Optimizing Ecosystem Service Patterns with Dynamic Bayesian Networks for Sustainable Land Management Under Climate Change: A Case Study in China’s Sanjiangyuan Region
Abstract
Highlights
- A coupled multi-model simulation of land use-distribution under future climate scenarios.
- Identification of the appropriate areas for-the development of different ecosystem services.
- They can be used to establish a prediction-system for the spatial distribution pattern of ecosystem services.
- They can provide a strategic basis for-optimizing the patterns of ecosystem services, which can aid policymakers and-land planners in making informed decisions for sustainable development.
Abstract
1. Introduction
2. Materials and Methods
2.1. Research Area
2.2. Data Sources
2.3. Research Framework
2.4. LU Distribution Simulation
2.4.1. SD Model Construction
2.4.2. PLUS Model Construction
2.5. ES Assessment
2.6. Optimizing the Spatial Pattern of ES
2.6.1. DBN Construction
2.6.2. DBN Testing and Sensitivity Analysis
2.6.3. DBN Prediction and Diagnostic Analysis of ES
3. Results
3.1. LU Area Estimation Using the SD Model
3.2. LU Distribution Simulation Based on the PLUS Model
3.3. Optimizing Spatial Pattern of ES with the DBN Model
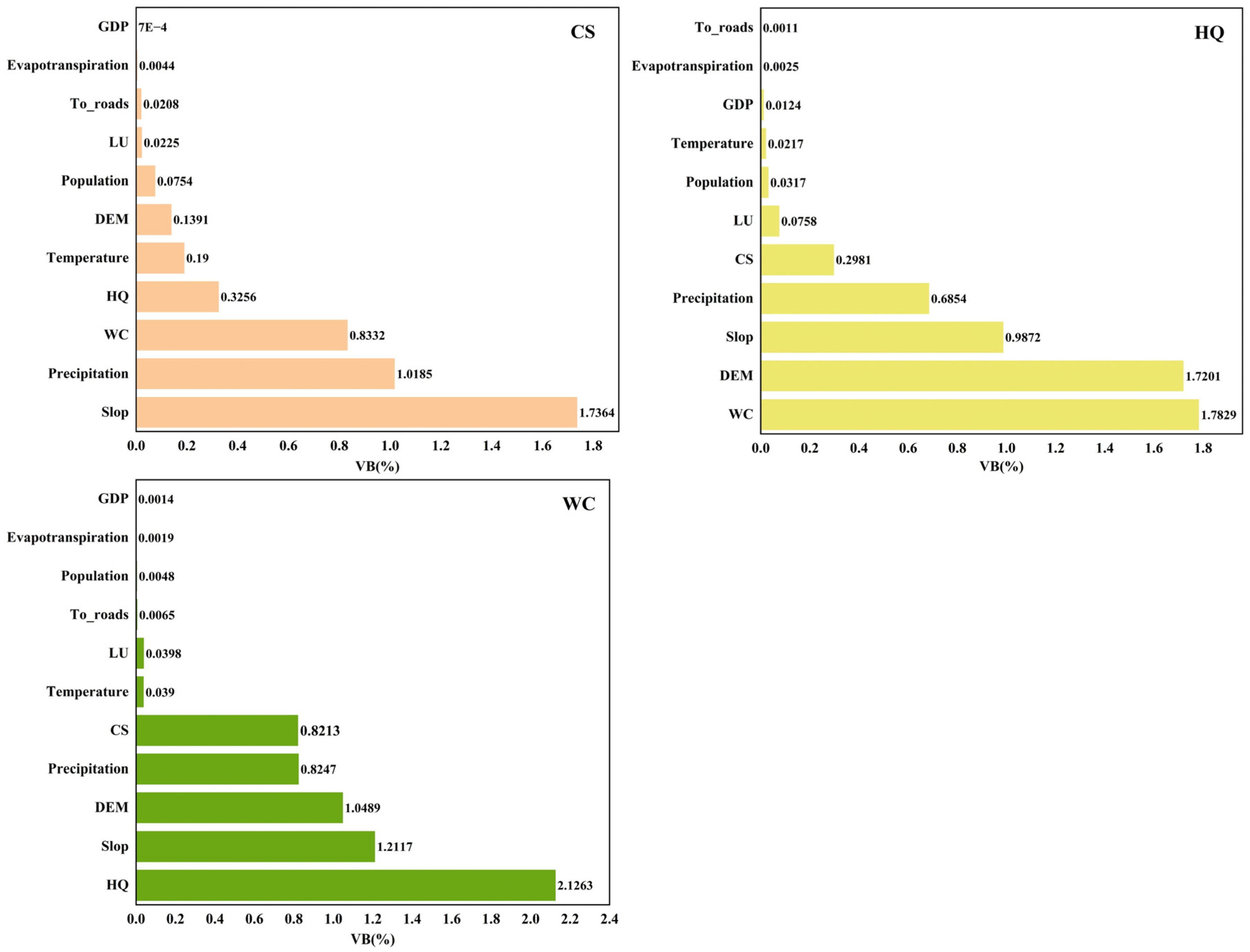
3.3.1. DBN Validation and Sensitivity Analysis Evaluation
3.3.2. Determination of the Optimal Development Scenario for ES
3.3.3. Spatial Optimization of ES Under the Preferred Scenario
4. Discussion
4.1. LUCC and ES Pattern Optimization Under Future Climate Scenarios
4.2. Future Ecological Conservation Recommendations Based on ES Pattern Optimization
4.3. Uncertainty Analysis and Research Prospects
5. Conclusions
- (1)
- The SD model predicted the LU quantity under SSP126, SSP245, and SSP585, with a maximum relative error of about 0.84%. Notably, cultivated land and unused land experienced substantial declines, whereas construction land, water, and grassland expanded markedly between 2030 and 2060 under the three climate scenarios. Forest exhibited scenario-dependent variations, reflecting the unique socioeconomic and climatic drivers associated with each scenario.
- (2)
- The PLUS model demonstrated strong performance in simulating LU patterns, achieving 95.40% overall accuracy and a Kappa coefficient of 0.90. Under the SSP126 scenario, ecological land expanded widely. In contrast, the SSP245 scenario exhibited minimal ecological land transitions but maintained stable conservation outcomes. The SSP585 scenario displayed pronounced construction land expansion, degrading ecological land integrity.
- (3)
- The DBN model demonstrated that the SSP126 scenario was the best development scenario. The central part of the Sanjiangyuan Region, with a moderate slope, abundant precipitation, and high temperature, was the most favorable area for the development of the three ES.
Supplementary Materials
Author Contributions
Funding
Data Availability Statement
Acknowledgments
Conflicts of Interest
