Evaluating the Performance of Satellite-Derived Vegetation Indices in Gross Primary Productivity (GPP) Estimation at 30 m and 500 m Spatial Resolution
Abstract
Highlights
- Landsat-footprint VIs had strong correlation with tower GPP than MODIS-footprint VIs.
- NIRv explained tower GPP well both at 30 m and 500 m spatial resolution.
Abstract
1. Introduction
2. Materials and Methods
2.1. Study Sites
2.2. Remote Sensing Data and Processing
2.2.1. MODIS Data
2.2.2. Landsat Data
2.3. Vegetation Indices
2.4. Footprint Simulation and VI Matching
2.5. Statistical Analysis and Evaluation
3. Results
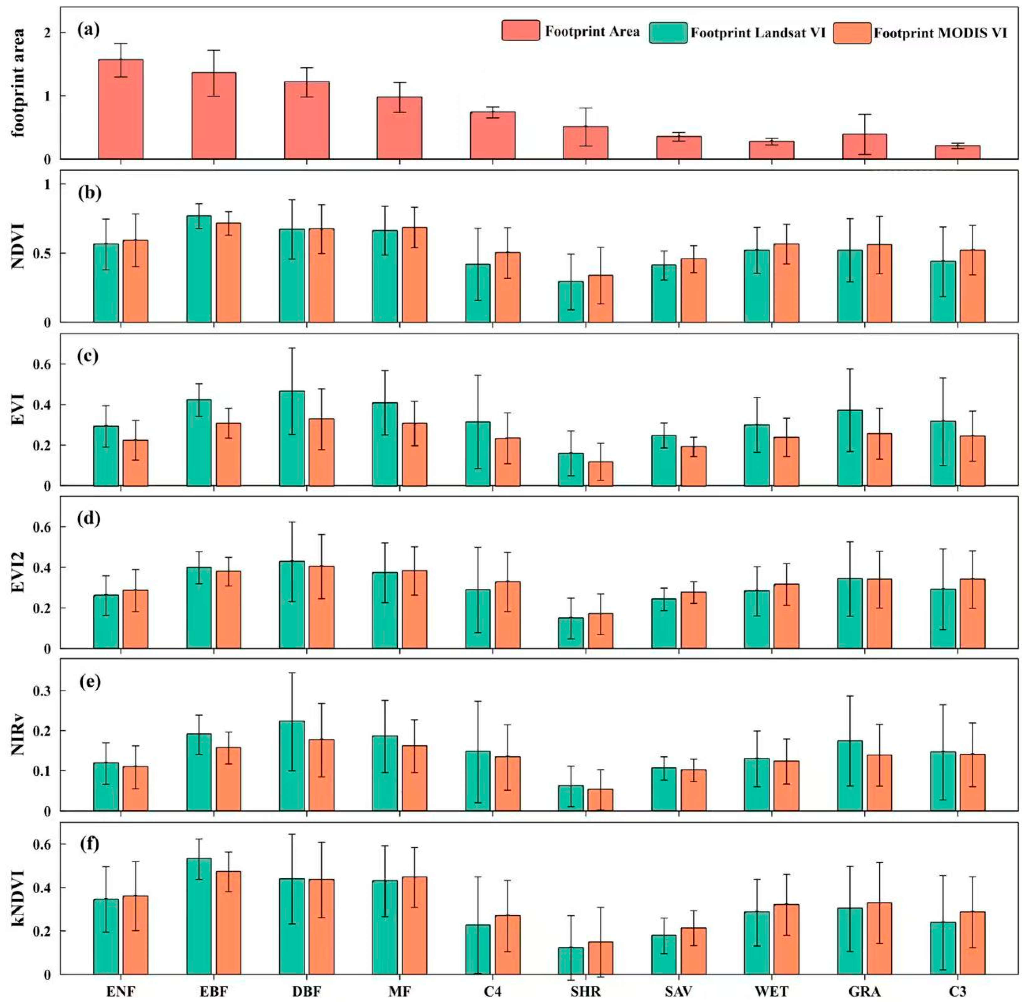
3.1. Evaluation of Footprints and Footprint VIs
3.2. Relationships Between VIs and GPP
3.3. Example Cases
4. Discussion
4.1. The Relationship Between VIs with Matching Footprint and Tower GPP
4.2. The Potential of Each VI in GPP Estimation
4.3. Limitations and Future Perspectives
5. Conclusions
Author Contributions
Funding
Data Availability Statement
Conflicts of Interest
Abbreviations
| GPP | Gross Primary Productivity |
| NDVI | Normalized Difference Vegetation Index |
| EVI | Enhanced Vegetation Index |
| EVI2 | Two-band Enhanced Vegetation Index |
| NIRv | Near-Infrared Reflectance of Vegetation |
| kNDVI | Kernel-based Normalized Difference Vegetation Index |
References
- Chapin, F.S.; Matson, P.A.; Vitousek, P.M. Principles of Terrestrial Ecosystem Ecology; Springer: New York, NY, USA, 2011; ISBN 978-1-4419-9503-2. [Google Scholar]
- Ryu, Y.; Berry, J.A.; Baldocchi, D.D. What Is Global Photosynthesis? History, Uncertainties and Opportunities. Remote Sens. Environ. 2019, 223, 95–114. [Google Scholar] [CrossRef]
- Schimel, D.; Schneider, F.D. JPL Carbon and Ecosystem Participants Flux Towers in the Sky: Global Ecology from Space. New Phytol. 2019, 224, 570–584. [Google Scholar] [CrossRef]
- Xing, X.; Wu, M.; Zhang, W.; Ju, W.; Tagesson, T.; He, W.; Wang, S.; Wang, J.; Hu, L.; Yuan, S.; et al. Modeling China’s Terrestrial Ecosystem Gross Primary Productivity with BEPS Model: Parameter Sensitivity Analysis and Model Calibration. Agric. For. Meteorol. 2023, 343, 109789. [Google Scholar] [CrossRef]
- Bonan, G.B.; Doney, S.C. Climate, Ecosystems, and Planetary Futures: The Challenge to Predict Life in Earth System Models. Science 2018, 359, eaam8328. [Google Scholar] [CrossRef]
- Le Quéré, C.; Mayot, N. Climate Change and Biospheric Output. Science 2022, 375, 1091–1092. [Google Scholar] [CrossRef]
- Xiao, J.; Chevallier, F.; Gomez, C.; Guanter, L.; Hicke, J.A.; Huete, A.R.; Ichii, K.; Ni, W.; Pang, Y.; Rahman, A.F. Remote Sensing of the Terrestrial Carbon Cycle: A Review of Advances over 50 Years. Remote Sens. Environ. 2019, 233, 111383. [Google Scholar] [CrossRef]
- Beer, C.; Reichstein, M.; Tomelleri, E.; Ciais, P.; Jung, M.; Carvalhais, N.; Rödenbeck, C.; Arain, M.A.; Baldocchi, D.; Bonan, G.B.; et al. Terrestrial Gross Carbon Dioxide Uptake: Global Distribution and Covariation with Climate. Science 2010, 329, 834–838. [Google Scholar] [CrossRef]
