures in the visible wetted area were concentrated within one standard deviation of the mean, indicating little variability in stream temperature. Conversely, following restoration, standard deviations of temperature ranged from −1 to 6 (Table 6), providing ample heterogeneity to support fish populations at different life stages [70]. The variability in stream temperatures persisted following the 2020 Holiday Farm Fire as evidenced by the 2021 centered and scaled temperatures, which range from −1 to 3 deviations around the mean. This suggests that not only does process-based restoration increase thermal heterogeneity and thereby stream temperatures capable of supporting multiple salmonid life stages, but these effects are also resilient to future natural disturbance.
Figure 10.
Centered, scaled TIR temperatures at the confluence with the McKenzie River.
Figure 11.
Stacked bar chart illustrating percent of visible wetted area in each temperature group after centering and scaling to 2019 standard deviation.
Table 6.
Centered and scaled temperature deviation groups with associated visible wetted area measurements.
3.8. Ongoing Monitoring
To further assess the impacts of the restoration and its resilience to disturbances including fire, continued monitoring is required. Insufficient time has passed to facilitate canopy development and associated shading. Continued monitoring with UAS/TIR systems would aid managers in determining whether the increased variability in stream temperature will last and whether the near-term rise in increased temperatures will return to pre-restoration levels. Ideally, both conditions will be true, providing quality thermal habitats for salmonids. UASs offer a readily available monitoring resource, capable of recording data for the range of thermal and spectral conditions throughout the site. Further, they can be deployed in response to sudden changes in discharge to gather data at multiple water stages.
4. Conclusions
Here, we demonstrate an approach for the multi-temporal assessment of stream surface temperatures with a UAS equipped with a combination multispectral and thermal sensor. The small TIR sensor used in this study facilitated the area-wide characterization of surface temperature over a complex stream restoration area where comprehensive manual surveys were not possible due to dangerous site conditions limiting the mobility of ground crews. Our findings show that the high variance and bias associated with the passively cooled thermal sensor can be mitigated through the creation of a linear model.
The TIR-measured temperatures suggest thermal heterogeneity increased following the Stage 0 restoration activities of 2018, as evidenced by an increase in the MAD that persisted following a severe fire in 2020. The centering and scaling temperature data demonstrated the increased percentage of relatively cool water refugia available for salmon. These patches are essential, providing buffers to the expected increases in maximal temperatures associated with climate change and increasing the likelihood of salmonid survival.
Supplementary Materials
The following supporting information can be downloaded at: https://www.mdpi.com/article/10.3390/rs17071254/s1.
Author Contributions
Conceptualization, M.I.B., J.D.B. and M.G.W.; Methodology, J.D.B. and I.A.; Formal analysis, M.I.B. and J.D.B.; Investigation, M.I.B. and I.A.; Resources, J.D.B.; Data curation, M.I.B.; Writing—original draft, M.I.B. and J.D.B.; Writing—review & editing, J.D.B., I.A. and M.G.W.; Supervision, J.D.B. and I.A.; Project administration, M.G.W.; Funding acquisition, M.G.W. All authors have read and agreed to the published version of the manuscript.
Funding
This research was funded by grants from USDA Forest Service and Oregon Watershed Enhancement Board (21-JV-11261952-066). This research was supported in part by an appointment to the United States Forest Service (USFS) Research Participation Program administered by the Oak Ridge Institute for Science and Education (ORISE) through an interagency agreement between the U.S. Department of Energy (DOE) and the U.S. Department of Agriculture (USDA) (DE-SC0014664). ORISE is managed by ORAU under DOE contract number DE-SC0014664. All opinions expressed in this paper are the author’s and do not necessarily reflect the policies and views of the USDA, DOE, or ORAU/ORISE.
Data Availability Statement
Data and supporting processing scripts are available upon request. Data will be made publicly available in a future data release.