References
- Costanza, R.; d’Arge, R.; De Groot, R.; Farber, S.; Grasso, M.; Hannon, B.; Limburg, K.; Naeem, S.; O’neill, R.V.; Paruelo, J. The value of the world’s ecosystem services and natural capital. Ecol. Econ. 1997, 387, 253–260. [Google Scholar] [CrossRef]
- Li, H.; Chen, J.; Ling, M.; Chen, Z.; Lan, Y.; Huang, Q.; Li, X.; You, H.; Wang, F.; Han, X.; et al. A framework for dynamic assessment of soil erosion and detection of driving factors in alpine grassland ecosystems using the RUSLE-InVEST (SDR) model and Geodetector: A case study of the source region of the Yellow River. Ecol. Inform. 2025, 85, 102928. [Google Scholar] [CrossRef]
- Fulford, R.; Russell, M.; Myers, M.; Malish, M.; Delmaine, A. Models help set ecosystem service baselines for restoration assessment. J. Environ. Manag. 2022, 317, 115411. [Google Scholar] [CrossRef] [PubMed]
- Luo, P.; Mu, Y.; Wang, S.; Zhu, W.; Mishra, B.K.; Huo, A.; Zhou, M.; Lyu, J.; Hu, M.; Duan, W.; et al. Exploring sustainable solutions for the water environment in Chinese and Southeast Asian cities. Ambio 2022, 51, 1199–1218. [Google Scholar] [CrossRef] [PubMed]
- Lan, Y.; Zhang, K.; Han, X.; Chen, Z.; Ling, M.; You, H.; Chen, J. The Spatiotemporal Variation in Biodiversity and Its Response to Different Future Development Scenarios: A Case Study of Guilin as an Internationally Renowned Tourist Destination in China. Appl. Sci. 2024, 14, 2101. [Google Scholar] [CrossRef]
- Zhao, X.; Ma, X.; Chen, B.; Shang, Y.; Song, M. Challenges toward carbon neutrality in China: Strategies and countermeasures. Resour. Conserv. Recycl. 2022, 176, 105959. [Google Scholar] [CrossRef]
- Yang, X.; Chen, R.; Zheng, X.Q. Simulating land use change by integrating ANN-CA model and landscape pattern indices. Geomat. Nat. Hazards Risk 2015, 7, 918–932. [Google Scholar] [CrossRef]
- Luo, G.; Yin, C.; Chen, X.; Xu, W.; Lu, L. Combining system dynamic model and CLUE-S model to improve land use scenario analyses at regional scale: A case study of Sangong watershed in Xinjiang, China. Ecol. Complex. 2010, 7, 198–207. [Google Scholar] [CrossRef]
- Zhu, G.; Qiu, D.; Zhang, Z.; Sang, L.; Liu, Y.; Wang, L.; Zhao, K.; Ma, H.; Xu, Y.; Wan, Q. Land-use changes lead to a decrease in carbon storage in arid region, China. Ecol. Indic. 2021, 127, 107770. [Google Scholar] [CrossRef]
- Ding, Q.; Chen, Y.; Bu, L.; Ye, Y. Multi-Scenario Analysis of Habitat Quality in the Yellow River Delta by Coupling FLUS with InVEST Model. Int. J. Environ. Res. Public Health 2021, 18, 2389. [Google Scholar] [CrossRef]
- CAO, Q.-w.; GU, C.-l.; GUAN, W.-h. China’s urbanization SD modelling and simulation based on land use. J. Nat. Resour. 2021, 36, 1062–1084. [Google Scholar] [CrossRef]
- Liang, X.; Guan, Q.; Clarke, K.C.; Liu, S.; Wang, B.; Yao, Y. Understanding the drivers of sustainable land expansion using a patch-generating land use simulation (PLUS) model: A case study in Wuhan, China. Comput. Environ. Urban Syst. 2021, 85, 101569. [Google Scholar] [CrossRef]