- Baldocchi, D.; Falge, E.; Gu, L.; Olson, R.; Hollinger, D.; Running, S.; Anthoni, P.; Bernhofer, C.; Davis, K.; Evans, R.; et al. FLUXNET: A New Tool to Study the Temporal and Spatial Variability of Ecosystem–Scale Carbon Dioxide, Water Vapor, and Energy Flux Densities. Bull. Amer. Meteor. Soc. 2001, 82, 2415–2434. [Google Scholar] [CrossRef]
- Pastorello, G.; Trotta, C.; Canfora, E.; Chu, H.; Christianson, D.; Cheah, Y.-W.; Poindexter, C.; Chen, J.; Elbashandy, A.; Humphrey, M.; et al. The FLUXNET2015 Dataset and the ONEFlux Processing Pipeline for Eddy Covariance Data. Sci. Data 2020, 7, 225. [Google Scholar] [CrossRef] [PubMed]
- Zhou, Y.; Wu, X.; Ju, W.; Chen, J.M.; Wang, S.; Wang, H.; Yuan, W.; Andrew Black, T.; Jassal, R.; Ibrom, A.; et al. Global Parameterization and Validation of a Two-leaf Light Use Efficiency Model for Predicting Gross Primary Production across FLUXNET Sites. JGR Biogeosci. 2016, 121, 1045–1072. [Google Scholar] [CrossRef]
- Kljun, N.; Calanca, P.; Rotach, M.W.; Schmid, H.P. A Simple Two-Dimensional Parameterisation for Flux Footprint Prediction (FFP). Geosci. Model Dev. 2015, 8, 3695–3713. [Google Scholar] [CrossRef]
- Anav, A.; Friedlingstein, P.; Beer, C.; Ciais, P.; Harper, A.; Jones, C.; Murray-Tortarolo, G.; Papale, D.; Parazoo, N.C.; Peylin, P.; et al. Spatiotemporal Patterns of Terrestrial Gross Primary Production: A Review. Rev. Geophys. 2015, 53, 785–818. [Google Scholar] [CrossRef]
- Badgley, G.; Field, C.B.; Berry, J.A. Canopy Near-Infrared Reflectance and Terrestrial Photosynthesis. Sci. Adv. 2017, 3, e1602244. [Google Scholar] [CrossRef]
- Huete, A.; Didan, K.; Miura, T.; Rodriguez, E.P.; Gao, X.; Ferreira, L.G. Overview of the Radiometric and Biophysical Performance of the MODIS Vegetation Indices. Remote Sens. Environ. 2002, 83, 195–213. [Google Scholar] [CrossRef]
- Tucker, C.J. Red and Photographic Infrared Linear Combinations for Monitoring Vegetation. Remote Sens. Environ. 1979, 8, 127–150. [Google Scholar] [CrossRef]
- Pei, Y.; Dong, J.; Zhang, Y.; Yuan, W.; Doughty, R.; Yang, J.; Zhou, D.; Zhang, L.; Xiao, X. Evolution of Light Use Efficiency Models: Improvement, Uncertainties, and Implications. Agric. For. Meteorol. 2022, 317, 108905. [Google Scholar] [CrossRef]
- Yuan, W.; Liu, S.; Zhou, G.; Zhou, G.; Tieszen, L.L.; Baldocchi, D.; Bernhofer, C.; Gholz, H.; Goldstein, A.H.; Goulden, M.L.; et al. Deriving a Light Use Efficiency Model from Eddy Covariance Flux Data for Predicting Daily Gross Primary Production across Biomes. Agric. For. Meteorol. 2007, 143, 189–207. [Google Scholar] [CrossRef]
- Zhao, W.; Zhu, Z. Exploring the Best-Matching Plant Traits and Environmental Factors for Vegetation Indices in Estimates of Global Gross Primary Productivity. Remote Sens. 2022, 14, 6316. [Google Scholar] [CrossRef]