Acknowledgments
The authors thank Katie Nicolato (Oregon State University), Sarah Hinshaw (Colorado State University), and William Hirsch for their assistance in conducting fieldwork and Ted Mischkot for providing property access during UAS flights.
Conflicts of Interest
The authors declare no conflicts of interest.
References
- Ward, J.V.; Stanford, J.A. Thermal Responses in the Evolutionary Ecology of Aquatic Insects. Annu. Rev. Entomol. 1982, 27, 97–117. [Google Scholar] [CrossRef]
- Holtby, L.B.; McMahon, T.E.; Scrivener, J.C. Stream Temperatures and Inter-Annual Variability in the Emigration Timing of Coho Salmon (Oncorhynchus kisutch) Smolts and fry and Chum Salmon (O. Keta) Fry from Carnation Creek, British Columbia. Can. J. Fish. Aquat. Sci. 1989, 46, 1396–1405. [Google Scholar] [CrossRef]
- Donato, M.M. A Statistical Model for Estimating Stream Temperatures in the Salmon and Clearwater River Basins, Central Idaho; US Geological Survey: Reston, VA, USA, 2002. [Google Scholar]
- McCullough, D. A Review and Synthesis of Effects of Alterations to the Water Temperature Regime on Freshwater Life Stages of Salmonids, with Special Reference to Chinook Salmon; 910-R-010; U.S. Environmental Protection Agency, Region 10: Seattle, WA, USA, 1999; p. 291. [Google Scholar]
- Houghton, J.T. Climate Change 2001: The Scientific Basis: Contribution of Working Group I to the Third Assessment Report of the Intergovernmental Panel on Climate Change; Cambridge University Press: Cambridge, UK, 2001. [Google Scholar]
- Wondzell, S.M.; Diabat, M.; Haggerty, R. What Matters Most: Are Future Stream Temperatures More Sensitive to Changing Air Temperatures, Discharge, or Riparian Vegetation? JAWRA J. Am. Water Resour. Assoc. 2019, 55, 116–132. [Google Scholar] [CrossRef]
- Wade, A.A.; Beechie, T.J.; Fleishman, E.; Mantua, N.J.; Wu, H.; Kimball, J.S.; Stoms, D.M.; Stanford, J.A. Steelhead vulnerability to climate change in the Pacific Northwest. J. Appl. Ecol. 2013, 50, 1093–1104. [Google Scholar] [CrossRef]
- Smith, D.D. Contributions of Riparian Vegetation and Stream Morphology to Headwater Stream Temperature Patterns in the Oregon Coast Range. Master’s Thesis, Oregon State University, Corvallis, OR, USA, 2004. [Google Scholar]
- Seixas, G.B.; Beechie, T.J.; Fogel, C.; Kiffney, P.M. Historical and Future Stream Temperature Change Predicted by a Lidar-Based Assessment of Riparian Condition and Channel Width. J. Am. Water Resour. Assoc. 2018, 54, 974–991. [Google Scholar] [CrossRef]
- Woltemade, C.J. Stream Temperature Spatial Variability Reflects Geomorphology, Hydrology, and Microclimate: Navarro River Watershed, California. Prof. Geogr. 2017, 69, 177–190. [Google Scholar] [CrossRef]
- Evans, E.C.; Petts, G.E. Hyporheic temperature patterns within riffles. Hydrol. Sci. J. 1997, 42, 199–213. [Google Scholar] [CrossRef]
- Wohl, E.; Lane, S.N.; Wilcox, A.C. The science and practice of river restoration. Water Resour. Res. 2015, 51, 5974–5997. [Google Scholar] [CrossRef]
- Powers, P.D.; Helstab, M.; Niezgoda, S.L. A process-based approach to restoring depositional river valleys to Stage 0, an anastomosing channel network. River Res. Appl. 2019, 35, 3–13. [Google Scholar] [CrossRef]
