Spatial Resolution Enhancement of Microwave Radiation Imager (MWRI) Data
Abstract
1. Introduction
2. Materials and Methods
2.1. Data
2.2. Methodology
2.2.1. Theoretical Basis
2.2.2. Spatial Matching
2.2.3. SIR Algorithm
3. Results
3.1. SIR Simulation
3.2. MWRI Data with the SIR Algorithm
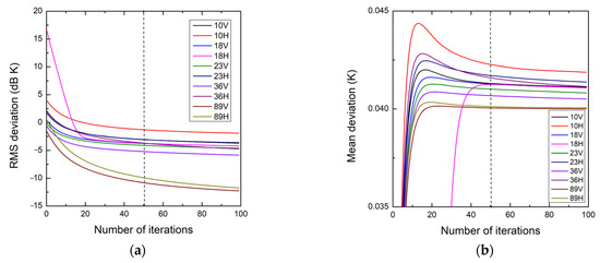
3.3. Statistical Analysis of Deviation
3.4. Noise Analysis
4. Effective Resolution Improvement
5. Conclusions
Author Contributions
Funding
Data Availability Statement
Acknowledgments
Conflicts of Interest
References
- Moncet, J.L.; Liang, P.; Galantowicz, J.F.; Lipton, A.E.; Uymin, G.; Prigent, C.; Grassotti, C. Land surface microwave emissivities derived from AMSR-E and MODIS measurements with advanced quality control. J. Geo-Phys. Res. Atmos. 2011, 116, D16104. [Google Scholar] [CrossRef]
- Yang, C.; Liu, Z.Q.; Bresch, J.; Rizvi, S.R.H.; Huang, X.Y.; Min, J.Z. 2016: AMSR2 all-sky radiance assimilation and its impact on the analysis and forecast of Hurricane Sandy with a limited-area data assimilation system. Tellus A 2016, 68, 30917. [Google Scholar] [CrossRef]
- Xiao, H.Y.; Han, W.; Wang, H.; Wang, J.C.; Liu, G.Q.; Xu, C.S. Impact of FY-3DMWRI radiance assimilation in GRAPES 4DVar on forecasts of typhoon Shanshan. J. Meteor. Res. 2020, 34, 836–850. [Google Scholar] [CrossRef]
- Hollinger, J.P.; Peirce, J.L.; Poe, G.A. SSM/I instrument evaluation. IEEE Trans. Geosci. Remote Sens. 1990, 28, 781–790. [Google Scholar] [CrossRef]
- Goodrum, G.; Kidwell, K.B.; Winston, W. NOAA KLM User’s Guide; Department of Commerce: Washington, DC, USA, 2000.
- Kawanishi, T.; Sezai, T.; Ito, Y.; Imaoka, K.; Takeshima, T.; Ishido, Y.; Shibata, A.; Miura, M.; Inahata, H.; Spencer, R.W. The advanced microwave scanning radiometer for the Earth observing system (AMSR-E), NASDA’S contribution to the EOS for global energy and water cycle studies. IEEE Trans. Geosci. Remote Sens. 2003, 41, 184–194. [Google Scholar] [CrossRef]
- Xiao, H.Y.; Han, W.; Bai, Y.H. Assimilation of GCOM-W AMSR2 radiance data in CMA_GFS 4DVar. Acta Meteorol. Sin. 2022, 80, 777–790. [Google Scholar]
- Oki, T.; Imaoka, K.; Kachi, M. AMSR instruments on GCOM-W1/2: Concepts and applications. In Proceedings of the 2010 IEEE International Geoscience and Remote Sensing Symposium, Honolulu, HI, USA, 25–30 July 2010. [Google Scholar]
- Kazumori, M.; Geer, A.J.; English, S.J. Effects of all-sky Effects of all-sky assimilation of GCOM-W/AMSR2 radiances in the ECMWF numerical weather prediction system. Quart J. Roy Meteor. Soc. 2016, 142, 721–737. [Google Scholar] [CrossRef]
- Lean, P.; Geer, A.J.; Lonitz, K. Assimilation of Global Precipitation Mission (GPM) Microwave Imager (GMI) in All-Sky Condition; ECMWF Technical Memoranda 799; ECMWF: Reading, UK, 2017. [Google Scholar]
- Backus, G.E.; Gilbert, J.F. Numerical applications of a formalism for geophysical inverse problems. Geophys. J. R. Astron. Soc. 1967, 13, 247–276. [Google Scholar] [CrossRef]
- Backus, G.E.; Gilbert, J.F. Resolving power of gross Earth data, Geophys. J. R. Astron. Soc. 1968, 16, 169–205. [Google Scholar] [CrossRef]
