Preliminary Study on Near-Surface Air Temperature Lapse Rate Estimation and Its Spatiotemporal Distribution Characteristics in Beijing–Tianjin–Hebei Mountainous Region
Abstract
1. Introduction
2. Materials and Methods
2.1. Study Area
2.2. Data
2.2.1. FY-4A AGRI L2 LST
2.2.2. NASA DEM Data
2.2.3. ERA5-Land Reanalysis Data
2.2.4. MODIS Products
2.2.5. Meteorological Station Measurements
2.3. Research Methods
2.3.1. AGRI LST Reconstruction
2.3.2. LST Downscaling
2.3.3. Remote Sensing Estimation of Spatial Distribution of Air Temperature
2.3.4. Estimation of the Spatial Distribution of SATLRs
- 1.
- Calculation of nSAT using machine learning to separate the effects of elevation on air temperature
- 2.
- Estimation of SATLR on the basis of nSAT using the sliding window method
2.3.5. SATLR Estimation Accuracy Assessment
3. Result
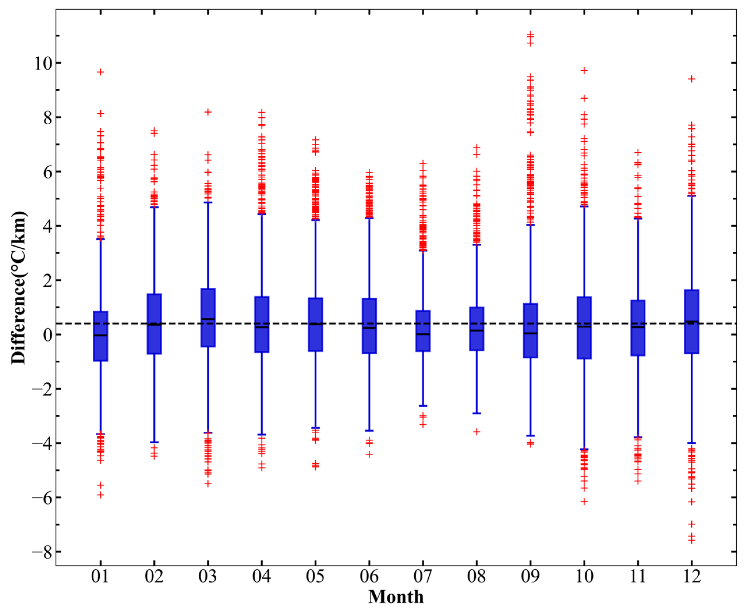
3.1. Feasibility Analysis of SATLR Spatial Distribution Calculation Based on Air Temperature Estimation from Remote Sensing
3.2. Characterization of the Spatiotemporal Distribution of the Annual Average SATLR
3.3. Characterization of the Spatio-Temporal Distribution of SATLR Across Seasons
4. Discussion
4.1. Advantages
4.2. Disadvantages
5. Conclusions
Author Contributions
Funding
Data Availability Statement
Acknowledgments
Conflicts of Interest
References
- Zhang, G.; Zhang, G.; Zhu, S.; Zhang, N.; Xu, Y. Estimation on the Hourly Distribution of Near-Surface Temperature Lapse Rate Under Winter Clear-Sky Conditions. IEEE Trans. Geosci. Remote Sens. 2023, 61, 4107013. [Google Scholar] [CrossRef]
- Qin, Y. The Spatiotemporal Characteristics of Temperature Lapse Rate in China. Ph.D. Thesis, China University of Geosciences, Wuhan, China, 2022. [Google Scholar]
- Firozjaei, M.K.; Fathololoumi, S.; Alavipanah, S.K.; Kiavarz, M.; Vaezi, A.R.; Biswas, A. A New Approach for Modeling near Surface Temperature Lapse Rate Based on Normalized Land Surface Temperature Data. Remote Sens. Environ. 2020, 242, 111746. [Google Scholar] [CrossRef]
- Kirchner, M.; Faus-Kessler, T.; Jakobi, G.; Leuchner, M.; Ries, L.; Scheel, H.; Suppan, P. Altitudinal Temperature Lapse Rates in an Alpine Valley: Trends and the Influence of Season and Weather Patterns. Int. J. Climatol. 2013, 33, 539–555. [Google Scholar] [CrossRef]
- Li, X.; Wang, L.; Chen, D.; Yang, K.; Xue, B.; Sun, L. Near-surface Air Temperature Lapse Rates in the Mainland China during 1962–2011. J. Geophys. Res. Atmos. 2013, 118, 7505–7515. [Google Scholar] [CrossRef]
- Shen, Y.; Shen, Y.; Goetz, J.; Brenning, A. Spatial-temporal Variation of Near-surface Temperature Lapse Rates over the Tianshan Mountains, Central Asia. J. Geophys. Res. Atmos. 2016, 121, 14-006. [Google Scholar] [CrossRef]