- Cluer, B.; Thorne, C. stream evolution model integrating habitat and ecosystem benefits. River Res. Appl. 2014, 30, 135–154. [Google Scholar] [CrossRef]
- Schumm, S.A.; Harvey, M.D.; Watson, C.C. Incised Channels: Morphology, Dynamics, and Control; Water Resources Publications: Littleton, CO, USA, 1984. [Google Scholar]
- Simon, A.; Hupp, C.R. Geomorphic and Vegetative Recovery Processes along Modified Tennessee Streams: An Interdisciplinary Approach to Disturbed Fluvial Systems. Int. Assoc. Hydrol. Sci. 1987, 167, 251–262. [Google Scholar]
- Poole, G.C.; Berman, C.H. An ecological perspective on in-stream temperature: Natural heat dynamics and mechanisms of human-caused thermal degradation. Environ. Manag. 2001, 27, 787. [Google Scholar] [CrossRef]
- Flitcroft, R.L.; Brignon, W.R.; Staab, B.; Bellmore, J.R.; Burnett, J.; Burns, P.; Cluer, B.; Giannico, G.; Helstab, J.M.; Jennings, J.; et al. Rehabilitating Valley Floors to a Stage 0 Condition: A Synthesis of Opening Outcomes. Front. Environ. Sci. 2022, 10, 892268. [Google Scholar] [CrossRef]
- Hinshaw, S.; Wohl, E.; Burnett, J.D.; Wondzell, S. Development of a geomorphic monitoring strategy for stage 0 restoration in the South Fork McKenzie River, Oregon, USA. Earth Surf. Process. Landf. 2022, 47, 1937–1951. [Google Scholar] [CrossRef]
- Fonstad, M.A.; Dietrich, J.T.; Courville, B.C.; Jensen, J.L.; Carbonneau, P.E. Topographic structure from motion: A new development in photogrammetric measurement. Earth Surf. Process. Landf. 2013, 38, 421–430. [Google Scholar] [CrossRef]
- Ireland-Otto, N.; Ciampitti, I.A.; Blanks, M.T.; Burton, R.O., Jr.; Balthazor, T. Costs of Using Unmanned Aircraft on Crop Farms. J. ASFMRA 2016, 2016, 130–148. [Google Scholar] [CrossRef]
- Torgersen, C.E.; Price, D.M.; Li, H.W.; McIntosh, B.A. Multiscale Thermal Refugia and Stream Habitat Associations of Chinook Salmon in Northeastern Oregon. Ecol. Appl. 1999, 9, 301–319. [Google Scholar] [CrossRef]
- Dugdale, S.J.; Bergeron, N.E.; St-Hilaire, A. Temporal variability of thermal refuges and water temperature patterns in an Atlantic salmon river. Remote Sens. Environ. 2013, 136, 358–373. [Google Scholar] [CrossRef]
- Dugdale, S.J. A practitioner’s guide to thermal infrared remote sensing of rivers and streams: Recent advances, precautions and considerations. Wiley Interdiscip. Rev. Water 2016, 3, 251–268. [Google Scholar] [CrossRef]
- Dugdale, S.J.; Kelleher, C.A.; Malcolm, I.A.; Caldwell, S.; Hannah, D.M. Assessing the potential of drone-based thermal infrared imagery for quantifying river temperature heterogeneity. Hydrol. Process. 2019, 33, 1152–1163. [Google Scholar] [CrossRef]
- Jensen, A.M.; Neilson, B.T.; McKee, M.; Chen, Y. Thermal remote sensing with an autonomous unmanned aerial remote sensing platform for surface stream temperatures. In Proceedings of the 2012 IEEE International Geoscience and Remote Sensing Symposium, Munich, Germany, 22–27 July 2012; pp. 5049–5052. [Google Scholar]
- Bartelt, G. Monitoring Phytoplankton Biomass and Surface Temperatures of Small Inland Lakes by Multispectral and Thermal UAS Imagery. Master’s Thesis, University of Minnesota, Minneapolis, MN, USA, 2021. [Google Scholar]