- Fleming, H. 1972: A method for calculating atmospheric thickness directly from satellite radiation measurements. In Proceedings of the Conference on Atmospheric Radiation, Ft Collins, CO, USA, 7–9 August 1972; pp. 134–137. [Google Scholar]
- Stogryn, A. Estimates of brightness temperature from scanning radiometer data. IEEE Trans. Antennas Propag. 1978, 26, 720–725. [Google Scholar] [CrossRef]
- Long, D.G.; Daum, D.L. Spatial resolution enhancement of SSM/I data. IEEE Trans. Geosci. Remote Sens. 1998, 36, 407–417. [Google Scholar] [CrossRef]
- Early, D.S.; Long, D.G. Image reconstruction and enhanced resolution imaging from irregular samples. IEEE Trans. Geosci. Remote Sens. 2001, 39, 291–302. [Google Scholar] [CrossRef]
- Gu, H.; England, A.W. AMSR-E data resampling with nearcircular synthesized footprint shape and noise/resolution tradeoff study. IEEE Trans. Geosci. Remote Sens. 2007, 45, 3193–3203. [Google Scholar]
- Poe, G.A. Optimum interpolation of imaging microwave radiometer data. IEEE Trans. Geosci. Remote Sens. 1990, 28, 800–810. [Google Scholar] [CrossRef]
- Gunn, B.A.; Long, D.G. Spatial resolution enhancement of AMSR Tb images based on measurement local time of day. In Proceedings of the IEEE IGARSS, Boston, MA, USA, 6–11 July 2008. [Google Scholar]
- Long, D.G.; Hardin, P.J.; Whiting, P.T. Resolution enhancement of spaceborne scattermeter data. IEEE Trans. Geosci. Remote Sens. 1993, 31, 700–715. [Google Scholar] [CrossRef]
- Long, D.G.; Brodzik, M.J. Optimum image formation for spaceborne microwave radiometer products. IEEE Trans. Geosci. Remote Sens. 2016, 54, 2763–2779. [Google Scholar] [CrossRef]
- Long, D.G.; Brodzik, M.J.; Hardman, M.A. Enhanced-resolution SMAP brightness temperature image products. IEEE Trans. Geosci. Remote Sens. 2019, 57, 4151–4163. [Google Scholar] [CrossRef]
- Brown, J.P.; Long, D.G. Resolution Enhancement of SMAP Passive Soil Moisture Estimates. Remote Sens. 2022, 14, 1761. [Google Scholar] [CrossRef]
- Long, D.G.; Brodzik, M.J.; Hardman, M. Evaluating the effective resolution of enhanced resolution SMAP brightness temperature image products. Front. Remote Sens. 2023, 4, 1073765. [Google Scholar] [CrossRef]
- Gordon, R. A tutorial on ART. IEEE Trans. Nucleon Sci. 1974, 21, 78–93. [Google Scholar] [CrossRef]
- Censor, Y. Finite series-expansion reconstruction methods. Proc. IEEE 1983, 71, 409–419. [Google Scholar] [CrossRef]
- Brodzik, M.J.; Long, D.G.; Hardman, M.A. Calibrated Passive Microwave Daily EASE-Grid 2.0 Brightness Temperature ESDR (CETB) Algorithm Theoretical Basis Document; NSIDC-0630, Version 2. [Data Set]; NASA National Snow and Ice Data Center Distributed Active Archive Center: Boulder, CO, USA, 2024. [CrossRef]
- Yang, J.; Jiang, L.; Wu, S.; Wang, G.; Wang, J.; Liu, X. Development of a snow depth estimation algorithm over China for the FY-3D/MWRI. Remote Sens. 2019, 11, 977. [Google Scholar] [CrossRef]
- Shao, W.; Zhang, T. Assessment of four near-surface soil freeze/thaw detection algorithms based on calibrated passive microwave remote sensing data over China. Earth Space Sci. 2020, 7, e2019EA000807. [Google Scholar] [CrossRef]
