Coastal Vulnerability Index Assessment Along the Coastline of Casablanca Using Remote Sensing and GIS Techniques
Abstract
Highlights
- DE Africa coastlines products revealed strong erosion along Casablanca’s sandy shores, with a retreat up to −1.5 m/year.
- Coastal Vulnerabilty Index (CVI) results showed high vulnerability in low-elevation coastal zones where geomorphological landforms with low slope increase coastal exposure.
- The study demonstrates that freely available continental-scale products can effectively capture long-term shoreline behabiour and inform coastal risk evaluation in regions lacking in-situ monitoring.
- The proposed GIS-based workflow can serve as a replicable model for vulnerability assessment across other African coastal environments.
Abstract
1. Introduction
2. Materials and Methods
2.1. Area of Study
2.2. Methodology
2.2.1. Dataset and Software
2.2.2. Coastal Geomorphology—Lithology
2.2.3. Coastal Elevation
2.2.4. Coastal Slope
2.2.5. Shoreline Dynamics
2.2.6. Coastal Vulnerability Index Calculation
3. Results
4. Discussion
4.1. Annual Rates of Change and Coastline Classification for the Beaches of Madame Choual, Ain Diab, Anfa, Ain Sebaa, Nahla, and Zenata, Located on the Coastline of Casablanca
4.2. Implications for Coastal Areas Management
5. Conclusions
- Digital Earth Africa (DE Africa) coastlines products allowed us to conduct detailed analyses of shoreline dynamics from 2000 to 2023.
- Around 44% to 23% of the studied areas have a very high to high vulnerability, particularly along sandy beach segments with low elevation. These areas are vulnerable to natural phenomena such as inundation, coastal flooding, and submersion.
- Besides the Coastal Vulnerability Index assessment, DE Africa Coastlines products can further be used to develop coastal erosion indicators [58] and coastal erosion prediction models.
Supplementary Materials
Author Contributions
Funding
Conflicts of Interest
Abbreviations
| ASTER GDEM (V2) | Advanced Spaceborne Thermal Emission and Reflection Radiometer Global Digital Elevation Model (version 2) |
| CVI | Coastal Vulnerability Index |
| DE Africa | Digital Earth Africa |
| DEM | Digital Elevation Model |
| EO | Earth Observation |
| EPR | End Point Rate |
| GIS | Geographic Information System |
| LRR | Linear Regression Rate |
| NSM | Net Shoreline Movement |
| PGA | Peak Ground Acceleration |
| PVI | Physical Vulnerability Index |
| SCE | Shoreline Change Envelope |
| SVI | Socio-Economic Vulnerability Index |
| WACA | West African Coastal Areas |
Appendix A

| Rate of Change Range (m/yr) | LRR (%) | EPR (%) | Coastline Classification | CVI Ranking |
|---|---|---|---|---|
| <−2 | N. A | N. A | Very high erosion | Very high |
| <−1–≥−2 | N. A | N. A | High erosion | High |
| <0–≥−1 | N. A | 24.45 | Moderate erosion | Moderate |
| >0–≤+1 | 77.55 | 75.55 | Accretion | Low |
| >+1 | 22.45 | N. A | Moderate accretion |

| Rate of Change Range (m/yr) | LRR (%) | EPR (%) | Coastline Classification | CVI Ranking |
|---|---|---|---|---|
| <−2 | N. A | N. A | Very high erosion | Very high |
| <−1–≥−2 | N. A | N. A | High erosion | High |
| <0–≥−1 | 18.30 | 42.25 | Moderate erosion | Moderate |
| >0–≤+1 | 56.34 | 35.21 | Accretion | Low |
| >+1 | 25.36 | 22.54 | Moderate accretion |

| Rate of Change Range (m/yr) | LRR (%) | EPR (%) | Coastline Classification | CVI Ranking |
|---|---|---|---|---|
