From Coast to Inland: Nonlinear and Temperature-Mediated Urbanization Effects on Vegetation Phenology in Shandong Province, China
Highlights
- By utilizing XGBoost–SHAP to investigate vegetation phenology along coastal and inland urban–suburban gradients, this study identified the distinct nonlinear mechanisms driving phenological changes.
- Land surface temperature (LST) is the dominant driver for phenology in inland areas, whereas precipitation is the most dominant driver for SOS in coastal areas.
- The distinct temperature thresholds identified imply that vegetation has a thermal limit, suggesting that continuous urban warming may eventually inhibit growth rather than extending the growing season.
- The dominance of precipitation in coastal zones implies that urban planning strategies must differentiate between “heat-control” (inland) and “water-regulation” (coastal) to effectively sustain ecosystem function.
Abstract
1. Introduction
2. Materials and Methods
2.1. Overview of the Study Area
2.2. Overview of the Study Area Research Framework
- (1)
- Preprocessing of data was conducted using the GEE platform (https://earthengine.google.com/, accessed on 24 November 2025). The preprocessing steps included cloud masking, compositing, and smoothing to generate high-quality time series of vegetation indices suitable for phenological analysis.
- (2)
- Extraction and Trend Analysis of Vegetation Phenology: Based on the reconstructed time series of the EVI, phenological parameters—the SOS and EOS—were extracted using a dynamic threshold method. Subsequently, their spatial distribution patterns and long-term trends were analyzed to reveal temporal and regional variations in vegetation phenology.
- (3)
- Analysis of Environmental Drivers Using XGBoost–SHAP: The mechanisms through which environmental factors influence vegetation phenology in coastal and inland areas were explored using the XGBoost model combined with SHAP. This approach not only quantifies the relative importance of different environmental variables but also reveals complex nonlinear relationships and potential threshold effects between phenological parameters and their driving factors.
- (4)
- Urban–Rural Gradient Analysis and LST Linkage: Differences in vegetation phenology across the urban–rural gradient were examined, and their relationship with LST was further investigated to understand how urbanization affects phenological dynamics through surface thermal conditions.
2.3. Data Sources and Processing
2.3.1. Basic Data
2.3.2. Extraction of Vegetation Phenology Metrics
2.3.3. Analysis of Vegetation Phenology Trends
2.3.4. Analysis of Factors Affecting Phenological Changes
2.3.5. Impact of Urbanization on Vegetation Phenology
3. Results
3.1. Spatial Variation in Key Vegetation Phenology Indicators