- Liang, X.; Liu, X.; Li, D.; Zhao, H.; Chen, G. Urban growth simulation by incorporating planning policies into a CA-based future land-use simulation model. Int. J. Geogr. Inf. Sci. 2018, 32, 2294–2316. [Google Scholar] [CrossRef]
- Zhai, H.; Lv, C.; Liu, W.; Yang, C.; Fan, D.; Wang, Z.; Guan, Q. Understanding Spatio-Temporal Patterns of Land Use/Land Cover Change under Urbanization in Wuhan, China, 2000–2019. Remote Sens. 2021, 13, 3331. [Google Scholar] [CrossRef]
- Guo, X.; Huang, J.; Luo, Y.; Zhao, Z.; Xu, Y. Projection of heat waves over China for eight different global warming targets using 12 CMIP5 models. Theor. Appl. Climatol. 2017, 128, 507–522. [Google Scholar] [CrossRef]
- Xiaochen, C.; Ying, X.; Chonghai, X.; Yao, Y. Assessment of precipitation simulations in China by CMIP5 multi-models. Adv. Clim. Change Res. 2014, 10, 217. [Google Scholar] [CrossRef]
- Eyring, V.; Cox, P.M.; Flato, G.M.; Gleckler, P.J.; Abramowitz, G.; Caldwell, P.; Collins, W.D.; Gier, B.K.; Hall, A.D.; Hoffman, F.M. Taking climate model evaluation to the next level. Nat. Clim. Change 2019, 9, 102–110. [Google Scholar] [CrossRef]
- ZHANG, L.-X.; Xiao-Long, C.; Xiao-Ge, X. Short commentary on CMIP6 scenario model intercomparison project (ScenarioMIP). Adv. Clim. Change Res. 2019, 15, 519. [Google Scholar] [CrossRef]
- LUO, N.; GUO, Y.; GAO, Z.; CHEN, K.; CHOU, J. Assessment of CMIP6 and CMIP5 model performance for extreme temperature in China. Atmos. Ocean. Sci. Lett. 2020, 13, 589–597. [Google Scholar] [CrossRef]
- Yang, X.; Zhou, B.; Xu, Y.; Han, Z. CMIP6 Evaluation and Projection of Temperature and Precipitation over China. Adv. Atmos. Sci. 2021, 38, 817–830. [Google Scholar] [CrossRef]
- Behboudian, M.; Anamaghi, S.; Mahjouri, N.; Kerachian, R. Enhancing the resilience of ecosystem services under extreme events in socio-hydrological systems: A spatio-temporal analysis. J. Clean. Prod. 2023, 397, 136437. [Google Scholar] [CrossRef]
- Li, C.; Wu, Y.; Gao, B.; Zheng, K.; Wu, Y.; Li, C. Multi-scenario simulation of ecosystem service value for optimization of land use in the Sichuan-Yunnan ecological barrier, China. Ecol. Indic. 2021, 132, 108328. [Google Scholar] [CrossRef]
- Martinez-Harms, M.J.; Bryan, B.A.; Figueroa, E.; Pliscoff, P.; Runting, R.K.; Wilson, K.A. Scenarios for land use and ecosystem services under global change. Ecosyst. Serv. 2017, 25, 56–68. [Google Scholar] [CrossRef]
- Wen, X.; Theau, J. Spatiotemporal analysis of water-related ecosystem services under ecological restoration scenarios: A case study in northern Shaanxi, China. Sci. Total Environ. 2020, 720, 137477. [Google Scholar] [CrossRef] [PubMed]
- Chen, J.; Zhong, P.-A.; An, R.; Zhu, F.; Xu, B. Risk analysis for real-time flood control operation of a multi-reservoir system using a dynamic Bayesian network. Environ. Model. Softw. 2019, 111, 409–420. [Google Scholar] [CrossRef]