- Tunca, E.; Köksal, E.S.; Çetin Taner, S. Calibrating UAV thermal sensors using machine learning methods for improved accuracy in agricultural applications. Infrared Phys. Technol. 2023, 133, 104804. [Google Scholar] [CrossRef]
- Niwa, H. Comparison of the accuracy of two UAV-mounted uncooled thermal infrared sensors in predicting river water temperature. River Res. Appl. 2022, 38, 1660–1667. [Google Scholar] [CrossRef]
- Boyd, M.; Kasper, B. Analytical Methods for Dynamic Open Channel Heat and Mass Transfer: Methodology for the Heat Source Model Version 7.0; Watershed Sciences, Inc.: Portland, OR, USA, 2003. [Google Scholar]
- Woltemade, C.J.; Hawkins, T.W. Stream Temperature Impacts Because of Changes in Air Temperature, Land Cover and Stream Discharge: Navarro River Watershed, California, USA. River Res. Appl. 2016, 32, 2020–2031. [Google Scholar] [CrossRef]
- Franklin, J.F.; Dryness, C.T. Natural Vegetation of Oregon and Washington; U.S.D.A. Forest Service: Portland, OR, USA, 1973. [Google Scholar]
- Geist, D.R.; Dauble, D.D. Redd Site Selection and Spawning Habitat Use by Fall Chinook Salmon: The Importance of Geomorphic Features in Large Rivers. Environ. Manag. 1998, 22, 655–669. [Google Scholar] [CrossRef]
- McHugh, P.; Budy, P. Patterns of Spawning Habitat Selection and Suitability for Two Populations of Spring Chinook Salmon, with an Evaluation of Generic versus Site-Specific Suitability Criteria. Trans. Am. Fish. Soc. 2004, 133, 89–97. [Google Scholar] [CrossRef]
- Reiser, D.W.; White, R.G. Effects of Two Sediment Size-Classes on Survival of Steelhead and Chinook Salmon Eggs. N. Am. J. Fish. Manag. 1988, 8, 432–437. [Google Scholar] [CrossRef]
- McKenzie Watershed Council. Phase I Summary. Available online: https://www.mckenziewc.org/phase-1-2/ (accessed on 13 February 2024).
- MicaSense. MicaSense Altum and DLS 2 Integration Guide; MicaSense: Seattle, WA, USA, 2020. [Google Scholar]
- DJI. DJI Pilot—DJI Download Center—DJI. Available online: https://www.dji.com/downloads/djiapp/dji-pilot (accessed on 19 May 2020).
- Agisoft. Agisoft Metashape. Available online: https://www.agisoft.com/pdf/metashape-pro_2_1_en.pdf (accessed on 18 May 2020).
- Watershed Sciences. Airborne Thermal Infrared Remote Sensing McKenzie River Basin, Oregon; Watershed Sciences: Corvallis, OR, USA, 2009. [Google Scholar]
- U.S. Geological Survey. National Water Information System Data Available on the World Wide Web (Water Data for the Nation). Available online: https://nwis.waterdata.usgs.gov/nwis/uv?cb_00010=on&format=html&site_no=14159500&legacy=1&period=&begin_date=2021-07-15&end_date=2021-07-15 (accessed on 13 February 2024).
- Jensen, A.M.; McKee, M.; Chen, Y. Procedures for processing thermal images using low-cost microbolometer cameras for small unmanned aerial systems. In Proceedings of the 2014 IEEE Geoscience and Remote Sensing Symposium, Quebec City, QC, Canada, 13–18 July 2014; pp. 2629–2632. [Google Scholar]
- Abolt, C.; Caldwell, T.; Wolaver, B.; Pai, H. Unmanned aerial vehicle-based monitoring of groundwater inputs to surface waters using an economical thermal infrared camera. Opt. Eng. 2018, 57, 1. [Google Scholar] [CrossRef]
- RBR Global. RBRsolo3 T Datasheet. Available online: https://rbr-global.com/wp-content/uploads/2023/12/RBRsolo3-T-Datasheet-0005583revG.pdf (accessed on 1 December 2023).