- Birky, A.K. NDVI and a Simple Model of Deciduous Forest Seasonal Dynamics. Ecol. Model. 2001, 143, 43–58. [Google Scholar] [CrossRef]
- Jiang, Z.; Huete, A.R.; Didan, K.; Miura, T. Development of a Two-Band Enhanced Vegetation Index without a Blue Band. Remote Sens. Environ. 2008, 112, 3833–3845. [Google Scholar]
- Shirkey, G.; John, R.; Chen, J.; Dahlin, K.; Abraha, M.; Sciusco, P.; Lei, C.; Reed, D.E. Fine Resolution Remote Sensing Spectra Improves Estimates of Gross Primary Production of Croplands. Agric. For. Meteorol. 2022, 326, 109175. [Google Scholar] [CrossRef]
- Baldocchi, D.D.; Ryu, Y.; Dechant, B.; Eichelmann, E.; Hemes, K.; Ma, S.; Sanchez, C.R.; Shortt, R.; Szutu, D.; Valach, A.; et al. Outgoing Near-infrared Radiation from Vegetation Scales with Canopy Photosynthesis across a Spectrum of Function, Structure, Physiological Capacity, and Weather. J. Geophys. Res. Biogeoscie. 2020, 125, e2019JG005534. [Google Scholar] [CrossRef]
- Camps-Valls, G.; Campos-Taberner, M.; Moreno-Martínez, Á.; Walther, S.; Duveiller, G.; Cescatti, A.; Mahecha, M.D.; Muñoz-Marí, J.; García-Haro, F.J.; Guanter, L.; et al. A Unified Vegetation Index for Quantifying the Terrestrial Biosphere. Sci. Adv. 2021, 7, eabc7447. [Google Scholar] [CrossRef]
- Xu, H.; Zhang, Z.; Wu, X.; Wan, J. Light Use Efficiency Models Incorporating Diffuse Radiation Impacts for Simulating Terrestrial Ecosystem Gross Primary Productivity: A Global Comparison. Agric. For. Meteorol. 2023, 332, 109376. [Google Scholar] [CrossRef]
- Celis, J.; Xiao, X.; Wagle, P.; Basara, J.; McCarthy, H.; Souza, L. A Comparison of Moderate and High Spatial Resolution Satellite Data for Modeling Gross Primary Production and Transpiration of Native Prairie, Alfalfa, and Winter Wheat. Agric. For. Meteorol. 2024, 344, 109797. [Google Scholar] [CrossRef]
- Gelybó, G.; Barcza, Z.; Kern, A.; Kljun, N. Effect of Spatial Heterogeneity on the Validation of Remote Sensing Based GPP Estimations. Agric. For. Meteorol. 2013, 174–175, 43–53. [Google Scholar] [CrossRef]
- Kong, J.; Ryu, Y.; Liu, J.; Dechant, B.; Rey-Sanchez, C.; Shortt, R.; Szutu, D.; Verfaillie, J.; Houborg, R.; Baldocchi, D.D. Matching High Resolution Satellite Data and Flux Tower Footprints Improves Their Agreement in Photosynthesis Estimates. Agric. For. Meteorol. 2022, 316, 108878. [Google Scholar] [CrossRef]
- Burchard-Levine, V.; Nieto, H.; Riaño, D.; Migliavacca, M.; El-Madany, T.S.; Guzinski, R.; Carrara, A.; Martín, M.P. The Effect of Pixel Heterogeneity for Remote Sensing Based Retrievals of Evapotranspiration in a Semi-Arid Tree-Grass Ecosystem. Remote Sens. Environ. 2021, 260, 112440. [Google Scholar] [CrossRef]
- Chu, H.; Luo, X.; Ouyang, Z.; Chan, W.S.; Dengel, S.; Biraud, S.C.; Torn, M.S.; Metzger, S.; Kumar, J.; Arain, M.A.; et al. Representativeness of Eddy-Covariance Flux Footprints for Areas Surrounding AmeriFlux Sites. Agric. For. Meteorol. 2021, 301–302, 108350. [Google Scholar] [CrossRef]