- Furlan, E.; Slanzi, D.; Torresan, S.; Critto, A.; Marcomini, A. Multi-scenario analysis in the Adriatic Sea: A GIS-based Bayesian network to support maritime spatial planning. Sci. Total Environ. 2020, 703, 134972. [Google Scholar] [CrossRef] [PubMed]
- Sperotto, A.; Molina, J.L.; Torresan, S.; Critto, A.; Pulido-Velazquez, M.; Marcomini, A. Water quality sustainability evaluation under uncertainty: A multi-scenario analysis based on Bayesian networks. Sustainability 2019, 11, 4764. [Google Scholar] [CrossRef]
- Chang, J.; Bai, Y.; Xue, J.; Gong, L.; Zeng, F.; Sun, H.; Hu, Y.; Huang, H.; Ma, Y. Dynamic Bayesian networks with application in environmental modeling and management: A review. Environ. Model. Softw. 2023, 170, 105835. [Google Scholar] [CrossRef]
- Zinetullina, A.; Yang, M.; Khakzad, N.; Golman, B.; Li, X. Quantitative resilience assessment of chemical process systems using functional resonance analysis method and Dynamic Bayesian network. Reliab. Eng. Syst. Saf. 2021, 205, 107232. [Google Scholar] [CrossRef]
- Huang, Q.; Chen, J.; Li, X.; Li, H.; Chen, Z.; Lan, Y.; Ling, M.; You, H.; Han, X. A New Grazing-Vegetation Tradeoff and Coordination Indicator: The Grazing Intensity and Vegetation Cover Harmonization Index (GVCI). Agriculture 2025, 15, 27. [Google Scholar] [CrossRef]
- Li, X.; Chen, J.; Chen, Z.; Lan, Y.; Ling, M.; Huang, Q.; Li, H.; Han, X.; Yi, S. Explainable machine learning-based fractional vegetation cover inversion and performance optimization—A case study of an alpine grassland on the Qinghai-Tibet Plateau. Ecol. Inform. 2024, 82, 102768. [Google Scholar] [CrossRef]
- Zhao, C.; Su, S.; Gong, Z.; Lv, C.; Li, N.; Luo, Q.; Zhou, X.; Li, S. Effectiveness of protected areas in the Three-river Source Region of the Tibetan Plateau for biodiversity and ecosystem services. Ecol. Indic. 2023, 154, 110861. [Google Scholar] [CrossRef]
- Haase, D.; Haase, A.; Kabisch, N.; Kabisch, S.; Rink, D. Actors and factors in land-use simulation: The challenge of urban shrinkage. Environ. Model. Softw. 2012, 35, 92–103. [Google Scholar] [CrossRef]
- Liu, X.; Liang, X.; Li, X.; Xu, X.; Ou, J.; Chen, Y.; Li, S.; Wang, S.; Pei, F. A future land use simulation model (FLUS) for simulating multiple land use scenarios by coupling human and natural effects. Landsc. Urban Plan. 2017, 168, 94–116. [Google Scholar] [CrossRef]
- Guo, R.; Wu, T.; Wu, X.; Luigi, S.; Wang, Y. Simulation of urban land expansion under ecological constraints in Harbin-Changchun urban agglomeration, China. Chin. Geogr. Sci. 2022, 32, 438–455. [Google Scholar] [CrossRef]
- Zhang, Y.; Liao, X.; Sun, D. A Coupled InVEST-PLUS Model for the Spatiotemporal Evolution of Ecosystem Carbon Storage and Multi-Scenario Prediction Analysis. Land 2024, 13, 509. [Google Scholar] [CrossRef]
- Huang, D.; Huang, J.; Liu, T. Delimiting urban growth boundaries using the CLUE-S model with village administrative boundaries. Land Use Policy 2019, 82, 422–435. [Google Scholar] [CrossRef]