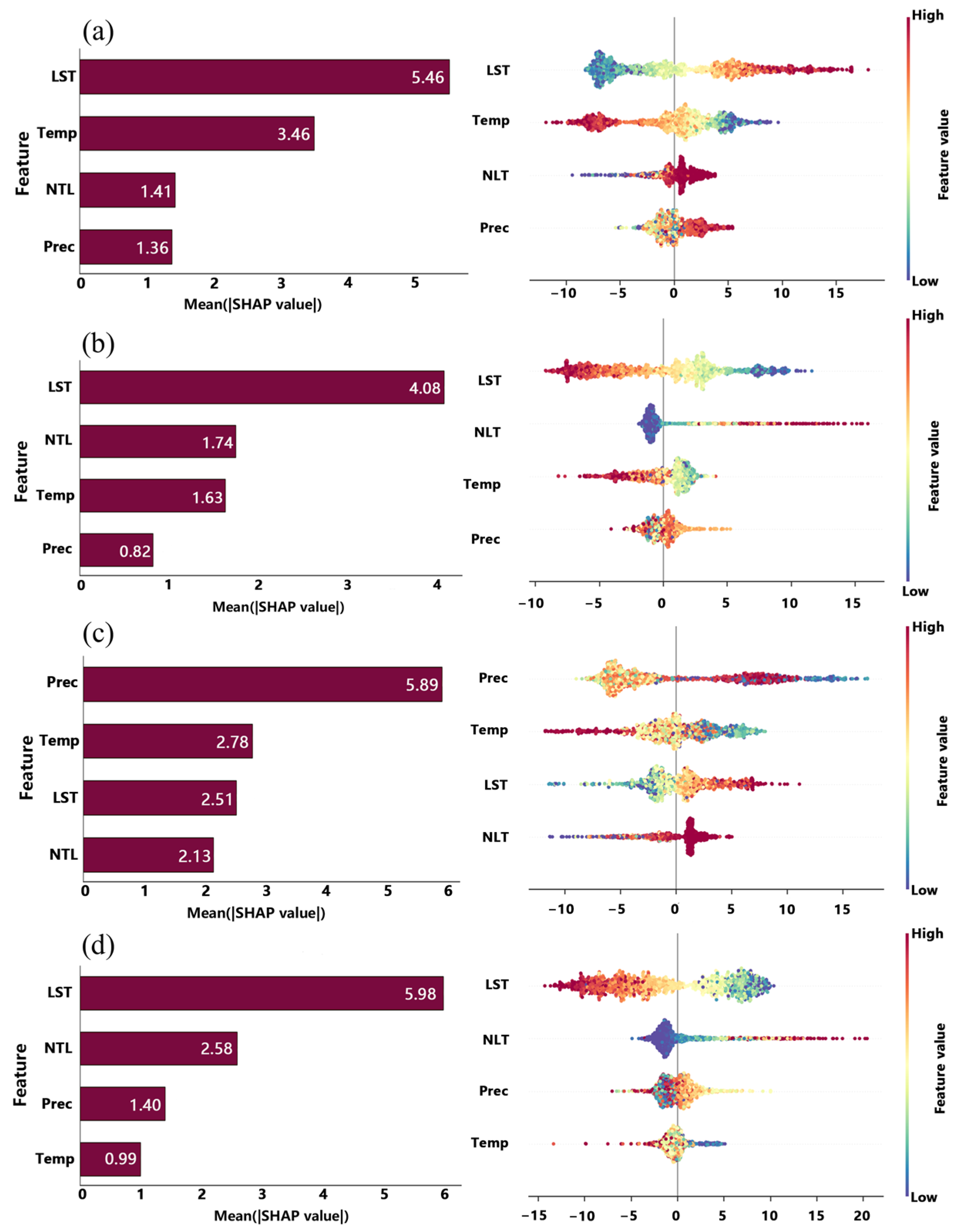
3.2. Phenological Sensitivity to Environmental Drivers: A Nonlinear Perspective
3.2.1. Regression Analysis and Prediction
3.2.2. Analysis of Factors Influencing Phenology
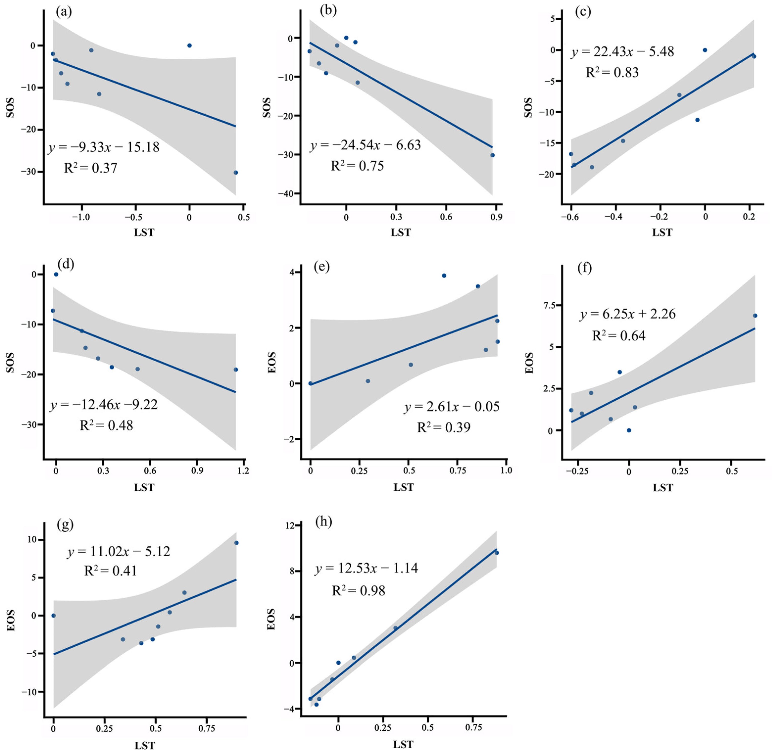
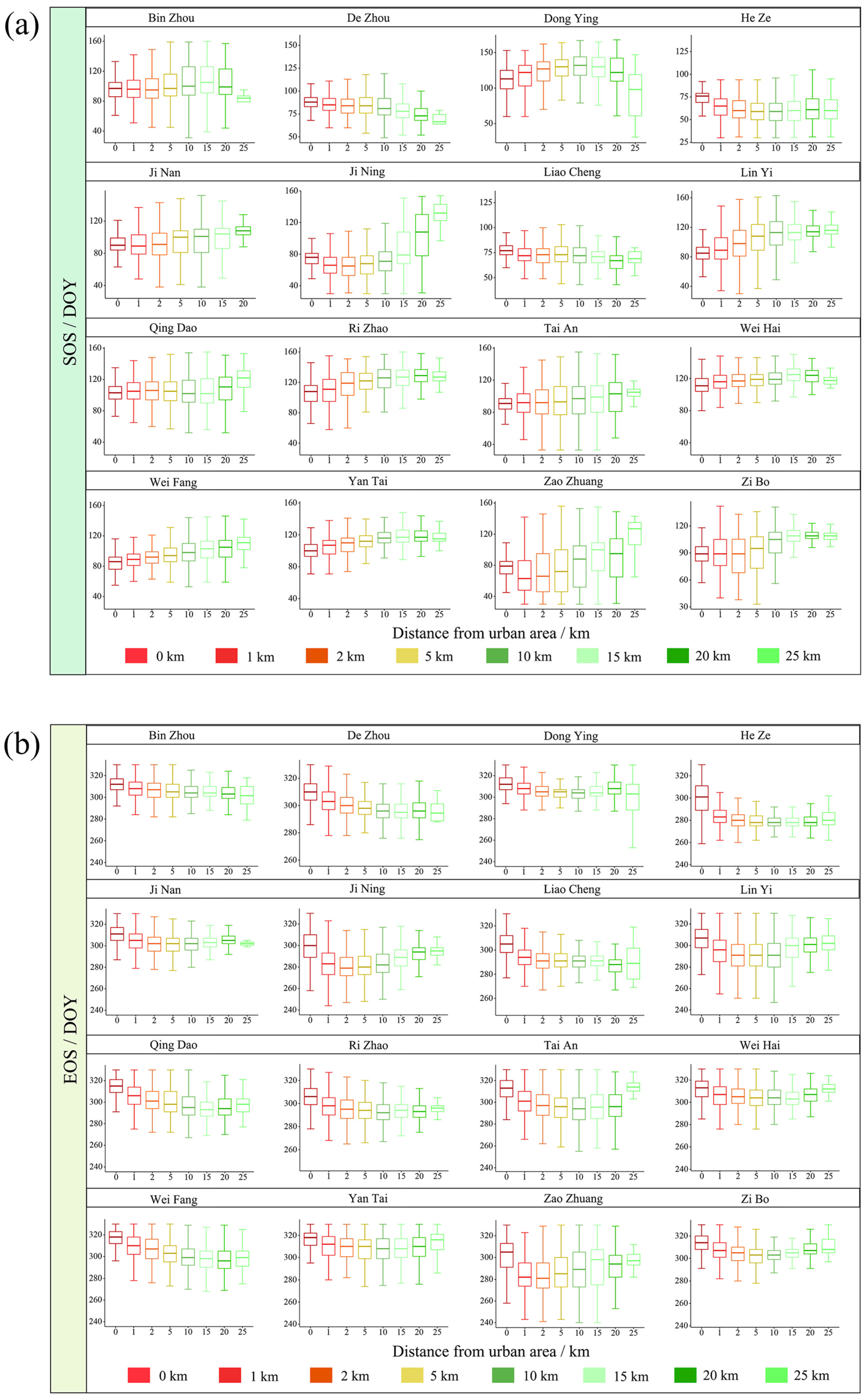
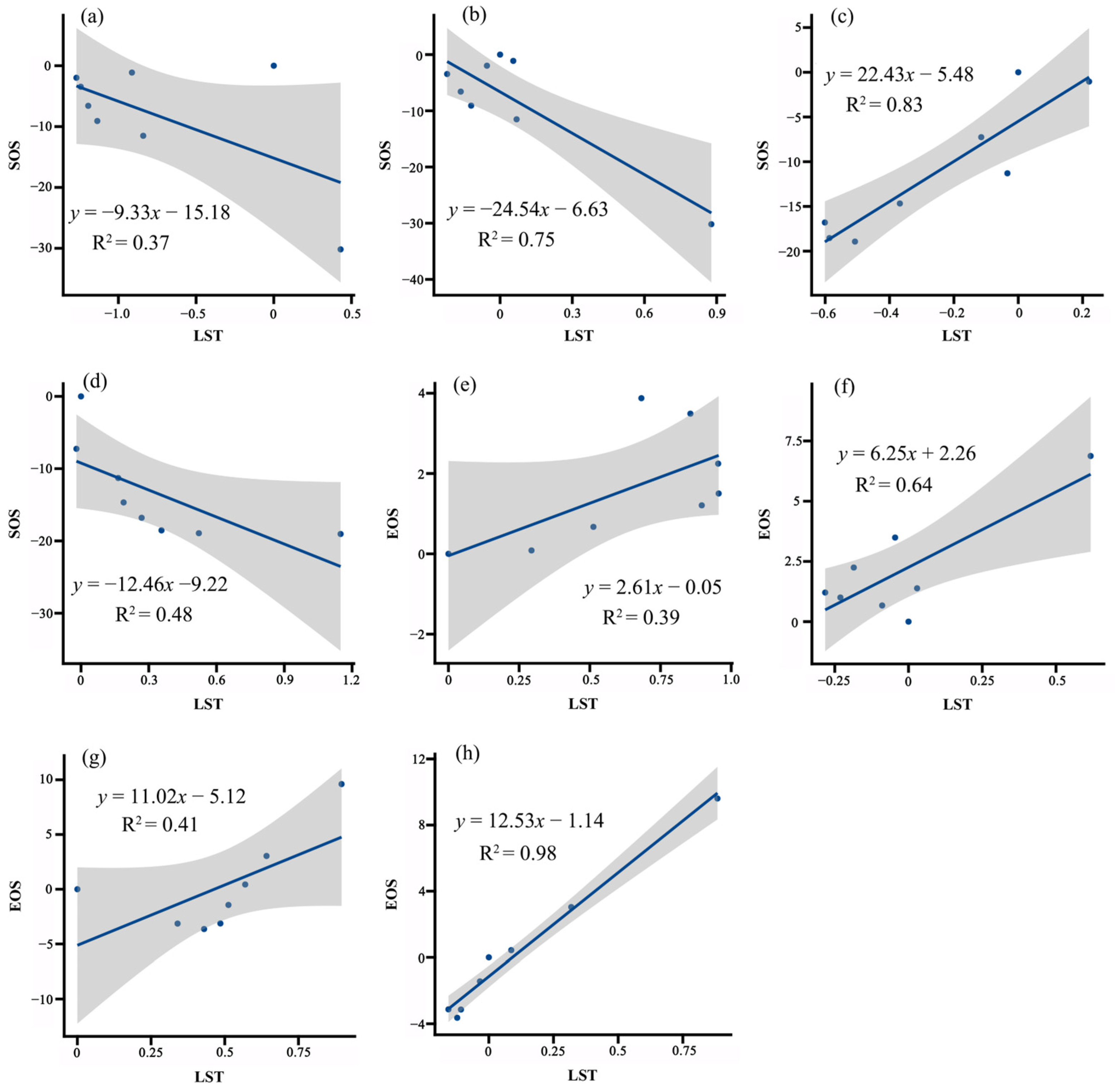
3.3. Urban–Rural Variations in Vegetation Phenology and Their Association with LST
4. Discussion
4.1. Spatiotemporal Variability in Vegetation Phenology Across Urban and Rural Landscapes
4.2. Synergistic Effects of Climate Change and Urbanization Factors
4.3. Variations in How LST Influences Vegetation Phenology Across the Urban-to-Suburban Continuum
4.4. Validation and Scale-Dependency of Urban Phenological Gradients
4.5. Policy Recommendations
- (1)
- To alleviate the heat warming effect—especially in densely built-up and coastal zones—it is advisable to expand the presence of vegetation and open water systems within urban environments [60]. Expanding the coverage of vegetation and aquatic features can effectively lower local temperatures, improve the urban microclimate, and enhance the resilience of urban ecosystems.
- (2)
- Implement Differentiated Temperature Control Strategies. Based on our findings of distinct temperature response thresholds in coastal versus inland regions (Figure 7), policies must be region-specific. Inland areas should focus on soil and water conservation and greening efforts to reduce the role of temperature fluctuations on phenology. In coastal areas, natural resources such as sea breezes should be utilized to enhance the unique climatic regulating effect, mitigating the negative impacts of temperature increases due to urbanization on the ecosystem.
- (3)
- Establish Green Buffer Zones: Creating green buffer zones in suburban areas can improve connectivity between urban and rural ecosystems, promoting ecological mobility and biodiversity.
4.6. Limitations and Uncertainties
5. Conclusions
Author Contributions
Funding
Data Availability Statement
Conflicts of Interest
References
- Angel, S.; Parent, J.; Civco, D.L.; Blei, A.; Potere, D. The dimensions of global urban expansion: Estimates and projections for all countries, 2000–2050. Prog. Plan. 2011, 75, 53–107. [Google Scholar] [CrossRef]
- van Vliet, J. Direct and indirect loss of natural area from urban expansion. Nat. Sustain. 2019, 2, 755–763. [Google Scholar] [CrossRef]
- Ullah, M.; Li, J.; Wadood, B. Analysis of Urban Expansion and its Impacts on Land Surface Temperature and Vegetation Using RS and GIS, A Case Study in Xi’an City, China. Earth Syst. Environ. 2020, 4, 583–597. [Google Scholar] [CrossRef]
- Ren, Q.; He, C.; Huang, Q.; Zhou, Y. Urbanization Impacts on Vegetation Phenology in China. Remote Sens. 2018, 10, 1905. [Google Scholar] [CrossRef]