- Fang, J.; Fang, J.; Chen, B.; Zhang, H.; Dilawar, A.; Guo, M.; Liu, S. Assessing Spatial Representativeness of Global Flux Tower Eddy-Covariance Measurements Using Data from FLUXNET2015. Sci. Data 2024, 11, 569. [Google Scholar] [CrossRef] [PubMed]
- Cai, Z.; Junttila, S.; Holst, J.; Jin, H.; Ardö, J.; Ibrom, A.; Peichl, M.; Mölder, M.; Jönsson, P.; Rinne, J.; et al. Modelling Daily Gross Primary Productivity with Sentinel-2 Data in the Nordic Region–Comparison with Data from MODIS. Remote Sens. 2021, 13, 469. [Google Scholar] [CrossRef]
- Pacheco-Labrador, J.; El-Madany, T.S.; Martín, M.P.; Migliavacca, M.; Rossini, M.; Carrara, A.; Zarco-Tejada, P.J. Spatio-Temporal Relationships between Optical Information and Carbon Fluxes in a Mediterranean Tree-Grass Ecosystem. Remote Sens. 2017, 9, 608. [Google Scholar] [CrossRef]
- Fu, Y.; Chen, X.; Song, C.; Huang, X.; Dong, J.; Peng, Q.; Yuan, W. High-Resolution Mapping of Global Winter-Triticeae Crops Using a Sample-Free Identification Method. Earth Syst. Sci. Data 2025, 17, 95–115. [Google Scholar] [CrossRef]
- Huang, X.; Lin, S.; Li, X.; Ma, M.; Wu, C.; Yuan, W. How Well Can Matching High Spatial Resolution Landsat Data with Flux Tower Footprints Improve Estimates of Vegetation Gross Primary Production. Remote Sens. 2022, 14, 6062. [Google Scholar] [CrossRef]
- Huang, X.; Zheng, Y.; Zhang, H.; Lin, S.; Liang, S.; Li, X.; Ma, M.; Yuan, W. High Spatial Resolution Vegetation Gross Primary Production Product: Algorithm and Validation. Sci. Remote Sens. 2022, 5, 100049. [Google Scholar] [CrossRef]
- Friedl, M.A.; McIver, D.K.; Hodges, J.C.F.; Zhang, X.Y.; Muchoney, D.; Strahler, A.H.; Woodcock, C.E.; Gopal, S.; Schneider, A.; Cooper, A.; et al. Global Land Cover Mapping from MODIS: Algorithms and Early Results. Remote Sens. Environ. 2002, 83, 287–302. [Google Scholar] [CrossRef]
- Monson, R.K.; Li, S.; Ainsworth, E.A.; Fan, Y.; Hodge, J.G.; Knapp, A.K.; Leakey, A.D.B.; Lombardozzi, D.; Reed, S.C.; Sage, R.F.; et al. C4 Photosynthesis, Trait Spectra, and the Fast-efficient Phenotype. New Phytol. 2025, 246, 879–893. [Google Scholar] [CrossRef]
- Christin, P.; Osborne, C.P. The Evolutionary Ecology of C4 Plants. New Phytol. 2014, 204, 765–781. [Google Scholar] [CrossRef] [PubMed]
- Vermote, E. MODIS/Terra Surface Reflectance 8-Day L3 Global 500m SIN Grid V061 [Data Set]. NASA Land Processes Distributed Active Archive Center. 2021. Available online: https://www.earthdata.nasa.gov/data/catalog/lpcloud-mod09a1-061 (accessed on 23 September 2025). [CrossRef]
- Sun, Y.; Peng, D.; Guan, X.; Chu, D.; Ma, Y.; Shen, H. Impacts of the Data Quality of Remote Sensing Vegetation Index on Gross Primary Productivity Estimation. GIScience Remote Sens. 2023, 60, 2275421. [Google Scholar] [CrossRef]