- Lin, W.; Sun, Y.; Nijhuis, S.; Wang, Z. Scenario-based flood risk assessment for urbanizing deltas using future land-use simulation (FLUS): Guangzhou Metropolitan Area as a case study. Sci. Total Environ. 2020, 739, 139899. [Google Scholar] [CrossRef]
- Liu, Z.; Ma, Q.; Cai, B.; Liu, Y.; Zheng, C. Risk assessment on deepwater drilling well control based on dynamic Bayesian network. Process Saf. Environ. Prot. 2021, 149, 643–654. [Google Scholar] [CrossRef]
- Khakzad, N. Application of dynamic Bayesian network to risk analysis of domino effects in chemical infrastructures. Reliab. Eng. Syst. Saf. 2015, 138, 263–272. [Google Scholar] [CrossRef]
- Kammouh, O.; Gardoni, P.; Cimellaro, G.P. Probabilistic framework to evaluate the resilience of engineering systems using Bayesian and dynamic Bayesian networks. Reliab. Eng. Syst. Saf. 2020, 198, 106813. [Google Scholar] [CrossRef]
- Liu, Z.; Han, Z.; Chen, Q.; Shi, X.; Ma, Q.; Cai, B.; Liu, Y. Risk assessment of marine oil spills using dynamic Bayesian network analyses. Environ. Pollut. 2023, 317, 120716. [Google Scholar] [CrossRef] [PubMed]
- Feng, Z.; Jin, X.; Chen, T.; Wu, J. Understanding trade-offs and synergies of ecosystem services to support the decision-making in the Beijing–Tianjin–Hebei region. Land Use Policy 2021, 106, 105446. [Google Scholar] [CrossRef]
- Zhu, W.; Gao, Y.; Zhang, H.; Liu, L. Optimization of the land use pattern in Horqin Sandy Land by using the CLUMondo model and Bayesian belief network. Sci. Total Environ. 2020, 739, 139929. [Google Scholar] [CrossRef] [PubMed]
- Duan, T.; Feng, J.; Chang, X.; Li, Y. Quantification of multiscale links of key factors with watershed nitrogen and sediment exports based on a Bayesian modelling approach. J. Clean. Prod. 2023, 399, 136586. [Google Scholar] [CrossRef]
- Marcot, B.G. Metrics for evaluating performance and uncertainty of Bayesian network models. Ecol. Model. 2012, 230, 50–62. [Google Scholar] [CrossRef]
- Grafius, D.R.; Corstanje, R.; Warren, P.H.; Evans, K.L.; Norton, B.A.; Siriwardena, G.M.; Pescott, O.L.; Plummer, K.E.; Mears, M.; Zawadzka, J.; et al. Using GIS-linked Bayesian Belief Networks as a tool for modelling urban biodiversity. Landsc. Urban Plan. 2019, 189, 382–395. [Google Scholar] [CrossRef]
- Zhou, S.; Peng, L. Applying Bayesian Belief Networks to Assess Alpine Grassland Degradation Risks: A Case Study in Northwest Sichuan, China. Front. Plant Sci. 2021, 12, 773759. [Google Scholar] [CrossRef]
- Wang, Z.; Li, X.; Mao, Y.; Li, L.; Wang, X.; Lin, Q. Dynamic simulation of land use change and assessment of carbon storage based on climate change scenarios at the city level: A case study of Bortala, China. Ecol. Indic. 2022, 134, 108499. [Google Scholar] [CrossRef]
- Huang, H.; Xue, J.; Feng, X.; Zhao, J.; Sun, H.; Hu, Y.; Ma, Y. Thriving arid oasis urban agglomerations: Optimizing ecosystem services pattern under future climate change scenarios using dynamic Bayesian network. J. Environ. Manag. 2024, 350, 119612. [Google Scholar] [CrossRef]