- Ribeiro-Gomes, K.; Hernández-López, D.; Ortega, J.F.; Ballesteros, R.; Poblete, T.; Moreno, M.A. Uncooled Thermal Camera Calibration and Optimization of the Photogrammetry Process for UAV Applications in Agriculture. Sensors 2017, 17, 2173. [Google Scholar] [CrossRef]
- Malbeteau, Y.; Johansen, K.; Aragon, B.; Al-Mashhawari, S.K.; McCabe, M.F. Overcoming the Challenges of Thermal Infrared Orthomosaics Using a Swath-Based Approach to Correct for Dynamic Temperature and Wind Effects. Remote Sens. 2021, 13, 3255. [Google Scholar] [CrossRef]
- Acorsi, M.G.; Gimenez, L.M.; Martello, M. Assessing the Performance of a Low-Cost Thermal Camera in Proximal and Aerial Conditions. Remote Sens. 2020, 12, 3591. [Google Scholar] [CrossRef]
- Esri. ArcGIS Pro, 2.8.2; Esri Inc.: Redlands, CA, USA, 2021.
- McFeeters, S.K. The use of the Normalized Difference Water Index (NDWI) in the delineation of open water features. Int. J. Remote Sens. 1996, 17, 1425–1432. [Google Scholar] [CrossRef]
- McFeeters, S. Using the Normalized Difference Water Index (NDWI) within a Geographic Information System to Detect Swimming Pools for Mosquito Abatement: A Practical Approach. Remote Sens. 2013, 5, 3544–3561. [Google Scholar] [CrossRef]
- Rees, G. Physical Principles of Remote Sensing, 3rd ed.; Cambridge University Press: Cambridge, UK, 2013. [Google Scholar]
- Cherkauer, K.A.; Burges, S.J.; Handcock, R.N.; Kay, J.E.; Kampf, S.K.; Gillespie, A.R. Assessing Satllite-Based and Aircraft-Based thermal Infrared Remote Sensing for Monitoring Pacific Northwest River Temperature. JAWRA J. Am. Water Resour. Assoc. 2005, 41, 1149–1159. [Google Scholar] [CrossRef]
- Roussel, J.R.; Auty, D. Airborne LiDAR Data Manipulation and Visualization for Forestry Applications, R package version 3.1.1; r-lidar: Québec, QC, Canada, 2021.
- R Core Team. R: A Language and Environment for Statistical Computing, 4.1.2; R Core Team: Vienna, Austria, 2021.
- Zhang, W.; Qi, J.; Wan, P.; Wang, H.; Xie, D.; Wang, X.; Yan, G. An Easy-to-Use Airborne LiDAR Data Filtering Method Based on Cloth Simulation. Remote Sens. 2016, 8, 501. [Google Scholar] [CrossRef]
- Rouse, J.W., Jr.; Haas, R.H.; Schell, J.A.; Deering, D.W. Monitoring Vegetation Systems in the Great Plains with Erts. 1974, Volume 351, p. 309. Available online: https://api.semanticscholar.org/CorpusID:133358670 (accessed on 16 September 2020).
- Lillesand, T.M.; Kiefer, R.W.; Chipman, J.W. Remote Sensing and Image Interpretation, 7th ed.; Hoboken, N.J., Ed.; John Wiley & Sons, Inc.: Hoboken, NJ, USA, 2015. [Google Scholar]
- Hijmans, R.J. Raster: Geographic Data Analysis and Modeling; R package version 3.5-9. Available online: https://cran.r-project.org/web/packages/raster/index.html (accessed on 20 December 2021).