| <−2 | N. A | N. A | Very high erosion | Very high |
| <−1–≥−2 | N. A | N. A | High erosion | High |
| <0–≥−1 | 6.82 | 38.63 | Moderate erosion | Moderate |
| >0–≤+1 | 93.18 | 59.1 | Accretion | Low |
| >+1 | N. A | 2.27 | Moderate accretion |

| Rate of Change Range (m/yr) | LRR (%) | EPR (%) | Coastline Classification | CVI Ranking |
|---|---|---|---|---|
| <−2 | N. A | N. A | Very high erosion | Very high |
| <−1–≥−2 | 4.66 | 16.28 | High erosion | High |
| <0–≥−1 | 37.2 | 39.53 | Moderate erosion | Moderate |
| >0–≤+1 | 11.63 | 20.93 | Accretion | Low |
| >+1 | 46.51 | 23.26 | Moderate accretion |

| Rate of Change Range (m/yr) | LRR (%) | EPR (%) | Coastline Classification | CVI Ranking |
|---|---|---|---|---|
| <−2 | N. A | N. A | Very high erosion | Very high |
| <−1–≥−2 | N. A | 2.11 | High erosion | High |
| <0–≥−1 | 37.90 | 48.42 | Moderate erosion | Moderate |
| >0–≤+1 | 48.42 | 48.42 | Accretion | Low |
| >+1 | 13.68 | 1.05 | Moderate accretion |

| Rate of Change Range (m/yr) | LRR (%) | EPR (%) | Coastline Classification | CVI Ranking |
|---|---|---|---|---|
| <−2 | N. A | N. A | Very high erosion | Very high |
| <−1–≥−2 | N. A | N. A | High erosion | High |
| <0–≥−1 | N. A | 10.53 | Moderate erosion | Moderate |
| >0–≤+1 | 17.11 | 81.58 | Accretion | Low |
| >+1 | 8289 | 7.89 | Moderate accretion |
References
- Noor, N.M.; Abdul Maulud, K.N. Coastal Vulnerability: A Brief Review on Integrated Assessment in Southeast Asia. J. Mar. Sci. Eng. 2022, 10, 595. [Google Scholar] [CrossRef]
- Toumasi, P.; Petropoulos, G.P.; Detsikas, S.E.; Kalogeropoulos, K.; Tselos, N.G. Coastal Vulnerability Impact Assessment under Climate Change in the Arctic Coasts of Tromsø, Norway. Earth 2024, 5, 640–653. [Google Scholar] [CrossRef]
- Ortiz, P.; López, I.; Pagán, J.I. Assessment of Beach Erosion Vulnerability in the Province of Valencia, Spain. J. Mar. Sci. Eng. 2024, 12, 2111. [Google Scholar] [CrossRef]
- Tadić, A.; Krvavica, N.; Benac, Č.; Ružić, I. Coastal vulnerability index for the indented coastline of Primorje-Gorski Kotar County, Croatia. Reg. Stud. Mar. Sci. 2024, 80, 103862. [Google Scholar] [CrossRef]
- Rocha, C.; Antunes, C.; Catita, C. Coastal Indices to Assess Sea-Level Rise Impacts—A Brief Review of the Last Decade. Ocean. Coast. Manag. 2023, 237, 106536. [Google Scholar] [CrossRef]
- Handiani, D.N.; Heriati, A.; Gunawan, W.A. Comparison of Coastal Vulnerability Assessment for Subang Regency in North Coast West Java-Indonesia. Geomat. Nat. Hazards Risk 2022, 13, 1178–1206. [Google Scholar] [CrossRef]
- Koroglu, A.; Ranasinghe, R.; Jiménez, J.A.; Dastgheib, A. Comparison of coastal vulnerability index applications for Barcelona Province. Ocean Coast. Manag. 2019, 178, 104799. [Google Scholar] [CrossRef]
- Theocharidis, C.; Prodromou, M.; Doukanari, M.; Kalogirou, E.; Eliades, M.; Kontoes, C.; Hadjimitsis, D.; Neocleous, K. Integrated Coastal Vulnerability Index (ICVI) Assessment of Protaras Coast in Cyprus: Balancing Tourism and Coastal Risks. Geographies 2025, 5, 12. [Google Scholar] [CrossRef]
- Gornitz, V. Vulnerability of the East Coast, USA to future sea level rise. J. Coast. Res. 1990, 9, 201–237. [Google Scholar]
- Thieler, E.R.; Hammar-Klose, E.S. National Assessment of Coastal Vulnerability to Sea-Level Rise: Preliminary Results for the U.S. Atlantic Coast; United States Geological Survey: Reston, VA, USA, 1999.