- Deng, W.; Song, J.; Sun, H.; Cheng, D.; Zhang, X.; Liu, J.; Kong, F.; Wang, H.; Khan, A.J. Isolating of climate and land surface contribution to basin runoff variability: A case study from the Weihe River Basin, China. Ecol. Eng. 2020, 153, 105904. [Google Scholar] [CrossRef]
- Angelsen, A.; Kaimowitz, D. Rethinking the causes of deforestation: Lessons from economic models. World Bank Res. Obser. 1999, 14, 73–98. [Google Scholar] [CrossRef]
- Noss, R.F. Beyond Kyoto: Forest management in a time of rapid climate change. Conserv. Biol. 2001, 15, 578–590. [Google Scholar] [CrossRef]
- Ling, M.; Feng, Z.; Chen, Z.; Lan, Y.; Li, X.; You, H.; Han, X.; Chen, J. Evaluation of driving effects of carbon storage change in the source of the Yellow River: A perspective with CMIP6 future development scenarios. Ecol. Inform. 2024, 83, 102790. [Google Scholar] [CrossRef]
- Schulp, C.J.; Veldkamp, A. Long-term landscape–land use interactions as explaining factor for soil organic matter variability in Dutch agricultural landscapes. Geoderma 2008, 146, 457–465. [Google Scholar] [CrossRef]
- Wu, J.; Luo, J.; Zhang, H.; Qin, S.; Yu, M. Projections of land use change and habitat quality assessment by coupling climate change and development patterns. Sci. Total Environ. 2022, 847, 157491. [Google Scholar] [CrossRef] [PubMed]
- Chen, S.; Deng, X.; Wu, L.; Zhao, K.; Huang, Z.; Chen, Q.; Zhang, X. Delineating Priority Areas for Preservation and Restoration across Production-Living-Ecological Spaces in Ganzi, China. Sustainability 2024, 16, 4327. [Google Scholar] [CrossRef]
- Li, S.; Yu, D.; Huang, T.; Hao, R. Identifying priority conservation areas based on comprehensive consideration of biodiversity and ecosystem services in the Three-River Headwaters Region, China. J. Clean. Prod. 2022, 359, 132082. [Google Scholar] [CrossRef]
- Ma, Y.; Chen, H.; Liu, D.; Zhang, J.; Yang, M.; Shi, J. Identification and management of priority regulation areas based on the supply-demand relationship of ecosystem services: A case study of the Loess Plateau. Ecol. Indic. 2024, 159, 111754. [Google Scholar] [CrossRef]
- Zhang, Z.; Li, T.; Li, L.; Li, S.; Rong, Y.; Bao, R.; Fu, X.; Tang, M.; Wu, G. Integrating ecosystem service importance and ecological sensitivity to identify priority areas for ecological conservation and restoration in Miyun Reservoir Basin. Int. J. Sustain. Dev. World Ecol. 2023, 30, 925–937. [Google Scholar] [CrossRef]
- Zhou, Q.; Zhu, Q.; Feng, Y.; Wang, J. Identification of Priority Areas for Ecological Restoration at a Small Watershed Scale: A Case Study in Dali Prefecture of Yunnan Province in China. Land 2025, 14, 1270. [Google Scholar] [CrossRef]
- Grossauer, F.; Stoeglehner, G. Bioeconomy-A Systematic Literature Review on Spatial Aspects and a Call for a New Research Agenda. Land 2023, 12, 234. [Google Scholar] [CrossRef]
- Yang, H.; Jiang, H.; Wu, R.; Hu, T.; Wang, H. Dynamic Evolution of Multi-Scale Ecosystem Services and Their Driving Factors: Rural Planning Analysis and Optimisation. Land 2024, 13, 995. [Google Scholar] [CrossRef]