- Zhong, Q.; Ma, J.; Zhao, B.; Wang, X.; Zong, J.; Xiao, X. Assessing spatial-temporal dynamics of urban expansion, vegetation greenness and photosynthesis in megacity Shanghai, China during 2000–2016. Remote Sens. Environ. 2019, 233, 111374. [Google Scholar] [CrossRef]
- Liu, Q.; Fu, Y.H.; Zeng, Z.; Huang, M.; Li, X.; Piao, S. Temperature, precipitation, and insolation effects on autumn vegetation phenology in temperate China. Glob. Chang. Biol. 2016, 22, 644–655. [Google Scholar] [CrossRef]
- Caparros-Santiago, J.A.; Rodriguez-Galiano, V.; Dash, J. Land surface phenology as indicator of global terrestrial ecosystem dynamics: A systematic review. ISPRS J. Photogramm. Remote Sens. 2021, 171, 330–347. [Google Scholar] [CrossRef]
- Meng, L.; Mao, J.; Zhou, Y.; Richardson, A.D.; Lee, X.; Thornton, P.E.; Ricciuto, D.M.; Li, X.; Dai, Y.; Shi, X.; et al. Urban warming advances spring phenology but reduces the response of phenology to temperature in the conterminous United States. Proc. Natl. Acad. Sci. USA 2020, 117, 4228–4233. [Google Scholar] [CrossRef]
- Li, S.; Li, Q.; Zhang, J.; Zhang, S.; Wang, X.; Yang, S.; Zhang, S. Study on the Spatial and Temporal Distribution of Urban Vegetation Phenology by Local Climate Zone and Urban–Rural Gradient Approach. Remote Sens. 2023, 15, 3957. [Google Scholar] [CrossRef]
- Li, P.; Peng, C.; Wang, M.; Luo, Y.; Li, M.; Zhang, K.; Zhang, D.; Zhu, Q. Dynamics of vegetation autumn phenology and its response to multiple environmental factors from 1982 to 2012 on Qinghai-Tibetan Plateau in China. Sci. Total Environ. 2018, 637–638, 855–864. [Google Scholar] [CrossRef]
- Zheng, C.; Tang, X.; Gu, Q.; Wang, T.; Wei, J.; Song, L.; Ma, M. Climatic anomaly and its impact on vegetation phenology, carbon sequestration and water-use efficiency at a humid temperate forest. J. Hydrol. 2018, 565, 150–159. [Google Scholar] [CrossRef]
- Piao, S.; Fang, J.; Zhou, L.; Ciais, P.; Zhu, B. Variations in satellite—Derived phenology in China’s temperate vegetation. Glob. Chang. Biol. 2006, 12, 672–685. [Google Scholar] [CrossRef]
- Shen, M.; Wang, S.; Jiang, N.; Sun, J.; Cao, R.; Ling, X.; Fang, B.; Zhang, L.; Zhang, L.; Xu, X.; et al. Plant phenology changes and drivers on the Qinghai–Tibetan Plateau. Nat. Rev. Earth Environ. 2022, 3, 633–651. [Google Scholar] [CrossRef]
- Qiao, C.; Shen, S.; Cheng, C.; Wu, J.; Jia, D.; Song, C. Vegetation Phenology in the Qilian Mountains and Its Response to Temperature from 1982 to 2014. Remote Sens. 2021, 13, 286. [Google Scholar] [CrossRef]
- Ma, R.; Shen, X.; Zhang, J.; Xia, C.; Liu, Y.; Wu, L.; Wang, Y.; Jiang, M.; Lu, X. Variation of vegetation autumn phenology and its climatic drivers in temperate grasslands of China. Int. J. Appl. Earth Obs. Geoinf. 2022, 114, 103064. [Google Scholar] [CrossRef]