- Pendleton, E.A.; Thieler, E.R.; Williams, S.J.; Beavers, R.L. Coastal Vulnerability Assessment of Padre Island National Seashore (PAIS) to Sea-Level Rise; US Geological Survey: Reston, VA, USA, 2004.
- Alcántara-Carrió, J.; Echavarría, L.M.G.; Jaramillo-Vélez, A. Is the coastal vulnerability index a suitable index? Review and proposal of alternative indices for coastal vulnerability to sea level rise. Geo-Mar. Lett. 2024, 44, 8. [Google Scholar] [CrossRef]
- Šimac, Z.; Lončar, N.; Faivre, S. Overview of Coastal Vulnerability Indices with Reference to Physical Characteristics of the Croatian Coast of Istria. Hydrology 2023, 10, 14. [Google Scholar] [CrossRef]
- Angulo, R.J.; Lessa, G.C.; Souza, M.C. A critical review of Mid- to Late-Holocene sea-level fluctuations on the eastern Brazilian coastline. Quat. Sci. Rev. 2006, 25, 486–506. [Google Scholar] [CrossRef]
- Sun, W.; Chen, C.; Weiwei, L.; Yang, G.; Meng, X.; Wang, L.; Ren, K. Coastline extraction using remote sensing: A review. GISci. Remote Sens. 2023, 60, 2243671. [Google Scholar] [CrossRef]
- Zhou, X.; Wang, J.; Zheng, F.; Wang, H.; Yang, H. An Overview of Coastline Extraction from Remote Sensing Data. Remote Sens. 2023, 15, 4865. [Google Scholar] [CrossRef]
- Pantusa, D.; D’Alessandro, F.; Frega, F.; Francone, A.; Tomasicchio, G.R. Improvement of a Coastal Vulnerability Index and Its Application along the Calabria Coastline, Italy. Sci. Rep. 2022, 12, 21959. [Google Scholar] [CrossRef] [PubMed]
- Manno, G.; Azzara, G.; Re, C.L.; Martinello, C.; Basile, M.; Rotigliano, E.; Ciraolo, G. An Approach for the Validation of a Coastal Erosion Vulnerability Index: An Application in Sicily. J. Mar. Sci. Eng. 2022, 11, 23. [Google Scholar] [CrossRef]
- Borzì, L.; Anfuso, G.; Manno, G.; Distefano, S.; Urso, S.; Chiarella, D.; Di Stefano, A. Shoreline Evolution and Environmental Changes at the NW Area of the Gulf of Gela (Sicily, Italy). Land 2021, 10, 1034. [Google Scholar] [CrossRef]
- Foti, G.; Barbaro, G.; Barillà, G.C.; Mancuso, P.; Puntorieri, P. Shoreline Evolutionary Trends Along Calabrian Coasts: Causes and Classification. Front. Mar. Sci. 2022, 9, 846914. [Google Scholar] [CrossRef]
- Castelle, B.; Masselink, G.; Scott, T.; Stokes, C.; Konstantinou, A.; Marieu, V.; Bujan, S. Satellite-derived shoreline detection at a high-energy meso-macrotidal beach. Geomorphology 2021, 383, 107707. [Google Scholar] [CrossRef]
- Konstantinou, A.; Scott, T.; Masselink, G.; Stokes, K.; Conley, D.; Castelle, B. Satellite-based shoreline detection along high-energy macrotidal coasts and influence of beach state. Mar. Geol. 2023, 462, 107082. [Google Scholar] [CrossRef]
- Luijendijk, A.P.; Kras, E.; Dagalaki, V.; Morelissen, R.; Hoteit, I.; Ranasinghe, R. Regime Shifts in Future Shoreline Dynamics of Saudi Arabia. Front. Mar. Sci. 2022, 8, 798657. [Google Scholar] [CrossRef]
- Darwish, K.; Smith, S. Landsat-Based Assessment of Morphological Changes along the Sinai Mediterranean Coast between 1990 and 2020. Remote Sens. 2023, 15, 1392. [Google Scholar] [CrossRef]
- Bishop-Taylor, R.; Nanson, R.; Sagar, S.; Lymburner, L. Mapping Australia’s Dynamic Coastline at Mean Sea Level Using Three Decades of Landsat Imagery. Remote Sens. Environ. 2021, 267, 112734. [Google Scholar] [CrossRef]
- Nanson, R.; Bishop-Taylor, R.; Sagar, S.; Lymburner, L. Geomorphic insights into Australia’s coastal change using a national dataset derived from the multi-decadal Landsat archive. Estuar. Coast. Shelf Sci. 2022, 265, 107712. [Google Scholar] [CrossRef]
- Digital Earth Africa. Available online: https://www.digitalearthafrica.org/ (accessed on 22 April 2025).