- Forest Accord Signatories. Oregon Private Forest Accord; Oregon Department of Forestry: Salem, OR, USA, 2022. [Google Scholar]
- Wood, S.N. Generalized Additive Models: An Introduction with R, 2nd ed.; Chapman and Hall/CRC: Boca Raton, FL, USA, 2017. [Google Scholar]
- Ebert, L.A.; Talib, A.; Zipper, S.C.; Desai, A.R.; Paw, U.K.T.; Chisholm, A.J.; Prater, J.; Nocco, M.A. How High to Fly? Mapping Evapotranspiration from Remotely Piloted Aircrafts at Different Elevations. Remote Sens. 2022, 14, 1660. [Google Scholar] [CrossRef]
- Minkina, W.; Klecha, D. Atmospheric transmission coefficient modelling in the infrared for thermovision measurements. J. Sens. Sens. Syst. 2016, 5, 17–23. [Google Scholar] [CrossRef]
- Barker, M.I.; Burnett, J.D.; Gutiérrez, F.M.; Wondzell, S.M.; Wing, M.G. Sampling-Based Approaches to Estimating Two-Dimensional Large Wood Area from UAS Imagery. J. Geogr. Inf. Syst. 2022, 14, 571–588. [Google Scholar] [CrossRef]
- Johnson, S.L.; Jones, J.A. Stream temperature responses to forest harvest and debris flows in western Cascades, Oregon. Can. J. Fish. Aquat. Sci. 2000, 57, 30–39. [Google Scholar] [CrossRef]
- D’Souza, L.E.; Reiter, M.; Six, L.J.; Bilby, R.E. Response of vegetation, shade and stream temperature to debris torrents in two western Oregon watersheds. For. Ecol. Manag. 2011, 261, 2157–2167. [Google Scholar] [CrossRef]
- Brown, G.W. Predicting Temperatures of Small Streams. Water Resour. Res. 1969, 5, 68–75. [Google Scholar] [CrossRef]
- Berman, C.H.; Quinn, T.P. Behavioural thermoregulation and homing by spring chinook salmon, Oncorhynchus tshawytscha (Walbaum), in the Yakima River. J. Fish Biol. 1991, 39, 301–312. [Google Scholar] [CrossRef]
- Armstrong, J.B.; Fullerton, A.H.; Jordan, C.E.; Ebersole, J.L.; Bellmore, J.R.; Arismendi, I.; Penaluna, B.; Reeves, G.H. The importance of warm habitat to the growth regime of cold-water fishes. Nat. Clim. Chang. 2021, 11, 354–361. [Google Scholar] [CrossRef]
- Isaak, D.J.; Young, M.K.; Nagel, D.E.; Horan, D.L.; Groce, M.C. The cold-water climate shield: Delineating refugia for preserving salmonid fishes through the 21st century. Glob. Change Biol. 2015, 21, 2540–2553. [Google Scholar] [CrossRef]
- Ruff, C.P.; Schindler, D.E.; Armstrong, J.B.; Bentley, K.T.; Brooks, G.T.; Holtgrieve, G.W.; McGlauflin, M.T.; Torgersen, C.E.; Seeb, J.E. Temperature-associated population diversity in salmon confers benefits to mobile consumers. Ecology 2011, 92, 2073–2084. [Google Scholar] [CrossRef]
- Ebersole, J.L.; Liss, W.J.; Frissell, C.A. Thermal heterogeneity, stream channel morphology, and salmonid abundance in northeastern Oregon streams. Can. J. Fish. Aquat. Sci. 2003, 60, 1266–1280. [Google Scholar] [CrossRef]
Disclaimer/Publisher’s Note: The statements, opinions and data contained in all publications are solely those of the individual author(s) and contributor(s) and not of MDPI and/or the editor(s). MDPI and/or the editor(s) disclaim responsibility for any injury to people or property resulting from any ideas, methods, instructions or products referred to in the content. |
© 2025 by the authors. Licensee MDPI, Basel, Switzerland. This article is an open access article distributed under the terms and conditions of the Creative Commons Attribution (CC BY) license (https://creativecommons.org/licenses/by/4.0/).