- Córdova, M.; Célleri, R.; Shellito, C.J.; Orellana-Alvear, J.; Abril, A.; Carrillo-Rojas, G. Near-Surface Air Temperature Lapse Rate Over Complex Terrain in the Southern Ecuadorian Andes: Implications for Temperature Mapping. Arct. Antarct. Alp. Res. 2016, 48, 673–684. [Google Scholar] [CrossRef]
- Yao, Y.; Xu, M.; Zhang, B. The Implication of Mass Elevation Effect of the Tibetan Plateau for Altitudinal Belts. J. Geogr. Sci. 2015, 25, 1411–1422. [Google Scholar] [CrossRef]
- Peng, S.; Piao, S.; Ciais, P.; Myneni, R.B.; Chen, A.; Chevallier, F.; Dolman, A.J.; Janssens, I.A.; Peñuelas, J.; Zhang, G.; et al. Asymmetric Effects of Daytime and Night-Time Warming on Northern Hemisphere Vegetation. Nature 2013, 501, 88–92. [Google Scholar] [CrossRef]
- Seguin, B. Use of Surface Temperature in Agrometeorology. In Applications of Remote Sensing to Agrometeorology; Toselli, F., Ed.; Ispra Courses; Springer Netherlands: Dordrecht, The Netherlands, 1989; pp. 221–240. ISBN 978-94-010-7501-5. [Google Scholar]
- Yao, Y.; Zhang, B.; Zhao, C. Geographical distribution of cripple tree forest and its importance for forest line in China. Prog. Geogr. 2017, 36, 491–499. [Google Scholar] [CrossRef][Green Version]
- Goetz, S.J.; Prince, S.D.; Small, J. Advances in Satellite Remote Sensing of Environmental Variables for Epidemiological Applications. In Remote Sensing and Geographical Information Systems in Epidemiology; Advances in Parasitology; Academic Press: Cambridge, MA, USA, 2000; Volume 47, pp. 289–307. [Google Scholar]
- Vogt, J.V.; Viau, A.A.; Paquet, F. Mapping Regional Air Temperature Fields Using Satellite-Derived Surface Skin Temperatures. Int. J. Climatol. 1997, 17, 1559–1579. [Google Scholar] [CrossRef]
- Wang, Y.X.; Ding, K.; Huang, X.Y.; Long, X.M.; Zhou, R.L. Temperature lapse rates in the mountain regions of Yunnan Province based on remotely sensed instantaneous land surface temperature. J. Remote Sens. 2014, 18, 912–922. [Google Scholar] [CrossRef]
- Romshoo, S.A.; Rafiq, M.; Rashid, I. Spatio-Temporal Variation of Land Surface Temperature and Temperature Lapse Rate over Mountainous Kashmir Himalaya. J. Mt. Sci. 2018, 15, 563–576. [Google Scholar] [CrossRef]
- Breiman, L. Random Search. Mach. Learn. 2001, 45, 5–32. [Google Scholar] [CrossRef]
- Bergstra, J.; Bengio, Y. Random Search for Hyper-Parameter Optimization. J. Mach. Learn. Res. 2012, 13, 281–305. [Google Scholar]
- Jin, M.; Dickinson, R.E. Land Surface Skin Temperature Climatology: Benefitting from the Strengths of Satellite Observations. Environ. Res. Lett. 2010, 5, 044004. [Google Scholar] [CrossRef]