- DE Africa Coastline Data availability. Digital Earth Africa Coastlines. Available online: https://registry.opendata.aws/deafrica-coastlines (accessed on 22 April 2025).
- Naji, E.M.; Aberkan, M.; Saadane, A.; Nmiss, M. Erosion and shoreline retreat indicators in the Rabat-Salé littoral and their impact on coastal planning. J. Afr. Earth Sci. 2025, 223, 105534. [Google Scholar] [CrossRef]
- Moussaid, J.; Fora, A.A.; Zourarah, B.; Maanan, M.; Maanan, M. Using automatic computation to analyse the rate of shoreline change on the Kenitra coast, Morocco. Ocean Eng. 2015, 102, 71–77. [Google Scholar] [CrossRef]
- Aangri, A.; Hakkou, M.; Krien, Y.; Benmohammadi, A. Predicting Shoreline Change for the Agadir and Taghazout Coasts (Morocco). J. Coast. Res. 2022, 38, 937–950. [Google Scholar] [CrossRef]
- Benkhattab, F.Z.; Hakkou, M.; Bagdanavičiūtė, I.; Mrini, A.E.; Zagaoui, H.; Rhinane, H.; Maanan, M. Spatial–temporal analysis of the shoreline change rate using automatic computation and geospatial tools along the Tetouan coast in Morocco. Nat. Hazards 2020, 104, 519–536. [Google Scholar] [CrossRef]
- Heger, M.; Vashold, L.M.; Carpenter, S.; Toquica, O.M.A. Coastal Erosion and Its Costs in the Maghreb: Disappearing Coasts; World Bank: Washington, DC, USA, 2023; report no. 179616. [Google Scholar]
- Oussama, L. Approche Multidisciplinaire de Suivi de la Dynamique Marine du Littoral de Mohammedia. Master’s Thesis, Université Cadi Ayyad, Marrakesh, Morocco, 2013; pp. 24–25. [Google Scholar]
- Coastlines Monitoring Data Description. Available online: https://docs.digitalearthafrica.org/en/latest/data_specs/Coastlines_specs.html (accessed on 22 April 2025).
- DE Africa Use Case. Monitoring Coastal Erosion Along Africa’s Coastline. Available online: https://docs.digitalearthafrica.org/en/latest/sandbox/notebooks/Real_world_examples/Coastal_erosion.html (accessed on 22 April 2025).
- Zhang, K.; Gann, D.; Ross, M.; Robertson, Q.; Sarmiento, J.; Santana, S.; Rhome, J.; Fritz, C. Accuracy assessment of ASTER, SRTM, ALOS and TDX DEMs for Hispaniola and implications for mapping vulnerability to coastal flooding. Remote Sens. Environ. 2019, 225, 290–306. [Google Scholar] [CrossRef]
- Tachikawa, T.; Kaku, M.; Iwasaki, A.; Gesch, D.B.; Oimoen, M.J.; Zhang, Z.; Danielson, J.J.; Krieger, T.; Curtis, B.; Haase, J. ASTER Global Digital Elevation Model Version 2—Summary of Validation Results; NASA: Washington, DC, USA, 2011.