- Chen, X.; Xu, D.; Fadelelseed, S.; Li, L. Spatiotemporal Analysis and Control of Landscape Eco-Security at the Urban Fringe in Shrinking Resource Cities: A Case Study in Daqing, China. Int. J. Environ. Res. Public Health 2019, 16, 4640. [Google Scholar] [CrossRef] [PubMed]
- Liu, Y.; Lian, J.; Chen, H. Assessment of the restoration potential for ecological sustainability in the Xijiang River basin, Southwest China: A comparative analysis of karst and non-karst areas. Sci. Total Environ. 2024, 912, 168929. [Google Scholar] [CrossRef]
- Schoenenberger, L.; Schmid, A.; Tanase, R.; Beck, M.; Schwaninger, M. Structural analysis of system dynamics models. Simul. Model. Pract. Theory 2021, 110, 102333. [Google Scholar] [CrossRef]
- He, C.; Zhang, D.; Huang, Q.; Zhao, Y. Assessing the potential impacts of urban expansion on regional carbon storage by linking the LUSD-urban and InVEST models. Environ. Model. Softw. 2016, 75, 44–58. [Google Scholar] [CrossRef]
- Zhao, M.; He, Z.; Du, J.; Chen, L.; Lin, P.; Fang, S. Assessing the effects of ecological engineering on carbon storage by linking the CA-Markov and InVEST models. Ecol. Indic. 2019, 98, 29–38. [Google Scholar] [CrossRef]
- Gao, Y.; Ma, L.; Liu, J.; Zhuang, Z.; Huang, Q.; Li, M. Constructing Ecological Networks Based on Habitat Quality Assessment: A Case Study of Changzhou, China. Sci. Rep. 2017, 7, 46073. [Google Scholar] [CrossRef]
- Bao, Y.; Li, T.; Liu, H.; Ma, T.; Wang, H.; Liu, K.; Shen, X.; Liu, X. Spatial and temporal changes of water conservation of Loess Plateau in northern Shaanxi province by InVEST model. Geogr. Res 2016, 35, 664–676. [Google Scholar]










| Type of Data | Utilization | Resolution in Space | Data Origin |
|---|---|---|---|
| LU | SD, PLUS, InVEST, DBN | 30 m | Resource Environment and Scientific Data Platform |
| Precipitation | SD, PLUS, InVEST, DBN | 1 km | National Data Center for Earth System Sciences |
| Temperature | SD, PLUS, InVEST, DBN | 1 km | National Data Center for Earth System Sciences |
| Population Density | PLUS, DBN | 1 km | Resource Environment and Scientific Data Platform |
| DEM | PLUS, InVEST, DBN | 90 m | Resource Environment and Scientific Data Platform |
| Soil Data | PLUS, InVEST, DBN | / | Food and Agriculture Organization of the United Nations |
| Nighttime Light Data | PLUS | 1 km | Resource Environment and Scientific Data Platform |
| Vector Data (Roads, River Networks, etc.) | PLUS | / | Resource Environment and Scientific Data Platform |
| Socioeconomic Data | SD | / | China’s Socio-Economic Big Data Research Platform |
| GDP | PLUS, BN | 1 km | Resource Environment and Scientific Data Platform |
| Potential Evapotranspiration | InVEST | 1 km | National Data Center for Earth System Sciences |
| Maximum limit of root system depth of the layer root system | InVEST | 100 m | References |