- Shen, H.; Ran, Y.; Guan, X.; Chu, D.; Li, D. A Parameter and Flag Adaptive Reconstruction Method for Satellite Vegetation Index Time Series. IEEE Trans. Geosci. Remote Sens. 2025, 63, 4410817. [Google Scholar] [CrossRef]
- Running, S.W.; Nemani, R.R.; Heinsch, F.A.; Zhao, M.; Reeves, M.; Hashimoto, H. A Continuous Satellite-Derived Measure of Global Terrestrial Primary Production. BioScience 2004, 54, 547–560. [Google Scholar] [CrossRef]
- Rocha, A.V.; Shaver, G.R. Advantages of a Two Band EVI Calculated from Solar and Photosynthetically Active Radiation Fluxes. Agric. For. Meteorol. 2009, 149, 1560–1563. [Google Scholar] [CrossRef]
- Zhang, J.; Xiao, J.; Tong, X.; Zhang, J.; Meng, P.; Li, J.; Liu, P.; Yu, P. NIRv and SIF Better Estimate Phenology than NDVI and EVI: Effects of Spring and Autumn Phenology on Ecosystem Production of Planted Forests. Agric. For. Meteorol. 2022, 315, 108819. [Google Scholar] [CrossRef]
- Wang, Q.; Moreno-Martínez, Á.; Muñoz-Marí, J.; Campos-Taberner, M.; Camps-Valls, G. Estimation of Vegetation Traits with Kernel NDVI. Isprs J. Photogramm. Remote Sens. 2023, 195, 408–417. [Google Scholar] [CrossRef]
- Kumari, S.; Kambhammettu, B.V.N.P.; Adams, M.A.; Niyogi, D. Analysis of Flux Footprints in Fragmented, Heterogeneous Croplands. Meteorol Atmos Phys 2024, 136, 9. [Google Scholar] [CrossRef]
- Celis, J.; Xiao, X.; White, P.M.; Cabral, O.M.R.; Freitas, H.C. Improved Modeling of Gross Primary Production and Transpiration of Sugarcane Plantations with Time-Series Landsat and Sentinel-2 Images. Remote Sens. 2023, 16, 46. [Google Scholar] [CrossRef]
- Tramontana, G.; Jung, M.; Schwalm, C.R.; Ichii, K.; Camps-Valls, G.; Ráduly, B.; Reichstein, M.; Arain, M.A.; Cescatti, A.; Kiely, G.; et al. Predicting Carbon Dioxide and Energy Fluxes across Global FLUXNET Sites Withregression Algorithms. Biogeosciences 2016, 13, 4291–4313. [Google Scholar] [CrossRef]
- Wagle, P.; Gowda, P.H.; Xiao, X.; Kc, A. Parameterizing Ecosystem Light Use Efficiency and Water Use Efficiency to Estimate Maize Gross Primary Production and Evapotranspiration Using MODIS EVI. Agric. For. Meteorol. 2016, 222, 87–97. [Google Scholar] [CrossRef]
- Sims, D.A.; Gamon, J.A. Relationships between Leaf Pigment Content and Spectral Reflectance across a Wide Range of Species, Leaf Structures and Developmental Stages. Remote Sens. Environ. 2002, 81, 337–354. [Google Scholar] [CrossRef]
- Qiu, B.; Yan, X.; Chen, C.; Tang, Z.; Wu, W.; Xu, W.; Zhao, Z.; Yan, C.; Berry, J.; Huang, W.; et al. The Impact of Indicator Selection on Assessment of Global Greening. GIScience Remote Sens. 2021, 58, 372–385. [Google Scholar] [CrossRef]
- Hinojo-Hinojo, C.; Goulden, M.L. Plant Traits Help Explain the Tight Relationship between Vegetation Indices and Gross Primary Production. Remote Sens. 2020, 12, 1405. [Google Scholar] [CrossRef]