- Workie, T.G.; Debella, H.J. Climate change and its effects on vegetation phenology across ecoregions of Ethiopia. Glob. Ecol. Conserv. 2018, 13, e00366. [Google Scholar] [CrossRef]
- Han, G.; Xu, J. Land surface phenology and land surface temperature changes along an urban-rural gradient in Yangtze River Delta, China. Environ. Manag. 2013, 52, 234–249. [Google Scholar] [CrossRef] [PubMed]
- Sun, J.; Wang, X.; Chen, A.; Ma, Y.; Cui, M.; Piao, S. NDVI indicated characteristics of vegetation cover change in China’s metropolises over the last three decades. Environ. Monit. Assess. 2011, 179, 1–14. [Google Scholar] [CrossRef]
- Wang, L.; De Boeck, H.J.; Chen, L.; Song, C.; Chen, Z.; McNulty, S.; Zhang, Z. Urban warming increases the temperature sensitivity of spring vegetation phenology at 292 cities across China. Sci. Total Environ. 2022, 834, 155154. [Google Scholar] [CrossRef]
- Zhang, C.C.; Meng, D.; Li, X.J. Spatial and temporal changes of vegetation phenology and its response to urbanization in the Beijing-Tianjin-Hebei region. Acta Ecol. Sin. 2023, 43, 249–262. [Google Scholar] [CrossRef]
- Liu, Z.; Zhou, Y.; Feng, Z. Response of vegetation phenology to urbanization in urban agglomeration areas: A dynamic urban-rural gradient perspective. Sci. Total Environ. 2023, 864, 161109. [Google Scholar] [CrossRef]
- Yang, Y.; Qiu, X.; Yang, L.; Lee, D. Impacts of Thermal Differences in Surfacing Urban Heat Islands on Vegetation Phenology. Remote Sens. 2023, 15, 5133. [Google Scholar] [CrossRef]
- Ma, J.; Wang, J.; He, S.; Zhang, J.; Liu, L.; Zhong, X. Direct and indirect effects of urbanization on vegetation: A survey of Yunnan central urban Economic Circle, China. Ecol. Indic. 2024, 166, 112536. [Google Scholar] [CrossRef]
- Yang, J.; Xin, J.; Zhang, Y.; Xiao, X.; Xia, J.C. Contributions of sea–land breeze and local climate zones to daytime and nighttime heat island intensity. NPJ Urban. Sustain. 2022, 2, 12. [Google Scholar] [CrossRef]
- Jiang, Q.; Yuan, Z.; Yin, J.; Yao, M.; Qin, T.; Lü, X.; Wu, G.; Ning, Z. Response of vegetation phenology to climate factors in the source region of the Yangtze and Yellow Rivers. J. Plant Ecol. 2024, 17, rtae046. [Google Scholar] [CrossRef]
- Li, C.; Wang, R.; Cui, X.; Wu, F.; Yan, Y.; Peng, Q.; Qian, Z.; Xu, Y. Responses of vegetation spring phenology to climatic factors in Xinjiang, China. Ecol. Indic. 2021, 124, 107286. [Google Scholar] [CrossRef]
- Shi, Y.; Jin, N.; Ma, X.; Wu, B.; He, Q.; Yue, C.; Yu, Q. Attribution of climate and human activities to vegetation change in China using machine learning techniques. Agric. For. Meteorol. 2020, 294, 108146. [Google Scholar] [CrossRef]