- Mahesh, R.; Sarunjith, K.J.; Rajakumari, S.; Muruganandam, R.; Ramesh, R. Quality assessment of open sourced digital elevation models in southeast coast of India. Egypt. J. Remote Sens. Space Sci. 2021, 24, 745–754. [Google Scholar]
- Zerhouny, M.; Fadil, A.; Hakdaoui, M. Underground Space Utilization in the Urban Land-Use Planning of Casablanca (Morocco). Land 2018, 7, 143. [Google Scholar] [CrossRef]
- Omira, R.; Baptista, M.A.; Matias, L.; Miranda, J.M.; Catita, C.; Carrilho, F.; Toto, E. Design of a Sea-level Tsunami Detection Network for the Gulf of Cadiz. Nat. Hazards Earth Syst. Sci. 2009, 9, 1327–1338. [Google Scholar] [CrossRef]
- Egis bceom international/iau-idf/brgm. Adaptation au Changement Climatique et aux Désastres Naturels des villes Côtières D’afrique du Nord, Phase 1: Évaluation des Risques en Situation Actuelle et à L’horizon 2030 pour la ville de Casablanca Version finale; World Bank: Washington, DC, USA, 2011; pp. 17–25, 33–52, 70–80. [Google Scholar]
- Stoa, R. The Coastline Paradox. Rutgers Univ. Law Rev. 2020, 72, 50. [Google Scholar] [CrossRef]
- Horn, B.K. Hill Shading and the Reflectance Map. Proc. IEEE 1981, 69, 14–47. [Google Scholar] [CrossRef]
- Pepe, G.; Coutu, G. Beach morphology change study using ArcGIS spatial analyst. Middle States Geogr. 2008, 41, 91–97. [Google Scholar]
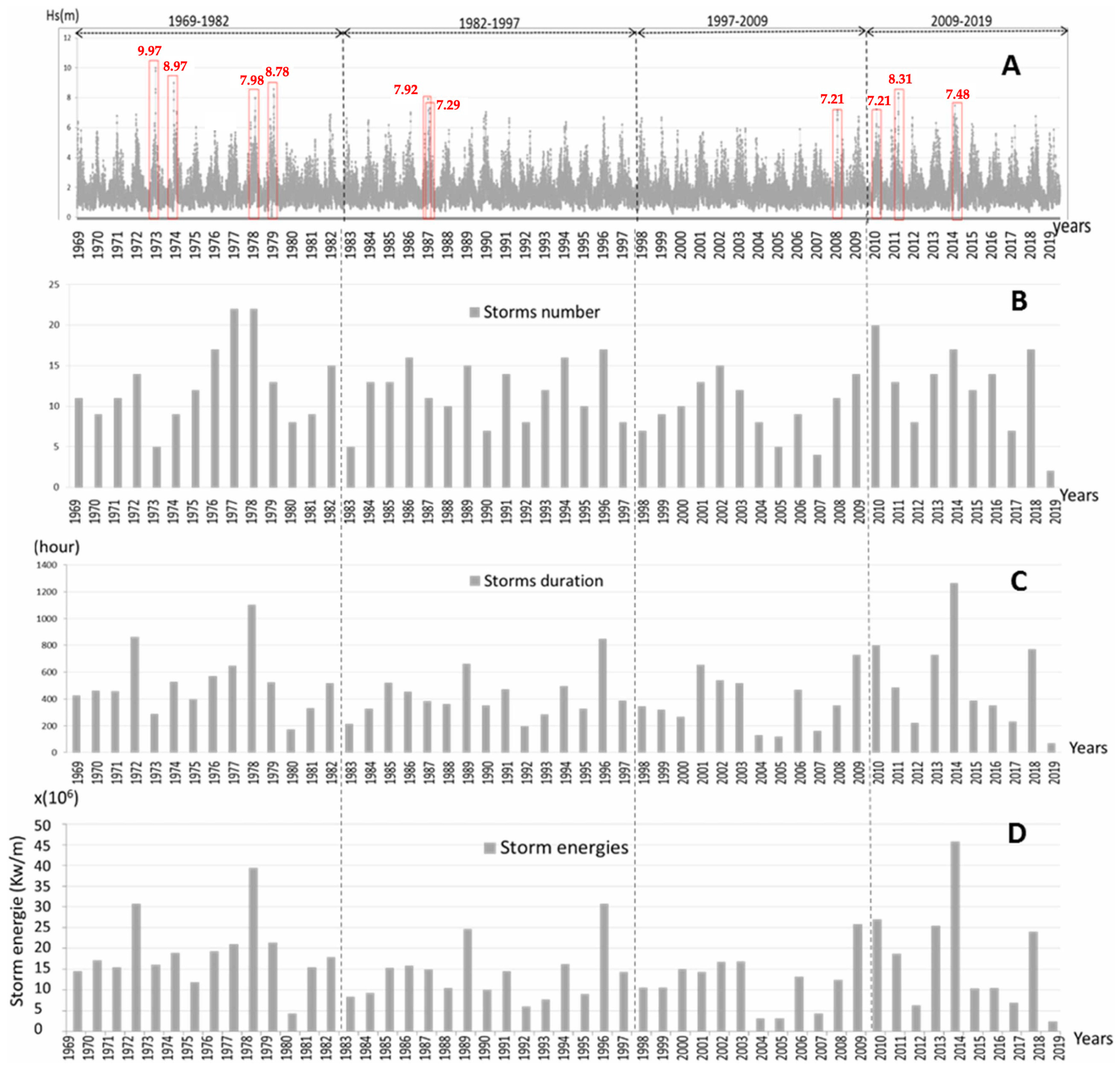
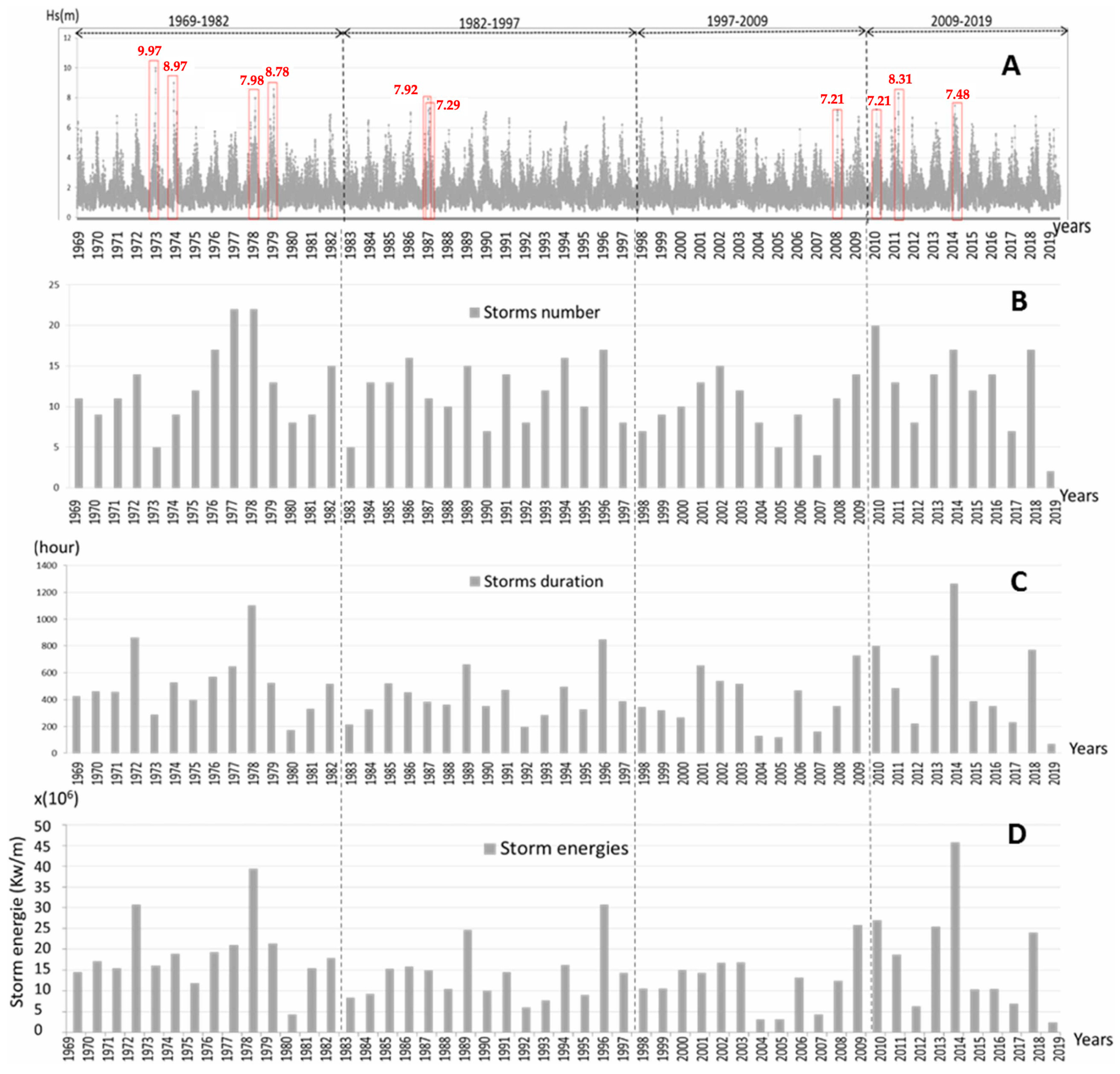
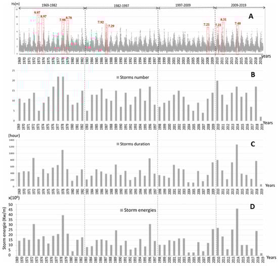
- Chtioui, T.; Hakkou, M.; Abdelhaq, A.; Benmohammadi, A.; Maanane, M. Storm’s influence on long-term shoreline evolution along Casablanca-Mohammedia (Morocco). Reg. Stud. Mar. Sci. 2024, 75, 103549. [Google Scholar]
- Chtioui, T.; Hakkou, M.; Aangri, A.; El Hassani, F.; El Mostafa, Z.; Benmohammadi, A. Assessing coastal flood risk under extreme events and sea level rise in the Casablanca-Mohammedia coastline (Morocco). Nat. Hazards 2024, 120, 10727–10752. [Google Scholar] [CrossRef]