- Li, Z.-L.; Liu, X.; Zhao, E.; Si, M.; Gao, C.; Wu, H.; Ren, H.; Duan, S.-B.; Tang, R.; Tang, B.-H.; et al. Reflections on Developments and Opportunities of Thermal Infrared Remote Sensing. Innov. Geosci. 2024, 2, 100104. [Google Scholar] [CrossRef]
- Huang, X.; Xiao, J.; Ma, M. Evaluating the Performance of Satellite-Derived Vegetation Indices for Estimating Gross Primary Productivity Using FLUXNET Observations across the Globe. Remote Sens. 2019, 11, 1823. [Google Scholar] [CrossRef]
- Mukhtar, H.; Yang, Y.; Xu, M.; Wu, J.; Abbas, S.; Wei, D.; Zhao, W. Elevation-dependent Vegetation Greening and Its Responses to Climate Changes in the South Slope of the Himalayas. Geophys. Res. Lett. 2025, 52, e2024GL113276. [Google Scholar] [CrossRef]
- Heiskanen, J.; Rautiainen, M.; Stenberg, P.; Mõttus, M.; Vesanto, V.-H.; Korhonen, L.; Majasalmi, T. Seasonal Variation in MODIS LAI for a Boreal Forest Area in Finland. Remote Sens. Environ. 2012, 126, 104–115. [Google Scholar] [CrossRef]
- Román, M.O.; Schaaf, C.B.; Woodcock, C.E.; Strahler, A.H.; Yang, X.; Braswell, R.H.; Curtis, P.S.; Davis, K.J.; Dragoni, D.; Goulden, M.L. The MODIS (Collection V005) BRDF/Albedo Product: Assessment of Spatial Representativeness over Forested Landscapes. Remote Sens. Environ. 2009, 113, 2476–2498. [Google Scholar] [CrossRef]
- Griebel, A.; Metzen, D.; Pendall, E.; Burba, G.; Metzger, S. Generating Spatially Robust Carbon Budgets from Flux Tower Observations. Geophys. Res. Lett. 2020, 47, e2019GL085942. [Google Scholar] [CrossRef]







| VI | Full Name | Formula | Key Characteristics | Typical Use | References |
|---|---|---|---|---|---|
| NDVI | Normalized Difference Vegetation Index | Simple, efficient, and widely used. Sensitive to vegetation greenness and canopy density. Susceptible to saturation at high LAI and soil background effects. | General vegetation monitoring and long-term productivity modeling. | [7,43] | |
| EVI | Enhanced Vegetation Index | Includes blue band and aerosol corrections. Reduces soil background influence and saturation. Provides greater sensitivity in high-biomass regions. | Dense forests, cropland, and tropical vegetation. | [15,44] | |
| EVI2 | Two-band Enhanced Vegetation Index | Simplified version of EVI, no blue band required. Maintains EVI’s advantages in canopy density but increases usability under cloudy or blue-band-absent conditions. | Areas with frequent cloud cover or limited access to the blue band. | [21] | |
| NIRv | Near-Infrared Reflectance of Vegetation | Integrates NDVI and NIR reflectance. Strongly correlated with GPP and photosynthetic activity. Less sensitive to background noise and performs well under high LAI. | Modeling GPP, photosynthetic seasonality, and vegetation productivity. | [14,45] | |
| kNDVI | Kernel-based Normalized Difference Vegetation Index | A nonlinear transformation of NDVI using a tanh kernel. Reduces saturation effects and enhances GPP correlation. Designed empirically, not a neural network output. | Complex vegetation structures, high-biomass or heterogeneous ecosystems. | [24,46] |