- Zhao, W.; Duan, S.-B. Reconstruction of Daytime Land Surface Temperatures under Cloud-Covered Conditions Using Integrated MODIS/Terra Land Products and MSG Geostationary Satellite Data. Remote Sens. Environ. 2020, 247, 111931. [Google Scholar] [CrossRef]
- Savitzky, A.; Golay, M.J.E. Smoothing and Differentiation of Data by Simplified Least Squares Procedures. Anal. Chem. 1964, 36, 1627–1639. [Google Scholar] [CrossRef]
- Li, Y.; Zhu, S.; Zhang, G.; Xu, W.; Jiang, W.; Xu, Y. Reconstruction of Hourly FY-4A AGRI Land Surface Temperature under Cloud-Covered Conditions Using a Hybrid Method Combining Spatial and Temporal Information. Remote Sens. 2024, 16, 1777. [Google Scholar] [CrossRef]
- Zhu, J.; Zhu, S.; Yu, F.; Zhang, G.; Xu, Y. A downscaling method for ERA5 reanalysis land surface temperature over urban and mountain areas. Natl. Remote Sens. Bull. 2021, 25, 1778–1791. [Google Scholar] [CrossRef]
- Hais, M.; Kučera, T. The Influence of Topography on the Forest Surface Temperature Retrieved from Landsat TM, ETM + and ASTER Thermal Channels. ISPRS J. Photogramm. Remote Sens. 2009, 64, 585–591. [Google Scholar] [CrossRef]
- Ke, G.; Meng, Q.; Finley, T.; Wang, T.; Chen, W.; Ma, W.; Ye, Q.; Liu, T.-Y. LightGBM: A Highly Efficient Gradient Boosting Decision Tree. In Proceedings of the 31st International Conference on Neural Information Processing Systems, Long Beach, CA, USA, 4–9 December 2017; Curran Associates Inc.: Red Hook, NY, USA, 2017; pp. 3149–3157. [Google Scholar]
- Snoek, J.; Larochelle, H.; Adams, R.P. Practical Bayesian Optimization of Machine Learning Algorithms. In Proceedings of the 26th International Conference on Neural Information Processing Systems—Volume 2, Lake Tahoe, NV, USA, 3–6 December 2012; Curran Associates Inc.: Red Hook, NY, USA, 2012; pp. 2951–2959. [Google Scholar]
- Hutengs, C.; Vohland, M. Downscaling Land Surface Temperatures at Regional Scales with Random Forest Regression. Remote Sens. Environ. 2016, 178, 127–141. [Google Scholar] [CrossRef]
- Zhao, W.; Duan, S.-B.; Li, A.; Yin, G. A Practical Method for Reducing Terrain Effect on Land Surface Temperature Using Random Forest Regression. Remote Sens. Environ. 2019, 221, 635–649. [Google Scholar] [CrossRef]
- Zhong, H.; Zhou, J.; Tang, W.; Zhou, G.; Wang, Z.; Wang, W.; Meng, Y.; Ma, J. Estimation of Near-Surface Air Temperature Lapse Rate Based on MODIS Data Over the Tibetan Plateau. IEEE J. Sel. Top. Appl. Earth Obs. Remote Sens. 2023, 16, 4767–4777. [Google Scholar] [CrossRef]
- Damiens, F.; Lott, F.; Millet, C.; Plougonven, R. An Adiabatic Foehn Mechanism. Q. J. R. Meteorol. Soc. 2018, 144, 1369–1381. [Google Scholar] [CrossRef]