- Vidal-Macua, J.J.; Nicolau, J.M.; Vicente, E.; Moreno-de Las Heras, M. Assessing vegetation recovery in reclaimed opencast mines of the Teruel coalfield (Spain) using Landsat time series and boosted regression trees. Sci. Total Environ. 2020, 717, 137250. [Google Scholar] [CrossRef] [PubMed]
- Zaimes, G.N.; Gounaridis, D.; Symenonakis, E. Assessing the impact of dams on riparian and deltaic vegetation using remotely-sensed vegetation indices and Random Forests modelling. Ecol. Indic. 2019, 103, 630–641. [Google Scholar] [CrossRef]
- Chen, Y.; Lin, M.; Lin, T.; Zhang, J.; Jones, L.; Yao, X.; Geng, H.; Liu, Y.; Zhang, G.; Cao, X.; et al. Spatial heterogeneity of vegetation phenology caused by urbanization in China based on remote sensing. Ecol. Indic. 2023, 153, 110448. [Google Scholar] [CrossRef]
- Tamiminia, H.; Salehi, B.; Mahdianpari, M.; Quackenbush, L.; Adeli, S.; Brisco, B. Google Earth Engine for geo-big data applications: A meta-analysis and systematic review. ISPRS J. Photogramm. Remote Sens. 2020, 164, 152–170. [Google Scholar] [CrossRef]
- Li, X.; Gong, P.; Zhou, Y.; Wang, J.; Bai, Y.; Chen, B.; Hu, T.; Xiao, Y.; Xu, B.; Yang, J.; et al. Mapping global urban boundaries from the global artificial impervious area (GAIA) data. Environ. Res. Lett. 2020, 15, 094044. [Google Scholar] [CrossRef]
- Zhang, J.; Shang, R.; Rittenhouse, C.; Witharana, C.; Zhu, Z. Evaluating the impacts of models, data density and irregularity on reconstructing and forecasting dense Landsat time series. Sci. Remote Sens. 2021, 4, 100023. [Google Scholar] [CrossRef]
- Peng, Z.; Jiang, D.; Li, W.; Mu, Q.; Li, X.; Cao, W.; Shi, Z.; Chen, T.; Huang, J. Impacts of the scale effect on quantifying the response of spring vegetation phenology to urban intensity. Remote Sens. Environ. 2024, 315, 114485. [Google Scholar] [CrossRef]
- Chen, T.; Guestrin, C. Xgboost: A scalable tree boosting system. In Proceedings of the 22nd ACM Sigkdd International Conference on Knowledge Discovery and Data Mining, San Francisco, CA, USA, 13–17 August 2016; pp. 785–794. [Google Scholar]
- Huang, F.; Zhang, J.; Zhou, C.; Wang, Y.; Huang, J.; Zhu, L. A deep learning algorithm using a fully connected sparse autoencoder neural network for landslide susceptibility prediction. Landslides 2019, 17, 217–229. [Google Scholar] [CrossRef]
- Zhang, J.; Ma, X.; Zhang, J.; Sun, D.; Zhou, X.; Mi, C.; Wen, H. Insights into geospatial heterogeneity of landslide susceptibility based on the SHAP-XGBoost model. J. Environ. Manag. 2023, 332, 117357. [Google Scholar] [CrossRef]
- Jia, W.; Zhao, S.; Zhang, X.; Liu, S.; Henebry, G.M.; Liu, L. Urbanization imprint on land surface phenology: The urban-rural gradient analysis for Chinese cities. Glob. Chang. Biol. 2021, 27, 2895–2904. [Google Scholar] [CrossRef]