| IGBP | NDVI | EVI | EVI2 | NIRv | kNDVI | |||||
|---|---|---|---|---|---|---|---|---|---|---|
| 30 m | 500 m | 30 m | 500 m | 30 m | 500 m | 30 m | 500 m | 30 m | 500 m | |
| C3 | 0.72 | 0.56 | 0.79 | 0.70 | 0.77 | 0.65 | 0.78 | 0.67 | 0.77 | 0.65 |
| C4 | 0.73 | 0.59 | 0.81 | 0.71 | 0.80 | 0.66 | 0.83 | 0.68 | 0.79 | 0.67 |
| DBF | 0.69 | 0.58 | 0.80 | 0.68 | 0.77 | 0.70 | 0.78 | 0.70 | 0.74 | 0.63 |
| EBF | 0.02 | 0.01 | 0.02 | 0.01 | 0.00 | 0.02 | 0.00 | 0.02 | 0.02 | 0.01 |
| ENF | 0.59 | 0.60 | 0.72 | 0.72 | 0.72 | 0.70 | 0.74 | 0.71 | 0.66 | 0.67 |
| GRA | 0.66 | 0.61 | 0.80 | 0.72 | 0.77 | 0.72 | 0.80 | 0.74 | 0.69 | 0.65 |
| MF | 0.74 | 0.54 | 0.85 | 0.72 | 0.87 | 0.77 | 0.86 | 0.78 | 0.80 | 0.60 |
| SAV | 0.57 | 0.48 | 0.71 | 0.70 | 0.79 | 0.74 | 0.80 | 0.77 | 0.68 | 0.58 |
| SHR | 0.66 | 0.62 | 0.72 | 0.68 | 0.71 | 0.65 | 0.69 | 0.65 | 0.75 | 0.71 |
| WET | 0.53 | 0.40 | 0.69 | 0.58 | 0.66 | 0.63 | 0.69 | 0.63 | 0.58 | 0.42 |
Disclaimer/Publisher’s Note: The statements, opinions and data contained in all publications are solely those of the individual author(s) and contributor(s) and not of MDPI and/or the editor(s). MDPI and/or the editor(s) disclaim responsibility for any injury to people or property resulting from any ideas, methods, instructions or products referred to in the content. |
© 2025 by the authors. Licensee MDPI, Basel, Switzerland. This article is an open access article distributed under the terms and conditions of the Creative Commons Attribution (CC BY) license (https://creativecommons.org/licenses/by/4.0/).
Share and Cite
Cao, D.; Huang, X.; Liu, G.; Tian, L.; Xin, Q.; Yang, Y. Evaluating the Performance of Satellite-Derived Vegetation Indices in Gross Primary Productivity (GPP) Estimation at 30 m and 500 m Spatial Resolution. Remote Sens. 2025, 17, 3291. https://doi.org/10.3390/rs17193291
Cao D, Huang X, Liu G, Tian L, Xin Q, Yang Y. Evaluating the Performance of Satellite-Derived Vegetation Indices in Gross Primary Productivity (GPP) Estimation at 30 m and 500 m Spatial Resolution. Remote Sensing. 2025; 17(19):3291. https://doi.org/10.3390/rs17193291
Chicago/Turabian StyleCao, Deli, Xiaojuan Huang, Gang Liu, Lingwen Tian, Qi Xin, and Yuli Yang. 2025. "Evaluating the Performance of Satellite-Derived Vegetation Indices in Gross Primary Productivity (GPP) Estimation at 30 m and 500 m Spatial Resolution" Remote Sensing 17, no. 19: 3291. https://doi.org/10.3390/rs17193291
APA StyleCao, D., Huang, X., Liu, G., Tian, L., Xin, Q., & Yang, Y. (2025). Evaluating the Performance of Satellite-Derived Vegetation Indices in Gross Primary Productivity (GPP) Estimation at 30 m and 500 m Spatial Resolution. Remote Sensing, 17(19), 3291. https://doi.org/10.3390/rs17193291