- Muzirafuti, A. Africa’s Coastline Long-Term Monitoring Using Remote Sensing and GIS Techniques. In Proceedings of the 2025 International Workshop on Metrology for the Sea, Learning to Measure Sea Health Parameters (MetroSea), Genova, Italy, 8–10 October 2025. [Google Scholar]
- Jonah, F.E.; Boateng, I.; Osman, A.; Shimba, M.J.; Mensah, E.A.; Adu-Boahen, K.; Chuku, E.O.; Effah, E. Shoreline change analysis using end point rate and net shoreline movement statistics: An application to Elmina, Cape Coast and Moree section of Ghana’s coast. Reg. Stud. Mar. Sci. 2016, 7, 19–31. [Google Scholar] [CrossRef]
- Aladwani, N.S. Shoreline Change Rate Dynamics Analysis and Prediction of Future Positions Using Satellite Imagery for the Southern Coast of Kuwait: A Case Study. Oceanologia 2022, 64, 417–432. [Google Scholar] [CrossRef]
- de Lima, L.T.; Fernández-Fernández, S.; de Almeida Espinoza, J.M.; da Guia Albuquerque, M.; Bernardes, C. End Point Rate Tool for QGIS (EPR4Q): Validation Using DSAS and AMBUR. ISPRS Int. J. Geo-Inf. 2021, 10, 162. [Google Scholar] [CrossRef]
- Laksono, F.A.T.; Borzì, L.; Distefano, S.; Di Stefano, A.; Kovács, J. Shoreline Prediction Modelling as a Base Tool for Coastal Management: The Catania Plain Case Study (Italy). J. Mar. Sci. Eng. 2022, 10, 1988. [Google Scholar] [CrossRef]
- Muzirafuti, A.; Lanza, S.; Paltrinieri, D.; Faina, G.; El Hafyani, M.; Randazzo, G. Geomorphology in the Digital Age: A Case Study Project of Quantitative Geomorphology from Images. In Proceedings of the 2023 International Workshop on Metrology for the Sea; Learning to Measure Sea Health Parameters (MetroSea), La Valletta, Malta, 4–6 October 2023; pp. 513–518. [Google Scholar]
- Cao, T.; Han, D.; Song, X. Past, present, and future of global seawater intrusion research: A bibliometric analysis. J. Hydrol. 2021, 603, 126844. [Google Scholar] [CrossRef]