- Zhou, D.; Zhao, S.; Zhang, L.; Liu, S. Remotely sensed assessment of urbanization effects on vegetation phenology in China’s 32 major cities. Remote Sens. Environ. 2016, 176, 272–281. [Google Scholar] [CrossRef]
- Gao, X.; Zhao, D. Impacts of climate change on vegetation phenology over the Great Lakes Region of Central Asia from 1982 to 2014. Sci. Total Environ. 2022, 845, 157227. [Google Scholar] [CrossRef]
- Ji, S.; Ren, S.; Li, Y.; Dong, J.; Wang, L.; Quan, Q.; Liu, J. Diverse responses of spring phenology to preseason drought and warming under different biomes in the North China Plain. Sci. Total Environ. 2021, 766, 144437. [Google Scholar] [CrossRef]
- Ji, Y.; Zhan, W.; Du, H.; Wang, S.; Li, L.; Xiao, J.; Liu, Z.; Huang, F.; Jin, J. Urban-rural gradient in vegetation phenology changes of over 1500 cities across China jointly regulated by urbanization and climate change. ISPRS J. Photogramm. Remote Sens. 2023, 205, 367–384. [Google Scholar] [CrossRef]
- Yang, Y.; Fan, F. Land surface phenology and its response to climate change in the Guangdong-Hong Kong-Macao Greater Bay Area during 2001–2020. Ecol. Indic. 2023, 154, 110728. [Google Scholar] [CrossRef]
- Zhu, E.; Fang, D.; Chen, L.; Qu, Y.; Liu, T. The Impact of Urbanization on Spatial–Temporal Variation in Vegetation Phenology: A Case Study of the Yangtze River Delta, China. Remote Sens. 2024, 16, 914. [Google Scholar] [CrossRef]
- Levin, N.; Kyba, C.C.M.; Zhang, Q.; Sánchez de Miguel, A.; Román, M.O.; Li, X.; Portnov, B.A.; Molthan, A.L.; Jechow, A.; Miller, S.D.; et al. Remote sensing of night lights: A review and an outlook for the future. Remote Sens. Environ. 2020, 237, 111443. [Google Scholar] [CrossRef]
- Moore, C.E.; Meacham-Hensold, K.; Lemonnier, P.; Slattery, R.A.; Benjamin, C.; Bernacchi, C.J.; Lawson, T.; Cavanagh, A.P. The effect of increasing temperature on crop photosynthesis: From enzymes to ecosystems. J. Exp. Bot. 2021, 72, 2822–2844. [Google Scholar] [CrossRef]
- Hasan, M.K.; Kumar, L. Yield trends and variabilities explained by climatic change in coastal and non-coastal areas of Bangladesh. Sci. Total Environ. 2021, 795, 148814. [Google Scholar] [CrossRef]
- Li, H.; Liu, S.; Yin, M.; Zhu, L.a.; Shen, E.; Sun, B.; Wang, S. Spatial and temporal variability and risk assessment of regional climate change in northern China: A case study in Shandong Province. Nat. Hazards 2022, 111, 2749–2786. [Google Scholar] [CrossRef]
- Meng, L.; Zhou, Y.; Li, X.; Asrar, G.R.; Mao, J.; Wanamaker, A.D.; Wang, Y. Divergent responses of spring phenology to daytime and nighttime warming. Agric. For. Meteorol. 2020, 281, 107832. [Google Scholar] [CrossRef]
- Wu, C.; Wang, X.; Wang, H.; Ciais, P.; Peñuelas, J.; Myneni, R.B.; Desai, A.R.; Gough, C.M.; Gonsamo, A.; Black, A.T.; et al. Contrasting responses of autumn-leaf senescence to daytime and night-time warming. Nat. Clim. Chang. 2018, 8, 1092–1096. [Google Scholar] [CrossRef]