- Rendón, A.M.; Salazar, J.F.; Palacio, C.A.; Wirth, V.; Brötz, B. Effects of Urbanization on the Temperature Inversion Breakup in a Mountain Valley with Implications for Air Quality. J. Appl. Meteorol. Climatol. 2014, 53, 840–858. [Google Scholar] [CrossRef]
- Clements, C.B.; Whiteman, C.D.; Horel, J.D. Cold-Air-Pool Structure and Evolution in a Mountain Basin: Peter Sinks, Utah. J. Appl. Meteorol. 2003, 42, 752–768. [Google Scholar] [CrossRef]











| Timing | R2 | RMSE (°C) | MAE (°C) | N |
|---|---|---|---|---|
| January | 0.824 | 1.7 | 1.3 | 1188 |
| February | 0.794 | 1.8 | 1.4 | 1272 |
| March | 0.819 | 1.8 | 1.4 | 1272 |
| April | 0.826 | 1.9 | 1.4 | 1271 |
| May | 0.829 | 1.8 | 1.3 | 1271 |
| June | 0.835 | 1.7 | 1.3 | 1272 |
| July | 0.836 | 1.4 | 1.1 | 1318 |
| August | 0.834 | 1.4 | 1.0 | 1328 |
| September | 0.755 | 2.1 | 1.5 | 1340 |
| October | 0.82 | 2.0 | 1.5 | 1341 |
| November | 0.802 | 1.7 | 1.3 | 1332 |
| December | 0.823 | 1.9 | 1.5 | 1333 |
| Full year | 0.82 | 1.8 | 1.3 | 15,538 |
Disclaimer/Publisher’s Note: The statements, opinions and data contained in all publications are solely those of the individual author(s) and contributor(s) and not of MDPI and/or the editor(s). MDPI and/or the editor(s) disclaim responsibility for any injury to people or property resulting from any ideas, methods, instructions or products referred to in the content. |
© 2025 by the authors. Licensee MDPI, Basel, Switzerland. This article is an open access article distributed under the terms and conditions of the Creative Commons Attribution (CC BY) license (https://creativecommons.org/licenses/by/4.0/).
Share and Cite
Lv, Q.; Sui, M.; Zhu, S.; Zhang, G.; Li, Y. Preliminary Study on Near-Surface Air Temperature Lapse Rate Estimation and Its Spatiotemporal Distribution Characteristics in Beijing–Tianjin–Hebei Mountainous Region. Remote Sens. 2025, 17, 2205. https://doi.org/10.3390/rs17132205
Lv Q, Sui M, Zhu S, Zhang G, Li Y. Preliminary Study on Near-Surface Air Temperature Lapse Rate Estimation and Its Spatiotemporal Distribution Characteristics in Beijing–Tianjin–Hebei Mountainous Region. Remote Sensing. 2025; 17(13):2205. https://doi.org/10.3390/rs17132205
Chicago/Turabian StyleLv, Qichen, Mingming Sui, Shanyou Zhu, Guixin Zhang, and Yuxin Li. 2025. "Preliminary Study on Near-Surface Air Temperature Lapse Rate Estimation and Its Spatiotemporal Distribution Characteristics in Beijing–Tianjin–Hebei Mountainous Region" Remote Sensing 17, no. 13: 2205. https://doi.org/10.3390/rs17132205
APA StyleLv, Q., Sui, M., Zhu, S., Zhang, G., & Li, Y. (2025). Preliminary Study on Near-Surface Air Temperature Lapse Rate Estimation and Its Spatiotemporal Distribution Characteristics in Beijing–Tianjin–Hebei Mountainous Region. Remote Sensing, 17(13), 2205. https://doi.org/10.3390/rs17132205