- Tanim, A.H.; Goharian, E.; Moradkhani, H. Integrated socio-environmental vulnerability assessment of coastal hazards using data-driven and multi-criteria analysis approaches. Sci. Rep. 2022, 12, 11625. [Google Scholar] [CrossRef] [PubMed]
- Muzirafuti, A.; Cascio, M.; Lanza, S.; Randazzo, G. UAV Photogrammetry-based Mapping of the Pocket Beaches of Isola Bella Bay, Taormina (Eastern Sicily). In Proceedings of the 2021 International Workshop on Metrology for the Sea, Learning to Measure Sea Health Parameters (MetroSea), Reggio Calabria, Italy, 4–6 October 2021; pp. 418–422. [Google Scholar]
- Muzirafuti, A.; Crupi, A.; Lanza, S.; Barreca, G.; Randazzo, G. Shallow water bathymetry by satellite image: A case study on the coast of San Vito Lo Capo Peninsula, Northwestern Sicily, Italy. In Proceedings of the 2019 IMEKO TC19 International Workshop on Metrology for the Sea: Learning to Measure Sea Health Parameters, MetroSea 2019, Genoa, Italy, 3–5 October 2019; pp. 129–134. [Google Scholar]
- McCarroll, R.J.; David, M.K.; Jin, L.; Allan, B.; Ierodiaconou, D. Design and application of coastal erosion indicators using satellite and drone data for a regional monitoring program. Ocean Coast. Manag. 2024, 253, 107146. [Google Scholar] [CrossRef]















| Specification | Descriptions |
|---|---|
| Cell size—X (meters) | 30 |
| Cell size—Y (meters) | 30 |
| Coordinate reference system | ESPG:6933 |
| Temporal resolution | Annual |
| Temporal range | 2000–2023 |
| Parent dataset | Landsat Collection 2 Surface Reflectance |
| Update frequency | Annual |
| Update latency | 6 months from the end of the previous year |
| Product types | Annual coastlines: Rate of change statistics |
| Product names | coastlines_v0.4.2_shorelines_annual; coastlines_v0.4.2_rates_of_change |
| Data types | Shapefiles: polylines and points |
| ID | Variable | Ranking of Coastal Vulnerability Index | |||
|---|---|---|---|---|---|