- Jing, P.; Wang, D.; Zhu, C.; Chen, J. Plant Physiological, Morphological and Yield-Related Responses to Night Temperature Changes across Different Species and Plant Functional Types. Front. Plant Sci. 2016, 7, 1774. [Google Scholar] [CrossRef]
- Bal, S.K.; Minhas, P.S. Atmospheric stressors: Challenges and coping strategies. In Abiotic Stress Management for Resilient Agriculture; Springer: Singapore, 2017; pp. 9–50. [Google Scholar] [CrossRef]
- Abbas, A.; Rossi, S.; Huang, B. Plant metabolic responses and adaptation mechanisms to elevated night temperature associated with global warming. Grass Res. 2024, 4, e015. [Google Scholar] [CrossRef]
- Ding, H.; Xu, L.; Elmore, A.J.; Shi, Y. Vegetation Phenology Influenced by Rapid Urbanization of The Yangtze Delta Region. Remote Sens. 2020, 12, 1783. [Google Scholar] [CrossRef]
- Dai, A.; Zhao, T.; Chen, J. Climate Change and Drought: A Precipitation and Evaporation Perspective. Curr. Clim. Chang. Rep. 2018, 4, 301–312. [Google Scholar] [CrossRef]
- Zhang, H.; Wang, X.; Peng, D. Evaluation of Urban Vegetation Phenology Using 250 m MODIS Vegetation Indices. Photogramm. Eng. Remote Sens. 2022, 88, 461–467. [Google Scholar] [CrossRef]
- Zhao, L.; Fan, X.; Hong, T. Urban Heat Island Effect: Remote Sensing Monitoring and Assessment—Methods, Applications, and Future Directions. Atmosphere 2025, 16, 791. [Google Scholar] [CrossRef]
- Ma, M.; Liu, J.; Liu, M.; Zhu, W.; Atzberger, C.; Lv, X.; Dong, Z. Quantitative Assessment of the Spatial Scale Effects of the Vegetation Phenology in the Qinling Mountains. Remote Sens. 2022, 14, 5749. [Google Scholar] [CrossRef]
- Liu, L.; Cao, R.; Shen, M.; Chen, J.; Wang, J.; Zhang, X. How Does Scale Effect Influence Spring Vegetation Phenology Estimated from Satellite-Derived Vegetation Indexes? Remote Sens. 2019, 11, 2137. [Google Scholar] [CrossRef]
- Xu, X.; Liu, S.; Sun, S.; Zhang, W.; Liu, Y.; Lao, Z.; Guo, G.; Smith, K.; Cui, Y.; Liu, W.; et al. Evaluation of energy saving potential of an urban green space and its water bodies. Energy Build. 2019, 188–189, 58–70. [Google Scholar] [CrossRef]
- Yin, P.; Li, X.; Mao, J.; Johnson, B.A.; Wang, B.; Huang, J. A comprehensive analysis of the crop effect on the urban-rural differences in land surface phenology. Sci. Total Environ. 2023, 861, 160604. [Google Scholar] [CrossRef]
- Li, L.; Li, X.; Asrar, G.; Zhou, Y.; Chen, M.; Zeng, Y.; Li, X.; Li, F.; Luo, M.; Sapkota, A.; et al. Detection and attribution of long-term and fine-scale changes in spring phenology over urban areas: A case study in New York State. Int. J. Appl. Earth Obs. Geoinf. 2022, 110, 102815. [Google Scholar] [CrossRef]