| LU Category | Real Area in 2020 (km2) | Predicted Area in 2020 (km2) | Comparative Error (%) |
|---|---|---|---|
| Cultivated land | 2453.1121 | 2453.85 | 0.030080158 |
| Forest | 16,288.3379 | 16,288.6 | 0.001609127 |
| Grassland | 263,849.6732 | 263,845 | −0.00177116 |
| Water | 20,549.0383 | 20,548.8 | −0.001159665 |
| Construction land | 349.8394 | 349.427 | −0.117882663 |
| Unused land | 65,311.4630 | 65,857.1 | 0.835438336 |
| Note | Error Rate | QL | SP |
|---|---|---|---|
| CS | 0.1863% | 0.02439 | 0.991 |
| HQ | 19.86% | 0.2897 | 0.839 |
| WC | 22.61% | 0.3068 | 0.8277 |
| CS | Slop | Precipitation | Temperature | HQ | DEM | Slop | Precipitation | WC | DEM | Slop | Precipitation |
|---|---|---|---|---|---|---|---|---|---|---|---|
| Low | M | H | H | Low | M | M | H | Low | H | M | M |
| Moderate | M | M | M | Moderate | H | L | M | Moderate | H | M | H |
| High | M | M | H | High | M | M | M | High | M | M | M |
Disclaimer/Publisher’s Note: The statements, opinions and data contained in all publications are solely those of the individual author(s) and contributor(s) and not of MDPI and/or the editor(s). MDPI and/or the editor(s) disclaim responsibility for any injury to people or property resulting from any ideas, methods, instructions or products referred to in the content. |
© 2025 by the authors. Licensee MDPI, Basel, Switzerland. This article is an open access article distributed under the terms and conditions of the Creative Commons Attribution (CC BY) license (https://creativecommons.org/licenses/by/4.0/).
Share and Cite
Cheng, Q.; Liu, X.; Han, X.; Yin, J.; Li, J.; Cheng, X.; Li, H.; Huang, Q.; Wang, Y.; You, H.; et al. Optimizing Ecosystem Service Patterns with Dynamic Bayesian Networks for Sustainable Land Management Under Climate Change: A Case Study in China’s Sanjiangyuan Region. Remote Sens. 2025, 17, 3357. https://doi.org/10.3390/rs17193357
Cheng Q, Liu X, Han X, Yin J, Li J, Cheng X, Li H, Huang Q, Wang Y, You H, et al. Optimizing Ecosystem Service Patterns with Dynamic Bayesian Networks for Sustainable Land Management Under Climate Change: A Case Study in China’s Sanjiangyuan Region. Remote Sensing. 2025; 17(19):3357. https://doi.org/10.3390/rs17193357
Chicago/Turabian StyleCheng, Qingmin, Xiaofeng Liu, Xiaowen Han, Jiayuan Yin, Junji Li, Xue Cheng, Hucheng Li, Qinyi Huang, Yuefeng Wang, Haotian You, and et al. 2025. "Optimizing Ecosystem Service Patterns with Dynamic Bayesian Networks for Sustainable Land Management Under Climate Change: A Case Study in China’s Sanjiangyuan Region" Remote Sensing 17, no. 19: 3357. https://doi.org/10.3390/rs17193357
APA StyleCheng, Q., Liu, X., Han, X., Yin, J., Li, J., Cheng, X., Li, H., Huang, Q., Wang, Y., You, H., Wang, Z., & Chen, J. (2025). Optimizing Ecosystem Service Patterns with Dynamic Bayesian Networks for Sustainable Land Management Under Climate Change: A Case Study in China’s Sanjiangyuan Region. Remote Sensing, 17(19), 3357. https://doi.org/10.3390/rs17193357