- Huang, C.; Zhang, S.; Han, W.; Feng, X.; Duan, S. Retrieval of cloudy land surface temperature from AMSR2 brightness temperature, precipitable water vapour and cloud liquid water. Int. J. Remote Sens. 2024, 45, 7518–7534. [Google Scholar] [CrossRef]
- Gu, S.Y.; Wang, Z.Z.; Li, J.; Zhang, S.W. The radiometric characteristics of sounding channels for FY-3A/MWHS. J. Appl. Meteor. Sci. 2010, 21, 335–341. (In Chinese) [Google Scholar]
- Guo, Y.; Lu, N.M.; Gu, S.; He, J.Y.; Wang, Z.Z. Radiometric characteristics of FY-3C microwave humidity and temperature sounder. J. Appl. Meteor. Sci. 2014, 25, 436–444. (In Chinese) [Google Scholar]
- Zhang, P.; Yang, H.; Qiu, H.; Ma, G.; Yang, Z.D.; Lu, N.M.; Yang, J. Quantitative remote sensing from the current Fengyun 3 satellites. Adv. Meteor. Sci. Technol. 2021, 2, 6–11. (In Chinese) [Google Scholar]
- Xian, D.; Zhang, P.; Gao, L.; Sun, R.J.; Zhang, H.Z.; Jia, X. Fengyun meteorological satellite products for earth system science applications. Adv. Atmos. Sci. 2021, 38, 267–1284. [Google Scholar] [CrossRef]
- Langlois, A.; Royer, A.; Dupont, F.; Roy, A.; Goita, K.; Picard, G. Improved corrections of forest effects on passive microwave satellite remote sensing of snow over boreal and subarctic regions. IEEE Trans. Geosci. Remote Sens. 2011, 49, 3824–3837. [Google Scholar] [CrossRef]
- Shahroudi, N.; Rossow, W. Using land surface microwave emissivities to isolate the signature of snow on different surface types. Remote Sens. Environ. 2014, 152, 638–653. [Google Scholar] [CrossRef]
- Xiao, X.; He, T.; Liang, S.; Zhao, T. Improving Fractional Snow Cover Retrieval from Passive Microwave Data Using a Radiative Transfer Model and Machine Learning Method. IEEE Trans. Geosci. Remote Sens. 2022, 60, 4304215. [Google Scholar] [CrossRef]
- Ulaby, F.T.; Long, D.G. Microwave Radar and Radiometric Remote Sensing; University of Michigan Press: Ann Arbor, MI, USA, 2013; ISBN 978-0-472-11935-6. [Google Scholar]
- Wang, L.; Tremblay, D.; Zhang, B.; Han, Y. Fast and accurate collocation of the visible infrared imaging radiometer suite measurements with cross-track infrared sounder. Remote Sens. 2016, 8, 76. [Google Scholar] [CrossRef]
- Long, D.G.; Brodzik, M.J.; Hardman, M.A. The Effective Resolution of CETB Image Products; NSIDC Special Report 21; National Snow and Ice Data Center: Boulder CO, USA, 2021. [Google Scholar]
- Kang, C.S.; Zhao, T.; Shi, J.; Cosh, M.H.; Chen, Y.; Starks, P.J.; Collins, C.H.; Wu, S.; Sun, R.; Zheng, J. Global soil moisture retrievals from the Chinese FY-3D Microwave Radiation Imager. IEEE Trans. Geosci. Remote Sens. 2021, 59, 4018–4032. [Google Scholar] [CrossRef]












| Frequency (GHz) | Polarization | Calibration Accuracy (K) * | NE∆T (K) * | 3 dB Footprint (km × km) * |
|---|---|---|---|---|
| 10.65 | V | 2.0 | 0.5 | 85 × 51 |
| H | 2.0 | 0.5 | 85 × 51 | |
| 18.7 | V | 2.0 | 0.5 | 50 × 30 |
| H | 2.0 | 0.5 | 50 × 30 | |
| 23.8 | V | 2.0 | 0.5 | 45 × 27 |
| H | 2.0 | 0.5 | 45 × 27 | |