| Data Name | Data Source | Resolution | Time Range |
|---|---|---|---|
| EVI (MOD13A2) | https://www.earthdata.nasa.gov/data/catalog/lpcloud-mod13a2-061, accessed on 25 November 2025 | 16 d, 1 km | 2001–2023 |
| LST (MOD11A2) | https://www.earthdata.nasa.gov/data/catalog/lpcloud-mod11a2-061, accessed on 25 November 2025 | 8 d, 1 km | 2001–2023 |
| GUB | http://data.starcloud.pcl.ac.cn/, accessed on 25 November 2025 | 30 m | 2018 |
| Land Use | https://zenodo.org/records/8239305, accessed on 25 November 2025 | 30 m | 2001–2023 |
| China 1 km monthly mean temperature dataset | https://data.tpdc.ac.cn/, accessed on 25 November 2025 | Monthly, 1 km | 2001–2023 |
| China 1 km monthly precipitation dataset | https://data.tpdc.ac.cn/, accessed on 25 November 2025 | Monthly, 1 km | 2001–2023 |
| DEM | http://www.gscloud.cn/, accessed on 25 November 2025 | 30 m | - |
| nighttime light | https://dataverse.harvard.edu/, accessed on 25 November 2025 | 1 km | 2001–2023 |
Disclaimer/Publisher’s Note: The statements, opinions and data contained in all publications are solely those of the individual author(s) and contributor(s) and not of MDPI and/or the editor(s). MDPI and/or the editor(s) disclaim responsibility for any injury to people or property resulting from any ideas, methods, instructions or products referred to in the content. |
© 2025 by the authors. Licensee MDPI, Basel, Switzerland. This article is an open access article distributed under the terms and conditions of the Creative Commons Attribution (CC BY) license (https://creativecommons.org/licenses/by/4.0/).
Share and Cite
Meng, X.; Ling, Z.; Chen, Y.; Kuang, J.; Zhang, L.; Wu, Z.; Zheng, Z.; Wang, J. From Coast to Inland: Nonlinear and Temperature-Mediated Urbanization Effects on Vegetation Phenology in Shandong Province, China. Remote Sens. 2025, 17, 3833. https://doi.org/10.3390/rs17233833
Meng X, Ling Z, Chen Y, Kuang J, Zhang L, Wu Z, Zheng Z, Wang J. From Coast to Inland: Nonlinear and Temperature-Mediated Urbanization Effects on Vegetation Phenology in Shandong Province, China. Remote Sensing. 2025; 17(23):3833. https://doi.org/10.3390/rs17233833
Chicago/Turabian StyleMeng, Xianxin, Zhenxiang Ling, Yingbiao Chen, Junyu Kuang, Lianchong Zhang, Zhifeng Wu, Zihao Zheng, and Jinnian Wang. 2025. "From Coast to Inland: Nonlinear and Temperature-Mediated Urbanization Effects on Vegetation Phenology in Shandong Province, China" Remote Sensing 17, no. 23: 3833. https://doi.org/10.3390/rs17233833
APA StyleMeng, X., Ling, Z., Chen, Y., Kuang, J., Zhang, L., Wu, Z., Zheng, Z., & Wang, J. (2025). From Coast to Inland: Nonlinear and Temperature-Mediated Urbanization Effects on Vegetation Phenology in Shandong Province, China. Remote Sensing, 17(23), 3833. https://doi.org/10.3390/rs17233833