| Low | Moderate | High | Very High | ||
| 1 | 2 | 3 | 4 | ||
| V1 | Coastal geomorphology | Rocky areas: quartzites, greywackes, and shales | Calcarenite dunes; protected sandy beaches | Sandy beaches | |
| V2 | Coastal slope (%) | >12 | 8–12 | 4–8 | 0–4 |
| V3 | Altitude (m) | >9 | 6–9 | 3–6 | 0–3 |
| V4 | Shoreline dynamics (m/yr) | >+1–>0 | <0–≥−1 | <−1–≥−2 | <−2 |
Disclaimer/Publisher’s Note: The statements, opinions and data contained in all publications are solely those of the individual author(s) and contributor(s) and not of MDPI and/or the editor(s). MDPI and/or the editor(s) disclaim responsibility for any injury to people or property resulting from any ideas, methods, instructions or products referred to in the content. |
© 2025 by the authors. Licensee MDPI, Basel, Switzerland. This article is an open access article distributed under the terms and conditions of the Creative Commons Attribution (CC BY) license (https://creativecommons.org/licenses/by/4.0/).
Share and Cite
Muzirafuti, A.; Theocharidis, C. Coastal Vulnerability Index Assessment Along the Coastline of Casablanca Using Remote Sensing and GIS Techniques. Remote Sens. 2025, 17, 3370. https://doi.org/10.3390/rs17193370
Muzirafuti A, Theocharidis C. Coastal Vulnerability Index Assessment Along the Coastline of Casablanca Using Remote Sensing and GIS Techniques. Remote Sensing. 2025; 17(19):3370. https://doi.org/10.3390/rs17193370
Chicago/Turabian StyleMuzirafuti, Anselme, and Christos Theocharidis. 2025. "Coastal Vulnerability Index Assessment Along the Coastline of Casablanca Using Remote Sensing and GIS Techniques" Remote Sensing 17, no. 19: 3370. https://doi.org/10.3390/rs17193370
APA StyleMuzirafuti, A., & Theocharidis, C. (2025). Coastal Vulnerability Index Assessment Along the Coastline of Casablanca Using Remote Sensing and GIS Techniques. Remote Sensing, 17(19), 3370. https://doi.org/10.3390/rs17193370