| 36.5 | V | 2.0 | 0.5 | 30 × 18 |
| H | 2.0 | 0.5 | 30 × 18 | |
| 89 | V | 2.0 | 0.8 | 15 × 9 |
| H | 2.0 | 0.8 | 15 × 9 |
| Frequency (GHz) | 10.65 | 18.7 | 23.8 | 36.5 | 89 |
|---|---|---|---|---|---|
| Overlap percentage along scan | 83.94% | 72.86% | 69.74% | 55.13% | 17.07% |
| Overlap percentage along track | 83.16% | 71.82% | 68.05% | 53.61% | 14.75% |
| Frequency (GHz) | Polarization | Error Statistics (K) | ||
|---|---|---|---|---|
| Mean | RMS | STD | ||
| 10.65 | V | 0.041 | 0.524 | 0.522 |
| H | 0.043 | 0.781 | 0.780 | |
| 18.7 | V | 0.042 | 0.436 | 0.434 |
| H | 0.042 | 0.442 | 0.439 | |
| 23.8 | V | 0.041 | 0.380 | 0.378 |
| H | 0.042 | 0.435 | 0.433 | |
| 36.5 | V | 0.040 | 0.225 | 0.221 |
| H | 0.041 | 0.319 | 0.317 | |
| 89 | V | 0.040 | 0.112 | 0.104 |
| H | 0.040 | 0.142 | 0.136 | |
| Channel | SNR (dB) | ||
|---|---|---|---|
| Nonenhanced | Enhanced | ∆ | |
| 10.65 V | 24.899 | 24.744 | −0.154 |
| 10.65 H | 24.039 | 23.474 | −0.565 |
| 18.7 V | 24.284 | 23.880 | −0.404 |
| 18.7 H | 23.748 | 23.906 | 0.159 |
| 23.8 V | 24.537 | 24.210 | −0.326 |
| 23.8 H | 24.412 | 23.912 | −0.501 |
| 36.5 V | 23.995 | 23.626 | −0.369 |
| 36.5 H | 22.898 | 22.303 | −0.595 |
| 89 V | 24.300 | 23.803 | −0.498 |
| 89 H | 24.705 | 24.112 | −0.593 |
| Channel | 3 dB Width (Nonenhanced) | 3 dB Width (SIR-Enhanced) | Reduction of 3 dB Width | Resolution Improvement (%) |
|---|---|---|---|---|
| 10.65 V | 13.2570 | 8.4655 | 4.7915 | 36.14 |
| 18.7 V | 7.0015 | 4.4098 | 2.5917 | 37.02 |
| 23.8 V | 6.3154 | 3.8894 | 2.4260 | 38.41 |
| 36.5 V | 4.7739 | 4.3410 | 0.4329 | 9.07 |
Disclaimer/Publisher’s Note: The statements, opinions and data contained in all publications are solely those of the individual author(s) and contributor(s) and not of MDPI and/or the editor(s). MDPI and/or the editor(s) disclaim responsibility for any injury to people or property resulting from any ideas, methods, instructions or products referred to in the content. |
© 2025 by the authors. Licensee MDPI, Basel, Switzerland. This article is an open access article distributed under the terms and conditions of the Creative Commons Attribution (CC BY) license (https://creativecommons.org/licenses/by/4.0/).
Share and Cite
Bai, Y.; Zheng, Z.; Shen, J.; Xu, N.; Cao, G.; Xiao, H. Spatial Resolution Enhancement of Microwave Radiation Imager (MWRI) Data. Remote Sens. 2025, 17, 1034. https://doi.org/10.3390/rs17061034
Bai Y, Zheng Z, Shen J, Xu N, Cao G, Xiao H. Spatial Resolution Enhancement of Microwave Radiation Imager (MWRI) Data. Remote Sensing. 2025; 17(6):1034. https://doi.org/10.3390/rs17061034
Chicago/Turabian StyleBai, Yihong, Zhaojun Zheng, Jie Shen, Na Xu, Guangzhen Cao, and Hongyi Xiao. 2025. "Spatial Resolution Enhancement of Microwave Radiation Imager (MWRI) Data" Remote Sensing 17, no. 6: 1034. https://doi.org/10.3390/rs17061034
APA StyleBai, Y., Zheng, Z., Shen, J., Xu, N., Cao, G., & Xiao, H. (2025). Spatial Resolution Enhancement of Microwave Radiation Imager (MWRI) Data. Remote Sensing, 17(6), 1034. https://doi.org/10.3390/rs17061034

